Control of Triple-Shock Configurations and Vortex Structures Forming in High Speed Flows of Gaseous Media past an AD Body under the Action of External Energy Sources †
Abstract
:1. Introduction
2. Statement of the Problem and Applied Numerical Procedure
3. Results
3.1. Dynamics of Formation of a Triple-Shock Configuration and Analogy with the Triple-Shock Theory
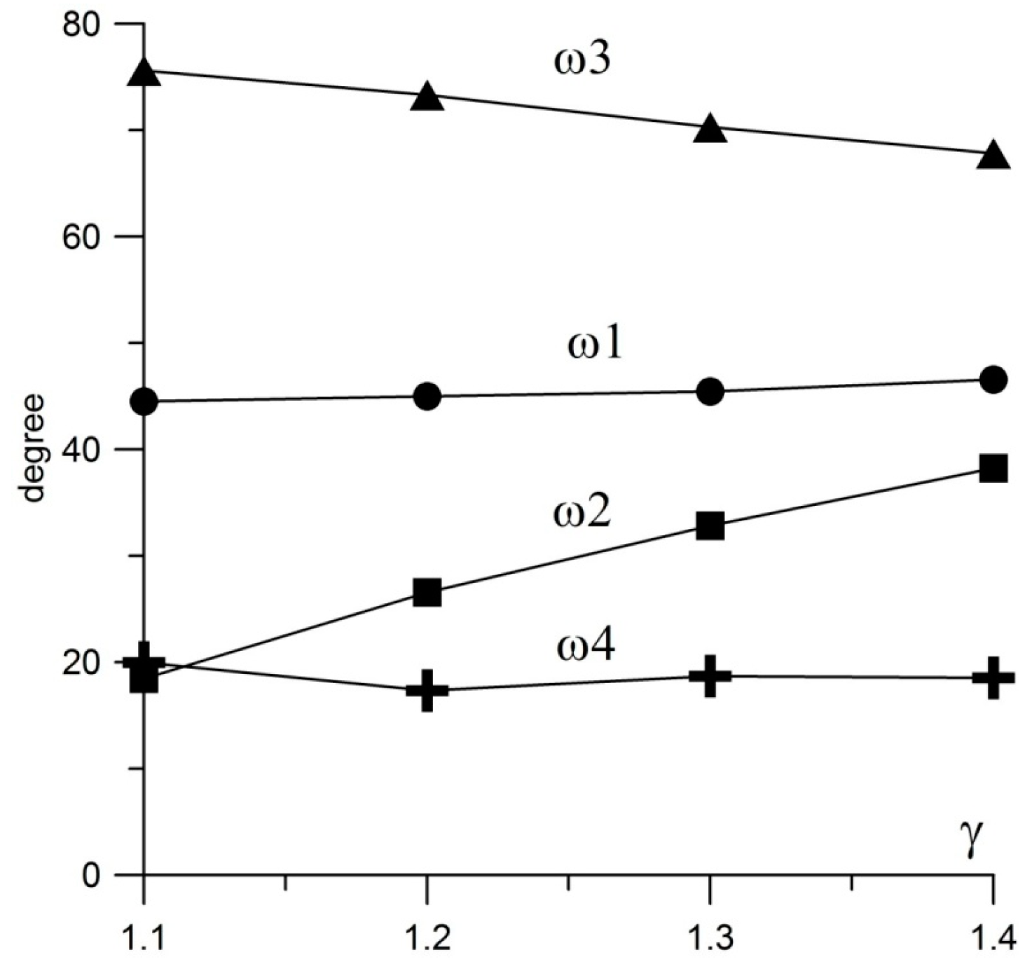
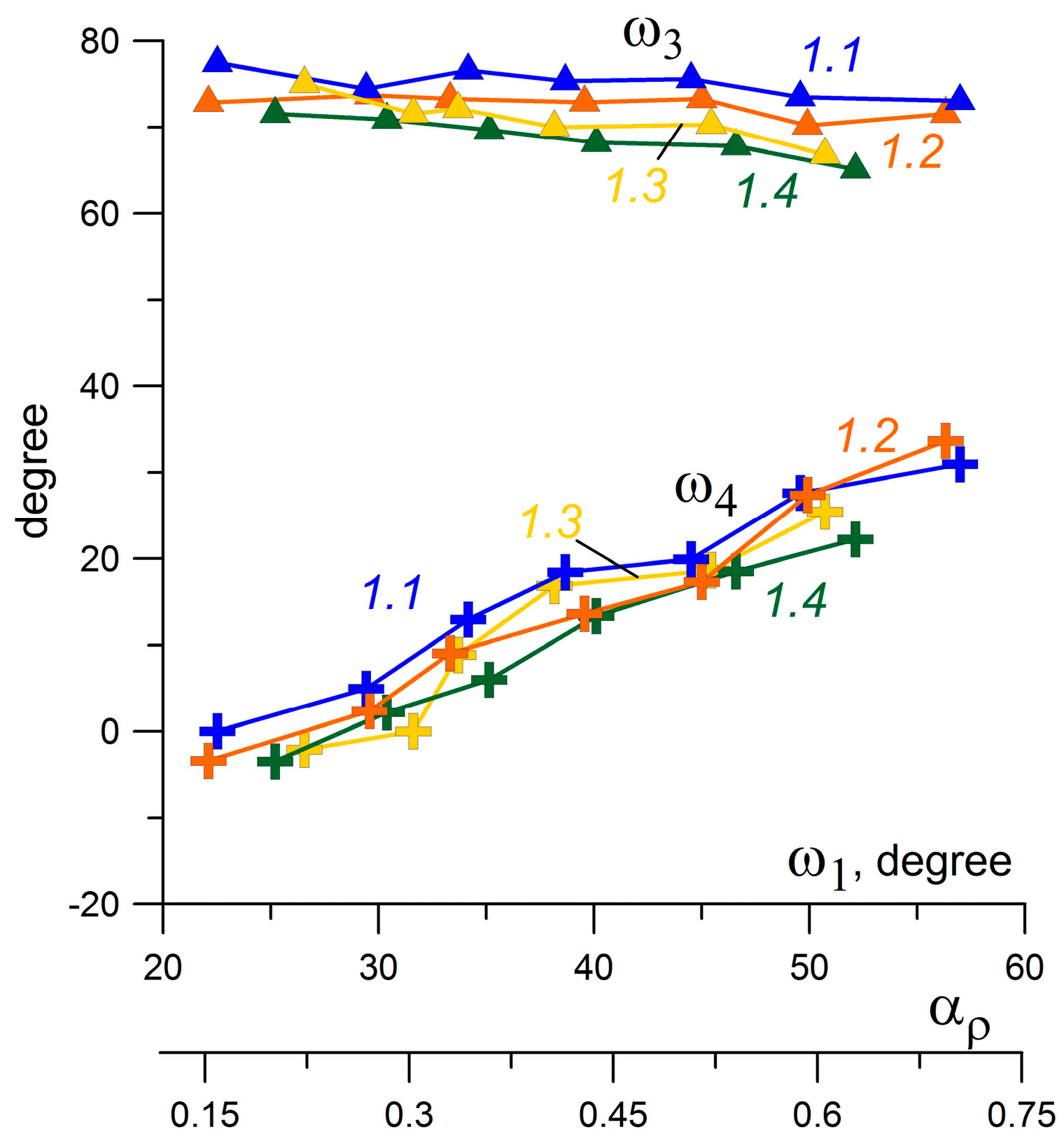
3.2. Study of the Angles in Triple-Shock Configuration for Different γ
3.3. Accuracy of the Angles’ Calculations
3.4. A Study of the Stagnation Pressure and Frontal Drag Force for Different γ
3.5. Shock Structure in the Case of γ = 1.1 and Small αρ
3.6. Modeling the Vortex-Contact Structures and the Richtmyer-Meshkov Instability
4. Conclusions
- For the evaluation of the angle of incident shock ω1 Equation (2) can be used, which gives the connection of ω1 and the rarefaction parameter αρ of a gas in an energy source.
- The angle of incident shock ω1 is independent of γ.
- With decreasing γ from 1.4 to 1.1 the angle of the reflected shock ω2 decreases (by 51.8% for ω1 = 45° and αρ = 0.5), the angle of the Mach shock ω3 increases (by 11.5% for ω1 = 45° and αρ = 0.5), and the angle of the contact discontinuity ω4 is practically independent of γ.
- The angle of the contact discontinuity ω4 increases against αρ (and against ω1), the angle of the reflected shock ω2 has a local minimum in the considered intervals of αρ and ω1, and the angle of the Mach shock ω3 decreases slightly against αρ (and against ω1).
Acknowledgments
Author Contributions
Conflicts of Interest
References
- Knight, D. Survey of aerodynamic drag reduction at high speed by energy deposition. J. Propuls. Power 2008, 24, 1153–1167. [Google Scholar] [CrossRef]
- Knight, D. A short review of microwave and laser discharges for supersonic flow control. AerospaceLab 2015, 10, 1–12. [Google Scholar] [CrossRef]
- Russel, A.; Zare-Bentash, H.; Kontis, K. Joule heating flow control methods for high-speed flows. J. Electrost. 2016, 80, 34–68. [Google Scholar] [CrossRef]
- Georgievsky, P.Y.; Levin, V.A. Supersonic flow over bodies in the presence of external energy input. Pis’ma Zhurnal Tekh. Fiziki 1988, 14, 684–687. (In Russian) [Google Scholar]
- Azarova, O.A.; Gvozdeva, L.G. Unsteady triple-shock configurations and vortex contact structures initiated by the interaction of an energy source with a shock layer in gases. Tech. Phys. Lett. 2016, 42, 799–803. [Google Scholar] [CrossRef]
- Kolesnichenko, Y.F.; Brovkin, V.G.; Azarova, O.A.; Grudnitsky, V.G.; Lashkov, V.A.; Mashek, I.C. Microwave Energy Release Regimes for Drag Reduction in Supersonic Flows. In Proceedings of 40th AIAA Aerospace Sciences Meeting & Exhibit, Reno, NV, USA, 14–17 January 2002; American Institute of Aeronautics and Astronautics: Reston, VA, USA, 2002; pp. 1–12, AIAA-2002–0353. [Google Scholar]
- Tretyakov, P.K.; Fomin, V.M.; Yakovlev, V.I. New principles of control of aerophysical processes research development. In Proceedings of International Conference on the Methods of Aerophysical Research, Novosibirsk, Russia, 29 June–3 July 1996; Khristianovich Institute of Theoretical and Applied Mechanics: Novosibirsk, Russia, 1996; Volume 2, pp. 210–220. [Google Scholar]
- Georgievsky, P.Y.; Levin, V.A. Unsteady interaction of a sphere with atmospheric temperature inhomogeneity at supersonic speed. Fluid Dyn. 1993, 28, 568–574. [Google Scholar] [CrossRef]
- Knight, D.; Kolesnichenko, Y.F.; Brovkin, V.G.; Khmara, D.; Lashkov, V.A.; Mashek, I. Interaction of microwave-generated plasma with a hemisphere-cylinder at Mach 2.1. AIAA J. 2009, 47, 2996–3010. [Google Scholar] [CrossRef]
- Knight, D.; Kolesnichenko, Y.F.; Brovkin, V.G.; Khmara, D.; Lashkov, V.A.; Mashek, I. Interaction of microwave-generated plasma with hemisphere-cone-cylinder. In Proceedings of 48th AIAA Aerospace Sciences Meeting Including the New Horizons Forum and Aerospace Exposition, Orlando, FL, USA, 4–7 January 2010. AIAA-2010–1005. [CrossRef]
- Azarova, O.A.; Knight, D.D. Interaction of microwave and laser discharge resulting “Heat spots” with supersonic combined cylinder bodies. Aerosp. Sci. Technol. 2015, 43, 343–349. [Google Scholar] [CrossRef]
- Schulein, E.; Zheltovodov, A.A. Effects of steady flow heating by arc discharge upstream of non-slender bodies. Shock Waves 2011, 21, 383–396. [Google Scholar] [CrossRef]
- Schulein, E.; Bornhoft, E. Potential of localized flow heating for wave drag reduction. In 28th International Symposium on Shock Waves; Springer: Berlin, Germany, 2012; pp. 615–621. [Google Scholar]
- Schulein, E. Simplified model for flow-heating effect on wave drag of blunt bodies and its validation. In Proceedings of 45th AIAA Fluid Dynamics Conference, Dallas, TX, USA, 22–26 June 2015; pp. 1–15, Paper AIAA-2015–2778.
- Azarova, O.A. Simulation of stochastic pulsating flows with instabilities using minimum-stencil difference schemes. J. Comp. Math. Math. Phys. 2009, 49, 1397–1414. [Google Scholar] [CrossRef]
- Azarova, O.A.; Knight, D.; Kolesnichenko, Y.F. Flow control via instabilities, vortices and steady structures under the action of external microwave energy release. J. Aerosp. Eng. 2013, 227, 1498–1515. [Google Scholar] [CrossRef]
- Azarova, O.A.; Knight, D.; Kolesnichenko, Y.F. Pulsating stochastic flows accompanying microwave filament/supersonic shock layer interaction. Shock Waves 2011, 21, 439–450. [Google Scholar] [CrossRef]
- Courant, R.; Friedrichs, K.O. Supersonic Flows and Shock Waves; Springer: New York, NY, USA, 1948. [Google Scholar]
- Landau, L.D.; Lifshitz, E.M. Fluid Mechanics, 2nd ed.; Pergamon Press: Oxford, UK, 1987; Volume 6, p. 551. [Google Scholar]
- Ben-Dor, G. Shock Wave Reflection Phenomena, 2nd ed.; Springer: New York, NY, USA, 2007. [Google Scholar]
- Bazhenova, T.V.; Gvozdeva, L.G.; Nettleton, M.A. Unsteady interactions of shock waves. Prog. Aerosp. Sci. 1984, 21, 249–331. [Google Scholar] [CrossRef]
- Bazhenova, T.V.; Gvozdeva, L.G.; Lobastov, Y.S.; Naboko, I.M.; Nemkov, R.G.; Predvoditeleva, O.A. Shock Waves in Real Gases; NASA Technical Translation: Washington, DC, USA, 1969; TT-F-58. [Google Scholar]
- Bazhenova, T.V.; Gvozdeva, L.G. Unsteady Interaction of Shock Waves; Izdatel'stvo Nauka: Moscow, Russia, 1977; p. 276. (in Russian) [Google Scholar]
- Gvozdeva, L.G. Conditions of instability of three shock configuration in steady flows. In Proceedings of 19th International Shock Interaction Symposium (ISIS19), Moscow, Russia, 31 August–3 September 2010.
- Gvozdeva, L.G.; Gavrenkov, S.A. Formation of triple shock configurations with negative reflection angle in steady flows. Tech. Phys. Lett. 2012, 38, 372–374. [Google Scholar] [CrossRef]
- Gvozdeva, L.G.; Gavrenkov, S.A. A new configuration of irregular reflection of shock waves. Prog. Flight Phys. 2015, 7, 437–452. [Google Scholar]
- Gavrenkov, S.A.; Gvozdeva, L.G. Numerical investigation of the onset of instability of triple shock configurations in steady supersonic gas flows. Tech. Phys. Lett. 2012, 38, 587–589. [Google Scholar] [CrossRef]
- Azarova, O.A. Generation of Richtmyer-Meshkov and secondary instabilities during the interaction of an energy release with a cylinder shock layer. Aerosp. Sci. Technol. 2015, 42, 376–383. [Google Scholar] [CrossRef]
- Gvozdeva, L.G.; Gavrenkov, S.A.; Nesterov, A. A study of slipstreams in triple shock wave configurations. Shock Waves 2015, 25, 283–291. [Google Scholar] [CrossRef]
- Azarova, O.A. Complex conservative difference schemes for computing supersonic flows past simple aerodynamic forms. J. Comp. Math. Math. Phys. 2015, 55, 2067–2092. [Google Scholar] [CrossRef]
- Artem`ev, V.I.; Bergel`son, V.I.; Nemchinov, I.V.; Orlova, T.I.; Smirnov, V.A.; Hazins, V.M. Changing the regime of supersonic streamlin-ing obstacle via arising the thin channel of low density. Fluid Dyn. 1989, 5, 146–151. (In Russian) [Google Scholar]
- Kemm, F. On the Proper Setup of the Double Mach Reflection as a Test Case for the Resolution of Gas Dynamics Codes. Comput. Fluid. 2016, 132, 72–75. [Google Scholar] [CrossRef]
- Edney, B. Anomalous Heat Transfer and Pressure Distributions on Blunt Bodies at Hypersonic Speeds in the Presence of an Impinging Shock; Flygtekniska Försöksanstalten: Stockholm, Sweden, 1968. [Google Scholar]
- Adelgren, R.G.; Yan, H.; Elliott, G.S.; Knight, D.D.; Beutner, T.J.; Zheltovodov, A.A. Control of Edney IV interaction by pulsed laser energy deposition. AIAA J. 2005, 43, 256–269. [Google Scholar] [CrossRef]
- Azarova, O.A. Numerical experiments on modeling of steady-state structures in supersonic flows with asymmetric energy supply. J. Comp. Math. Math. Phys. 2010, 50, 1746–1759. [Google Scholar] [CrossRef]
- Hawley, J.P.; Zabusky, N.J. Vortex paradigm for shock-accelerated density-stratified interfaces. Phys. Rev. Lett. 1989, 63, 1241–1245. [Google Scholar] [CrossRef] [PubMed]














© 2017 by the authors. Licensee MDPI, Basel, Switzerland. This article is an open access article distributed under the terms and conditions of the Creative Commons Attribution (CC BY) license ( http://creativecommons.org/licenses/by/4.0/).
Share and Cite
Azarova, O.A.; Gvozdeva, L.G. Control of Triple-Shock Configurations and Vortex Structures Forming in High Speed Flows of Gaseous Media past an AD Body under the Action of External Energy Sources. Aerospace 2017, 4, 9. https://doi.org/10.3390/aerospace4010009
Azarova OA, Gvozdeva LG. Control of Triple-Shock Configurations and Vortex Structures Forming in High Speed Flows of Gaseous Media past an AD Body under the Action of External Energy Sources. Aerospace. 2017; 4(1):9. https://doi.org/10.3390/aerospace4010009
Chicago/Turabian StyleAzarova, Olga A., and Ludmila G. Gvozdeva. 2017. "Control of Triple-Shock Configurations and Vortex Structures Forming in High Speed Flows of Gaseous Media past an AD Body under the Action of External Energy Sources" Aerospace 4, no. 1: 9. https://doi.org/10.3390/aerospace4010009
APA StyleAzarova, O. A., & Gvozdeva, L. G. (2017). Control of Triple-Shock Configurations and Vortex Structures Forming in High Speed Flows of Gaseous Media past an AD Body under the Action of External Energy Sources. Aerospace, 4(1), 9. https://doi.org/10.3390/aerospace4010009
