Numerical Study on Dynamics of Blood Cell Migration and Deformation in Atherosclerotic Vessels
Abstract
:1. Introduction
2. Model Description
3. Results and Discussion
3.1. Blood Cells Deform and Gather in an Atherosclerotic Vessel
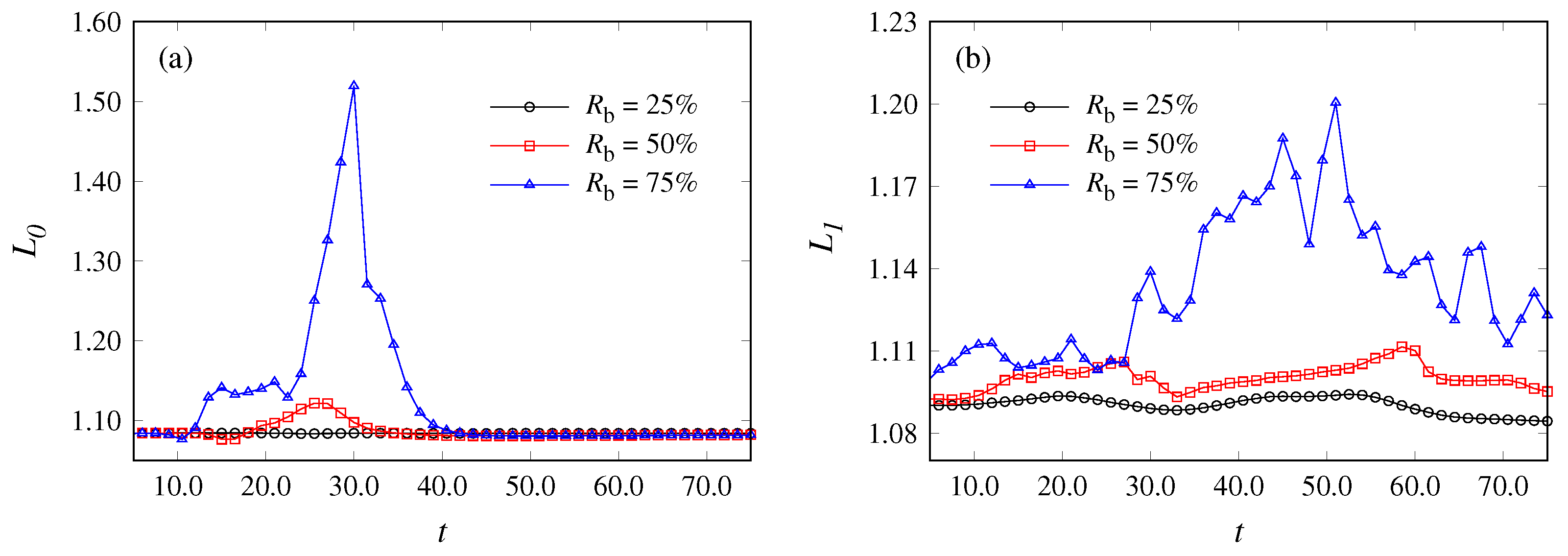
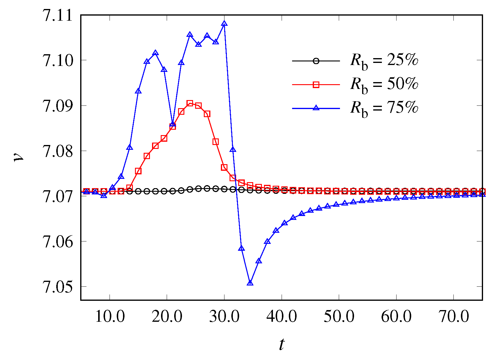
3.2. Block Rate Effect on the Dynamics of Blood Cells
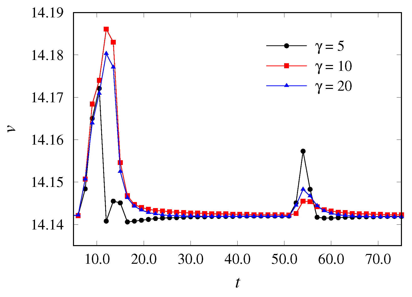
3.3. Cellular Elastic Effect on Dynamics of Blood Cells
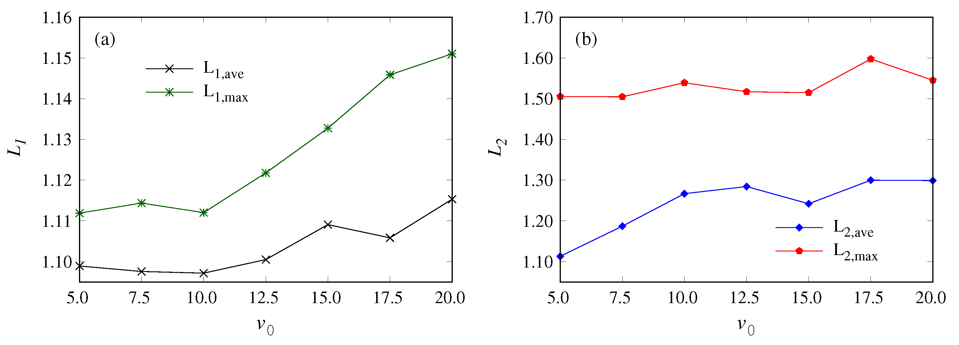
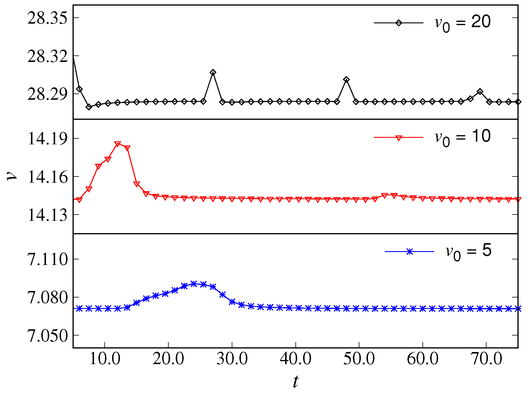
3.4. Active Velocity Effect on Dynamics of Blood Cells
4. Conclusions
Author Contributions
Funding
Institutional Review Board Statement
Informed Consent Statement
Data Availability Statement
Acknowledgments
Conflicts of Interest
References
- Seeley, R.R.; Stephens, T.D.; Tate, P. The cardiovascular system: Blood vessels and circulation. In Anatomy and Physiology; McGraw-Hill Higher Education: New York, NY, USA, 2007. [Google Scholar]
- Pranoni, P.; Bilora, F.; Marchiori, A.; Bernardi, E.; Petrobelli, F.; Lensing, A.W.; Prins, M.H.; Girolami, A. An association between atherosclerosis and venous thrombosis. N. Engl. J. Med. 2003, 348, 1435–1441. [Google Scholar] [CrossRef] [PubMed]
- Anker, S.T. Big data in cardiovascular disease. Eur. Heart J. 2017, 38, 1863–1865. [Google Scholar] [CrossRef]
- Prandoni, P.; Ciammaichella, M.; Mumoli, N.; Zanatta, N.; Visona, A.; Avruscio, G.; Camporese, G.; Bucherini, E.; Bova, C.; Imberti, D.; et al. An association between residual vein thrombosis and subclinical atherosclerosis: Cross-sectional study. Thromb. Res. 2019, 157, 432–450. [Google Scholar] [CrossRef] [PubMed]
- Tang, D.; Yang, C.; Zheng, J.; Woodard, P.K.; Sicard, G.A.; Saffitz, J.E.; Yuan, C. 3D mri-based multicomponent fsi models for atherosclerotic plaques. Ann. Biomed. Eng. 2004, 32, 947–960. [Google Scholar] [CrossRef]
- Malek, A.M.; Alper, S.L.; Izumo, S. Hemodynamic shear stress and its role in atherosclerosis. JAMA 1999, 282, 2035–2042. [Google Scholar] [CrossRef] [PubMed]
- Younis, H.F.; Kaazempur-Mofrad, M.R.; Chan, R.C.; Isasi, A.G.; Hinton, D.P.; Chau, A.H.; Kim, L.A.; Kamm, R.D. Hemodynamics and wall mechanics in human carotid bifurcation and its consequences for atherogenesis: Investigation of inter-individual variation. Biomech. Model. Mechanobiol. 2004, 3, 17–32. [Google Scholar] [CrossRef]
- Kleinstreuer, C.; Hyun, S.; Buchanan, J.R.; Longest, P.W.; Archie, J.P., Jr.; Truskey, G.A. Hemodynamic parameters and early intimal thickening in branching blood vessels, Critical Reviews&trade. Biomed. Eng. 2001, 29, 1–64. [Google Scholar]
- Friedman, M.H.; Hutchins, G.M.; Bargeron, C.B.; Deters, O.J.; Mark, F.F. Correlation of human arterial morphology with hemodynamic measurements in arterial casts. J. Biomech. Eng. 1981, 103, 204–207. [Google Scholar] [CrossRef]
- Franck, G.; Even, G.; Gautier, A.; Salinas, M.; Loste, A.; Procopio, E.; Gaston, A.T.; Morvan, M.; Dupont, S.; Deschildre, C.; et al. Haemodynamic stress-induced breaches of the arterial intima trigger inflammation and drive atherogenesis. Eur. Heart J. 2018, 40, 928–937. [Google Scholar] [CrossRef]
- Delbosc, S.; Bayles, R.G.; Laschet, J.; Ollivier, V.; Ho-Tin-Noe, B.; Touat, Z.; Deschildre, C.; Morvan, M.; Louedec, L.; Gouya, L.; et al. Erythrocyte efferocytosis by the arterial wall promotes oxidation in early-stage atheroma in humans. Front. Cardiovasc. Med. 2017, 4, 43. [Google Scholar] [CrossRef]
- Michel, J.B.; Martin-Ventura, J.L. Red blood cells and hemoglobin in human atherosclerosis and related arterial diseases. Int. J. Mol. Sci. 2020, 21, 6756. [Google Scholar] [CrossRef] [PubMed]
- Alert, R.; Trepat, X. Physical models of collective cell migration. Annu. Condens. Matter Phys. 2020, 11, 77–101. [Google Scholar] [CrossRef]
- Kabla, A. Collective cell migration: Leadership, invasion and segregation. J. R. Soc. Interface 2012, 9, 3268–3278. [Google Scholar] [CrossRef]
- Albert, P.J.; Schwarz, U.S. Dynamics of cell ensembles on adhesive micropatterns: Bridging the gap between single cell spreading and collective cell migration. PLoS Comput. Biol. 2016, 12, e1004863. [Google Scholar] [CrossRef] [PubMed]
- Wortel, I.M.; Niculescu, I.; Kolijn, P.M.; Gov, N.S.; de Boer, R.J.; Textor, J. Local actin dynamics couple speed and persistence in a cellular potts model of cell migration. Biophys. J. 2021, 120, 2609–2622. [Google Scholar] [CrossRef] [PubMed]
- Chang, W.K.; Carmona-Fontaine, C.; Xavier, J.B. Tumour-Stromal interactions generate emergent persistence in collective cancer cell migration. Interface Focus 2013, 3, 20130017. [Google Scholar] [CrossRef]
- Zun, P.S.; Narracott, A.J.; Evans, P.C.; van Rooij, B.J.; Hoekstra, A.G. A particle-Based model for endothelial cell migration under flow conditions. Biomech. Model. Mechanobiol. 2019, 19, 681–692. [Google Scholar] [CrossRef]
- González-Cinca, R.; Folch, R.; Benitez, R.; Ramirez-Piscina, L.; Casademunt, J.; Hernandez-Machado, A. Phase-Field models in interfacial pattern formation out of equilibrium. arXiv 2003, arXiv:cond-mat/0305058. [Google Scholar]
- Löber, J.; Ziebert, F.; Aranson, I.S. Collisions of deformable cells lead to collective migration. Sci. Rep. 2015, 5, 9172. [Google Scholar] [CrossRef]
- Akiyama, M.; Nonomura, M.; Tero, A.; Kobayashi, R. Numerical study on spindle positioning using phase field method. Phys. Biol. 2018, 16, 016005. [Google Scholar] [CrossRef]
- Palmieri, B.; Bresler, Y.; Wirtz, D.; Grant, M. Multiple scale model for cell migration in monolayers: Elastic mismatch between cells enhances motility. Sci. Rep. 2015, 5, 2045–2322. [Google Scholar] [CrossRef] [PubMed]
- Yin, Y.; Xing, H.; Zang, D.; Jin, K. Effect of elasticity mismatch on cell deformation and migration: A phase-field study. Chin. Phys. 2018, 27, 116201. [Google Scholar] [CrossRef]
- Assemat, P.; Armitage, J.A.; Siu, K.K.; Contreras, K.G.; Dart, A.M.; Chin-Dusting, J.P.; Hourigan, K. Three-Dimensional numerical simulation of blood flow in mouse aortic arch around atherosclerotic plaques. Arch. Comput. Methods Eng. 2014, 38, 4175–4185. [Google Scholar] [CrossRef]
- Shit, G.C.; Maiti, S.; Roy, M.; Misra, J.C. Pulsatile flow and heat transfer of blood in an overlapping vibrating atherosclerotic artery: A numerical study. Math. Comput. Simul. 2019, 166, 432–450. [Google Scholar] [CrossRef]
- Soleimani, M.; Haverich, A.; Wriggers, P. Mathematical Modeling and Numerical Simulation of Atherosclerosis Based on a Novel Surgeon’s View. Appl. Math. Model. 2021, 28, 4263–4282. [Google Scholar] [CrossRef]
- Gholampour, S.; Hajirayat, K. Minimizing thermal damage to vascular nerves while drilling of calcified plaque. BMC Res. Notes 2019, 12, 338. [Google Scholar] [CrossRef]
- Lázaro, G.R.; Hernandez-Machado, A.; Pagonabarraga, I. Rheology of red blood cells under flow in highly confined microchannels: I. effect of elasticity. Soft Matter 2014, 10, 7195–7206. [Google Scholar] [CrossRef]
- Lázaro, G.R.; Hernandez-Machado, A.; Pagonabarraga, I. Rheology of red blood cells under flow in highly confined microchannels. II. Effect of focusing and confinement. Soft Matter 2014, 10, 7207–7217. [Google Scholar] [CrossRef]
- Nakahara, T.; Dweck, M.R.; Narula, N.; Pisapia, D.; Narula, J.; Strauss, H.W. Coronary Artery Calcification: From Mechanism to Molecular Imaging. JACC. Cardiovasc. Imaging 2017, 10, 582–593. [Google Scholar] [CrossRef]
- Lee, M.H.; Wu, P.H.; Staunton, J.R.; Ros, R.; Longmore, G.D.; Wirtz, D. Mismatch in Mechanical and Adhesive Properties Induces Pulsating Cancer Cell Migration in Epithelial Monolayer. Biophys. J. 2012, 102, 2731–2741. [Google Scholar] [CrossRef]















| Dimensionless Perimeters | R | ||||
|---|---|---|---|---|---|
| Numerical value | 60 | 7.0 | 1500 | 40 | 12 |
Publisher’s Note: MDPI stays neutral with regard to jurisdictional claims in published maps and institutional affiliations. |
© 2022 by the authors. Licensee MDPI, Basel, Switzerland. This article is an open access article distributed under the terms and conditions of the Creative Commons Attribution (CC BY) license (https://creativecommons.org/licenses/by/4.0/).
Share and Cite
Wu, Y.; Xing, H.; Zhang, Q.; Sun, D. Numerical Study on Dynamics of Blood Cell Migration and Deformation in Atherosclerotic Vessels. Mathematics 2022, 10, 2022. https://doi.org/10.3390/math10122022
Wu Y, Xing H, Zhang Q, Sun D. Numerical Study on Dynamics of Blood Cell Migration and Deformation in Atherosclerotic Vessels. Mathematics. 2022; 10(12):2022. https://doi.org/10.3390/math10122022
Chicago/Turabian StyleWu, Yihao, Hui Xing, Qingyu Zhang, and Dongke Sun. 2022. "Numerical Study on Dynamics of Blood Cell Migration and Deformation in Atherosclerotic Vessels" Mathematics 10, no. 12: 2022. https://doi.org/10.3390/math10122022
APA StyleWu, Y., Xing, H., Zhang, Q., & Sun, D. (2022). Numerical Study on Dynamics of Blood Cell Migration and Deformation in Atherosclerotic Vessels. Mathematics, 10(12), 2022. https://doi.org/10.3390/math10122022

