Synthesis of Some Green Dopants for OLEDs Based on Arylamine 2,3-disubstituted Bithiophene Derivatives
Abstract
:1. Introduction

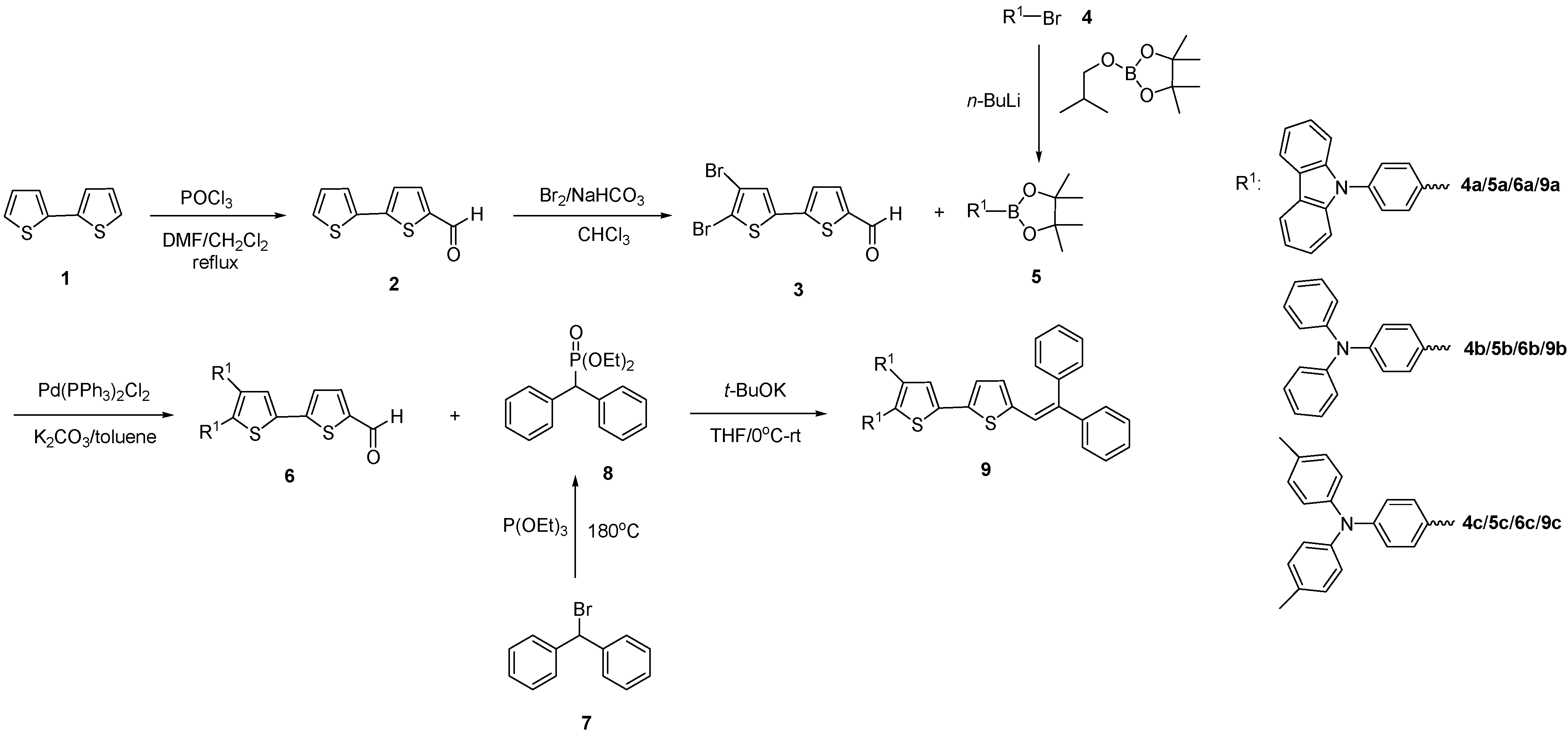
2. Results and Discussion



| Compound | UV λmax | PL λmax | E ox | HOMO (eV) d | LUMO (eV) d | Eg | Фf e |
|---|---|---|---|---|---|---|---|
| (nm) a | (nm) a | (eV) c | (eV) | ||||
| NPB | - b | - b | 0.55 | 5.40 | 2.50 | 2.90 | - b |
| 9a | 402 | 507 | 0.76 | 5.61 | 2.97 | 2.64 | 0.94 |
| 9b | 409 | 491 | 0.58 | 5.43 | 2.88 | 2.55 | 0.44 |
| 9c | 376 | 502 | 0.49 | 5.34 | 2.58 | 2.76 | 0.45 |

3. Experimental
3.1. General Procedures
3.2. Synthesis
3.2.1. Synthesis of 5-(4,5-dibromothiophen-2-yl)thiophene-2-carbaldehyde (3)
3.2.2. Typical Procedure for Synthesis of Compounds 6
3.2.3. Typical Procedure for Synthesis of Compounds 9
4. Conclusions
Acknowledgments
Conflicts of Interest
References
- Shirota, Y. Organic materials for electronic and optoelectronic devices. J. Mater. Chem. 2000, 10, 1–25. [Google Scholar] [CrossRef]
- Hung, L.S.; Chen, C.H. Recent progress of molecular organic electroluminescent materials and devices. Mat. Sci. Eng. R 2002, 39, 143–222. [Google Scholar] [CrossRef]
- Lee, M.-T.; Yen, C.-K.; Yang, W.-P.; Chen, H.-H.; Liao, C.-H.; Tsai, C.-H.; Chen, C.H. Efficient green coumarin dopants for organic light-emitting devices. Org. Lett. 2004, 6, 1241–1244. [Google Scholar] [CrossRef]
- Ku, S.-Y.; Chi, L.-C.; Hung, W.-Y.; Yang, S.-W.; Tsai, T.-C.; Wong, K.-T.; Chen, Y.-H.; Wu, C.-I. High-luminescence non-doped green OLEDs based on a 9,9-diarylfluorene-terminated 1,2,3-benzothiadiazole derivative. J. Mater. Chem. 2009, 19, 1–9. [Google Scholar]
- Wong, K.-T.; Wang, C.-F.; Chou, C.H.; Su, Y.O.; Lee, G.-H.; Peng, S.-M. Synthesis and properties of novel thiophene-based conjugated homologues: 9,9-diphenylfluorene-capped oligothiophenes. Org. Lett. 2002, 4, 4439–4442. [Google Scholar] [CrossRef]
- Gigli, G.; Inganӓs, O.; Anni, M.; Vittorio, M.D.; Cingolani, R.; Barbarella, G.; Favaretto, L. Multicolor oligithiophene-based light-emitting diodes. Appl. Phys. Lett. 2001, 78, 1493–1495. [Google Scholar]
- Mazzeo, M.; Pisignano, D.; Favaretto, L.; Barbarella, G.; Cingolani, R.; Gigli, G. Bright oligothiophene-based light emitting diodes. Synth. Met. 2003, 139, 671–673. [Google Scholar] [CrossRef]
- Noda, T.; Ogawa, H.; Noma, N.; Shirota, Y. Organic light-emitting diodes using a novel family of amorphous molecular materials containing an oligothiophene moiety as colour-tunable emitting materials. J. Mater. Chem. 1999, 9, 2177–2181. [Google Scholar] [CrossRef]
- Noda, T.; Ogawa, H.; Noma, N.; Shirota, Y. A novel family of amorphous molecular materials containing an oligothiophene moiety as colour-tunable emitting materials for organic electroluminescent devices. Adv. Mater. 1997, 9, 720–722. [Google Scholar] [CrossRef]
- Noda, T.; Shirota, Y. 5,5′-Bis(dimesitylboryl)-2,2′-bithiophene and 5,5′′-bis(dimesitylboryl)-2,2′:5′,2′′-terthiophene as a novel family of electron-transporting amorphous molecular materials. J. Am. Chem. Soc. 1998, 120, 9714–9715. [Google Scholar] [CrossRef]
- Hock, J.; Cargill Thompson, A.M.W.; McCleverty, J.A.; Ward, M.D. Some new dipyridyl and diphenol bridging ligands containing oligothienyl spacers, and their dinuclear molybdenum complexes: electrochemical, spectroscopic and luminescence properties. J. Chem. Soc., Dalton Trans. 1996, 4257–4263. [Google Scholar]
- Field, J.S.; Haines, R.J.; Lakoba, E.I.; Sosabowski, M.H. Novel diphenylphosphine derivatives of 2,2′-bithiophene, 2,2′:5′,2″-terthiophene, 2-(2′-thienyl)pyridine and 2,6-di-2′-thienylpyridine. Crystal structures of 5,5′-bis(diphenylphosphino)-2,2′-bithiophene, diphenyl{5-[6′-(diphenylphosphino)-2′-pyridyl]-2-thienyl}phosphine and 2,6-bis[5′-(diphenylphosphino)-2′-thienyl]pyridine. J. Chem. Soc., Perkin Trans. 1 2001, 3352–3360. [Google Scholar]
- Shirota, Y.; Kinoshita, M.; Noda, T.; Okumoto, K.; Ohara, T. A novel class of emitting a morphous molecular materials as bipolar radical formants: 2-{4-[bis(4-methylphenyl)amino]phenyl}-5-(dimesitylboryl)thiophene and 2-{4-[bis(9,9-dimethylfluorenyl)amino]phenyl}-5-(dimesitylboryl)thiophene. J. Am. Chem. Soc. 2000, 122, 11021–11022. [Google Scholar] [CrossRef]
- Kim, J.-H.; Jeon, Y.-M.; Lee, H.S.; Kim, J.-W.; Lee, C.-W.; Jang, J.-G.; Chang, H.-J.; Lee, J.Y.; Gong, M.-S. New asymmetric monostyrylamine dopants for blue light-emitting organic electroluminescence device. Synth. Met. 2008, 158, 369–374. [Google Scholar] [CrossRef]
- Kim, S.O.; Lee, K.H.; Kang, S.; Lee, J.Y.; Seo, J.H.; Kim, Y.K.; Yoon, S.S. Highly efficient blue-light-emitting diodes based on styrylamine derivatives end-capped with a diphenylvinyl group. Bull. Korean Chem. Soc. 2010, 31, 389–396. [Google Scholar] [CrossRef]
- Seong, N.-C.; Jeon, Y.-M.; Lim, T.-H.; Kim, J.-W.; Lee, C.-W.; Lee, E.-J.; Jang, J.-G.; Jang, H.-J.; Lee, J.-Y.; et al. Organic light-emitting devices using new distyrylarylene host materials. Synth. Met. 2007, 157, 421–426. [Google Scholar] [CrossRef]
- Guarin, S.A.P.; Bourgeaux, M.; Dufresne, S.; Skene, W.G. Photophysical, crystallographic, and electrochemical characterization of symmetric and unsymmetric self-assembled conjugated thiopheno azomethines. J. Org. Chem. 2007, 72, 2631–2643. [Google Scholar] [CrossRef]
- Rurack, K.; Spieles, M. Fluorescence quantum yields of a series of red and near-infrared dyes emitting at 600–1000 nm. Anal. Chem. 2011, 83, 1232–1242. [Google Scholar] [CrossRef]
- Liu, Y.; Wan, Y.; Guo, H.; Zhu, M.; Li, C.; Peng, J.; Zhu, W.; Cao, Y. Synthesis and optoelectronic characterization of a monochromic red-emitting europium (III) complex containing triphenylamine-functionalized phenanthroline. J. Phys. Chem. C 2011, 115, 4209–4216. [Google Scholar]
- Plater, M.J.; Jackson, T. Polyaromatic amines. Part 3: synthesis of poly(diarylamino)styrenes and related compounds. Tetrahedron 2003, 59, 4673–4685. [Google Scholar] [CrossRef]
- Sample Availability: Samples of the compounds 9a–c are available from the authors.
© 2013 by the authors; licensee MDPI, Basel, Switzerland. This article is an open access article distributed under the terms and conditions of the Creative Commons Attribution license (http://creativecommons.org/licenses/by/3.0/).
Share and Cite
Song, M.-S.; Nguyen, Q.P.B.; Song, C.-H.; Lee, D.; Chai, K.Y. Synthesis of Some Green Dopants for OLEDs Based on Arylamine 2,3-disubstituted Bithiophene Derivatives. Molecules 2013, 18, 14033-14041. https://doi.org/10.3390/molecules181114033
Song M-S, Nguyen QPB, Song C-H, Lee D, Chai KY. Synthesis of Some Green Dopants for OLEDs Based on Arylamine 2,3-disubstituted Bithiophene Derivatives. Molecules. 2013; 18(11):14033-14041. https://doi.org/10.3390/molecules181114033
Chicago/Turabian StyleSong, Mi-Seon, Quynh Pham Bao Nguyen, Chang-Hyun Song, Duckhee Lee, and Kyu Yun Chai. 2013. "Synthesis of Some Green Dopants for OLEDs Based on Arylamine 2,3-disubstituted Bithiophene Derivatives" Molecules 18, no. 11: 14033-14041. https://doi.org/10.3390/molecules181114033
APA StyleSong, M.-S., Nguyen, Q. P. B., Song, C.-H., Lee, D., & Chai, K. Y. (2013). Synthesis of Some Green Dopants for OLEDs Based on Arylamine 2,3-disubstituted Bithiophene Derivatives. Molecules, 18(11), 14033-14041. https://doi.org/10.3390/molecules181114033

