Evaluation of a Competition Wheelchair Based on Estimation of Muscle Activity for Forward Linear Operation by Using Inverse Dynamics Analysis †
Abstract
1. Introduction
2. Method
2.1. An Overview of Musculoskeletal Simulation
2.2. Construction of Body Model
2.3. Construction of Wheelchair Model
2.4. Expression of Wheelchair Forward Linear Operation
3. Result
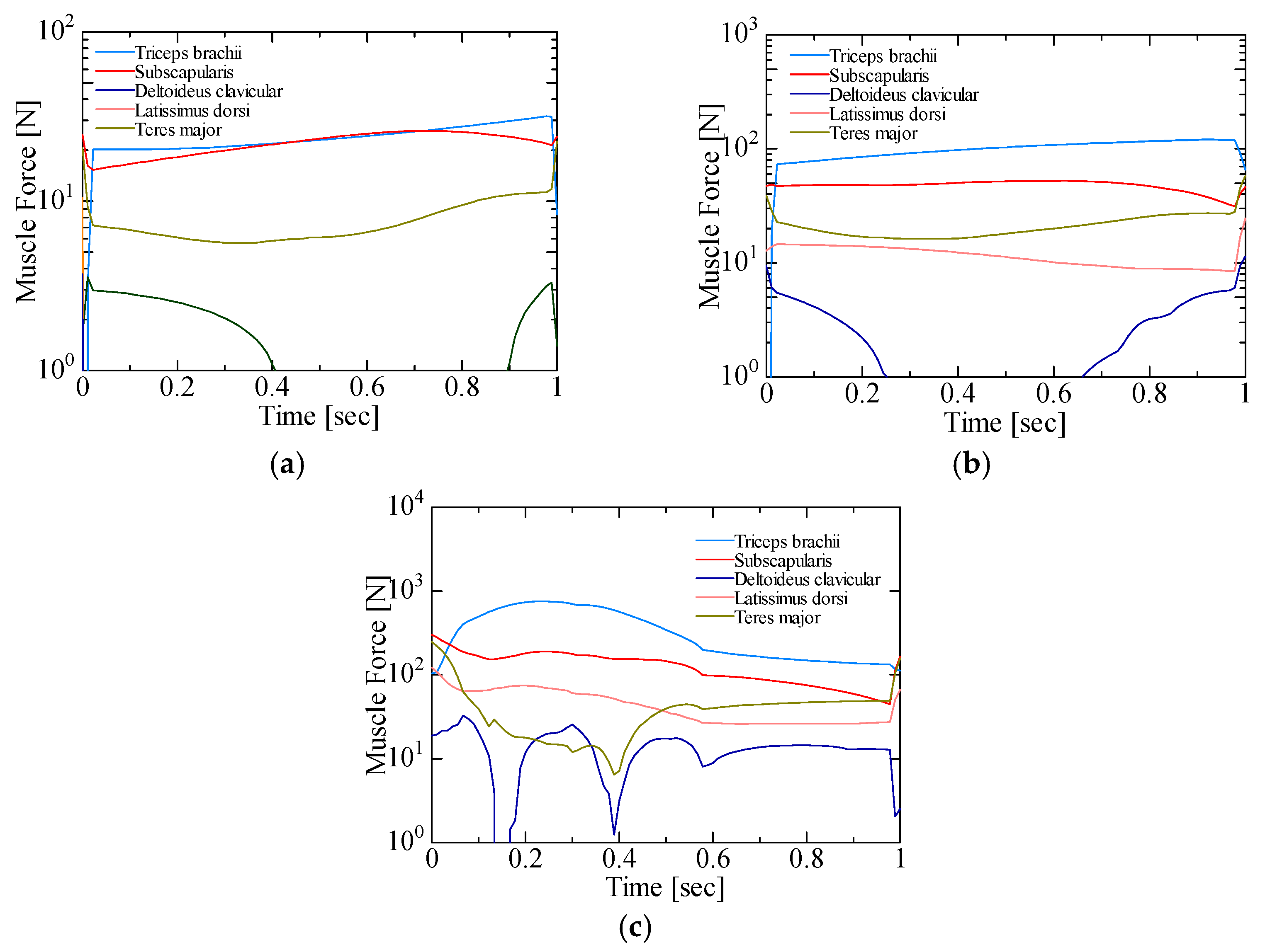
3.1. Analytical Results
3.2. Estimation Results
4. Discussion
4.1. Comparison of Estimated Muscle Force
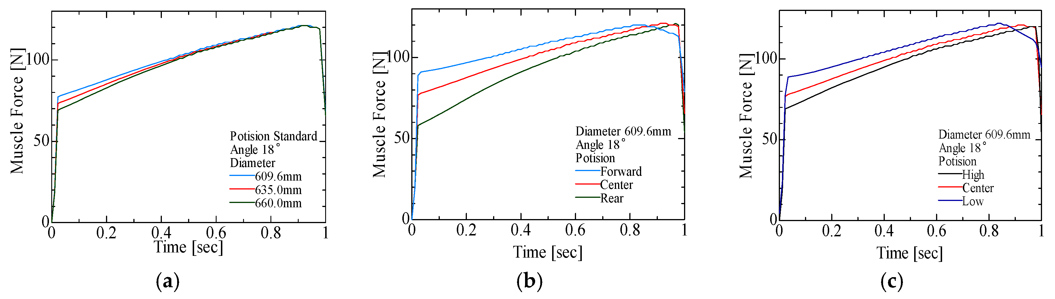
4.2. Evaluation of Thewheelchair
5. Conclusions
- In the muscles of the upper limbs, the triceps brachii works for propulsion and postural maintenance, however subscapularis works only for propulsion.
- The axle position has the strongest effect on the muscle force of the upper limbs.
- Lowering the axle position is effective in reducing the burden on the muscle responsible for injury.
Conflicts of Interest
References
- Miyahara, M.; Sleivert, G.G.; Gerrard, D.F. The relationship of strength and muscle balance to shoulder pain and impingement syndrome in elite quadriplegic wheelchair rugby players. Int. J. Sports Med. 1998, 19, 210–214. [Google Scholar] [CrossRef] [PubMed]
- International Rules for the Sport of Wheelchair Rugby. Available online: http://www.iwheelchairrudbyf.com/resources/iwheelchairrudbyf_docs/Wheelchair_Rugby_International_Rules_2015_English.pdf (accessed on 1 September 2017).
- Curtis, K.A.; Tyner, T.M.; Zachary, L.; Lentell, G.; Brink, D.; Didyk, T.; Gean, T.; Hall, J.; Hooper, M.; Klos, J.; et al. Effect of a standard exercise protocol on shoulder pain in long-term wheelchair users. Spinal Cord 1999, 37, 421–429. [Google Scholar] [CrossRef] [PubMed]
- Dubowsky, S.R.; Rasmussen, J.; Sisto, S.A.; Langrana, N.A. Validation of a musculoskeletal model of wheelchair propulsion and its application to minimizing shoulder joint forces. J. Biomech. 2008, 41, 2981–2988. [Google Scholar] [CrossRef] [PubMed]
- Moreno, M.; Paris, J.; Sarro, K.; Lodovico, A.; Silvatti, A.; Barros, R.M. Wheelchair Rugby Improves Pulmonary Function in People with Tetraplegia After 1 Year of Training. J. Strength Cond. Res. 2013, 27, 50–56. [Google Scholar] [CrossRef]
- Furmaniuk, L.; Cywińska-Wasilewska, G.; Kaczmarek, D. Influence of long-term wheelchair rugby training on the functional abilities in persons with tetraplegia over a two-year post-spinal cord injury. J. Rehabil. Med. 2010, 42, 688–690. [Google Scholar] [CrossRef]
- Iwheelchair Rudbyf Classification Manual. Available online: http://www.iwrf.com/resources/iwrf_docs/Wheelchair_Rugby_International_Rules_2015_English.pdf (accessed on 1 September 2017).
- Hanafusa, A.; Motoki, S.; Teruhiko, F.; Naoki, S.; Yoshito, O. Wheelchair Propulsion Analysis Using a Human Model that Incorporates Muscles-Evaluation for Cases When the Seat Positions are Changed. J. Jpn. Soc. Comput. Aided Surg. 2007, 9, 23–25. (In Japanese) [Google Scholar] [CrossRef][Green Version]




| Model | Body Model of Class 2.0 (Score of Upper Limb + Trunk) | Strength Setting (×Healthy Subject) | |
|---|---|---|---|
| Upper Limbs | Trunk | ||
| A | 0.5 + 1.5 | 1/5 | 1 |
| B | 1.0 + 1.0 | 3/5 | 5/8 |
| C | 2.0 + 0.0 | 1 | 1/8 |
| Camber Angle (°) | Wheel Diameter (mm) | Axle Position (mm) | |
|---|---|---|---|
| 16 18 20 22 | 609.6 635.0 660.4 | Center: Forward: Rear: High: Low: | Standard Position (SP) SP + 50 mm, x SP − 50 mm, x SP + 50 mm, y SP − 50 mm, y |
Publisher’s Note: MDPI stays neutral with regard to jurisdictional claims in published maps and institutional affiliations. |
© 2018 by the authors. Licensee MDPI, Basel, Switzerland. This article is an open access article distributed under the terms and conditions of the Creative Commons Attribution (CC BY) license (https://creativecommons.org/licenses/by/4.0/).
Share and Cite
Kobayashi, Y.; Tanaka, K. Evaluation of a Competition Wheelchair Based on Estimation of Muscle Activity for Forward Linear Operation by Using Inverse Dynamics Analysis. Proceedings 2018, 2, 259. https://doi.org/10.3390/proceedings2060259
Kobayashi Y, Tanaka K. Evaluation of a Competition Wheelchair Based on Estimation of Muscle Activity for Forward Linear Operation by Using Inverse Dynamics Analysis. Proceedings. 2018; 2(6):259. https://doi.org/10.3390/proceedings2060259
Chicago/Turabian StyleKobayashi, Yuki, and Katsumasa Tanaka. 2018. "Evaluation of a Competition Wheelchair Based on Estimation of Muscle Activity for Forward Linear Operation by Using Inverse Dynamics Analysis" Proceedings 2, no. 6: 259. https://doi.org/10.3390/proceedings2060259
APA StyleKobayashi, Y., & Tanaka, K. (2018). Evaluation of a Competition Wheelchair Based on Estimation of Muscle Activity for Forward Linear Operation by Using Inverse Dynamics Analysis. Proceedings, 2(6), 259. https://doi.org/10.3390/proceedings2060259
