Search for Sub-Solar Mass Binaries with Einstein Telescope and Cosmic Explorer
Abstract
:1. Introduction
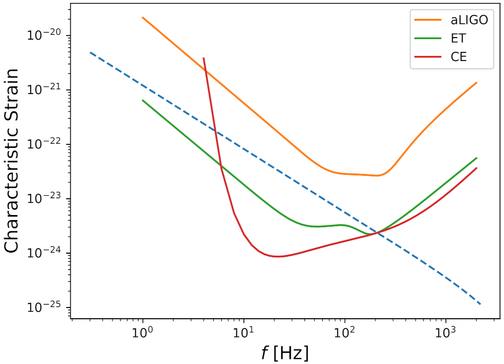
2. Analysis Strategy
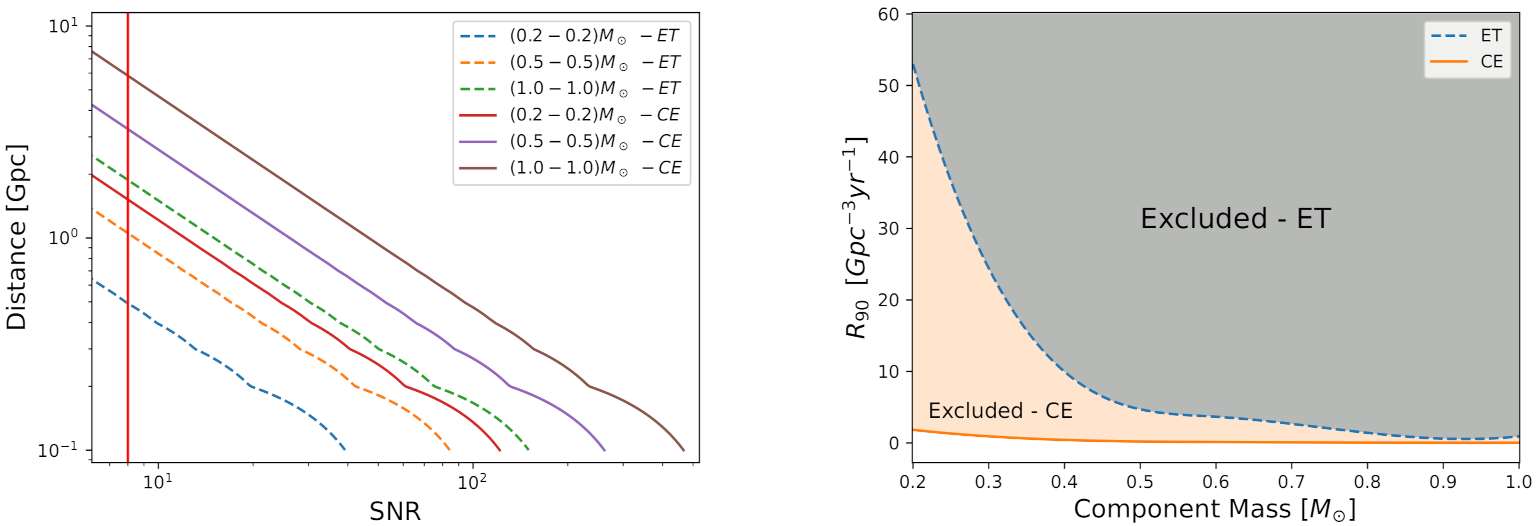
3. Results
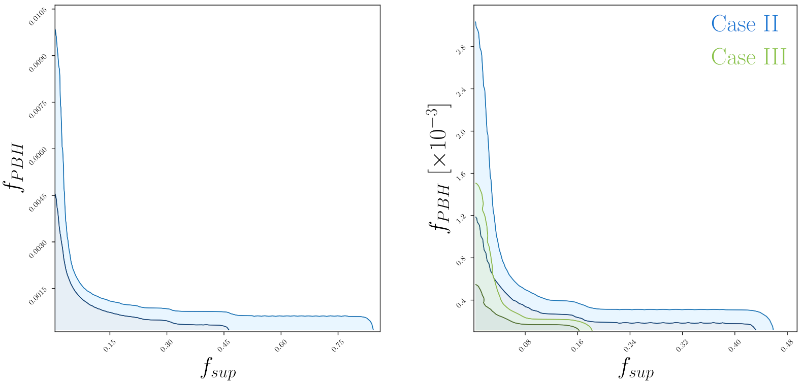
3.1. Bounds on Primordial Black Holes
3.2. Other Alternatives for Sub-Solar-Mass Objects
4. Final Remarks
Funding
Data Availability Statement
Acknowledgments
Conflicts of Interest
References
- The LIGO Scientific Collaboration; The Virgo Collaboration. GWTC-2.1: Deep Extended Catalog of Compact Binary Coalescences Observed by LIGO and Virgo During the First Half of the Third Observing Run. arXiv 2021, arXiv:2108.01045. [Google Scholar]
- The LIGO Scientific Collaboration; The Virgo Collaboration. GWTC-2: Compact Binary Coalescences Observed by LIGO and Virgo during the First Half of the Third Observing Run. Phys. Rev. X 2021, 11, 021053. [Google Scholar] [CrossRef]
- The LIGO Scientific Collaboration; The Virgo Collaboration. Binary Black Hole Mergers in the First Advanced LIGO Observing Run. Phys. Rev. X 2016, 6, 041015. [Google Scholar] [CrossRef]
- The LIGO Scientific Collaboration; The Virgo Collaboration. Search for intermediate mass black hole binaries in the first and second observing runs of the Advanced LIGO and Virgo network. Phys. Rev. D 2019, 100, 064064. [Google Scholar] [CrossRef] [Green Version]
- Magee, R.; Deutsch, A.S.; McClincy, P.; Hanna, C.; Horst, C.; Meacher, D.; Messick, C.; Shandera, S.; Wade, M. Methods for the detection of gravitational waves from subsolar mass ultracompact binaries. Phys. Rev. D 2018, 98, 103024. [Google Scholar] [CrossRef] [Green Version]
- The LIGO Scientific Collaboration; The Virgo Collaboration. Search for Subsolar-Mass Ultracompact Binaries in Advanced LIGO’s First Observing Run. Phys. Rev. Lett. 2018, 121, 231103. [Google Scholar] [CrossRef] [PubMed] [Green Version]
- The LIGO Scientific Collaboration; The Virgo Collaboration. Search for Subsolar Mass Ultracompact Binaries in Advanced LIGO Second Observing Run. Phys. Rev. Lett. 2019, 123, 161102. [Google Scholar] [CrossRef] [Green Version]
- Nitz, A.H.; Wang, Y.F. Search for Gravitational Waves from the Coalescence of Subsolar Mass and Eccentric Compact Binaries. Astrophys. J. 2021, 915, 54. [Google Scholar] [CrossRef]
- Nitz, A.H.; Wang, Y.F. Search for gravitational waves from the coalescence of sub-solar mass binaries in the first half of Advanced LIGO and Virgo’s third observing run. arXiv 2021, arXiv:2106.08979. [Google Scholar]
- Wang, Y.F.; Nitz, A.H. Prospects for Detecting Gravitational Waves from Eccentric Subsolar Mass Compact Binaries. Astrophys. J. 2021, 912, 53. [Google Scholar] [CrossRef]
- Phukon, K.S.; Baltus, G.; Caudill, S.; Clesse, S.; Depasse, A.; Fays, M.; Fong, H.; Kapadia, S.J.; Magee, R.; Tanasijczuk, A.J. The hunt for sub-solar primordial black holes in low mass ratio binaries is open. arXiv 2021, arXiv:2105.11449. [Google Scholar]
- Özel, F.; Psaltis, D.; Narayan, R.; McClintock, J.E. The black hole mass distribution in the galaxy. Astrophys. J. 2010, 725, 1918–1927. [Google Scholar] [CrossRef] [Green Version]
- Farr, W.M.; Sravan, N.; Cantrell, A.; Kreidberg, L.; Bailyn, C.D.; Mandel, I.; Kalogera, V. The mass distribution of stellar-mass black holes. Astrophys. J. 2011, 741, 103. [Google Scholar] [CrossRef] [Green Version]
- Kreidberg, L.; Bailyn, C.D.; Farr, W.M.; Kalogera, V. Mass measurements of black holes in x-ray transients: Is there a mass gap? Astrophys. J. 2012, 757, 36. [Google Scholar] [CrossRef] [Green Version]
- Zel’dovich, Y.B.; Novikov, I.D. The Hypothesis of Cores Retarded during Expansion and the Hot Cosmological Model. Sov. Astron. 1967, 10, 602. [Google Scholar]
- Hawking, S. Gravitationally collapsed objects of very low mass. Mon. Not. R. Astron. Soc. 1971, 152, 75. [Google Scholar] [CrossRef]
- Carr, B.J. The primordial black hole mass spectrum. Astrophys. J. 1975, 201, 1–19. [Google Scholar] [CrossRef]
- Khlopov, M.Y.; Polnarev, A.G. Primordial black holes as a cosmological test of grand unification. Phys. Lett. B 1980, 97, 383–387. [Google Scholar] [CrossRef]
- Chapline, G.F. Cosmological effects of primordial black holes. Nature 1975, 253, 251–252. [Google Scholar] [CrossRef]
- Bird, S.; Cholis, I.; Muñoz, J.B.; Ali-Haïmoud, Y.; Kamionkowski, M.; Kovetz, E.D.; Raccanelli, A.; Riess, A.G. Did LIGO Detect Dark Matter? Phys. Rev. Lett. 2016, 116, 201301. [Google Scholar] [CrossRef]
- Luca, V.D.; Franciolini, G.; Pani, P.; Riotto, A. The evolution of primordial black holes and their final observable spins. J. Cosmol. Astropart. Phys. 2020, 2020, 052. [Google Scholar] [CrossRef]
- Villanueva-Domingo, P.; Mena, O.; Palomares-Ruiz, S. A Brief Review on Primordial Black Holes as Dark Matter. Front. Astron. Space Sci. 2021, 8, 681084. [Google Scholar] [CrossRef]
- Carr, B.; Kühnel, F.; Sandstad, M. Primordial black holes as dark matter. Phys. Rev. D 2016, 94, 083504. [Google Scholar] [CrossRef] [Green Version]
- García-Bellido, J. Massive Primordial Black Holes as Dark Matter and their detection with Gravitational Waves. J. Phys. Conf. Ser. 2017, 840, 012032. [Google Scholar] [CrossRef]
- Raidal, M.; Vaskonen, V.; Veermäe, H. Gravitational waves from primordial black hole mergers. J. Cosmol. Astropart. Phys. 2017, 2017, 037. [Google Scholar] [CrossRef] [Green Version]
- Wang, S.; Wang, Y.F.; Huang, Q.G.; Li, T.G. Constraints on the Primordial Black Hole Abundance from the First Advanced LIGO Observation Run Using the Stochastic Gravitational-Wave Background. Phys. Rev. Lett. 2018, 120, 191102. [Google Scholar] [CrossRef] [Green Version]
- Mandic, V.; Bird, S.; Cholis, I. Stochastic Gravitational-Wave Background due to Primordial Binary Black Hole Mergers. Phys. Rev. Lett. 2016, 117, 201102. [Google Scholar] [CrossRef] [PubMed] [Green Version]
- Franciolini, G.; Baibhav, V.; Luca, V.D.; Ng, K.K.Y.; Wong, K.W.K.; Berti, E.; Pani, P.; Riotto, A.; Vitale, S. Quantifying the evidence for primordial black holes in LIGO/Virgo gravitational-wave data. arXiv 2021, arXiv:2105.03349. [Google Scholar]
- De Luca, V.; Franciolini, G.; Pani, P.; Riotto, A. Bayesian evidence for both astrophysical and primordial black holes: Mapping the GWTC-2 catalog to third-generation detectors. J. Cosmol. Astropart. Phys. 2021, 2021, 003. [Google Scholar] [CrossRef]
- Domènech, G.; Lin, C.; Sasaki, M. Gravitational wave constraints on the primordial black hole dominated early universe. J. Cosmol. Astropart. Phys. 2021, 2021, 062. [Google Scholar] [CrossRef]
- Khalouei, E.; Ghodsi, H.; Rahvar, S.; Abedi, J. Possibility of primordial black holes as the source of gravitational wave events in the advanced LIGO detector. Phys. Rev. D 2021, 103, 084001. [Google Scholar] [CrossRef]
- Wong, K.W.; Franciolini, G.; De Luca, V.; Baibhav, V.; Berti, E.; Pani, P.; Riotto, A. Constraining the primordial black hole scenario with Bayesian inference and machine learning: The GWTC-2 gravitational wave catalog. Phys. Rev. D 2021, 103, 023026. [Google Scholar] [CrossRef]
- Hall, A.; Gow, A.D.; Byrnes, C.T. Bayesian analysis of LIGO-Virgo mergers: Primordial versus astrophysical black hole populations. Phys. Rev. D 2020, 102, 123524. [Google Scholar] [CrossRef]
- Jedamzik, K. Consistency of Primordial Black Hole Dark Matter with LIGO/Virgo Merger Rates. Phys. Rev. Lett. 2021, 126, 051302. [Google Scholar] [CrossRef] [PubMed]
- Lehmann, B.V.; Profumo, S.; Yant, J. Model-independent discovery prospects for primordial black holes at LIGO. Mon. Not. R. Astron. Soc. 2020, 501, 3727–3740. [Google Scholar] [CrossRef]
- Luca, V.D.; Franciolini, G.; Pani, P.; Riotto, A. The Minimum Testable Abundance of Primordial Black Holes at Future Gravitational-Wave Detectors. arXiv 2021, arXiv:2106.13769. [Google Scholar]
- Mukherjee, S.; Silk, J. Can we distinguish astrophysical from primordial black holes via the stochastic gravitational wave background? Mon. Not. R. Astron. Soc. 2021, 506, 3977–3985. [Google Scholar] [CrossRef]
- Cui, W.; Huang, F.; Shu, J.; Zhao, Y. Stochastic Gravitational Wave Background from PBH-ABH Mergers. arXiv 2021, arXiv:2108.04279. [Google Scholar]
- Bartolo, N.; De Luca, V.; Franciolini, G.; Peloso, M.; Racco, D.; Riotto, A. Testing primordial black holes as dark matter with LISA. Phys. Rev. D 2019, 99, 103521. [Google Scholar] [CrossRef] [Green Version]
- Kozaczuk, J.; Lin, T.; Villarama, E. Signals of primordial black holes at gravitational wave interferometers. arXiv 2021, arXiv:2108.12475. [Google Scholar]
- Barsanti, S.; Luca, V.D.; Maselli, A.; Pani, P. Detecting Subsolar-Mass Primordial Black Holes in Extreme Mass-Ratio Inspirals with LISA and Einstein Telescope. arXiv 2021, arXiv:2109.02170. [Google Scholar]
- Chen, Z.C.; Huang, Q.G. Distinguishing primordial black holes from astrophysical black holes by Einstein Telescope and Cosmic Explorer. J. Cosmol. Astropart. Phys. 2020, 2020, 039. [Google Scholar] [CrossRef]
- Ng, K.K.Y.; Chen, S.; Goncharov, B.; Dupletsa, U.; Borhanian, S.; Branchesi, M.; Harms, J.; Maggiore, M.; Sathyaprakash, B.S.; Vitale, S. On the single-event-based identification of primordial black hole mergers at cosmological distances. arXiv 2021, arXiv:2108.07276. [Google Scholar]
- Carr, B.; Kühnel, F. Primordial Black Holes as Dark Matter: Recent Developments. Annu. Rev. Nucl. Part. Sci. 2020, 70, 355–394. [Google Scholar] [CrossRef]
- Cardoso, V.; Pani, P. Testing the nature of dark compact objects: A status report. Living Rev. Relativ. 2019, 22, 4. [Google Scholar] [CrossRef] [Green Version]
- Maggiore, M.; Van Den Broeck, C.; Bartolo, N.; Belgacem, E.; Bertacca, D.; Bizouard, M.A.; Branchesi, M.; Clesse, S.; Foffa, S.; Garcia-Bellido, J.; et al. Science case for the Einstein telescope. J. Cosmol. Astropart. Phys. 2020, 2020, 050. [Google Scholar] [CrossRef] [Green Version]
- Sathyaprakash, B.S.; Belgacem, E.; Bertacca, D.; Caprini, C.; Cusin, G.; Dirian, Y.; Fan, X.; Figueroa, D.; Foffa, S.; Hall, E.; et al. Cosmology and the Early Universe. arXiv 2019, arXiv:1903.09260. [Google Scholar]
- Reitze, D.; Adhikari, R.X.; Ballmer, S.; Barish, B.; Barsotti, L.; Billingsley, G.; Brown, D.A.; Chen, Y.; Coyne, D.; Eisenstein, R.; et al. Cosmic Explorer: The U.S. Contribution to Gravitational-Wave Astronomy beyond LIGO. arXiv 2019, arXiv:1907.04833. [Google Scholar]
- Available online: http://www.et-gw.eu/index.php/etsensitivities (accessed on 12 January 2022).
- Hild, S.; Abernathy, M.; Acernese, F.; Amaro-Seoane, P.; Andersson, N.; Arun, K.; Barone, F.; Barr, B.; Barsuglia, M.; Beker, M.; et al. Sensitivity studies for third-generation gravitational wave observatories. Class. Quantum Gravity 2011, 28, 094013. [Google Scholar] [CrossRef]
- Available online: https://cosmicexplorer.org/researchers.html (accessed on 12 January 2022).
- Chiba, T.; Yokoyama, S. Spin distribution of primordial black holes. Prog. Theor. Exp. Phys. 2017, 2017, 083E01. [Google Scholar] [CrossRef] [Green Version]
- Luca, V.D.; Desjacques, V.; Franciolini, G.; Malhotra, A.; Riotto, A. The initial spin probability distribution of primordial black holes. J. Cosmol. Astropart. Phys. 2019, 2019, 018. [Google Scholar] [CrossRef] [Green Version]
- Postnov, K.A.; Kuranov, A.G.; Mitichkin, N.A. Spins of black holes in coalescing compact binaries. Phys.-Uspekhi 2019, 62, 1153–1161. [Google Scholar] [CrossRef] [Green Version]
- Finn, L.S.; Chernoff, D.F. Observing binary inspiral in gravitational radiation: One interferometer. Phys. Rev. D 1993, 47, 2198–2219. [Google Scholar] [CrossRef] [Green Version]
- The LIGO Scientific Collaboration; The Virgo Collaboration. Predictions for the rates of compact binary coalescences observable by ground-based gravitational-wave detectors. Class. Quantum Gravity 2010, 27, 173001. [Google Scholar] [CrossRef] [Green Version]
- Biswas, R.; Brady, P.R.; Creighton, J.D.E.; Fairhurst, S. The loudest event statistic: General formulation, properties and applications. Class. Quantum Gravity 2009, 26, 175009. [Google Scholar] [CrossRef] [Green Version]
- Clesse, S.; García-Bellido, J. The clustering of massive Primordial Black Holes as Dark Matter: Measuring their mass distribution with advanced LIGO. Phys. Dark Universe 2017, 15, 142–147. [Google Scholar] [CrossRef] [Green Version]
- Sasaki, M.; Suyama, T.; Tanaka, T.; Yokoyama, S. Primordial black holes—Perspectives in gravitational wave astronomy. Class. Quantum Gravity 2018, 35, 063001. [Google Scholar] [CrossRef] [Green Version]
- Nakamura, T.; Sasaki, M.; Tanaka, T.; Thorne, K.S. Gravitational Waves from Coalescing Black Hole MACHO Binaries. Astrophys. J. 1997, 487, L139–L142. [Google Scholar] [CrossRef] [Green Version]
- Ioka, K.; Chiba, T.; Tanaka, T.; Nakamura, T. Black hole binary formation in the expanding universe: Three body problem approximation. Phys. Rev. D 1998, 58, 063003. [Google Scholar] [CrossRef] [Green Version]
- Carr, B.; Clesse, S.; García-Bellido, J.; Kühnel, F. Cosmic conundra explained by thermal history and primordial black holes. Phys. Dark Universe 2021, 31, 100755. [Google Scholar] [CrossRef]
- Luca, V.D.; Desjacques, V.; Franciolini, G.; Riotto, A. The clustering evolution of primordial black holes. J. Cosmol. Astropart. Phys. 2020, 2020, 028. [Google Scholar] [CrossRef]
- Jedamzik, K. Primordial black hole dark matter and the LIGO/Virgo observations. J. Cosmol. Astropart. Phys. 2020, 2020, 022. [Google Scholar] [CrossRef]
- Ali-Haïmoud, Y.; Kovetz, E.D.; Kamionkowski, M. Merger rate of primordial black-hole binaries. Phys. Rev. D 2017, 96, 123523. [Google Scholar] [CrossRef] [Green Version]
- Gow, A.D.; Byrnes, C.T.; Hall, A.; Peacock, J.A. Primordial black hole merger rates: Distributions for multiple LIGO observables. J. Cosmol. Astropart. Phys. 2020, 2020, 031. [Google Scholar] [CrossRef] [Green Version]
- Raidal, M.; Spethmann, C.; Vaskonen, V.; Veermäe, H. Formation and evolution of primordial black hole binaries in the early universe. J. Cosmol. Astropart. Phys. 2019, 2019, 018. [Google Scholar] [CrossRef] [Green Version]
- Foreman-Mackey, D.; Hogg, D.W.; Lang, D.; Goodman, J. emcee: The MCMC Hammer. Publ. Astron. Soc. Pac. 2013, 125, 306–312. [Google Scholar] [CrossRef] [Green Version]
- Alcock, C.; Allsman, R.A.; Alves, D.R.; Axelrod, T.S.; Becker, A.C.; Bennett, D.P.; Cook, K.H.; Dalal, N.; Drake, A.J.; Freeman, K.C.; et al. MACHO Project Limits on Black Hole Dark Matter in the 1–30 M⊙ Range. Astrophys. J. 2001, 550, L169–L172. [Google Scholar] [CrossRef] [Green Version]
- Tisserand, P.; Le Guillou, L.; Afonso, C.; Albert, J.N.; Andersen, J.; Ansari, R.; Aubourg, E.; Bareyre, P.; Beaulieu, J.P.; Charlot, X.; et al. Limits on the Macho content of the Galactic Halo from the EROS-2 Survey of the Magellanic Clouds. Astron. Astrophys. 2007, 469, 387–404. [Google Scholar] [CrossRef]
- Zumalacárregui, M.; Seljak, U. Limits on Stellar-Mass Compact Objects as Dark Matter from Gravitational Lensing of Type Ia Supernovae. Phys. Rev. Lett. 2018, 121, 141101. [Google Scholar] [CrossRef] [PubMed] [Green Version]
- Kouvaris, C.; Tinyakov, P.; Tytgat, M.H. NonPrimordial Solar Mass Black Holes. Phys. Rev. Lett. 2018, 121, 221102. [Google Scholar] [CrossRef] [PubMed] [Green Version]
- Dasgupta, B.; Laha, R.; Ray, A. Low Mass Black Holes from Dark Core Collapse. Phys. Rev. Lett. 2021, 126, 141105. [Google Scholar] [CrossRef] [PubMed]
- Maselli, A.; Pnigouras, P.; Nielsen, N.G.; Kouvaris, C.; Kokkotas, K.D. Dark stars: Gravitational and electromagnetic observables. Phys. Rev. D 2017, 96, 023005. [Google Scholar] [CrossRef] [Green Version]
- Moraes, P.; Panotopoulos, G.; Lopes, I. Anisotropic dark matter stars. Phys. Rev. D 2021, 103, 084023. [Google Scholar] [CrossRef]




| Instrument | Component Mass | |
|---|---|---|
| ET | 0.2 | 53 |
| ET | 0.5 | 4.7 |
| ET | 1.0 | 0.924 |
| CE | 0.2 | 1.829 |
| CE | 0.5 | 0.090 |
| CE | 1.0 | 0.029 |
| Component Mass | ||
|---|---|---|
| 0.2 | < | < |
| 0.5 | < | < |
| 1.0 | < | < |
Publisher’s Note: MDPI stays neutral with regard to jurisdictional claims in published maps and institutional affiliations. |
© 2022 by the author. Licensee MDPI, Basel, Switzerland. This article is an open access article distributed under the terms and conditions of the Creative Commons Attribution (CC BY) license (https://creativecommons.org/licenses/by/4.0/).
Share and Cite
Nunes, R.C. Search for Sub-Solar Mass Binaries with Einstein Telescope and Cosmic Explorer. Entropy 2022, 24, 262. https://doi.org/10.3390/e24020262
Nunes RC. Search for Sub-Solar Mass Binaries with Einstein Telescope and Cosmic Explorer. Entropy. 2022; 24(2):262. https://doi.org/10.3390/e24020262
Chicago/Turabian StyleNunes, Rafael C. 2022. "Search for Sub-Solar Mass Binaries with Einstein Telescope and Cosmic Explorer" Entropy 24, no. 2: 262. https://doi.org/10.3390/e24020262
APA StyleNunes, R. C. (2022). Search for Sub-Solar Mass Binaries with Einstein Telescope and Cosmic Explorer. Entropy, 24(2), 262. https://doi.org/10.3390/e24020262
