Next Article in Journal
Biodistribution of Nanostructured Lipid Carriers in Mice Atherosclerotic Model
Next Article in Special Issue
Yuccalechins A–C from the Yucca schidigera Roezl ex Ortgies Bark: Elucidation of the Relative and Absolute Configurations of Three New Spirobiflavonoids and Their Cholinesterase Inhibitory Activities
Previous Article in Journal
Linear, Non-Conjugated Cyclic and Conjugated Cyclic Paraphenylene under Pressure
Previous Article in Special Issue
Phytochemical Study of Aerial Parts of Leea asiatica
 
 
Font Type:
Arial Georgia Verdana
Font Size:
Aa Aa Aa
Line Spacing:
Column Width:
Background:
Article

Characterization of Eight Novel Spiroleptosphols from Fusarium avenaceum

by
Klaus Ringsborg Westphal
1,
Manuela Ilse Helga Werner
1,
Katrine Amalie Hamborg Nielsen
1,
Jens Laurids Sørensen
2,
Valery Andrushchenko
3,*,
Jacob Winde
1,
Morten Hertz
1,
Mikkel Astrup Jensen
1,
Mathilde Lauge Mortensen
1,
Petr Bouř
3,
Teis Esben Sondergaard
1 and
Reinhard Wimmer
1,*
1
Department of Chemistry and Bioscience-Section for Biotechnology, Aalborg University, Frederik Bajers Vej 7H, 9220 Aalborg Ø, Denmark
2
Department of Chemistry and Bioscience, Aalborg University, Niels Bohrs Vej 8, 6700 Esbjerg, Denmark
3
Institute of Organic Chemistry and Biochemistry, Czech Academy of Sciences, Flemingovo náměstí 542/2, 166 10 Prague 6, Czech Republic
*
Authors to whom correspondence should be addressed.
Molecules 2019, 24(19), 3498; https://doi.org/10.3390/molecules24193498
Submission received: 4 September 2019 / Revised: 24 September 2019 / Accepted: 24 September 2019 / Published: 26 September 2019
(This article belongs to the Special Issue NMR Spectroscopy in Natural Product Structure Elucidation)

Abstract

Chemical analyses of Fusarium avenaceum grown on banana medium resulted in eight novel spiroleptosphols, T1, T2 and U–Z (18). The structures were elucidated by a combination of high-resolution mass spectrometric data and 1- and 2-D NMR experiments. The relative stereochemistry was assigned by 1H coupling and NOESY/ROESY experiments. Absolute stereochemistry established for 7 by vibrational circular dichroism was found analogous to that of the putative polyketide spiroleptosphol from Leptosphaeria doliolum.

Graphical Abstract

1. Introduction

Filamentous fungi of the genus Fusarium are notorious plant pathogens, causing serious losses of grain every year world-wide. In addition, the fungi produce several harmful compounds during plant infection, which can cause illnesses in both humans and animals. Some of these natural products belong to the group of polyketides (PKs), which are biosynthesized by enzymatic machinery based on the polyketide synthases (PKSs). More than 65 different genes encoding PKSs have so far been identified across the Fusarium genus, of which F. avenaceum is one of the strains with most PKS genes but only a few products are known [1,2]. PKs are a structurally diverse group of compounds named after their biosynthetic origin, where they are assembled from small malonyl and acetyl subunits. Examples of beneficial and harmful PKs from Fusarium are fusarielins, aurofusarin and gibepyrons, which have been shown to have an estrogenic effect on cancer cells, inhibiting probiotic bacteria and nematocidal activity, respectively [3,4,5,6,7]. The secondary metabolome from fungi seldom includes all PKs that potentially could be produced, hence different approaches are needed for activation of responsible gene clusters. One way to trigger gene activation is utilizing different media compositions termed the OSMAC (one strain many compounds) approach [8,9]. A considerable difference between secondary metabolite profiles in fusaria has been demonstrated previously by altering the yeast extract from different suppliers in the growth media or by growth on unusual media [10,11].
To document the secondary metabolite potential of Fusarium when grown on different media, we isolated eight related PKs not reported before (18). For this purpose, F. avenaceum was grown on banana agar medium. Below, we describe in detail the structure elucidation of 18 using HRMS and NMR. The relative and absolute stereochemistry was established by NMR and vibrational circular dichroism (VCD) spectroscopies. These eight compounds have similar structural features with spiroleptosphol, a cytotoxic γ-methylindene-spiro butanolide isolated from the ascomycetous fungus Leptosphaeria doliolum and analogous thereof (Figure 1) [12,13,14,15,16,17,18,19,20,21,22,23]. Therefore, they were named spiroleptosphol U–Z, with spiroleptosphol T existing in two diastereomers called T1 and T2.

2. Results and Discussion

In an effort to identify the chemical nature of Fusarium secondary metabolism, several isolates were grown on a variety of different media. The resulting metabolite extracts were profiled using HPLC-DAD-HRMS. Several unusual metabolites were observed (m/z between 250–350 Da) when F. avenaceum strain 05001 was cultivated on solid banana medium (Figure 2a,b). Augmented cultivation of F. avenaceum and metabolite extraction followed by compound isolation by semi-preparative RP chromatography resulted in PKs 18 (Figure 2c). The structures of 18 were all elucidated by 1D- and 2D NMR spectroscopy and the absolute configuration was assigned by VCD for 7.

2.1. Spiroleptosphol U, T1 and T2 (1, 2 and 3)

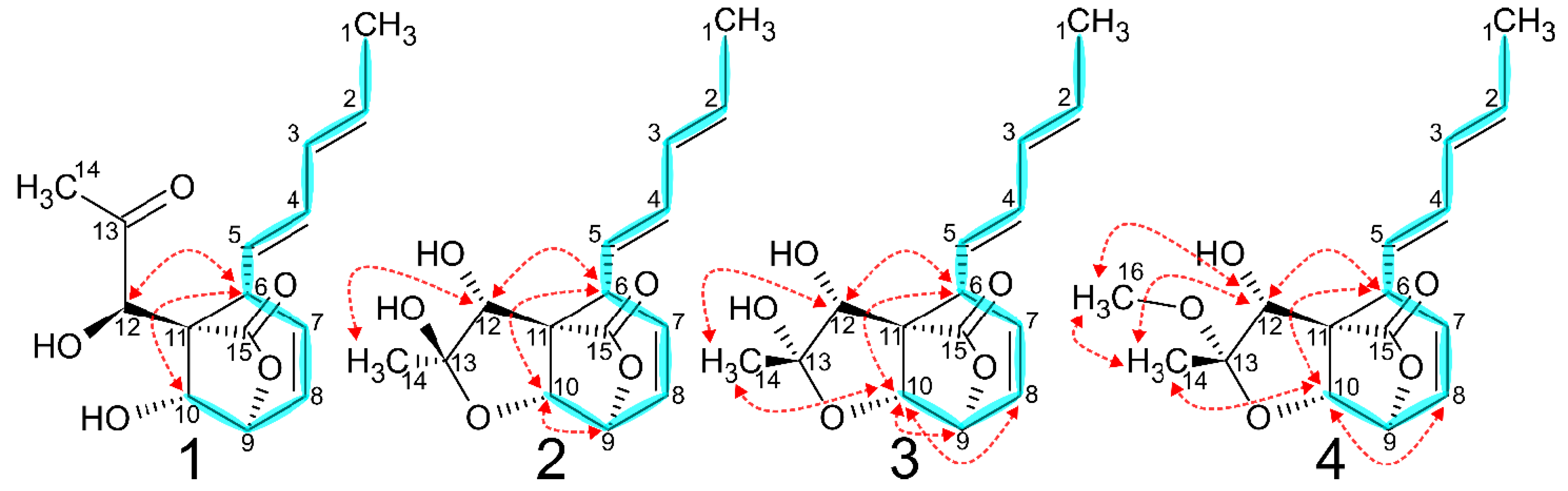
Compounds 13 eluted as a single broad peak when analyzed by HPLC-HRMS. This would imply an equilibrium with relatively fast interchange between compounds. The HR-ESI(+)MS returned a [M + H]+ at 279.1216 Da and a [M − H2O + H]+ at 261.1112 Da confirmed by a sodium adduct [M + Na]+ at 301.1036 Da. This, together with the isotope distribution, was consistent with a chemical formula of C15H18O5. 1D and 2D NMR experiments revealed three compounds with similar characteristics of 1H and 13C chemical shifts, 1H–1H couplings, COSY and 1H–13C HMBC correlation (Table 1). For all three compounds, TOCSY/COSY correlations were observed for a series of ten carbon atoms initiating at a methyl group (H1) and proceeding through two trans-alkenes (H2−5), a methine (H6), a cis-alkene (H7−8) and ending with two methines (H9−10) both with 13C chemical shifts resonating between 75 and 84 ppm indicating bonding to oxygen. HMBC correlations from H6 and H10 to a quaternary carbon (C11) formed a six-carbon ring from C6 to C11 (Figure 3). Additionally, a resonance between 176 and 178 ppm (C15) displayed HMBC correlations to C9 and C11 and can only be explained by forming a γ-lactone ring consisting of C9–C11, C15 and O9. Finally, a methine (C12) observed as a singlet showed HMBC correlations to C11. 1H and 13C chemical shifts of C12 suggested bonding to an oxygen. For Compound 1, a resonance for C13C 212.6) was attributed to a ketone which was not observed for 2 and 3.
HMBC correlations placed C13 between C11 and a methyl group (C14). Two hydrogens could not be observed in the 1H spectrum, thus these could be assigned to two alcohols (C10 and C12), fulfilling the determined molecular mass, thereby giving the structure of 1. The relative stereo configuration of 1 was assigned by NOESY correlations between H6–H10 and H6–H12. Compounds 2 and 3 both showed a quaternary carbon (C13) resonating at 109.6 and 104.7 ppm, respectively, in place of the ketone in 1. This relatively high chemical shift was explained by bonds to two oxygens, one as an alcohol and the other as an ether to C10 giving a third ring and resulting in the diastereomeric structures of 2 and 3. The differences in 13C chemical shifts between 2 and 3 was increasing around C13 indicating a steric inversion at this position. This was supported by the presence of a NOESY correlation between H10 and H14 in 3 which was not present in 2. Otherwise, the relative stereo configuration was identical to that of 1. In addition, the NOESY spectrum displayed cross peaks with opposite signs, indicating their origin from chemical exchange. Those cross peaks were observed between H9 of 1 and H9 of both 2 and 3, but not between H9 of 2 and 3. The same pattern was seen for H10 and H12. Also, H6 displays an exchange peak between 1 and 2/3, but due to almost identical chemical shifts, the presence or absence of an exchange peak between H6 of 2 and 3, respectively, cannot be established. This indicates that 1 is in equilibrium with both 2 and 3.

2.2. Spiroleptosphol W (4)

HR-ESI(+)MS of 4 returned a [M + H]+ at 293.1365 Da as well as ion adducts of [M − CH4O + H]+ at 261.1123 Da, [M + Na]+ at 315.1201 Da and a [M − H2O + C2H3N + H]+ at 302.1387 Da. Including the isotopic distribution, this indicated the chemical formula C16H20O5 corresponding to an increase of a CH2 group compared to 13. 1D and 2D NMR experiments of 4 revealed a clear resemblance to those of 23, with the addition of a methoxy singlet (C16) with 13C and 1H resonances at 49.6 and 3.30 ppm, respectively (Table 1 and Figure 3). HMBC correlations from H16 to C13 (3JCH) and to C12 (4JCH) suggested that the C13 − OH of 23 was replaced with an O-methyl in 4. This correlates with the loss of a methanol in the [M − CH4O + H]+ ion adduct and could possibly explain why 4 does not exert molecular rearrangement like 13. The relative stereo configuration was assessed by ROESY correlations and observed to be identical to that of 3.

2.3. Spiroleptosphol V (5)

HR-ESI(+)MS of 5 identified a [M + H]+ at 279.1224 Da and a [M + Na]+ at 301.1040 Da. Additionally, two ion adducts from loss of water were observed at 261.1116 and 243.1011 Da. From this the chemical formula was deduced as C15H18O5, identical to those of 13. 1D and 2D NMR experiments of 5 showed some resemblance to C1-C9 of 14 based on chemical shifts and COSY correlations, however, a methylene C10 was observed in 5 which was a methine in 14 (Table 2 and Figure 4). 1H–13C HMBC connectivities from H10 were only observed to C9 and C8 indicating a primary alcohol at C10. C6−8 showed HMBC connectivity to a quaternary carbon C11 resonating at 103.9 ppm, and C6 showed additional 3JCH HMBC correlations with two other quaternary carbons C12 and C15 resonating at 166.7 and 172.3 ppm, respectively. Three hydrogens had not been assigned, two of which were part of a CH2 group C14 with 1H chemical shifts resonating at 4.91 and 5.06 ppm and a 13C chemical shift resonating at 90.6 ppm suggesting a methylidene. Both H14 showed strong HMBC correlations to the quaternary C13C 153.0 ppm) thus accounting for all carbon atoms. Three oxygens and one hydrogen needed to be assigned. Based on the previous information of chemical shifts, RDBE and HMBC correlations from H14 to C11−13 and C15 the structure of 5 was elucidated. A ROESY correlation observed between H6 and H9 suggests similar relative stereo configuration as described for 14.

2.4. Spiroleptosphol Z (6)

HR-ESI(+)MS of 6 returned several ion adducts from which [M + H]+ was determined at 321.1324 Da based on a [M + Na]+ at 343.1146 Da resulting in the chemical formula C17H20O6. Additionally, three ion adducts were identified as [M − H2O + H]+, [M − CH3COOH + H]+ and [M − H2O − CH3COOH + H]+ at 303.1226, 261.1116 and 243.1007 Da, respectively, suggesting both an alcohol and an –OAc group being part of the molecule. 1D and 2D NMR experiments of 6 showed in part resemblance to those of 15 (Table 2 and Figure 4). COSY and HMBC correlations established C1-C11 to be similar to those of 14. A methyl singlet resonating at 2.12 ppm and with HMBC correlations to C16C 171.8 ppm) and C9−10 placed a –OAc group attached to C10 confirming the ion adducts observed from MS. HMBC and chemical shifts of C12−15 showed similarity to 5 except having a hydrogen at C12 in place of the double bond. This concluded the structure of 6, where ROESY correlations revealed a similar relative stereo configuration to those previously described.

2.5. Spiroleptosphol Y (7)

HR-ESI(+)MS of 7 returned a [M + H]+ at 339.1443 Da and a [M + Na]+ ion adduct at 361.1256 Da. Ion adducts with neutral loss [M − H2O + H]+ and [M − H2O − CH3COOH + H]+ at 321.1335 and 261.1123 Da, respectively, were also observed. The mass spectrum was comparable to that of 6 with the addition of water, giving the chemical formula as C17H22O7. 1D and 2D NMR experiments of 7 showed similarity to those of 6 except around the C13−14 position (Table 2 and Figure 4). A singlet methyl (δH 1.6 ppm) with HMBC correlations to C12−13 suggested oxidation of the C13–C14 double bond giving the structure of 7. ROESY cross peaks and 1H–1H coupling constants established the relative stereo configuration identical to that of 3 and 4.

2.6. Spiroleptosphol Y (8)

HR-ESI(+)MS of 8 returned a [M + H]+ at 321.1324 Da supported by a [M + Na]+ at 343.1140 Da giving the chemical formula C17H20O6. An ion adduct for [M − CH3COOH + H]+ at 261.1113 Da indicated a loss of an –OAc group. 1D and 2D NMR experiments of 8 were comparable to those of 7 for C1−11 except the –OAc group was positioned at C9 (Table 2 and Figure 4). The remaining C12−15, H12 and H14 chemical shifts and splittings were comparable to 7, however, differences observed including HMBC correlations could only be explained by an intra molecular rearrangement of 7 resulting in the structure of 8. The relative stereo configuration of 8 was examined by ROESY cross peaks and determined to be identical to that of 7.

2.7. Absolute Configuration

By NMR we thus could determine the relative configuration and some conformational parameters (e.g., the E-configuration of the double bonds in the conjugated chain). The absolute stereo configuration was established for 7 to be 6R,9S,10R,11R,12R,13S by vibrational circular dichroism (VCD), comparing the calculated spectrum to experimental curve (Figure 5).
As can be seen, the VCD experimental signal is rather noisy, due to the limited sample amount, and in some regions hampered by the absorption of the methanol (deuterated) solvent. Nevertheless, signs of all assignable VCD bands are consistently reproduced by the theory. The absolute configuration of the remaining compounds 16 and 8 are assumed to be identical to 7, since the relative configuration for these are conserved it would not be likely that the fungi produces enantiomers where each chiral center would be inverted. Interestingly, the absolute configuration was identical to that described for spiroleptosphol from L. doliolum [12] for C6 and C10−12 but not for C9.

2.8. Biosynthetic Pathway

Based on the structures of 18 and the previously described biosynthetic pathway of spiroleptosphol from L. doliolum [24], a biosynthetic pathway of spiroleptosphols from F. avenaceum could be proposed with two paths for initiation (Figure 6).
Initiating path one with (a), hypothetical precursor to 6, a rearrangement of the C10 –C11 bond into a double bond from C11–C12 would result in 5. O-acetylation of (a) would produce 6. Alternatively, the ester bond in (a) could be hydrolyzed leading to (b). O-acetylation of (b) would result in (c) which would be in equilibrium to 6. Keto-enol tautomerism of the C13–C14 double bond in (b) yields a ketone at C13 and results in (d), which is the entry molecule for path two. Hydrolysis of the C13–C14 double bond of 6 leads to 7. Opening the γ-lactone ring of 7 results in an equilibrium with (e), however, this reaction would most likely be pushed toward 7. It is also possible to get (e) from rearrangement of (c) or from O-acetylation of (d). Relocation of the O-acetyl group of 7 and (e) from C10 to C9 would result in an equilibrium between (f) and (g), respectively. This equilibrium could also be pushed toward (h) through rearrangement of (g) to form an ether bond between C10 and C13. A condensation reaction of (h) would result in the formation of 8, which is not possible for (f) because of sterical restraints. An alternative route could be proposed from (d), in which a condensation reaction would lead to the equilibrium of 13. O-methylation of the C13 alcohol of 3 would explain the formation of 4.

3. Materials and Methods

The genome sequenced F. avenaceum strain 05,001 isolated from Finnish grains was available from previous studies [25]. Fungal spores were prepared as previously described by Sørensen in 2013 and diluted with sterile filtered 15% glycerol in Milli-Q water to 1 × 106 spores/mL and stored at –80 °C [3]. Compounds 18 were purified from three individual experimental setups.
Setup 1 (compounds 15): A starter culture was made by inoculating 10 µL spores on a solid banana medium plate (200 g/L ecological yellow-brown banana including peel (Musa acuminata, Cavendish cultivar subgroup Grand Nain) was blended and added to 1 L Milli-Q water with 15 g/L agar) incubated at 25 °C for 14 days in the dark. 150 plates of solid banana medium were three point inoculated and incubated at 25 °C in the dark for 14 days. The agar plates were blended and secondary metabolites were extracted by covering the mycelia with ethyl acetate:dichloromethane:methanol with 1% formic acid and sonicated in a water bath for 40 minutes. The extract was filtered from the mycelia through MiraCloth (Calbiochem, Merck Millipore, Billerica, MA, USA) and the solvent was removed by rotary evaporation at 40 °C. The dried metabolites were re-dissolved in 3.5 mL methanol. The sample was centrifuged at 10,000× g for 5 minutes prior to HPLC-HRMS analysis.
The extract (10 µL injection volume) was analyzed by HPLC-DAD-HRMS using a Hitachi LaChrome Elite (Hitachi Ltd., Tokyo, Japan) HPLC system equipped with a pump (L-2130), autosampler (L-2200), column oven at 40 °C (L-2300) with a Hexyl-Phenyl column (150 × 4.6 mm Ascentis Xpress 2.7 μm, Sigma-Aldrich, St. Louis, MO, USA) and a DAD detector (L-2450) recording from 190 to 900 nm. The setup is coupled to a high-resolution mass spectrometer (Bruker compact MS ESI-qTOF, Bruker Daltonics, Bremen, Germany) (operated in positive mode with capillary: 4500 V, end plate offset 500 V, 4 L/min dry gas at 200 °C) through a 5:95 flow splitter. The gradient was run at 1 mL/min and initiated with 10% solvent A (LCMS -grade acetonitrile (HiPerSolv, VWR, Herlev, Denmark) with 0.1% formic acid (98%, Sigma-Aldrich)) and 90% solvent B (LCMS-grade water (HiPerSolv, VWR) with 0.1% formic acid) increasing linearly to 100% solvent A over 20 minutes and held for 10 minutes. Twenty µL sodium formate solution (10 mM NaOH and 26 mM formic acid in 1:1 MS-grade H2O:isopropanol) was injected 0.2 minutes after sample injection and used for mass spectrum calibration. The HPLC and mass spectrometer was controlled by HyStar v. 3.2 (Bruker Daltonics) and the data was analyzed in Compass DataAnalysis v. 4.2 (Bruker Daltonics).
Purification of compounds 15 was achieved by a two-step purification. Initially the metabolite extract was pre-fractionated using a semi-preparative 1260 Infinity HPLC system (Agilent Technologies) equipped with a DAD VL detector (Agilent Technologies, Santa Clara, CA, USA) and a Luna C18 LC column (5 µm, 250 × 10 mm, Phenomenex) kept at 40 °C. The gradient system increased from 10% solvent C (acetonitrile with 0.005% TFA) and 90% solvent D (Milli-Q water with 0.005% TFA) to 100% solvent C over 12 minutes, held at 100% for 2 minutes and returned to initial conditions over 2 minutes. The initial condition was run for 6 minutes before next injection. The flow was kept constant at 5 mL/minute and the injection volume was set to 100 µL. Thirteen fractions containing peaks observed at 234 nm eluting between 5.5 and 10.7 minutes were collected over 33 injections. Each of the collected fractions were frozen and lyophilized to dryness and re-dissolved in 200–400 µL LCMS-grade methanol. The samples were centrifuged at 14,100× g and transferred to 1.5 mL HPLC vials with 200 µL inserts. Two µL of each sample were analyzed as described previously by HPLC-DAD-HRMS using the same setting. Purification of the compounds was performed by manual collection from 30 µL injections by following the UV trace at 234 nm, where the waste-flow was redirected to 15 mL glass vials when peaks were observed to elute. Compounds 13 eluted as one peak and were collected in the same fraction. Compounds 4 and 5 both eluted as individual peaks. Collected fractions were frozen with liquid nitrogen and dried by lyophilization. The dried samples were re-dissolved in 550 µL deuterated methanol-d4 and transferred to 5 mm NMR tubes and analyzed by NMR. The 1H NMR spectra of (18) are in the Supplementary Materials.
Setup 2 (compound 6): Five additional plates containing solid banana media were inoculated with 10 µL spores. These were incubated for 7 days at 25 °C in the dark. The agar plates were diced (approx. 0.3 × 0.3 cm), otherwise extraction proceeded as described previously. The dried sample was re-dissolved in 1.3 mL methanol and centrifuged at 14,100× g for 5 minutes. The supernatant was transferred to a HPLC vial and 12 runs of 100 µL were injected into the semi-preparative 1260 Infinity HPLC system with a flow of 5 mL/min. The gradient initiated at 20% solvent C and 80% solvent D, increasing to 100% solvent C over 30 minutes and returning to initial conditions over the next 3 minutes. Compound 6 was collected between 11.3 and 11.5 minutes. The collected fraction was lyophilized and re-dissolved in 40 µL deuterated methanol-d4 and transferred to a 1.7 mm NMR tube and analyzed by NMR.
Setup 3 (compounds 78): Thirty plates of solid banana medium were inoculated with 10 µL spores and incubated at 25 °C in the dark for 14 days. The agar plates were diced (approx. 0.3 × 0.3 cm) and the mycelia were covered with ethyl acetate containing 1% formic acid. The following extraction proceeded as described for setup 2. The dried metabolites were re-dissolved in 4 mL methanol. The sample was centrifuged at 10,000× g for 5 minutes prior to HPLC analysis. The extract was analyzed by HPLC-DAD-HRMS using 10 µL injection volume. Compounds 7 and 8 were collected using the semi-preparative 1260 Infinity HPLC system applying two different gradients. Two mL of the sample were separated using a gradient initiating at 30% solvent C otherwise with the same settings described for setup 2. Compound 8 was collected between 7.2–7.5 minutes. The remaining 2 mL were separated using the same settings described for setup 2 and compounds 7 and 8 were collected between 7.65–7.95 and 11.4‒11.7 minutes, respectively. All collected fractions were frozen in liquid nitrogen and lyophilized. The two samples containing compound 8 were pooled into 1 mL methanol-d4 and transferred to a 5 mm NMR tube. Compound 7 was re-dissolved in 40 µL methanol-d4 and transferred to a 1.7 mm NMR tube. Both samples were analyzed by NMR.
Structure elucidation was achieved by NMR using a Bruker AVIII-600 MHz NMR spectrometer (Bruker BioSpin, Fällanden, Switzerland) equipped with a cryogenically cooled probe with z-gradients and all spectra were recorded in deuterated methanol at 298.1 K. All samples were analyzed with 1H-NMR (zg30), multiplicity-edited 2D-[1H-13C]-HSQC (pulse program: hsqcedetgpsisp2.3), double-quantum filtered 2D [1H-1H]-COSY (pulse program: cosygpmfph) and a non-decoupled 2D-[1H-13C]-HMBC (pulse program: hmbcetgpl3nd). A ROESY (pulse program: roesyetgp.2) experiment was recorded for compounds 48. Compounds 13 were additionally analyzed with a NOESY (pulse program: noesygpphpr) and a TOCSY (pulse program: mlevetgppr) experiment. All spectra were recorded and analyzed using Topspin 3.5 (Bruker) and all 13C chemical shifts were evaluated by the CSEARCH-Robot-Referee [26].
For the vibrational spectra measurement, the sample of 1 mg of 7 in 50 µL of methanol was loaded into a BaF2 cell of 15 µm pathlength. VCD and IR spectra were measured with a Chiral IR-2X VCD spectrometer (BioTools, Inc., Jupiter, FL, USA) as blocks of 2048 scans at 8 cm−1 resolution. In total, 3 blocks were acquired and subsequently averaged to increase S/N ratio. Solvent spectra measured at identical conditions were subtracted as a baseline.
For the lowest-energy conformer of 7 the IR and VCD spectra were calculated at the B3PW91/6-31++G** approximation level with the COSMO (methanol) solvent model using the Gaussian program suite [27,28,29].

4. Conclusions

We have demonstrated that new polyketides can be induced by exotic growth media such as bananas, and that it is important to continue the search for original growth media in order to explore non-discovered secondary metabolite clusters from fungi. In summary, we isolated and elucidated the structure of eight analogous compounds spiroleptosphol T1, T2 and U―Z by mass spectrometry and NMR spectroscopy. The relative stereo configuration was established by NMR and the absolute configuration of spiroleptosphol Y was solved using vibrational circular dichroism. Finally, we proposed a biosynthetic pathway which includes all eight compounds described through our results. So far, no biological activity of the spiroleptosphols could be found.
The production of this whole cluster of compounds can easily be imagined to be the results of a single polyketide synthase leading to the initial product (a) or 6. The chemistry leading to those two compounds is in agreement for the proposed biosynthetic pathways for spiroleptosphols from L. doliolum [24].

Supplementary Materials

The following are available online, Figure S1: 1D 1H-NMR spectra of (15), Figure S2: 1D 1H-NMR spectra of (68).

Author Contributions

Conceptualization, J.L.S., J.W., M.H., M.A.J., M.L.M., T.E.S. and R.W.; investigation, all; writing—original draft preparation, K.R.W.; writing—review and editing, all; project administration, T.E.S., J.L.S. and R.W.; funding acquisition, T.E.S. and R.W.

Funding

This work was supported by the NovoNordisk Foundation (NNF15OC0016186) and the Czech Ministry of Education (LTC17012 and CZ.02.1.01/0.0/0.0/16_019/0000729). The NMR laboratory at Aalborg University is supported by the Obel Family, Carlsberg and SparNord foundations.

Conflicts of Interest

The authors declare no conflict of interest.

References

  1. Hansen, F.T.; Gardiner, D.M.; Lysøe, E.; Fuertes, P.R.; Tudzynski, B.; Wiemann, P.; Sondergaard, T.E.; Giese, H.; Brodersen, D.E.; Sørensen, J.L. An update to polyketide synthase and non-ribosomal synthetase genes and nomenclature in Fusarium. Fungal Genet. Biol. 2015, 75, 20–29. [Google Scholar] [CrossRef]
  2. Brown, D.W.; Proctor, R.H. Insights into natural products biosynthesis from analysis of 490 polyketide synthases from Fusarium. Fungal Genet. Biol. 2016, 89, 37–51. [Google Scholar] [CrossRef]
  3. Sørensen, J.L.; Akk, E.; Thrane, U.; Giese, H.; Sondergaard, T.E. Production of fusarielins by Fusarium. Int. J. Food Microbiol. 2013, 160, 206–211. [Google Scholar] [CrossRef]
  4. Sondergaard, T.E.; Klitgaard, L.G.; Purup, S.; Kobayashi, H.; Giese, H.; Sørensen, J.L. Estrogenic effects of fusarielins in human breast cancer cell lines. Toxicol. Lett. 2012, 214, 259–262. [Google Scholar] [CrossRef]
  5. Sondergaard, T.E.; Fredborg, M.; Oppenhagen Christensen, A.M.; Damsgaard, S.K.; Kramer, N.F.; Giese, H.; Sørensen, J.L. Fast screening of antibacterial compounds from Fusaria. Toxins (Basel) 2016, 8, 355. [Google Scholar] [CrossRef]
  6. Westphal, K.R.; Muurmann, A.T.; Paulsen, I.E.; Nørgaard, K.T.H.; Overgaard, M.L.; Dall, S.M.; Aalborg, T.; Wimmer, R.; Sørensen, J.L.; Sondergaard, T.E. Who needs neighbors? PKS8 is a stand-alone gene in Fusarium graminearum responsible for production of gibepyrones and prolipyrone B. Molecules 2018, 23, 2232. [Google Scholar] [CrossRef]
  7. Bogner, C.W.; Kamdem, R.S.T.; Sichtermann, G.; Matthäus, C.; Hölscher, D.; Popp, J.; Proksch, P.; Grundler, F.M.W.; Schouten, A. Bioactive secondary metabolites with multiple activities from a fungal endophyte. Microb. Biotechnol. 2017, 10, 175–188. [Google Scholar] [CrossRef]
  8. Brakhage, A.A.; Schroeckh, V. Fungal secondary metabolites - Strategies to activate silent gene clusters. Fungal Genet. Biol. 2011, 48, 15–22. [Google Scholar] [CrossRef]
  9. Bode, H.B.; Bethe, B.; Hofs, R.; Zeeck, A. Big effects from small changes: Possible ways to explore nature’s chemical diversity. Chembiochem 2002, 3, 619–627. [Google Scholar] [CrossRef]
  10. Sørensen, J.L.; Sondergaard, T.E. The effects of different yeast extracts on secondary metabolite production in Fusarium. Int. J. Food Microbiol. 2014, 170, 55–60. [Google Scholar] [CrossRef]
  11. Sørensen, J.L.; Nielsen, K.F.; Sondergaard, T.E. Redirection of pigment biosynthesis to isocoumarins in Fusarium. Fungal Genet. Biol. 2012, 49, 613–618. [Google Scholar] [CrossRef]
  12. Hashimoto, M.; Tsushima, T.; Murakami, T.; Nomiya, M.; Takada, N.; Tanaka, K. Spiroleptosphol isolated from Leptosphaeria doliolum. Bioorg. Med. Chem. Lett. 2008, 18, 4228–4231. [Google Scholar] [CrossRef]
  13. Murakami, T.; Tsushima, T.; Takada, N.; Tanaka, K.; Nihei, K.; Miura, T.; Hashimoto, M. Four analogues of spiroleptosphol isolated from Leptosphaeria doliolum. Bioorg. Med. Chem. 2009, 17, 492–495. [Google Scholar] [CrossRef]
  14. Oh, H.; Swenson, D.C.; Gloer, J.B.; Shearer, C.A. New bioactive rosigenin analogues and aromatic polyketide metabolites from the freshwater aquatic fungus Massarina tunicata. J. Nat. Prod. 2003, 66, 73–79. [Google Scholar] [CrossRef]
  15. Albinati, A.; Brückner, S.; Camarda, L.; Nasini, G. Rosigenin, an unusual metabolite from Mycosphaerella rosigena. Tetrahedron 1980, 36, 117–121. [Google Scholar] [CrossRef]
  16. Wijeratne, E.M.K.; Gunaherath, G.M.K.B.; Chapla, V.M.; Tillotson, J.; de la Cruz, F.; Kang, M.; U’Ren, J.M.; Araujo, A.R.; Arnold, A.E.; Chapman, E.; et al. Oxaspirol B with p97 inhibitory activity and other oxaspirols from Lecythophora sp. FL1375 and FL1031, endolichenic fungi inhabiting Parmotrema tinctorum and Cladonia evansii. J. Nat. Prod. 2016, 79, 340–352. [Google Scholar] [CrossRef]
  17. Ayer, W.A.; Craw, P.A.; Neary, J. Metabolites of the fungus Arthropsis truncata. Can. J. Chem. 1992, 70, 1338–1347. [Google Scholar] [CrossRef]
  18. Rether, J.; Erkel, G.; Anke, T.; Sterner, O. Inhibition of inducible TNF-α expression by oxaspirodion, a novel spiro-compound from the ascomycete Chaetomium subspirale. Biol. Chem. 2004, 385, 829–834. [Google Scholar] [CrossRef]
  19. Namikoshi, M.; Kobayashi, H.; Yoshimoto, T.; Meguro, S.; Akano, K. Isolation and characterization of bioactive metabolites from marine-derived filamentous fungi collected from tropical and sub-tropical coral reefs. Chem. Pharm. Bull. (Tokyo) 2000, 48, 1452–1457. [Google Scholar] [CrossRef]
  20. Hussain, H.; Ahmed, I.; Schulz, B.; Draeger, S.; Florke, U.; Pescitelli, G.; Krohn, K. Solid-state circular dichroism and hydrogen bonding: Absolute configuration of massarigenin A from Microsphaeropsis sp. Chirality 2011, 23, 617–623. [Google Scholar] [CrossRef]
  21. Guiraud, P.; Steiman, R.; Seigle-Murandi, F.; Buarque De Gusmao, N. Antimicrobial and antitumor activities of mycosporulone. J. Nat. Prod. 1999, 62, 1222–1224. [Google Scholar] [CrossRef]
  22. Abdel-Wahab, M.A.; Asolkar, R.N.; Inderbitzin, P.; Fenical, W. Secondary metabolite chemistry of the marine-derived fungus Massarina sp., strain CNT-016. Phytochemistry 2007, 68, 1212–1218. [Google Scholar] [CrossRef]
  23. Fukami, A.; Taniguchi, Y.; Nakamura, T.; Rho, M.C.; Kawaguchi, K.; Hayashi, M.; Komiyama, K.; Omura, S. New members of the macrosphelides from Microsphaeropsis sp. FO-5050 IV. J. Antibiot. (Tokyo) 1999, 52, 501–504. [Google Scholar] [CrossRef]
  24. Murakami, T.; Takada, N.; Hashimoto, M. Biosynthetic studies of spiroleptosphol. Bioorg. Med. Chem. Lett. 2009, 19, 1122–1125. [Google Scholar] [CrossRef]
  25. Sørensen, J.L.; Giese, H. Influence of carbohydrates on secondary metabolism in Fusarium avenaceum. Toxins (Basel) 2013, 5, 1655–1663. [Google Scholar] [CrossRef]
  26. Robien, W. A Critical evaluation of the quality of published 13C NMR data in natural product chemistry. Prog. Chem. Org. Nat. Prod. 2017, 105, 137–215. [Google Scholar] [CrossRef]
  27. Perdew, J.P.; Burke, K.; Wang, Y. Generalized gradient approximation for the exchange-correlation hole of a many-electron system. Phys. Rev. B Condens. Matter 1996, 54, 16533–16539. [Google Scholar] [CrossRef]
  28. Klamt, A.; Schüürmann, G. COSMO: A new approach to dielectric screening in solvents with explicit expressions for the screening energy and its gradient. J. Chem. Soc. Perkins Trans. 2 1993, 0, 799–805. [Google Scholar] [CrossRef]
  29. Frisch, M.J.; Trucks, G.W.; Schlegel, H.B.; Scuseria, G.E.; Robb, M.A.; Cheeseman, J.R.; Scalmani, G.; Barone, V.; Mennucci, B.; Petersson, G.A.; et al. Gaussian09; Revision D01; Gaussian Inc.: Wallingford, CT, USA, 2009. [Google Scholar]
Sample Availability: Samples of the compounds can be purified from fungal strains. Strains are available from the authors.
Figure 1. Spiroleptosphols and analogous compounds known from literature.
Figure 1. Spiroleptosphols and analogous compounds known from literature.
Molecules 24 03498 g001
Figure 2. HPLC-HRMS of a pre-fractionated metabolite extract from F. avenaceum grown on banana media showing 18. (a) Base peak chromatogram (black) and colored extracted ion chromatograms of 18. 13 and 5 [M + H]+ EIC = 279.1227 Da. 4 [M + Na]+ EIC = 315.1204 Da. 6 and 8 [M + H]+ EIC = 321.1324 Da. (7) [M + H]+ EIC = 339.1438 Da.; (b) six mass spectra showing ion adducts from compounds 18.; (c) Polyketides 18.
Figure 2. HPLC-HRMS of a pre-fractionated metabolite extract from F. avenaceum grown on banana media showing 18. (a) Base peak chromatogram (black) and colored extracted ion chromatograms of 18. 13 and 5 [M + H]+ EIC = 279.1227 Da. 4 [M + Na]+ EIC = 315.1204 Da. 6 and 8 [M + H]+ EIC = 321.1324 Da. (7) [M + H]+ EIC = 339.1438 Da.; (b) six mass spectra showing ion adducts from compounds 18.; (c) Polyketides 18.
Molecules 24 03498 g002
Figure 3. Homonuclear 2D NMR correlations of 14 showing TOCSY/COSY (blue) and NOESY/ROESY (red) correlations. TOCSY, COSY and NOESY was applied for 13 while COSY and ROESY was applied for 4.
Figure 3. Homonuclear 2D NMR correlations of 14 showing TOCSY/COSY (blue) and NOESY/ROESY (red) correlations. TOCSY, COSY and NOESY was applied for 13 while COSY and ROESY was applied for 4.
Molecules 24 03498 g003
Figure 4. Diagnostic 2D NMR of 58 showing COSY (blue) and ROESY (red) correlations.
Figure 4. Diagnostic 2D NMR of 58 showing COSY (blue) and ROESY (red) correlations.
Molecules 24 03498 g004
Figure 5. Calculated (red) and experimental (black) VCD (top) and IR (bottom) spectra of 7, and the structure including annotation of the absolute configuration of 7 as used for the calculation. For easier orientation, corresponding bands are numbered. The large shift between the carbonyl vibrations (1 and 1’, calc. vs. exp.) is caused by the approximate solvent model in the calculations; the other two most intense IR bands (5 and 8) largely involve OH bending and CO stretching.
Figure 5. Calculated (red) and experimental (black) VCD (top) and IR (bottom) spectra of 7, and the structure including annotation of the absolute configuration of 7 as used for the calculation. For easier orientation, corresponding bands are numbered. The large shift between the carbonyl vibrations (1 and 1’, calc. vs. exp.) is caused by the approximate solvent model in the calculations; the other two most intense IR bands (5 and 8) largely involve OH bending and CO stretching.
Molecules 24 03498 g005
Figure 6. Proposed biosynthetic pathway for compounds 18. All faded structures (ah) are hypothetical intermediates which were not observed in this study. Red brackets indicate unstable intermediates or equilibria between compounds existing simultaneously. Equilibrium and reaction arrows are connected to the curved arrows of the respective color.
Figure 6. Proposed biosynthetic pathway for compounds 18. All faded structures (ah) are hypothetical intermediates which were not observed in this study. Red brackets indicate unstable intermediates or equilibria between compounds existing simultaneously. Equilibrium and reaction arrows are connected to the curved arrows of the respective color.
Molecules 24 03498 g006
Table 1. NMR spectroscopic data (600 MHz, methanol-d4, 298.1 K) of spiroleptosphol U (1), T1 (2), T2 (3) and W (4).
Table 1. NMR spectroscopic data (600 MHz, methanol-d4, 298.1 K) of spiroleptosphol U (1), T1 (2), T2 (3) and W (4).
Spiroleptosphol U (1)Spiroleptosphol T1 (2)
#δCtypeδH (J in Hz)HMBC 2δCtypeδH (J in Hz)HMBC 2
118.2CH31.74 12–4,6,7,1118.2CH31.74 12–6,7,11
2131.5CH5.71 11,4–6130.7CH5.70 11,4,5
3131.9CH6.03 11,4–6132.3CH6.06 11,4,5
4136.6CH6.05 11–3,6134.7CH6.10 12,3,5,6,11
5127.5CH5.24 (ddd, 1.3;9.6;14.4)1–3,6,7,11128.1CH5.51 (dd, 7.9;14.9)2,3,6,7,11
646.5CH3.64 (ddd, 2.7;9.6)4,7–12,1547.9CH3.44 14,5,7–12,15
7135.4CH5.61 (ddd, 1.0;2.9;9.2)5,6,9–12136.1CH5.86 (dd, 2.6;9.4)5,6,8–12
8127.6CH6.16 (ddd, 2.7;5.8;9.2)5–7,9–11128.3CH6.25 (ddd, 2.6;5.9;9.4)4–7,9–11
979.2CH4.52 (d, 5.8)7,8,10–12,1575.2CH4.75 (dd, 5.9)6–8,10–13,15
1078.6CH4.51 (s)6,11–13,1582.7CH4.41 (s)6,8,9,11,12,14,15
1159.0C 59.0C
1275.7CH4.36 (s)6,10,11,13,1586.0CH4.33 (s)6,11,13–15
13212.6C 109.6C
1428.4CH32.35 (s)1224.0CH31.34 (s)6,11,12,13
15176.0C 177.9C
Spiroleptosphol T2 (3)Spiroleptosphol W (4)
#δCtypeδH (J in Hz)HMBC 2δCtypeδH (J in Hz)HMBC 2
118.2CH31.74 12,4–6,1118.2CH31.74 (dd, 1.3;6.8) 2–5
2130.3CH5.69 11,4,5130.7CH5.70 (dq, 6.7;14.6)1,4,5
3132.5CH6.06 11,3,5,6,11132.3CH6.05 (ddq, 1.5;10.5;14.7)1,4,5
4134.4CH6.09 12,6134.7CH6.11 (dd, 10.4;15.0)2,3,5–7,11
5128.5CH5.59 13,6,7,11128.1CH5.50 (dd, 7.9;14.9)2,3,6,7,11
648.2CH3.43 14,5,7–12,1548.0CH3.44 (ddd, 2.5;2.5;8.0)4,5,7,11,12,15
7136.0CH5.82 (dd, 2.5;9.3)5,6,8–12136.2CH5.85 (ddd, 0.6;2.7;9.4)5,6,9–12
8128.8CH6.23 (ddd, 2.7;5.8;9.5)4–7,9–11128.2CH6.25 5–7,9–11
975.7CH4.73 (d, 5.8)6–8,10–12,1575.0CH4.79 (dd, 0.6;5.9)6–8,10,11,15
1083.5CH4.24 (s)6,8,9,12–1583.0CH4.31 (s)6,8,9,11,12,15
1157.1C 58.9C
1281.9CH4.17 (s)6,11,13–1586.0CH4.32 (s)6,11,13–15
13104.7C 112.8C
1425.9CH31.48 (s)11–1318.9CH31.30 (s)12,13
15177.2C 177.8C
16 49.6CH33.30 (s)12,13
1 Partially overlapping or obscured 1H resonance; 2 1H-13C HMBC correlations with H→C directionality.
Table 2. NMR spectroscopic data (600 MHz, methanol-d4, 298.1 K) of spiroleptosphol V (5), Z (6), Y (7) and X (8).
Table 2. NMR spectroscopic data (600 MHz, methanol-d4, 298.1 K) of spiroleptosphol V (5), Z (6), Y (7) and X (8).
Spiroleptosphol V (5)Spiroleptosphol Z (6)
#δCtypeδH (J in Hz)HMBC 2δCtypeδH (J in Hz)HMBC 2
117.9CH31.71 (d, 7.3)2–518.0CH31.73 (dd, 1.4;6.8)2–6,11
2128.8CH5.62 (dq, 6.9;14.2)1,4–6130.7CH5.66 (dq, 6.7;15.0)1,3–5
3132.4CH6.03 11,4,5132.0CH5.95 (ddq, 1.5;10.3;15.0)1,4,5
4131.5CH6.05 12,3,6135.5CH6.06 (dd, 10.3;15.2)1–3,5,6,11
5131.0CH5.71 (dd, 6.9;14.5)1–3,6,11128.6CH5.51 (dd, 8.7;15.2)2–4,6,7,11
636.2CH4.30 (dd, 7.1;9.6)5,7,8,11,12,1540.1CH3.43 (ddd, 2.1:2.4;8.7)4,5,8,10–12,15
7132.5CH5.89 (ddd, 1.1;9.8;11.0)4,6,9,10,11130.3CH5.63 (ddd, 1.7;2.8;10.2)5,6,9–11
8129.9CH5.36 (ddd, 1.0;8.5;11.0)5,6,9,10,11128.3CH5.82 (ddd, 2.6;3.8;10.2)3,5–7,9–11
969.4CH4.56 (dddd, 1.2;4.5,7.0,8.3)7,8,1064.3CH4.39 (ddd, 1.8;3.6;6.9)6–8,10,11,15
1066.9CH23.40 (dd, 7.0;11.2)8,972.0CH5.16 (d, 5.0)6–9,11,12,15,16
3.44 (dd, 4.5;11.2)8,9
11103.9C 55.2C
12166.7C 70.9CH4.94 (dd, 2.3;2.6)6,10,11,13–15
13153.0C 158.9C
1490.6CH24.91 (d, 2.6)6,11–1389.2CH24.76 (dd, 2.6;2.6)10–13,15
5.06 (d, 2.6)6,12,13,15 4.63 (dd, 2.3;2.6)10–13,15
15172.3C 174.6C
16 171.8C
17 20.7CH32.12 (s)9,10,16
Spiroleptosphol Y (7)Spiroleptosphol X (8)
#δCtypeδH (J in Hz)HMBC 2δCtypeδH (J in Hz)HMBC 2
118.0CH31.71 (d, 6.5)2,317.9CH31.74 (d, 6.7)2–5
2129.0CH5.60 11129.3CH5.67 (dq, 6.8;14.8)1,3–5
3132.7CH5.99 11132.4CH6.06 (dd, 14.8;10.5)4,7
4133.1CH6.00 16134.1CH6.21 (dd, 10.4;15.3)2,3,6,7,11
5131.9CH5.64 11,3128.5CH5.96 (dd, 8.5;15.3)2–4,6,7,11
640.3CH3.65 14,541.6CH3.32 1
7131.5CH5.59 16,9,11137.4CH5.91 (d, 10.0)5,6,8,9,11
8127.6CH5.58 16,9,11122.8CH5.74 15–7,9–11
965.5CH4.39 1 63.9CH5.42 (dd, 4.6;4.6)7,8,10,11,16
1073.3CH5.31 (d, 3.8)6,8,9,11,15,1677.0CH4.38 (d, 4.3)6,9,11–13,15,17
1152.5C 56.5C
1277.5CH4.01 (s)6,10,11,1483.8CH4.23 (s)6,10,13,15
13104.7C 111.9C
1425.0CH31.60 (s)12,1314.8CH31.55 (s)6,10–13,15
15175.9C 174.6C
16172.6C 171.7C
1721.2CH32.10 (s)1620.4CH32.01 (s)9,16
1 Partially overlapping or obscured 1H resonance; 2 1H-13C HMBC correlations with H→C directionality.

Share and Cite

MDPI and ACS Style

Westphal, K.R.; Werner, M.I.H.; Nielsen, K.A.H.; Sørensen, J.L.; Andrushchenko, V.; Winde, J.; Hertz, M.; Jensen, M.A.; Mortensen, M.L.; Bouř, P.; et al. Characterization of Eight Novel Spiroleptosphols from Fusarium avenaceum. Molecules 2019, 24, 3498. https://doi.org/10.3390/molecules24193498

AMA Style

Westphal KR, Werner MIH, Nielsen KAH, Sørensen JL, Andrushchenko V, Winde J, Hertz M, Jensen MA, Mortensen ML, Bouř P, et al. Characterization of Eight Novel Spiroleptosphols from Fusarium avenaceum. Molecules. 2019; 24(19):3498. https://doi.org/10.3390/molecules24193498

Chicago/Turabian Style

Westphal, Klaus Ringsborg, Manuela Ilse Helga Werner, Katrine Amalie Hamborg Nielsen, Jens Laurids Sørensen, Valery Andrushchenko, Jacob Winde, Morten Hertz, Mikkel Astrup Jensen, Mathilde Lauge Mortensen, Petr Bouř, and et al. 2019. "Characterization of Eight Novel Spiroleptosphols from Fusarium avenaceum" Molecules 24, no. 19: 3498. https://doi.org/10.3390/molecules24193498

APA Style

Westphal, K. R., Werner, M. I. H., Nielsen, K. A. H., Sørensen, J. L., Andrushchenko, V., Winde, J., Hertz, M., Jensen, M. A., Mortensen, M. L., Bouř, P., Sondergaard, T. E., & Wimmer, R. (2019). Characterization of Eight Novel Spiroleptosphols from Fusarium avenaceum. Molecules, 24(19), 3498. https://doi.org/10.3390/molecules24193498

Article Metrics

Back to TopTop