Quantum Discord and Information Deficit in Spin Chains
Abstract
:1. Introduction
2. Measures of Quantum Correlations
2.1. Quantum Entanglement
2.2. Quantum Discord
2.3. Information Deficit
2.4. Generalized Information Deficit
2.5. Minimizing Measurement
2.6 Particular Cases
3. Application: Quantum Correlations of Spin Pairs in XY Chains
3.1. Model and General Expressions
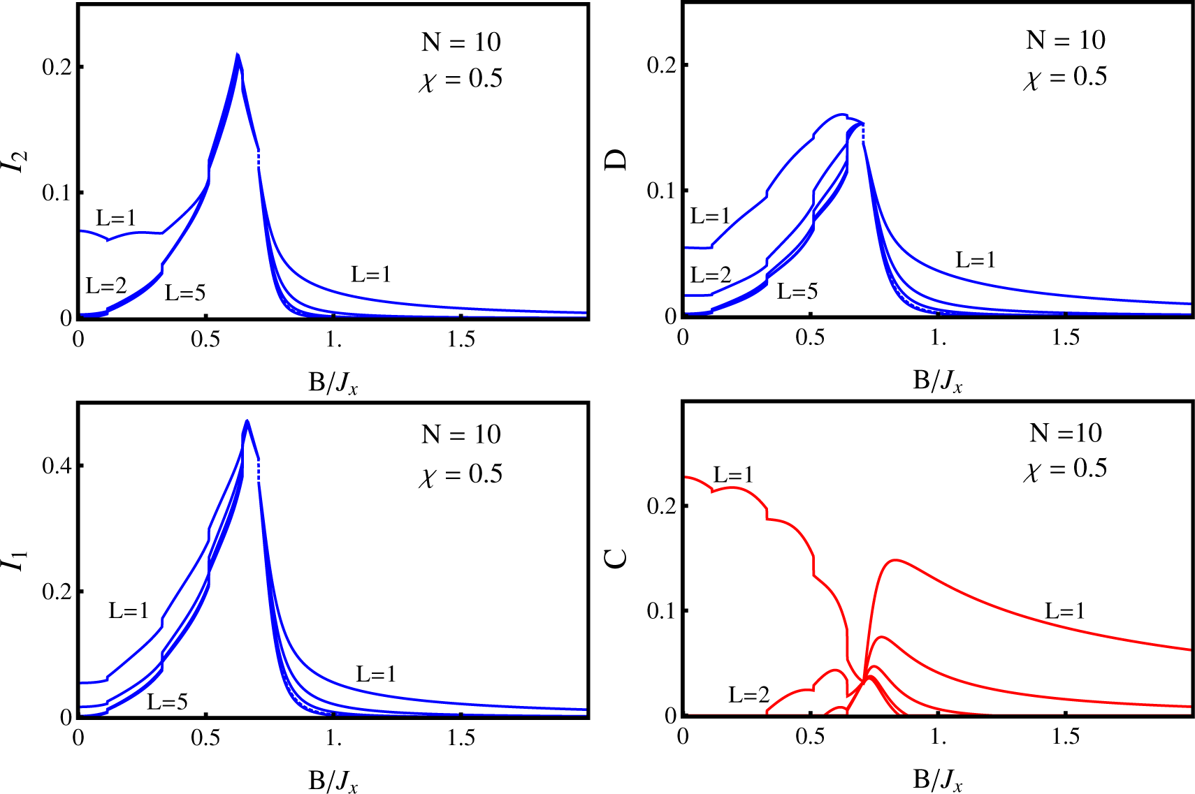
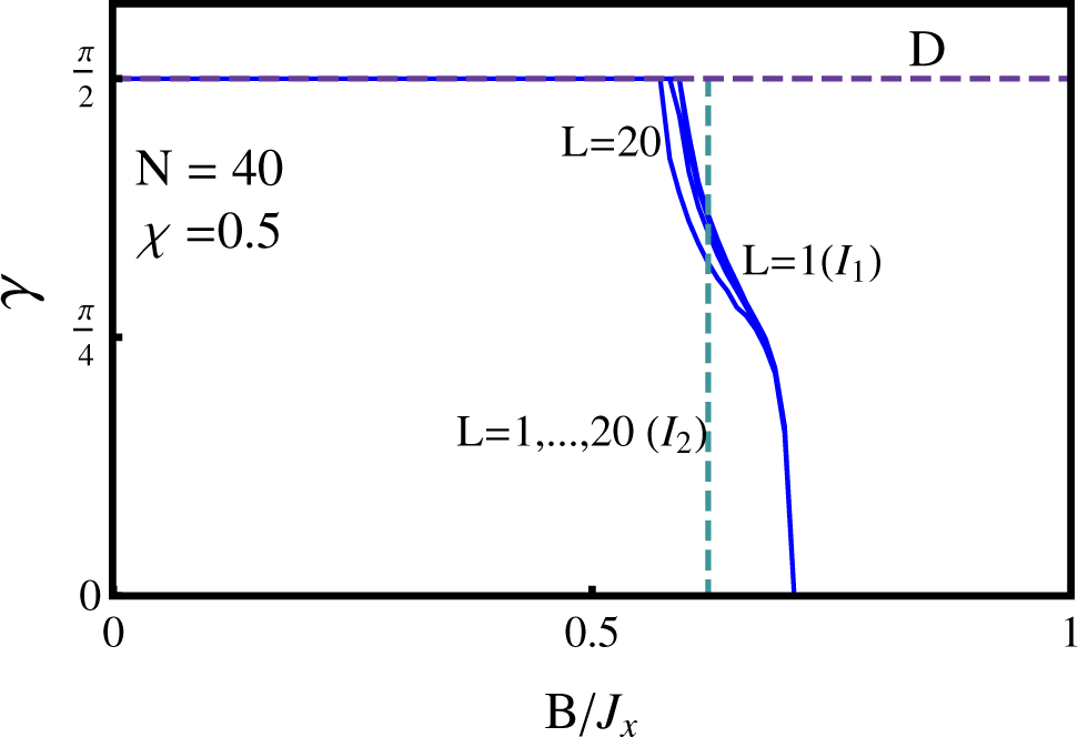
3.2. Results
3.3. Minimizing Measurement
4. Conclusions
A. Appendix
Acknowledgments
Author Contributions
Conflicts of Interest
References
- Schrödinger, E. Die gegenwärtige situation in der Quantenmechanik. Naturwissenschaften 1935, 23, 807–812. [Google Scholar]
- Schrödinger, E. Discussion of probability relations between separated systems. Proc. Cambridge Philos. Soc. 1935, 31, 555–563. [Google Scholar]
- Schumacher, B. Quantum coding. Phys. Rev. A 1995, 51, 2738–2747. [Google Scholar]
- Bennett, C.H.; Bernstein, H.J.; Popescu, S.; Schumacher, B. Concentrating partial entanglement by local operations. Phys. Rev. A 1996, 53, 2046–2052. [Google Scholar]
- Nielsen, M.A.; Chuang, I. Quantum Computation and Quantum Information; Cambridge University Press: London, UK, 2000; pp. 1–676. [Google Scholar]
- Vedral, V. Introduction to Quantum Information Science; Oxford University Press: Oxford, UK, 2006; pp. 1–183. [Google Scholar]
- Haroche, S.; Raimond, J.M. Exploring the Quantum; Oxford University Press: Oxford, UK, 2007; pp. 1–605. [Google Scholar]
- Werner, R.F. Quantum states with Einstein–Podolsky–Rosen correlations admitting a hidden-variable model. Phys. Rev. A 1989, 40, 4277–4281. [Google Scholar]
- Ollivier, H.; Zurek, W.H. Quantum Discord: A Measure of the Quantumness of Correlations. Phys. Rev. Lett. 2001, 88, 017901. [Google Scholar]
- Henderson, L.; Vedral, V. Classical, quantum and total correlations. J. Phys. A 2001, 34, 6899–6905. [Google Scholar]
- Vedral, V. Classical Correlations and Entanglement in Quantum Measurements. Phys. Rev. Lett. 2003, 90, 050401. [Google Scholar]
- Zurek, W.H. Decoherence, einselection, and the quantum origins of the classical. Rev. Mod. Phys. 2003, 75, 715–775. [Google Scholar]
- Zurek, W.H. Quantum discord and Maxwells demons. Phys. Rev. A 2003, 67, 012320. [Google Scholar]
- Modi, K.; Paterek, T.; Son, W.; Vedral, V.; Williamson, M. Unified View of Quantum and Classical Correlations. Phys. Rev. Lett. 2010, 104, 080501. [Google Scholar]
- Modi, K.; Brodutch, A.; Cable, H.; Paterek, T.; Vedral, V. The classical-quantum boundary for correlations: Discord and related measures. Rev. Mod. Phys. 2012, 84, 1655–1707. [Google Scholar]
- Horodecki, M.; Horodecki, P.; Horodecki, R.; Oppenheim, J.; Sen De, A.; Sen, U.; Synak, B. Local versus nonlocal information in quantum-information theory: Formalism and phenomena. Phys. Rev. A 2005, 71, 062307. [Google Scholar]
- Oppenheim, J.; Horodecki, M.; Horodecki, P.; Horodecki, R. Thermodynamical Approach to Quantifying Quantum Correlations. Phys. Rev. Lett. 2002, 89, 180402. [Google Scholar]
- Streltsov, A.; Kampermann, H.; Bruß, D. Linking Quantum Discord to Entanglement in a Measurement. Phys. Rev. Lett. 2011, 106, 160401. [Google Scholar]
- Dakić, B.; Vedral, V.; Brukner, Č. Necessary and Sufficient Condition for Nonzero Quantum Discord. Phys. Rev. Lett. 2010, 105, 190502. [Google Scholar]
- Rossignoli, R.; Canosa, N.; Ciliberti, L. Generalized entropic measures of quantum correlations. Phys. Rev. A 2010, 82, 052382. [Google Scholar]
- Rossignoli, R.; Canosa, N.; Ciliberti, L. Quantum correlations and least disturbing local measurements. Phys. Rev. A 2011, 84, 052329. [Google Scholar]
- Girolami, D.; Tufarelli, T.; Adesso, G. Characterizing Nonclassical Correlations via Local Quantum Uncertainty. Phys. Rev. Lett. 2013, 110, 240402. [Google Scholar]
- Luo, S.; Fu, S.; Oh, C.H. Quantifying correlations via the Wigner-Yanase skew information. Phys. Rev. A 2012, 85, 032117. [Google Scholar]
- Paula, M.; de Oliveira, T.R.; Sarandy, M.S. Geometric quantum discord through the Schatten 1-norm. Phys. Rev. A 2013, 87, 064101. [Google Scholar]
- Hu, H.; Fan, H.; Zhou, D.L.; Liu, W.M. Quantum correlating power of local quantum channels. Phys. Rev. A 2013, 87, 032340. [Google Scholar]
- Nakano, T.; Piani, M.; Adesso, G. Negativity of quantumness and its interpretations. Phys. Rev. A 2013, 88, 012117. [Google Scholar]
- Ciccarello, F.; Tuffarelli, T.; Giovannetti, V. Toward computability of trace distance discord. New J. Phys. 2014, 16, 013038. [Google Scholar]
- Bennett, C.H.; Brassard, G.; Crépeau, C.; Jozsa, R.; Peres, A.; Wootters, W.K. Teleporting an unknown quantum state via dual classical and Einstein-Podolsky-Rosen channels. Phys. Rev. Lett. 1993, 70, 1895–1899. [Google Scholar]
- Josza, R.; Linden, N. On the role of entanglement in quantum computational speed-up. Proc. R. Soc. 2003, A459, 2011–2032. [Google Scholar]
- Vidal, G. Efficient Classical Simulation of Slightly Entangled Quantum Computations. Phys. Rev. Lett. 2003, 91, 147902. [Google Scholar]
- Knill, E.; Laflamme, R. Power of One Bit of Quantum Information. Phys. Rev. Lett. 1998, 81, 5672–5675. [Google Scholar]
- Datta, A.; Flammia, S.T.; Caves, C.M. Entanglement and the power of one qubit. Phys. Rev. A 2005, 72, 042316. [Google Scholar]
- Datta, A.; Shaji, A.; Caves, C.M. Quantum Discord and the Power of One Qubit. Phys. Rev. Lett. 2008, 100, 050502. [Google Scholar]
- Piani, M.; Gharibian, S.; Adesso, G.; Calsamiglia, J.; Horodecki, P.; Winter, A. All nonclassical correlations can be activated into distillable entanglement. Phys. Rev. Lett. 2011, 106, 220403. [Google Scholar]
- Koashi, M.; Winter, A. Monogamy of quantum entanglement and other correlations. Phys. Rev. A 2004, 69, 022309. [Google Scholar]
- Madhok, V.; Datta, A. Interpreting quantum discord through quantum state merging. Phys. Rev. A 2011, 83, 032323. [Google Scholar]
- Cavalcanti, D.; Aolita, L.; Boixo, S.; Modi, K.; Piani, M.; Winter, A. Operational interpretations of quantum discord. Phys. Rev. A 2011, 83, 032324. [Google Scholar]
- Fanchini, F.F.; Cornelio, M.F.; de Oliveira, M.C.; Caldeira, A.O. Conservation law for distributed entanglement of formation and quantum discord. Phys. Rev. A 2011, 84, 012313. [Google Scholar]
- Adesso, G.; D’Ambrosio, V.; Nagali, E.; Piani, M.; Sciarrino, F. Experimental Entanglement Activation from Discord in a Programmable Quantum Measurement. Phys. Rev. Lett. 2014, 112, 140501. [Google Scholar]
- Huang, I. Computing quantum discord is NP complete. New. J. Phys. 2014, 16, 033027. [Google Scholar]
- Dillenschneider, R. Quantum discord and quantum phase transition in spin chains. Phys. Rev. B 2008, 78, 224413. [Google Scholar]
- Maziero, J.; Guzman, H.C.; Céleri, L.C.; Sarandy, M.S.; Serra, R.M. Quantum and classical thermal correlations in the XY spin-1/2 chain. Phys. Rev. A 2010, 82, 012106. [Google Scholar]
- Werlang, T.; Rigolin, G. Thermal and magnetic quantum discord in Heisenberg models. Phys. Rev. A 2010, 81, 044101. [Google Scholar]
- Ciliberti, L.; Rossignoli, R.; Canosa, N. Quantum discord in finite XY chains. Phys. Rev. A 2010, 82, 042316. [Google Scholar]
- Werlang, T.; Ribeiro, G.A.P.; Rigolin, G. Spotlighting quantum critical points via quantum correlations at finite temperatures. Phys. Rev. A 2011, 83, 062334. [Google Scholar]
- Liu, B.-Q.; Shao, B.; Li, J.-G.; Zou, J.; Wu, L.-A. Quantum and classical correlations in the one-dimensional XY model with Dzyaloshinskii-Moriya interaction. Phys. Rev. A 2011, 83, 052112. [Google Scholar]
- Li, Y.-C.; Lin, H.-Q. Thermal quantum and classical correlations and entanglement in the XY spin model with three-spin interaction. Phys. Rev. A 2011, 83, 052323. [Google Scholar]
- Rossignoli, R.; Canosa, N.; Matera, J.M. Measurements, quantum discord, and parity in spin-1 systems. Phys. Rev. A 2012, 86, 022104. [Google Scholar]
- Campbell, S.; Mazzola, L.; de Chiara, G.; Apollaro, T.J.G.; Plastina, F.; Busch, T.; Paternostro, M. Global quantum correlations in finite-size spin chains. New J. Phys. 2013, 15, 043033. [Google Scholar]
- Campbell, S.; Richens, J.; Lo Gullo, N.; Busch, T. Criticality, factorization, and long-range correlations in the anisotropic XY model. Phys. Rev. A 2013, 88, 062305. [Google Scholar]
- Ciliberti, L.; Canosa, N.; Rossignoli, R. Discord and Information Deficit in XX chains. Phys. Rev. A 2013, 88, 012119. [Google Scholar]
- Huang, Y. Scaling of quantum discord in spin models. Phys. Rev. B 2014, 89, 054410. [Google Scholar]
- Kurmann, J.; Thomas, H.; Müller, G. Antiferromagnetic long-range order in the anisotropic quantum spin chain. Physica A 1982, 112, 235–255. [Google Scholar]
- Amico, L.; Baroni, F.; Fubini, A.; Patane, D.; Tognetti, V.; Verrucchi, P. Divergence of the entanglement range in low-dimensional quantum systems. Phys. Rev. A 2006, 74, 022322. [Google Scholar]
- Rossignoli, R.; Canosa, N.; Matera, J.M. Entanglement of finite cyclic chains at factorizing fields. Phys. Rev. A 2008, 77, 052322. [Google Scholar]
- Rossignoli, R.; Canosa, N.; Matera, J.M. Factorization and entanglement in general xyz spin arrays in nonuniform transverse fields. Phys. Rev. A 2009, 80, 062325. [Google Scholar]
- Canosa, N.; Rossignoli, R.; Matera, J.M. Separability and entanglement in finite dimer-type chains in general transverse fields. Phys. Rev. B 2010, 81, 054415. [Google Scholar]
- Giampaolo, S.M.; Adesso, G.; Illuminati, F. Theory of ground state factorization in quantum cooperative systems. Phys. Rev. Lett. 2008, 100, 197201. [Google Scholar]
- Giampaolo, S.M.; Adesso, G.; Illuminati, F. Separability and ground-state factorization in quantum spin systems. Phys. Rev. B 2009, 79, 224434. [Google Scholar]
- Giampaolo, S.M.; Adesso, G.; Illuminati, F. Probing quantum frustrated systems via factorization of the ground state. Phys. Rev. Lett. 2010, 104, 207202. [Google Scholar]
- Peres, A. Separability criterion for density matrices. Phys. Rev. Lett. 1996, 77, 1413–1415. [Google Scholar]
- Horodecki, M.; Horodecki, P.; Horodecki, R. Separability of mixed states: Necessary and sufficient conditions. Phys. Lett. A 1996, 223, 1–8. [Google Scholar]
- Bennett, C.H.; DiVincenzo, D.P.; Smolin, J.A.; Wootters, W.K. Mixed-state entanglement and quantum error correction. Phys. Rev. A 1996, 54, 3824–3851. [Google Scholar]
- Vidal, G. Entanglement monotones. J. Mod. Opt. 2000, 47, 355–376. [Google Scholar]
- Hill, S.; Wootters, W.K. Entanglement of a pair of quantum bits. Phys. Rev. Lett. 1997, 78, 5022–5025. [Google Scholar]
- Wootters, W.K. Entanglement of Formation of an Arbitrary State of Two Qubits. Phys. Rev. Lett. 1998, 80, 2245–2248. [Google Scholar]
- Horodecki, R.; Horodecki, M. Information-theoretic aspects of inseparability of mixed states. Phys. Rev. A 1996, 54, 1838–1843. [Google Scholar]
- Nielsen, M.A.; Kempe, M. Separable states are more disordered hlobally than locally. Phys. Rev. Lett. 2001, 86, 5184–5187. [Google Scholar]
- Rossignoli, R.; Canosa, N. Generalized entropic criterion for separability. Phys. Rev. A 2002, 66, 042306. [Google Scholar]
- Rossignoli, R.; Canosa, N. Violation of majorization relations in entangled states and its detection by means of generalized entropic forms. Phys. Rev. A 2003, 67, 042302. [Google Scholar]
- Wehrl, H. General properties of entropy. Rev. Mod. Phys. 1978, 50, 221–260. [Google Scholar]
- Gigena, N.; Rossignoli, R. Generalized conditional entropy optimization for qudit-qubit states. Phys. Rev. A 2014, 90, 042318. [Google Scholar]
- Gigena, N.; Rossignoli, R. Generalized conditional entropy in bipartite systems. J. Phys. A 2014, 47, 015302. [Google Scholar]
- Vedral, V. The role of relative entropy in quantum information theory. Rev. Mod. Phys. 2002, 74, 197–234. [Google Scholar]
- Canosa, N.; Rossignoli, R. Generalized Nonadditive Entropies and Quantum Entanglement. Phys. Rev. Lett. 2002, 88, 170401. [Google Scholar]
- Bhatia, R. Matrix Analysis; Springer: New York, NY, USA, 1997. [Google Scholar]
- Marshall, A.; Olkin, I. Inequalities: Theory of Majorization and its Applications; Academic Press: New York, NY, USA, 1979. [Google Scholar]
- Filip, R. Overlap and entanglement-witness measurements. Phys. Rev. A 2002, 65, 062320. [Google Scholar]
- Nakazato, H.; Tanaka, T.; Yuasa, K.; Florio, G.; Pascazio, S. Measurement scheme for purity based on two two-body gates. Phys. Rev. A 2012, 85, 042316. [Google Scholar]
- Tanaka, T.; Kimura, G.; Nakazato, H. Possibility of a Minimal Purity-Measurement Scheme Critically depends on the parity of dimension of the quantum system. Phys. Rev. A 2013, 87, 012303. [Google Scholar]
- Tsallis, C. Possible generalization of Boltzmann-Gibbs statistics. J. Stat. Phys. 1988, 52, 479–487. [Google Scholar]
- Tsallis, C. Introduction to non-Extensive Statistical Mechanics; Springer: New York, NY, USA, 2009. [Google Scholar]
- Piani, M. Problem with the geometric discord. Phys. Rev. A 2012, 86, 034101. [Google Scholar]
- Vinjanampathy, S.; Rau, A.R.P. Quantum Discord for qubit-qudit systems. J. Phys. A 2012, 45, 095303. [Google Scholar]
- Lieb, E.; Schultz, T.; Mattis, D. Two soluble models of an antiferromagnetic chain. Ann. Phys. 1961, 16, 407–466. [Google Scholar]
- De Pasquale, A.; Facchi, P. XY model on the circle: Diagonalization, spectrum, and forerunners of the quantum phase transition. Phys. Rev. A 2009, 80, 032102. [Google Scholar]
- Canosa, N.; Rossignoli, R. Entanglement between distant qubits in cyclic XX chains. Phys. Rev. A 2007, 75, 032350. [Google Scholar]





© 2015 by the authors; licensee MDPI, Basel, Switzerland This article is an open access article distributed under the terms and conditions of the Creative Commons Attribution license (http://creativecommons.org/licenses/by/4.0/).
Share and Cite
Canosa, N.; Ciliberti, L.; Rossignoli, R. Quantum Discord and Information Deficit in Spin Chains. Entropy 2015, 17, 1634-1659. https://doi.org/10.3390/e17041634
Canosa N, Ciliberti L, Rossignoli R. Quantum Discord and Information Deficit in Spin Chains. Entropy. 2015; 17(4):1634-1659. https://doi.org/10.3390/e17041634
Chicago/Turabian StyleCanosa, Norma, Leonardo Ciliberti, and Raúl Rossignoli. 2015. "Quantum Discord and Information Deficit in Spin Chains" Entropy 17, no. 4: 1634-1659. https://doi.org/10.3390/e17041634
APA StyleCanosa, N., Ciliberti, L., & Rossignoli, R. (2015). Quantum Discord and Information Deficit in Spin Chains. Entropy, 17(4), 1634-1659. https://doi.org/10.3390/e17041634
