ON/OFF Photostimulation of Isatin Bipyridyl Hydrazones: Photochemical and Spectral Study
Abstract
1. Introduction
2. Results and Discussion
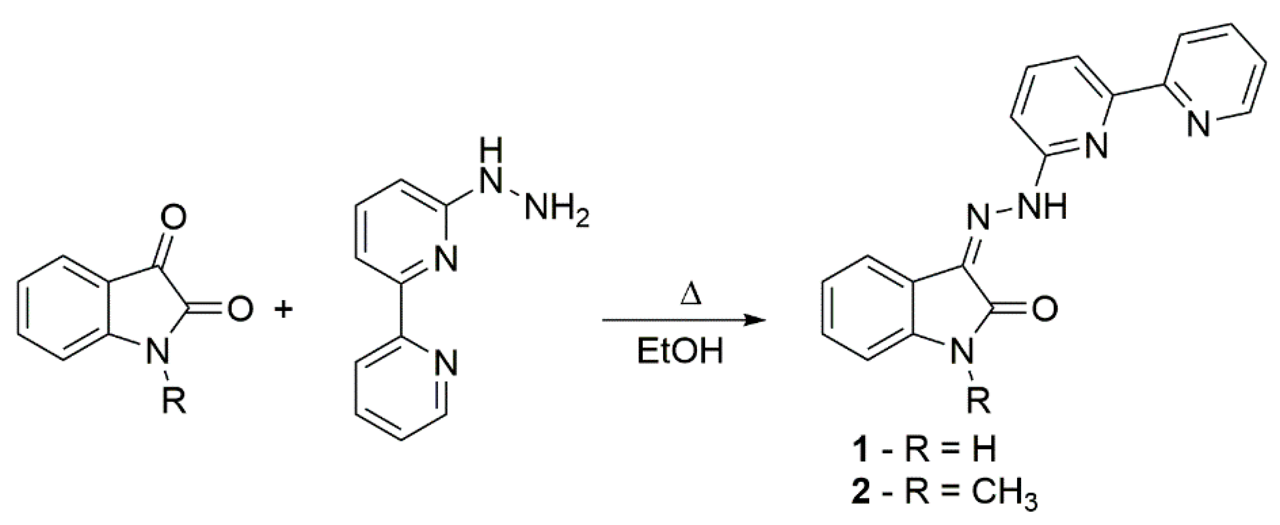
2.1. Synthesis
2.2. UV-Vis and Fluorescence Spectra of Studied Hydrazones
2.3. Photochemical and Thermal Reactivity of Hydrazones
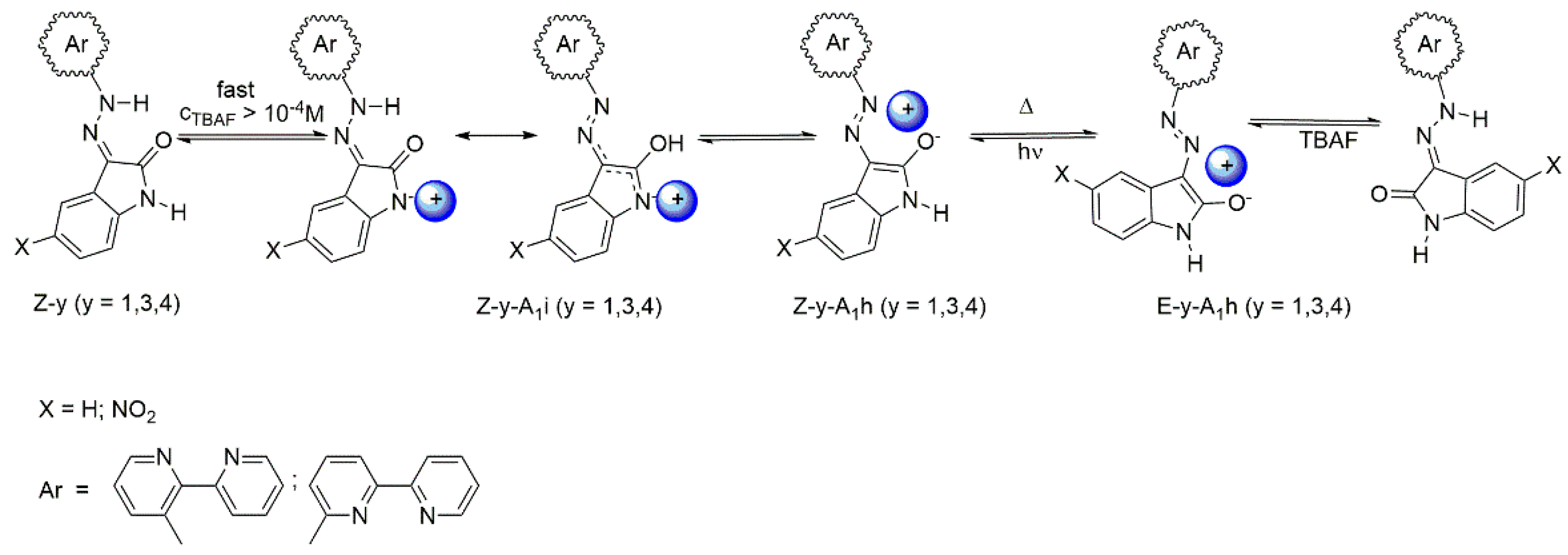
2.4. Studied Hydrazones N-Anions Thermal Reactivity
TBAF Titration—UV-Vis Spectra
2.5. Titration with TBAF—NMR Spectra
2.6. Photochemical Reactivity of Studied Hydrazone N-anions
3. Materials and Methods
3.1. General Information
3.2. Synthesis
3.2.1. Synthesis of Hydrazones 1 and 2
3.2.2. Synthesis of Hydrazones 3 and 4
3.3. Spectroscopic Measurements
3.4. HPLC Chromatography
3.5. Quantum Chemical Calculations
4. Conclusions
Supplementary Materials
Author Contributions
Funding
Conflicts of Interest
References and Notes
- Bandara, H.M.D.; Burdette, S.C. Photoisomerization in different classes of azobenzene. Chem. Soc. Rev. 2012, 41, 1809–1825. [Google Scholar] [CrossRef] [PubMed]
- Irie, M. Diarylethenes for Memories and Switches. Chem. Rev. 2000, 100, 1685–1716. [Google Scholar] [CrossRef] [PubMed]
- Klajn, R. Spiropyran-based dynamic materials. Chem. Soc. Rev. 2014, 43, 148–184. [Google Scholar] [CrossRef] [PubMed]
- García-Iriepa, C.; Marazzi, M.; Frutos, L.M.; Sampedro, D. E/Z Photochemical switches: Syntheses, properties and applications. RSC Adv. 2013, 3, 6241–6266. [Google Scholar] [CrossRef]
- Su, X.; Aprahamian, I. Hydrazone-based switches, metallo-assemblies and sensors. Chem. Soc. Rev. 2014, 43, 1963–1981. [Google Scholar] [CrossRef] [PubMed]
- Tatum, L.A.; Su, X.; Aprahamian, I. Simple hydrazone building blocks for complicated functional materials. Accounts Chem. Res. 2014, 47, 2141–2149. [Google Scholar] [CrossRef] [PubMed]
- Chaur, M.N.; Collado, D.; Lehn, J.M. Configurational and constitutional information storage: Multiple dynamics in systems based on pyridyl and acyl hydrazones. Chem. A Eur. J. 2011, 17, 248–258. [Google Scholar] [CrossRef] [PubMed]
- Göstl, R.; Senf, A.; Hecht, S. Remote-controlling chemical reactions by light: Towards chemistry with high spatio-temporal resolution. Chem. Soc. Rev. 2014, 43, 1982–1996. [Google Scholar] [CrossRef] [PubMed]
- Stoll, R.S.; Hecht, S. Artificial Light-Gated Catalyst Systems. Angew. Chem. Int. Ed. 2010, 49, 5054–5075. [Google Scholar] [CrossRef] [PubMed]
- Khan, A.; Kaiser, C.; Hecht, S. Prototype of a Photoswitchable Foldamer. Angew. Chem. Int. Ed. 2006, 45, 1878–1881. [Google Scholar] [CrossRef] [PubMed]
- Hafezi, N.; Vantomme, G.; Lehn, J.-M. A light-induced reversible phase separation and its coupling to a dynamic library of imines. Chem. Sci. 2014, 5, 1475–1483. [Google Scholar]
- Shao, B.; Qian, H.; Li, Q.; Aprahamian, I. Structure Property Analysis of the Solution and Solid-State Properties of Bistable Photochromic Hydrazones. J. Am. Chem. Soc. 2019. [Google Scholar] [CrossRef] [PubMed]
- Horváth, M.; Cigáň, M.; Filo, J.; Jakusová, K.; Gáplovský, M.; Šándrik, R.; Gáplovský, A. Isatin pentafluorophenylhydrazones: Interesting conformational change during anion sensing. RSC Adv. 2016, 6, 109742–109750. [Google Scholar] [CrossRef]
- Cigáň, M.; Jakusová, K.; Gáplovský, M.; Filo, J.; Donovalová, J.; Gáplovský, A. Isatin phenylhydrazones: Anion enhanced photochromic behaviour. Photochem. Photobiol. Sci. 2015, 14, 2064–2073. [Google Scholar] [CrossRef] [PubMed]
- Tisovský, P.; Šandrik, R.; Horváth, M.; Donovalová, J.; Jakusová, K.; Cigáň, M.; Sokolík, R.; Gáplovský, A.; Gáplovský, M.; Filo, J. Effect of Structure on Charge Distribution in the Isatin Anions in Aprotic Environment: Spectral Study. Molecules 2017, 22, 1961. [Google Scholar] [CrossRef] [PubMed]
- Van Dijken, D.J.; Kovaříček, P.; Ihrig, S.P.; Hecht, S. Acylhydrazones as Widely Tunable Photoswitches. J. Am. Chem. Soc. 2015, 137, 14982–14991. [Google Scholar] [CrossRef] [PubMed]
- Tisovský, P.; Horváth, M.; Csicsai, K.; Donovalová, J.; Filo, J.; Cigáň, M.; Sokolík, R.; Addová, G.; Gáplovský, A. Isatin-1,8-Naphthalimide Hydrazones: A Study of Their Sensor and ON/OFF Functionality. Molecules 2019, 24, 397. [Google Scholar] [CrossRef] [PubMed]
- Shao, J.; Wang, Y.; Lin, H.; Li, J.; Lin, H. A novel indole phenylhydrazone receptor: Synthesis and recognition for acetate anion. Sens. Actuators B Chem. 2008, 134, 849–853. [Google Scholar] [CrossRef]
- Wang, Y.; Lin, H.; Shao, J.; Cai, Z.S.; Lin, H.K. A phenylhydrazone-based indole receptor for sensing acetate. Talanta 2008, 74, 1122–1125. [Google Scholar] [CrossRef] [PubMed]
- Both compounds 1 and 3 have the corresponding pKa values almost equal. The pKa1 and pKa2 values are the relative NH hydrogen acidity degree in the hydrazone molecule. pKa1 is the isatin fragment NH hydrogen acidity degree. Such assignment of pKa values to NH hydrogen is consistent with the observed H-D exchange (Supplementary Figure S5). By hydrazone 3 (Supplementary Figure S5a–c), the H-D exchange rate is higher in the NH hydrogen exchange process from the isatin fragment than the NH hydrogen exchange rate from the hydrazone moiety of the molecule.
- Haviv, E.; Shimon, L.J.; Neumann, R. Photochemical Reduction of CO2 with Visible Light Using a Polyoxometalate as Photoreductant. Chemistry 2017, 23, 92–95. [Google Scholar] [CrossRef] [PubMed]
- Frisch, M.J.; Trucks, G.W.; Schlegel, H.B.; Scuseria, G.E.; Robb, M.A.; Cheeseman, J.R.; Scalmani, G.; Barone, V.; Petersson, G.A.; Nakatsuji, H.; et al. Gaussian 09, Revision A.02; Gaussian, Inc.: Wallingford, CT, USA, 2016; Available online: https://gaussian.com/g09citation/ (accessed on 1 November 2016).
Sample Availability: Samples of the compounds 1–4 are available from the authors. |
























| Compound | UV-Vis | Fluorescence | ||||||||
|---|---|---|---|---|---|---|---|---|---|---|
| DMF | CHCl3 | DMF | CHCl3 | |||||||
| λmax (nm) log(ε) (l mol cm−1) | λmax (nm) log(ε) (l mol cm−1) | λem/λexc (nm) | Stokes Shift (cm−1) | τ (ns) | ɸF | λem/λexc (nm) | Stokes Shift (cm−1) | τ (ns) | ɸF | |
| 1 | 383 4.40 | 391 4.22 | 557/383 | 8156 | τ1 = 0.13 (80.4%) τ2 = 7.69 (19.6%) χ2 = 0.97 | <0.01 | 521/390 | 6382 | τ1 = 0.17 (89.9%) τ2 = 5.54 (10.1%) χ2 = 0.92 | <0.01 |
| 2 | 382 4.38 | 386 4.38 | 464/383 | 4626 | τ1 = 0.12 (80%) τ2 = 8.17 (20%) χ2 = 1.16 | <0.01 | 561/390 | 8081 | τ1 = 0.26 (74%) τ2 = 7.82 (26%) χ2 = 1.3 | <0.01 |
| 3 | 414 4.40 | 422 4.37 | 490/412 | 3746 | τ1 = 4.21 (93.6%) τ2 = 9.51 (6.4%) χ2 = 1.33 | 0.04 | 483/420 | 2993 | τ1 = 3.46 (29.8%); τ2 = 6.77 (70.2%) χ2 = 1.33 | 0.02 |
| 4 * | 411 4.08 | 353 3.97 418 4.13 | 507/412 ** 640/412 | 8060 ** 8706 | τ1 = 0.11 (11.8%) τ2 = 4.99 (72.2%) τ3 = 19.5 (16.0%) χ2 = 1.23 | <0.01 | 480/420 | 3090 | τ1 = 0.41 (4.5%) τ2 = 3.41 (95.5%) χ2 = 1.29 | <0.01 |
| Compound | DMF/25 °C | CHCl3/25 °C | DMF/80 °C | |
|---|---|---|---|---|
| [Z]/[E] | [Z]/[E] | 105 × kE-Z [s−1] | 104 × kt [s−1] | |
| 1 | 17.5 | 2.9 | - | 9.2 |
| 2 | 11.1 | 1.2 | - | 12.0 |
| 3 | 1.1 | 0.8 | 7.8 | - |
| 4 | 2.0 | 0.8 | 2002.0 | - |
| Compound | pKa1 | pKa2 | k1E-Z × 105 (s−1) | k1Z-E × 105 (s−1) |
|---|---|---|---|---|
| 1 | 8.7 | 9.3 | 4.98 | 17.5 |
| 2 | - | 9.6 | 23.49 | 320 |
| 3 | 8.8 | 9.4 | 7.09 | 78 |
| 4 | 7.8 | 8.6 | 157.03 | 186 |
© 2019 by the authors. Licensee MDPI, Basel, Switzerland. This article is an open access article distributed under the terms and conditions of the Creative Commons Attribution (CC BY) license (http://creativecommons.org/licenses/by/4.0/).
Share and Cite
Šandrik, R.; Tisovský, P.; Csicsai, K.; Donovalová, J.; Gáplovský, M.; Sokolík, R.; Filo, J.; Gáplovský, A. ON/OFF Photostimulation of Isatin Bipyridyl Hydrazones: Photochemical and Spectral Study. Molecules 2019, 24, 2668. https://doi.org/10.3390/molecules24142668
Šandrik R, Tisovský P, Csicsai K, Donovalová J, Gáplovský M, Sokolík R, Filo J, Gáplovský A. ON/OFF Photostimulation of Isatin Bipyridyl Hydrazones: Photochemical and Spectral Study. Molecules. 2019; 24(14):2668. https://doi.org/10.3390/molecules24142668
Chicago/Turabian StyleŠandrik, Róbert, Pavol Tisovský, Klaudia Csicsai, Jana Donovalová, Martin Gáplovský, Róbert Sokolík, Juraj Filo, and Anton Gáplovský. 2019. "ON/OFF Photostimulation of Isatin Bipyridyl Hydrazones: Photochemical and Spectral Study" Molecules 24, no. 14: 2668. https://doi.org/10.3390/molecules24142668
APA StyleŠandrik, R., Tisovský, P., Csicsai, K., Donovalová, J., Gáplovský, M., Sokolík, R., Filo, J., & Gáplovský, A. (2019). ON/OFF Photostimulation of Isatin Bipyridyl Hydrazones: Photochemical and Spectral Study. Molecules, 24(14), 2668. https://doi.org/10.3390/molecules24142668

