Trajectory Optimization of Laser-Charged UAVs for Charging Wireless Rechargeable Sensor Networks
Abstract
1. Introduction
2. Related Works
2.1. Charging Sensors with UAVs
2.2. Energy-Replenishing Methods for UAVs
3. Model and Problem Definition
3.1. Network Model
3.2. RF Power Transmission Model
3.3. Laser Charging Model
3.4. Power Consumption Model
3.5. Definition of the Problem
4. Algorithm for the TOLC Problem
4.1. Algorithm Description for WCMC
- Select the shortest edge in the graph G such that . If , then .;
- Calculate the pseudo-center of the points , using the algorithm proposed in [21] and let .
- Initialize by comparing and r. If , then is added to and . The vertices are removed from and all edges adjacent to are also deleted from .
- For any , each sensor selects the nearest cluster such that , .
- For , , if and , then we calculate the weighted center of the points in using the algorithm proposed in [22], where denotes the number of sensors in . Afterward, we calculate the disk that is centered at and whose radius is . If , then we merge and since they are located on the disk.
- For any , we calculate the disk that is centered at and whose radius is . If or , then we split since it exceeds the radius of the coverage disk of the UAV or exceeds the maximum number of sensors that the UAV can charge simultaneously. We first calculate the centers as , and , where and represent the minimum and maximum values of all sensor coordinates and in the cluster , respectively. Then, for any , if , we assign the sensor to the new cluster . Afterward, we recalculate the weighted center and of the points in and , respectively, using the algorithm proposed in [22].
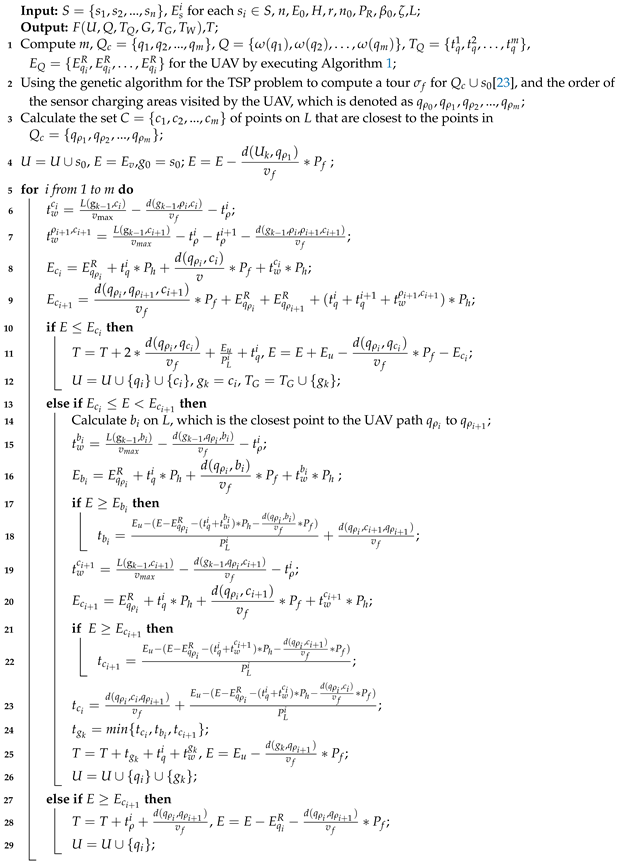
4.2. Algorithm Description for TOLCA
| Algorithm 1: WCMC |
![]() |
- . The remaining energy E of the UAV arriving at is not enough to charge the sensors at and fly to for waiting for the MUV to replenish energy. Therefore, the UAV needs to fly to to replenish energy and returns to to complete the remaining tasks. Then, we compute and and let .
- . The remaining energy E of the UAV arriving at is enough to charge the sensors at and fly to to replenish energy but is not enough to reach for charging the sensors at , and fly to for waiting for the MUV to arrive.
- Compute whether to have on the route L, which is the closest point to the UAV path to .
- Calculate the time for the UAV to wait for the MUV to arrive as , if , let , then compute the required energy for UAV from to as , if , calculate the time for the UAV to fly to and then to as .
- Calculate the time for the UAV to wait for the MUV to arrive as , if , let , then compute the required energy for the UAV from to as . If , calculate the time of the UAV to fly to and then to as .
- Calculate the time for the UAV to fly to and then to as . Then, compare the time consumptions , of the UAV and select the point with the shortest time among the points , and as the point where the MUV supplements the power of the UAV. Compute the total time T and remaining energy E of the UAV to reach , which are expressed as , .
- . The residual energy E of the UAV arriving at is sufficient for the UAV to fly from to and charge the sensors at and and fly to to wait for the MUV to arrive so the UAV can fly directly from to . Then, we compute the total time T and remaining energy E to reach as , .
| Algorithm 2: TOLCA |
![]() |
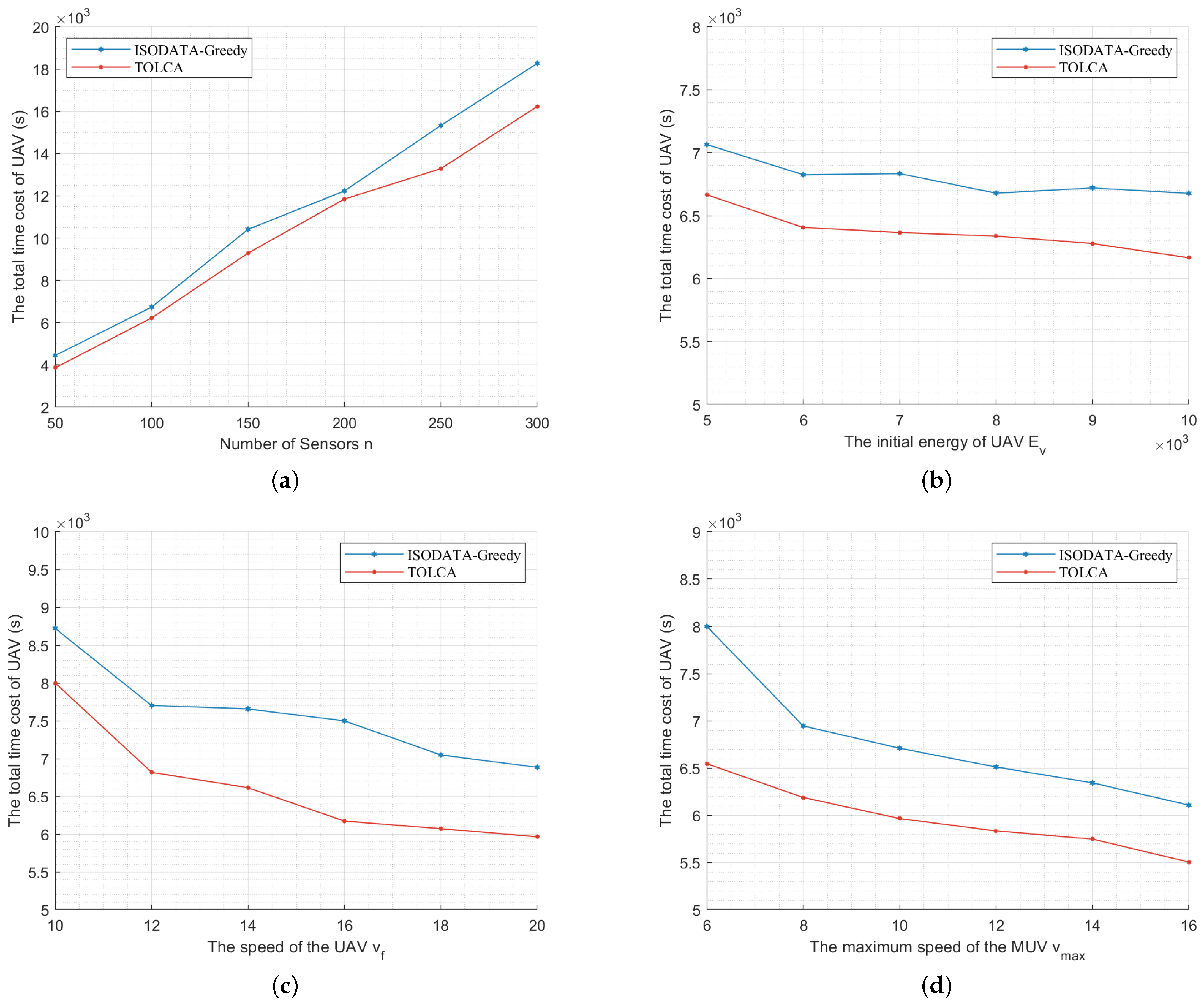
5. Simulation Results
5.1. Comparison Results
5.2. Impact of Network Configurations with TOLCA
6. Conclusions
Author Contributions
Funding
Institutional Review Board Statement
Informed Consent Statement
Data Availability Statement
Conflicts of Interest
References
- Luo, C.; Satpute, M.; Li, D.; Wang, Y.; Chen, W.; Wu, W. Fine-grained trajectory optimization of multiple UAVs for efficient data gathering from WSNs. IEEE/ACM Trans. Netw. 2020, 29, 162–175. [Google Scholar] [CrossRef]
- Wang, H.; Wang, J.; Ding, G.; Wang, L.; Tsiftsis, T.A.; Sharma, P.K. Resource allocation for energy harvesting-powered d2d communication underlaying uav-assisted networks. IEEE Trans. Green Communications Netw. 2017, 2, 14–24. [Google Scholar] [CrossRef]
- Jie, X.; Yong, Z.; Rui, Z. Uav-enabled wireless power transfer: Trajectory design and energy region characterization. In Proceedings of the 2017 IEEE Globecom Workshops (GC Wkshps), Singapore, 4–8 December 2017; pp. 5092–5106. [Google Scholar]
- Ku, S.; Jung, S.; Lee, C. Uav trajectory design based on reinforcement learning for wireless power transfer. In Proceedings of the 2019 34th International Technical Conference on Circuits/Systems, Computers and Communications (ITC-CSCC), JeJu, Korea, 23–26 June 2019; pp. 1–3. [Google Scholar]
- Wu, Y.; Qiu, L.; Xu, J. Uav-enabled wireless power transfer with directional antenna: A two-user case (invited paper). In Proceedings of the 2018 15th International Symposium on Wireless Communication Systems (ISWCS), Lisbon, Portugal, 28–31 August 2018. [Google Scholar]
- Hu, Y.; Yuan, X.; Xu, J.; Schmeink, A. Optimal 1d trajectory design for uav-enabled multiuser wireless power transfer. IEEE Trans. Commun. 2019, 67, 5674–5688. [Google Scholar] [CrossRef]
- Yang, T.; Hu, Y.; Yuan, X.; Mathar, R. Genetic algorithm based uav trajectory design in wireless power transfer systems. In Proceedings of the 2019 IEEE Wireless Communications and Networking Conference (WCNC), Marrakesh, Morocco, 15–18 April 2019; pp. 1–6. [Google Scholar]
- Yuan, X.; Yang, T.; Hu, Y.; Xu, J.; Schmeink, A. Trajectory design for uav-enabled multiuser wireless power transfer with nonlinear energy harvesting. IEEE Trans. Wirel. Commun. 2020, 20, 1105–1121. [Google Scholar] [CrossRef]
- Yuan, X.; Hu, Y.; Schmeink, A. Joint design of uav trajectory and directional antenna orientation in uav-enabled wireless power transfer networks. IEEE J. Sel. Areas Commun. 2021, 39, 3081–3096. [Google Scholar] [CrossRef]
- Feng, W.; Zhao, N.; Ao, S.; Tang, J.; Zhang, X.; Fu, Y.; So, D.K.; Wong, K.-K. Joint 3d trajectory design and time allocation for uav-enabled wireless power transfer networks. IEEE Trans. Veh. Technol. 2020, 69, 9265–9278. [Google Scholar] [CrossRef]
- Yan, H.; Chen, Y.; Yang, S.-H. Uav-enabled wireless power transfer with base station charging and uav power consumption. IEEE Trans. Veh. Technol. 2020, 69, 12883–12896. [Google Scholar] [CrossRef]
- Suzuki, K.A.; Filho, P.K.; Morrison, J.R. Automatic battery replacement system for uavs: Analysis and design. J. Intell. Robot. Syst. 2012, 65, 563–586. [Google Scholar] [CrossRef]
- Li, X.; Yao, H.; Wang, J.; Wu, S.; Jiang, C.; Qian, Y. Rechargeable multi-uav aided seamless coverage for qos-guaranteed iot networks. IEEE Internet Things J. 2019, 6, 10902–10914. [Google Scholar]
- Fu, S.; Tang, Y.; Wu, Y.; Zhang, N.; Gu, H.; Chen, C.; Liu, M. Energy-efficient uav-enabled data collection via wireless charging: A reinforcement learning approach. IEEE Internet Things J. 2021, 8, 10209–10219. [Google Scholar] [CrossRef]
- Hu, X.; Wong, K.-K.; Zhang, Y. Wireless-powered edge computing with cooperative uav: Task, time scheduling and trajectory design. IEEE Trans. Wirel. Commun. 2020, 19, 8083–8098. [Google Scholar] [CrossRef]
- Wang, Y.; Zhang, L.; Min, M.; Guo, C.; Sharma, V.; Han, Z. Privacy-aware wireless power transfer for aerial computation offloading via colonel blotto game. In Proceedings of the 2020 IEEE Globecom Workshops (GC Wkshps), Taipei, Taiwan, 7–11 December 2020; pp. 1–6. [Google Scholar]
- Zhu, Y.; Wang, S. Efficient aerial data collection with cooperative trajectory planning for large-scale wireless sensor networks. IEEE Trans. Commun. 2021, 70, 433–444. [Google Scholar] [CrossRef]
- Xu, J.; Zeng, Y.; Zhang, R. Uav-enabled wireless power transfer: Trajectory design and energy optimization. IEEE Trans. Wirel. Commun. 2018, 17, 5092–5106. [Google Scholar] [CrossRef]
- Galinina, O.; Tabassum, H.; Mikhaylov, K.; Andreev, S.; Hossain, E.; Koucheryavy, A.Y. On feasibility of 5G-grade dedicated RF charging technology for wireless-powered wearables. IEEE Wirel. Commun. 2016, 23, 28–37. [Google Scholar] [CrossRef]
- Zhang, Q.; Fang, W.; Liu, Q.; Wu, J.; Xia, P.; Yang, L. Distributed laser charging: A wireless power transfer approach. IEEE Internet Things J. 2018, 5, 3853–3864. [Google Scholar] [CrossRef]
- Lu, J.K. The pseudocenter and pseudoradius of a point set. Math Pract. Theory 1986, 2, 69–73. [Google Scholar]
- Alper, K.P.E. An algorithm and a core set result for the weighted euclidean one-center problem. Informs J. Comput. 2009, 21, 16. [Google Scholar]
- Grefenstette, J.; Gopal, R.; Rosmaita, B.; van Gucht, D. Genetic algorithms for the traveling salesman problem. Genetic algorithms for the traveling salesman problem. Proc. First Int. Conf. Genet. Algorithms Their Appl. 1985, 160, 160–168. [Google Scholar]







| Notation | Physical Meaning | Value |
|---|---|---|
| The channel power gain at d = 1 m | 30 | |
| The RF-to-DC energy conversion efficiency | 0.6 | |
| H | Flight altitude of the UAV | 5 |
| The conversion efficiency of laser to electricity | 0.15 | |
| ℓ | Laser attenuation coefficient | |
| Blade power | 14.7517 | |
| Induced power | 41.5409 | |
| Tip speed of the rotor blade | 80 | |
| The average rotor-induced velocity | 5.0463 | |
| The fuselage drag ratio | 0.5009 | |
| Air density in kg/m | 1.225 | |
| s | Rotor solidity | 0.1248 |
| A | Rotor disc area in m | 0.1256 |
Publisher’s Note: MDPI stays neutral with regard to jurisdictional claims in published maps and institutional affiliations. |
© 2022 by the authors. Licensee MDPI, Basel, Switzerland. This article is an open access article distributed under the terms and conditions of the Creative Commons Attribution (CC BY) license (https://creativecommons.org/licenses/by/4.0/).
Share and Cite
Liu, N.; Luo, C.; Cao, J.; Hong, Y.; Chen, Z. Trajectory Optimization of Laser-Charged UAVs for Charging Wireless Rechargeable Sensor Networks. Sensors 2022, 22, 9215. https://doi.org/10.3390/s22239215
Liu N, Luo C, Cao J, Hong Y, Chen Z. Trajectory Optimization of Laser-Charged UAVs for Charging Wireless Rechargeable Sensor Networks. Sensors. 2022; 22(23):9215. https://doi.org/10.3390/s22239215
Chicago/Turabian StyleLiu, Ning, Chuanwen Luo, Jia Cao, Yi Hong, and Zhibo Chen. 2022. "Trajectory Optimization of Laser-Charged UAVs for Charging Wireless Rechargeable Sensor Networks" Sensors 22, no. 23: 9215. https://doi.org/10.3390/s22239215
APA StyleLiu, N., Luo, C., Cao, J., Hong, Y., & Chen, Z. (2022). Trajectory Optimization of Laser-Charged UAVs for Charging Wireless Rechargeable Sensor Networks. Sensors, 22(23), 9215. https://doi.org/10.3390/s22239215



