Organic Acid Production by Basfia succiniciproducens from Agro-Industrial By-Products
Abstract
1. Introduction
1.1. Apple Pomace and Whey as Potential Substrates for Added-Value Compound Production
1.2. Pretreatment Methods of Agro-Industrial By-Products for Fermentations
1.3. Bio-Based Succinic Acid Production
1.4. Basfia succiniciproducens—A Novel Microorganism for Succinic Acid Production
2. Materials and Methods
2.1. Pretreatments
2.1.1. Apple Pomace, Physico-Chemical Pretreatments
2.1.2. Whey Pretreatment
2.2. Medium Composition Optimization in Small-Volume Fermentations
Strain
2.3. Bioreactor Fermentations
2.4. Analytical Procedures
2.5. Statistical Analysis
3. Results and Discussion
3.1. Effect of Pretreatment Methods on Carbohydrate Content of Apple Pomace and Whey
3.2. Medium Composition Optimization in Small-Volume Fermentations
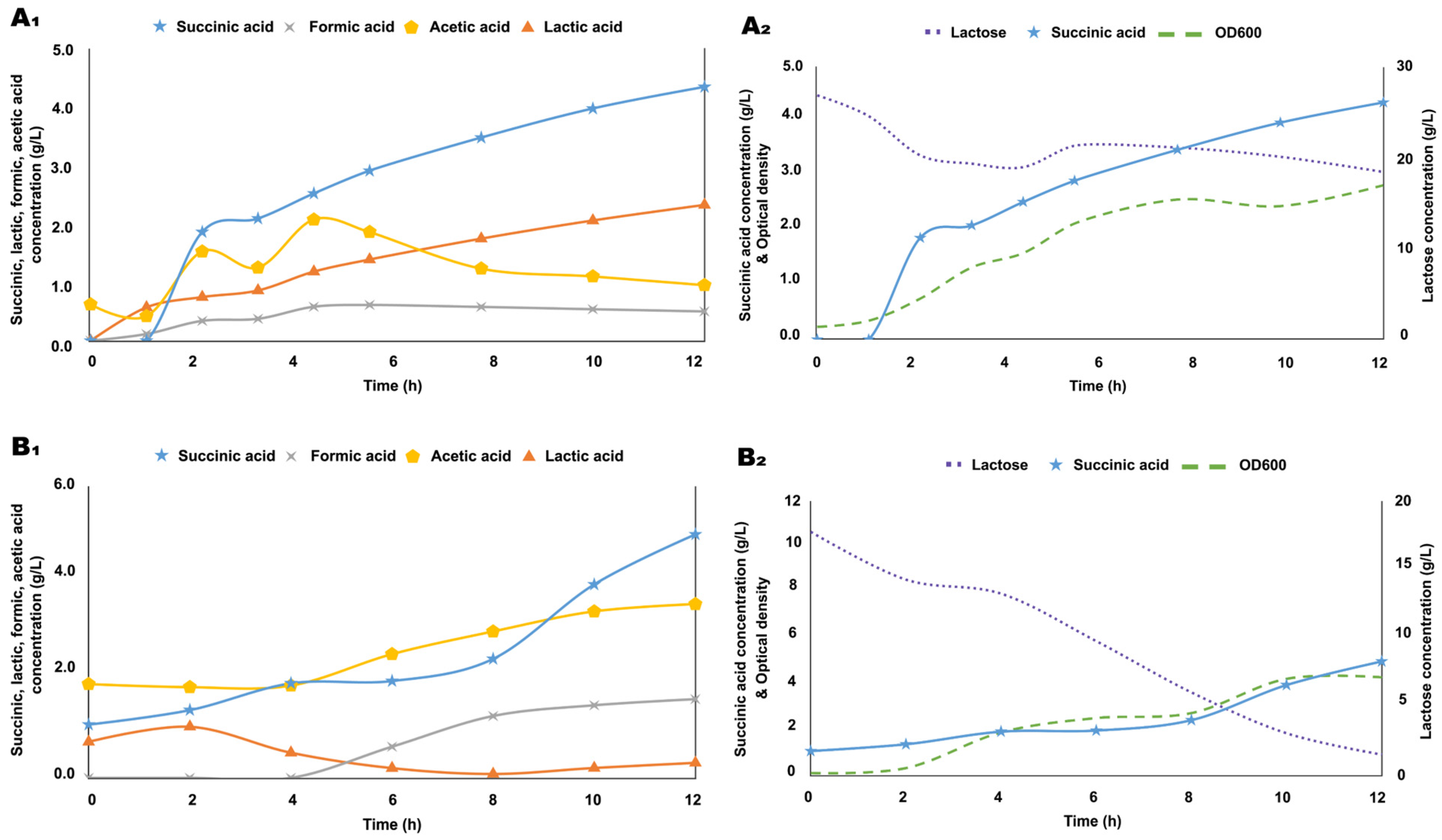
3.3. Fermentation Profile Analysis of B. succiniciproducens Cultures Grown on Pretreated Apple Pomace
3.4. Comparison of the Metabolic Potential of B. succiniciproducens Grown on Pretreated Apple Pomace and Cheese Whey
4. Conclusions
Supplementary Materials
Author Contributions
Funding
Institutional Review Board Statement
Informed Consent Statement
Data Availability Statement
Acknowledgments
Conflicts of Interest
References
- Ladakis, D.; Papapostolou, H.; Vlysidis, A.; Koutinas, A. Inventory of food processing side streams in European Union and prospects for biorefinery development. In Food Industry Wastes; Elsevier: Amsterdam, The Netherlands, 2020; pp. 181–199. [Google Scholar]
- Dhillon, G.S.; Kaur, S.; Brar, S.K. Perspective of apple processing wastes as low-cost substrates for bioproduction of high value products: A review. Renew. Sustain. Energy Rev. 2013, 27, 789. [Google Scholar] [CrossRef]
- Kosseva, M.R. Sources, characteristics and treatment of plant-based food waste. In Food Industry Wastes; Elsevier: Amsterdam, The Netherlands, 2020; pp. 37–66. [Google Scholar]
- Vendruscolo, F.; Albuquerque, P.M.; Streit, F.; Esposito, E.; Ninow, J.L. Apple Pomace: A Versatile Substrate for Biotechnological Applications. Crit. Rev. Biotechnol. 2008, 28, 1–12. [Google Scholar] [CrossRef] [PubMed]
- Buchanan, D.; Martindale, W.; Romeih, E.; Hebishy, E. Recent advances in whey processing and valorisation: Technological and environmental perspectives. Int. J. Dairy Technol. 2023, 76, 291–312. [Google Scholar] [CrossRef]
- Tsermoula, P.; Khakimov, B.; Nielsen, J.H.; Engelsen, S.B. WHEY—The waste-stream that became more valuable than the food product. Trends Food Sci. Technol. 2021, 118, 230. [Google Scholar] [CrossRef]
- Yadav, J.S.S.; Yan, S.; Pilli, S.; Kumar, L.; Tyagi, R.D.; Surampalli, R.Y. Cheese whey: A potential resource to transform into bioprotein, functional/nutritional proteins and bioactive peptides. Biotechnol. Adv. 2015, 33, 756. [Google Scholar] [CrossRef]
- Ryan, M.P.; Walsh, G. The biotechnological potential of whey. Rev. Environ. Sci. Biotechnol. 2016, 15, 479. [Google Scholar] [CrossRef]
- Guimarães, P.M.R.; Teixeira, J.A.; Domingues, L. Fermentation of lactose to bio-ethanol by yeasts as part of integrated solutions for the valorisation of cheese whey. Biotechnol. Adv. 2010, 28, 375. [Google Scholar] [CrossRef]
- Ahmad, T.; Aadil, R.M.; Ahmed, H.; Rahman, U.; Soares, B.C.V.; Souza, S.L.; Pimentel, T.C.; Scudino, H.; Guimarães, J.T.; Esmerino, E.A.; et al. Treatment and utilization of dairy industrial waste: A review. Trends Food Sci. Technol. 2019, 88, 361. [Google Scholar] [CrossRef]
- Kavitha, S.; Banu, J.R.; Priya, A.A.; Uan, D.K.; Yeom, I.T. Liquefaction of food waste and its impacts on anaerobic biodegradability, energy ratio and economic feasibility. Appl. Energy 2017, 208, 228. [Google Scholar] [CrossRef]
- Dessie, W.; Zhang, W.; Xin, F.; Dong, W.; Zhang, M.; Ma, J.; Jiang, M. Succinic acid production from fruit and vegetable wastes hydrolyzed by on-site enzyme mixtures through solid state fermentation. Bioresour. Technol. 2018, 247, 1177. [Google Scholar] [CrossRef]
- Li, C.; Yang, X.; Gao, S.; Chuh, A.H.; Lin, C.S.K. Hydrolysis of fruit and vegetable waste for efficient succinic acid production with engineered Yarrowia lipolytica. J. Clean. Prod. 2018, 179, 151. [Google Scholar] [CrossRef]
- Kuglarz, M.; Angelidaki, I. Succinic Production from Source-Separated Kitchen Biowaste in a Biorefinery Concept: Focusing on Alternative Carbon Dioxide Source for Fermentation Processes. Fermentation 2023, 9, 259. [Google Scholar] [CrossRef]
- Sun, Y.; Cheng, J. Hydrolysis of lignocellulosic materials for ethanol production: A review. Bioresour. Technol. 2002, 83, 1. [Google Scholar] [CrossRef] [PubMed]
- Xiang, Q.; Lee, Y.Y.; Pettersson, P.O.; Torget, R.W. Heterogeneous aspects of acid hydrolysis of α-cellulose. Appl. Biochem. Biotechnol. 2003, 107, 505. [Google Scholar] [CrossRef]
- Luo, J.; Xu, Y. Comparison of Biological and Chemical Pretreatment on Coproduction of Pectin and Fermentable Sugars from Apple Pomace. Appl. Biochem. Biotechnol. 2019, 190, 129. [Google Scholar] [CrossRef]
- Vaez, S.; Karimi, K.; Denayer, J.F.M.; Kumar, R. Evaluation of apple pomace biochemical transformation to biofuels and pectin through a sustainable biorefinery. Biomass Bioenergy 2023, 172, 106757. [Google Scholar] [CrossRef]
- Cheng, Y.S.; Zheng, Y.; Yu, C.W.; Dooley, T.M.; Jenkins, B.M.; VanderGheynst, J.S. Evaluation of high solids alkaline pretreatment of rice straw. Appl. Biochem. Biotechnol. 2010, 162, 1768. [Google Scholar] [CrossRef]
- Anwar, Z.; Gulfraz, M.; Irshad, M. Agro-industrial lignocellulosic biomass a key to unlock the future bio-energy: A brief review. J. Radiat. Res. Appl. Sci. 2014, 7, 163. [Google Scholar] [CrossRef]
- Procentese, A.; Russo, M.E.; Di Somma, I.; Marzocchella, A. Kinetic Characterization of Enzymatic Hydrolysis of Apple Pomace as Feedstock for a Sugar-Based Biorefinery. Energies 2020, 13, 1051. [Google Scholar] [CrossRef]
- Mosier, N.; Wyman, C.; Dale, B.; Elander, R.; Lee, Y.Y.; Holtzapple, M.; Ladisch, M. Features of promising technologies for pretreatment of lignocellulosic biomass. Bioresour. Technol. 2005, 96, 673. [Google Scholar] [CrossRef]
- Leonel, L.V.; Sene, L.; da Cunha, M.A.A.; Dalanhol, K.C.F.; de Almeida Felipe, M.D.G. Valorization of apple pomace using bio-based technology for the production of xylitol and 2G ethanol. Bioprocess Biosyst. Eng. 2020, 43, 2153–2163. [Google Scholar] [CrossRef]
- Merrylin, J.; Yukesh Kannah, R.; Rajesh Banu, J.; Ick, T.Y. Production of organic acids and enzymes/biocatalysts from food waste. In Food Waste to Valuable Resources; Academic Press: Cambridge, MA, USA, 2020; pp. 119–141. [Google Scholar]
- Brink, H.G.; Nicol, W. Succinic acid production with Actinobacillus succinogenes: Rate and yield analysis of chemostat and biofilm cultures. Microb. Cell Fact. 2014, 13, 111. [Google Scholar] [CrossRef]
- Zeikus, J.G.; Jain, M.K.; Elankovan, P. Biotechnology of succinic acid production and markets for derived industrial products. Appl. Microbiol. Biotechnol. 1999, 51, 545. [Google Scholar] [CrossRef]
- Sze, K.C.L.; Chenyu, D.; Apostolis, K.; Ruohang, W.; Colin, W. Substrate and product inhibition kinetics in succinic acid production by Actinobacillus succinogenes. Biochem. Eng. J. 2008, 41, 128. [Google Scholar] [CrossRef]
- Samuelov, N.S.; Datta, N.S.R.; Jain, M.K.; Zeikus, J.G. Whey fermentation by Anaerobiospirillum succiniciproducens for production of a succinate-based animal feed additive. Appl. Environ. Microbiol. 1999, 65, 2260. [Google Scholar] [CrossRef] [PubMed]
- Do, Y.K.; Seong, C.Y.; Pyung, C.L.; Woo, G.L.; Sang, Y.L.; Ho, N.C. Batch and continuous fermentation of succinic acid from wood hydrolysate by Mannheimia succiniciproducens MBEL55E. Enzyme Microb. Technol. 2004, 35, 648. [Google Scholar]
- Vemuri, G.N.; Eiteman, M.A.; Altman, E. Succinate production in dual-phase Escherichia coli fermentations depends on the time of transition from aerobic to anaerobic conditions. J. Ind. Microbiol. Biotechnol. 2002, 28, 325. [Google Scholar] [CrossRef]
- Uçkun Kiran, E.; Trzcinski, A.P.; Ng, W.J.; Liu, Y. Bioconversion of food waste to energy: A review. Fuel 2014, 134, 389. [Google Scholar] [CrossRef]
- Leung, C.C.J.; Cheung, A.S.Y.; Zhang, A.Y.Z.; Lam, K.F.; Lin, C.S.K. Utilisation of waste bread for fermentative succinic acid production. Biochem. Eng. J. 2012, 65, 10. [Google Scholar] [CrossRef]
- Yu, J.; Li, Z.; Ye, Q.; Yang, Y.; Chen, S. Development of succinic acid production from corncob hydrolysate by Actinobacillus succinogenes. J. Ind. Microbiol. Biotechnol. 2010, 37, 1033. [Google Scholar] [CrossRef]
- Li, Q.; Siles, J.A.; Thompson, I.P. Succinic acid production from orange peel and wheat straw by batch fermentations of Fibrobacter succinogenes S85. Appl. Microbiol. Biotechnol. 2010, 88, 671. [Google Scholar] [CrossRef]
- Sun, Z.; Li, M.; Qi, Q.; Gao, C.; Lin, C.S.K. Mixed Food Waste as Renewable Feedstock in Succinic Acid Fermentation. Appl. Biochem. Biotechnol. 2014, 174, 1822. [Google Scholar] [CrossRef]
- Salvachúa, D.; Smith, H.; St. John, P.C.; Mohagheghi, A.; Peterson, D.J.; Black, B.A.; Dowe, N.; Beckham, G.T. Succinic acid production from lignocellulosic hydrolysate by Basfia succiniciproducens. Bioresour. Technol. 2016, 214, 558. [Google Scholar] [CrossRef]
- D’ambrosio, S.; Alfano, A.; Cimini, D. Production of Succinic Acid From Basfia succiniciproducens. Front. Chem. Eng. Chin. 2021, 3, 785691. [Google Scholar] [CrossRef]
- Kuhnert, P.; Scholten, E.; Haefner, S.; Mayor, D.; Frey, J. Basfia succiniciproducens gen. nov., sp. nov., a new member of the family Pasteurellaceae isolated from bovine rumen. Int. J. Syst. Evol. Microbiol. 2010, 60, 44. [Google Scholar] [CrossRef] [PubMed]
- Ahn, J.H.; Jang, Y.S.; Lee, S.Y. Production of succinic acid by metabolically engineered microorganisms. Curr. Opin. Biotechnol. 2016, 42, 54. [Google Scholar] [CrossRef] [PubMed]
- Becker, J.; Reinefeld, J.; Stellmacher, R.; Schäfer, R.; Lange, A.; Meyer, H.; Lalk, M.; Zelder, O.; von Abendroth, G.; Schröder, H.; et al. Systems-wide analysis and engineering of metabolic pathway fluxes in bio-succinate producing Basfia succiniciproducens. Biotechnol. Bioeng. 2013, 110, 3013. [Google Scholar] [CrossRef] [PubMed]
- Lange, A.; Becker, J.; Schulze, D.; Cahoreau, E.; Portais, J.-C.; Haefner, S.; Schröder, H.; Krawczyk, J.; Zelder, O.; Wittmann, C. Bio-based succinate from sucrose: High-resolution C metabolic flux analysis and metabolic engineering of the rumen bacterium Basfia succiniciproducens. Metab. Eng. 2017, 44, 198–212. [Google Scholar] [CrossRef]
- Balázs, M.; Bartos, H.; Lányi, S.; Bodor, Z.; Miklóssy, I. Substrate type and CO2 addition significantly influence succinic acid production of Basfia succiniciproducens. Biotechnol. Lett. 2023, 45, 1133. [Google Scholar] [CrossRef]
- Scholten, E.; Dägele, D. Succinic acid production by a newly isolated bacterium. Biotechnol. Lett. 2008, 30, 2143. [Google Scholar] [CrossRef]
- Scholten, E.; Renz, T.; Thomas, J. Continuous cultivation approach for fermentative succinic acid production from crude glycerol by Basfia succiniciproducens DD1. Biotechnol. Lett. 2009, 31, 1947. [Google Scholar] [CrossRef]
- Dharmadi, Y.; Murarka, A.; Gonzalez, R. Anaerobic fermentation of glycerol by Escherichia coli: A new platform for metabolic engineering. Biotechnol. Bioeng. 2006, 94, 821. [Google Scholar] [CrossRef] [PubMed]
- Nghiem, N.P.; Kleff, S.; Schwegmann, S. Succinic Acid: Technology Development and Commercialization. Fermentation 2017, 3, 26. [Google Scholar] [CrossRef]
- Bartos, H.; Balázs, M.; Kuzman, I.H.; Lányi, S.; Miklóssy, I. Production of High Added-Value Chemicals in Basfia succiniciproducens: Role of Medium Composition. Sustain. Sci. Pract. Policy 2021, 13, 3513. [Google Scholar] [CrossRef]
- Kim, T.Y.; Kim, H.U.; Park, J.M.; Song, H.; Kim, J.S.; Lee, S.Y. Genome-scale analysis of Mannheimia succiniciproducens metabolism. Biotechnol. Bioeng. 2007, 97, 657–671. [Google Scholar] [CrossRef] [PubMed]
- Donatella, C.; Ottavia, A.; D’Ambrosio, S.; Licia, L.; Ilaria, F.; Rosario, F.; Olimpia, P.; Vincenza, F.; Chiara, S. Production of succinic acid from Basfia succiniciproducens up to the pilot scale from Arundo donax hydrolysate. Bioresour. Technol. 2016, 222, 355. [Google Scholar] [CrossRef]
- Terboven, C.; Abendroth, C.; Laumer, J.; Herrmann, C.; Schneider, R.; Ramm, P.; Venus, J.; Plöchl, M. Influence of the Initial Sugar Concentration and Supplementation with Yeast Extract on Succinic Acid Fermentation in a Lactose-Based Medium. Fermentation 2021, 7, 221. [Google Scholar] [CrossRef]
- Jin, Q.; Qureshi, N.; Wang, H.; Huang, H. Acetone-butanol-ethanol (ABE) fermentation of soluble and hydrolyzed sugars in apple pomace by Clostridium beijerinckii P260. Fuel 2019, 244, 536–544. [Google Scholar] [CrossRef]
- Panesar, P.S.; Kennedy, J.F.; Knill, C.J.; Kosseva, M.R. Applicability of pectateentrapped Lactobacillus casei cells for L(+) lactic acid production from whey. Appl. Microbiol. Biotechnol. 2007, 74, 35–42. [Google Scholar] [CrossRef]
- Wong, H.H.; Lee, S.Y. Poly-(3-hydroxybutyrate) production from whey by high-density cultivation of recombinant Escherichia coli. Appl. Microbiol. Biotechnol. 1998, 50, 30–33. [Google Scholar] [CrossRef]
- Tripathi, A.D.; Srivastava, S.K.; Singh, P.; Singh, R.P.; Singh, S.P.; Jha, A.; Yadav, P. Optimization of process variables for enhanced lactic acid production utilizing paneer whey as substrate in SMF. Appl. Food Biotechnol. 2015, 2, 47–56. [Google Scholar]
- Jenq, W.; Speckman, R.A.; Crang, R.E.; Steinberg, M.P. Enhanced conversion of lactose to glycerol by Kluyveromyces fragilis utilizing whey permeate as a substrate. Appl. Environ. Microbiol. 1989, 55, 573–578. [Google Scholar] [CrossRef] [PubMed]
- Indu, P.; Vasantha, R. Optimization of dilute acid-based pretreatment and application of laccase on apple pomace. Bioresour. Technol. 2012, 124, 433. [Google Scholar] [CrossRef] [PubMed]
- Hijosa-Valsero, M.; Paniagua-García, A.I.; Díez-Antolínez, R. Biobutanol production from apple pomace: The importance of pretreatment methods on the fermentability of lignocellulosic agro-food wastes. Appl. Microbiol. Biotechnol. 2017, 101, 8041. [Google Scholar] [CrossRef]
- Magyar, M.; da Costa Sousa, L.; Jin, M.; Sarks, C.; Balan, V. Conversion of apple pomace waste to ethanol at industrial relevant conditions. Appl. Microbiol. Biotechnol. 2016, 100, 7349. [Google Scholar] [CrossRef]
- Kasmi, M.; Hamdi, M.; Trabelsi, I. Eco-friendly process combining physical-chemical and biological technics for the fermented dairy products waste pretreatment and reuse. Water Sci. Technol. 2017, 75, 39. [Google Scholar] [CrossRef]
- Paladii, I.V.; Vrabie, E.G.; Sprinchan, K.G.; Bologa, M.K. Whey: Review. Part 2. Treatment processes and methods. Surf. Eng. Appl. Electrochem. 2021, 57, 651. [Google Scholar] [CrossRef]
- Ventorino, V.; Robertiello, A.; Cimini, D.; Argenzio, O.; Schiraldi, C.; Montella, S.; Faraco, V.; Ambrosanio, A.; Viscardi, S.; Pepe, O. Bio-Based Succinate Production from Arundo donax Hydrolysate with the New Natural Succinic Acid-Producing Strain Basfia succiniciproducens BPP. Bioenerg. Res. 2017, 10, 488–498. [Google Scholar] [CrossRef]
- Gong, G.; Wu, B.; Liu, L.; Li, J.; Zhu, Q.; He, M.; Hu, G. Metabolic engineering using acetate as a promising building block for the production of bio-based chemicals. Eng. Microbiol. 2022, 2, 100036. [Google Scholar] [CrossRef]





| Code | Composition | Code | Composition |
|---|---|---|---|
| M9L | M9 + 5 g/L lactose | M9F | M9 + 5 g/L fructose |
| M9S | M9 + S (1:1) | M9W | M9 + W (1:1) |
| S | S | W | W |
| SM9C | S + M9 micronutrients | WM9C | W + M9 micronutrients |
| Medium | Substrate | Concentration |
|---|---|---|
| 1×M9 | Fructose | 15 g/L |
| Fructose | 55 g/L | |
| Lactose | 27 g/L | |
| Pretreated apple pomace: 1×M9 | 1:1 | |
| Pretreated liquid whey: 1×M9 | 1:1 |
| 15 g/L Fructose | 55 g/L Fructose | 27 g/L Lactose | Apple Pomace (W) * | Whey (S) | |
|---|---|---|---|---|---|
| Substrate consumption (g/Lh) | 0.610 | 2.244 | 0.700 | 0.610 | 1.383 |
| Specific growth rate (h−1) | 0.183 | 0.421 | 0.308 | 0.152 | 0.310 |
| Succinic acid concentration (g/L) | 2.433 | 4.811 | 4.334 | 1.637 | 5.007 |
| Formic acid concentration (g/L) | 0.292 | 0.610 | 0.500 | 0.443 | 1.619 |
| Acetic acid concentration (g/L) | 1.217 | 0.779 | 0.950 | 0.779 | 3.573 |
| Lactic acid concentration (g/L) | 0.301 | 1.947 | 2.319 | 0.829 | 0.468 |
| Succinic acid yield (g/g consumed sugar) | 0.141 | 0.072 | 0.276 | 0.224 | 0.236 |
| Overall yield (g succinic acid/g agro-industrial byproduct) | 0.038 | 0.008 |
Disclaimer/Publisher’s Note: The statements, opinions and data contained in all publications are solely those of the individual author(s) and contributor(s) and not of MDPI and/or the editor(s). MDPI and/or the editor(s) disclaim responsibility for any injury to people or property resulting from any ideas, methods, instructions or products referred to in the content. |
© 2025 by the authors. Licensee MDPI, Basel, Switzerland. This article is an open access article distributed under the terms and conditions of the Creative Commons Attribution (CC BY) license (https://creativecommons.org/licenses/by/4.0/).
Share and Cite
Balázs, M.; Péter, I.; Bartos, H.; Bodor, Z.; Antal, E.; Albert, C.; Miklóssy, I. Organic Acid Production by Basfia succiniciproducens from Agro-Industrial By-Products. BioTech 2025, 14, 68. https://doi.org/10.3390/biotech14030068
Balázs M, Péter I, Bartos H, Bodor Z, Antal E, Albert C, Miklóssy I. Organic Acid Production by Basfia succiniciproducens from Agro-Industrial By-Products. BioTech. 2025; 14(3):68. https://doi.org/10.3390/biotech14030068
Chicago/Turabian StyleBalázs, Márta, Izabella Péter, Hunor Bartos, Zsolt Bodor, Emőke Antal, Csilla Albert, and Ildikó Miklóssy. 2025. "Organic Acid Production by Basfia succiniciproducens from Agro-Industrial By-Products" BioTech 14, no. 3: 68. https://doi.org/10.3390/biotech14030068
APA StyleBalázs, M., Péter, I., Bartos, H., Bodor, Z., Antal, E., Albert, C., & Miklóssy, I. (2025). Organic Acid Production by Basfia succiniciproducens from Agro-Industrial By-Products. BioTech, 14(3), 68. https://doi.org/10.3390/biotech14030068

