Impact of Blue Space Geometry on Urban Heat Island Mitigation
Abstract
1. Introduction
2. Materials and Methods
2.1. Governing Equations
2.2. Evaporation Model
2.3. Algorithm and Numerical Schemes
2.4. Case Study Description
2.4.1. Simulation Outline
2.4.2. Initial and Boundary Conditions
2.4.3. Computational Domain
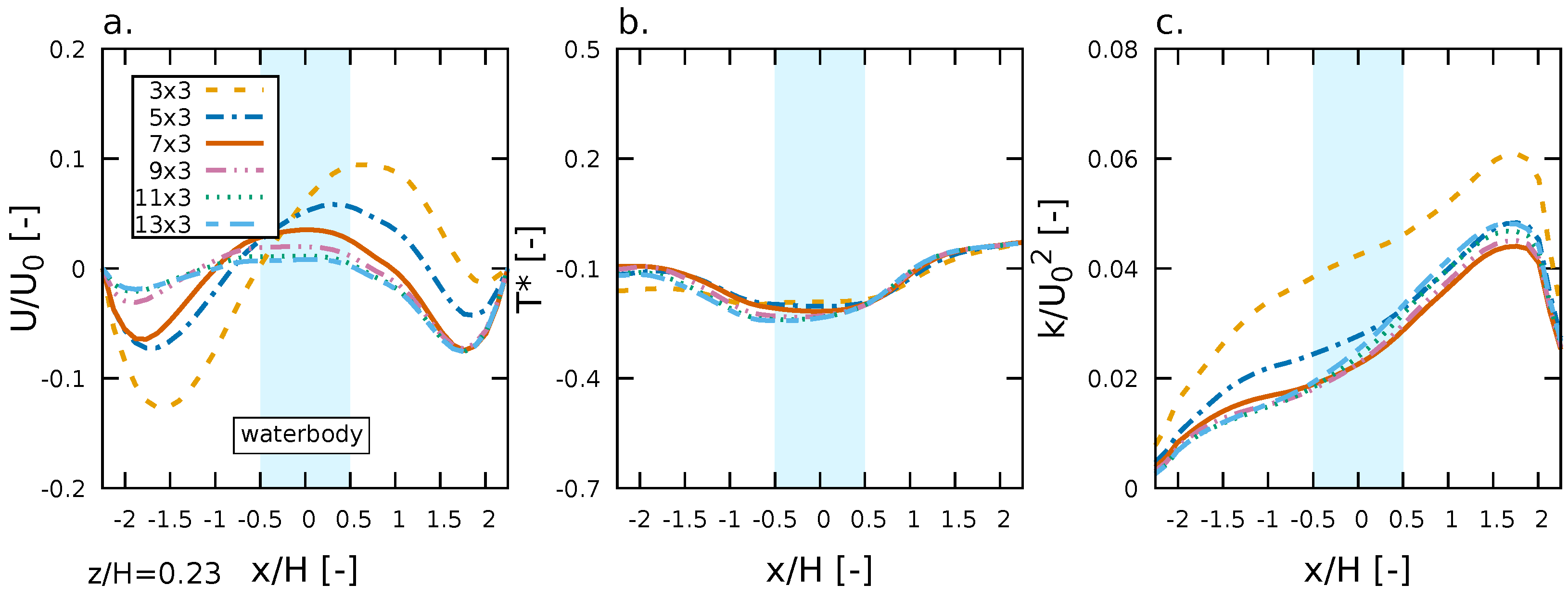
2.5. Sensitivity Analysis
3. Results and Discussion
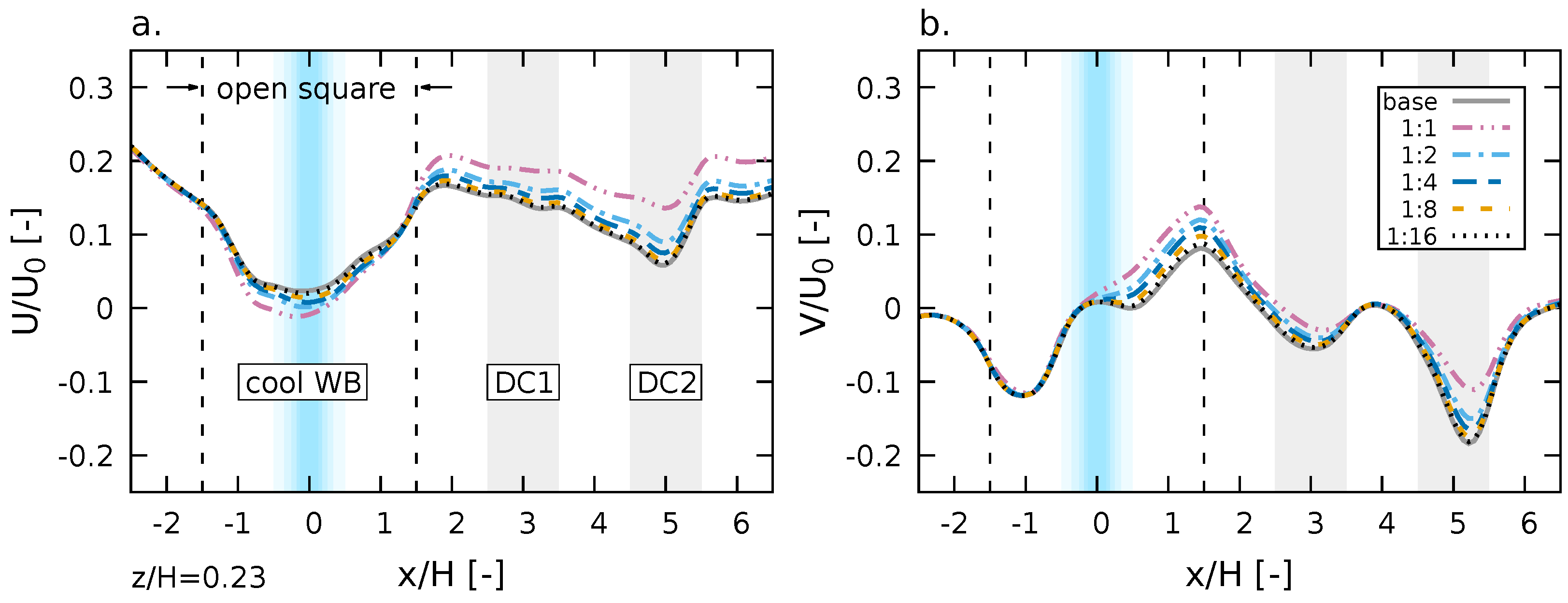
3.1. Varying Blue Space Size
3.1.1. Mean Velocity Field
3.1.2. Temperature and Water Vapour Field
3.1.3. Interface Flux Budget
3.2. Varying Blue Space Shape
3.2.1. Mean Velocity Field
3.2.2. Temperature and Water Vapour Field
3.2.3. Interface Flux Budget
3.3. Limitations and Recommendations for Future Work
4. Conclusions
Author Contributions
Funding
Institutional Review Board Statement
Informed Consent Statement
Data Availability Statement
Conflicts of Interest
Abbreviations
| CFD | Computational Fluid Dynamics |
| DC | Downwind Canyon |
| GCI | Grid Convergence Index |
| LSI | Landscape Shape Index |
| NBS | Nature-Based Solutions |
| RANS | Reynolds-averaged Navier-Stokes |
| RNG | Re-Normalisation Group |
| SIMPLE | Semi-Implicit Method for Pressure Linked Equations |
| TKE | Turbulent Kinetic Energy |
| UHI | Urban Heat Island |
| WRF | Weather Research and Forecasting |
References
- IPCC. Summary for Policymakers. In Climate Change 2021: The Physical Science Basis. Contribution of Working Group I to the Sixth Assessment Report of the Intergovernmental Panel on Climate Change; Technical Report; Intergovernmental Panel on Climate Change (IPCC): Paris, France, 2021. [Google Scholar]
- Perkins-Kirkpatrick, S.E.; Lewis, S.C. Increasing trends in regional heat waves. Nat. Commun. 2020, 11, 3357. [Google Scholar] [CrossRef] [PubMed]
- Gasparrini, A.; Masselot, P.; Scortichini, M.; Schneider, R.; Mistry, M.N.; Sera, F.; Macintyre, H.L.; Phalkey, R.; Vicedo-Cabrera, A.M. Small-area assessment of temperature-related mortality risks in England and Wales: A case time series analysis. Lancet Planet. Health 2022, 6, e557–e564. [Google Scholar] [CrossRef] [PubMed]
- Environmental Audit. Heatwaves: Adapting to Climate Change. 2018. Available online: https://publications.parliament.uk/pa/cm201719/cmselect/cmenvaud/826/82603.htm (accessed on 1 November 2022).
- Howard, L. The Climate of London Deduced from Meteorological Observations Made in the Metropolis and at Various Places Around It; Harvey and Darton: London, UK, 1833. [Google Scholar]
- Girardin, C.A.; Jenkins, S.; Seddon, N.; Allen, M.; Lewis, S.L.; Wheeler, C.E.; Griscom, B.W.; Malhi, Y. Nature-based solutions can help cool the planet—if we act now. Nature 2021, 593, 191–194. [Google Scholar] [CrossRef] [PubMed]
- Frantzeskaki, N.; McPhearson, T.; Collier, M.J.; Kendal, D.; Bulkeley, H.; Dumitru, A.; Walsh, C.; Noble, K.; van Wyk, E.; Ordóñez, C.; et al. Nature-Based Solutions for Urban Climate Change Adaptation: Linking Science, Policy, and Practice Communities for Evidence-Based Decision-Making. BioScience 2019, 69, 455–466. [Google Scholar] [CrossRef]
- Ampatzidis, P.; Kershaw, T. A review of the impact of blue space on the urban microclimate. Sci. Total Environ. 2020, 730, 139068. [Google Scholar] [CrossRef]
- Gunawardena, K.; Wells, M.; Kershaw, T. Utilising green and bluespace to mitigate urban heat island intensity. Sci. Total Environ. 2017, 584–585, 1040–1055. [Google Scholar] [CrossRef]
- Imam Syafii, N.; Ichinose, M.; Kumakura, E.; Jusuf, S.K.; Chigusa, K.; Wong, N.H. Thermal environment assessment around bodies of water in urban canyons: A scale model study. Sustain. Cities Soc. 2017, 34, 79–89. [Google Scholar] [CrossRef]
- Sun, R.; Chen, L. How can urban water bodies be designed for climate adaptation? Landsc. Urban Plan. 2012, 105, 27–33. [Google Scholar] [CrossRef]
- Theeuwes, N.E.; Solcerovà, A.; Steeneveld, G.J. Modeling the influence of open water surfaces on the summertime temperature and thermal comfort in the city. J. Geophys. Res. Atmos. 2013, 118, 8881–8896. [Google Scholar] [CrossRef]
- Zhao, T.; Fong, K. Characterization of different heat mitigation strategies in landscape to fight against heat island and improve thermal comfort in hot–humid climate (Part I): Measurement and modelling. Sustain. Cities Soc. 2017, 32, 523–531. [Google Scholar] [CrossRef]
- Zhao, T.; Fong, K. Characterization of different heat mitigation strategies in landscape to fight against heat island and improve thermal comfort in hot-humid climate (Part II): Evaluation and characterization. Sustain. Cities Soc. 2017, 35, 841–850. [Google Scholar] [CrossRef]
- Li, C.; Yu, C.W. Mitigation of Urban Heat Development by Cool Island Effect of Green Space and Water Body. In Proceedings of the Proceedings of the 8th International Symposium on Heating, Ventilation and Air Conditioning; Li, A., Zhu, Y., Li, Y., Eds.; Springer: Berlin/Heidelberg, Germany, 2014; pp. 551–561. [Google Scholar]
- Sun, R.; Chen, A.; Chen, L.; Lü, Y. Cooling effects of wetlands in an urban region: The case of Beijing. Ecol. Indic. 2012, 20, 57–64. [Google Scholar] [CrossRef]
- Lin, Y.; Wang, Z.; Jim, C.Y.; Li, J.; Deng, J.; Liu, J. Water as an urban heat sink: Blue infrastructure alleviates urban heat island effect in mega-city agglomeration. J. Clean. Prod. 2020, 262, 121411. [Google Scholar] [CrossRef]
- Du, H.; Cai, Y.; Zhou, F.; Jiang, H.; Jiang, W.; Xu, Y. Urban blue-green space planning based on thermal environment simulation: A case study of Shanghai, China. Ecol. Indic. 2019, 106, 105501. [Google Scholar] [CrossRef]
- Xue, Z.; Hou, G.; Zhang, Z.; Lyu, X.; Jiang, M.; Zou, Y.; Shen, X.; Wang, J.; Liu, X. Quantifying the cooling-effects of urban and peri-urban wetlands using remote sensing data: Case study of cities of Northeast China. Landsc. Urban Plan. 2019, 182, 92–100. [Google Scholar] [CrossRef]
- Tan, X.; Sun, X.; Huang, C.; Yuan, Y.; Hou, D. Comparison of cooling effect between green space and water body. Sustain. Cities Soc. 2021, 67, 102711. [Google Scholar] [CrossRef]
- Yang, G.; Yu, Z.; Jørgensen, G.; Vejre, H. How can urban blue-green space be planned for climate adaption in high-latitude cities? A seasonal perspective. Sustain. Cities Soc. 2020, 53, 101932. [Google Scholar] [CrossRef]
- Ampatzidis, P.; Cintolesi, C.; Petronio, A.; Di Sabatino, S.; Kershaw, T. Evaporating water body effects in a simplified urban neighbourhood: A RANS analysis. J. Wind. Eng. Ind. Aerodyn. 2022, 227, 105078. [Google Scholar] [CrossRef]
- Cintolesi, C.; Petronio, A.; Armenio, V. Large-eddy simulation of thin film evaporation and condensation from a hot plate in enclosure: First order statistics. Int. J. Heat Mass Transf. 2016, 101, 1123–1137. [Google Scholar] [CrossRef]
- Cintolesi, C.; Petronio, A.; Armenio, V. Large-eddy simulation of thin film evaporation and condensation from a hot plate in enclosure: Second order statistics. Int. J. Heat Mass Transf. 2017, 115, 410–423. [Google Scholar] [CrossRef]
- Petronio, A. Numerical Investigation of Condensation and Evaporation Effects Inside a Tub. Ph.D. Thesis, School of Environmental and Industrial Fluid Mechanics, University of Trieste, Trieste, Italy, 2010. [Google Scholar]
- Welty, J.; Wicks, C.; Rorrer, G.; Wilson, R. Fundamentals of Momentum, Heat and Mass Transfer; Wiley: Hoboken, NJ, USA, 2007. [Google Scholar]
- Çengel, Y.A.; Ghajar, A.J. Heat and Mass Transfer: Fundamentals & Applications. Fifth Edition in SI Units; McGraw-Hill Education: New York, NY, USA, 2015; pp. 877–882.
- Sosnowski, P.; Petronio, A.; Armenio, V. Numerical model for thin liquid film with evaporation and condensation on solid surfaces in systems with conjugated heat transfer. Int. J. Heat Mass Transf. 2013, 66, 382–395. [Google Scholar] [CrossRef]
- ESI-OpenCFD. OpenFOAM®, OpenCFD Ltd Release Version 2006. 2006. Available online: https://www.openfoam.com/news/main-news/openfoam-v20-06 (accessed on 3 January 2022).
- Yakhot, V.; Orszag, S.A. Renormalization group analysis of turbulence. I. Basic theory. J. Sci. Comput. 1986, 1, 3–51. [Google Scholar] [CrossRef]
- Patankar, S.V. Numerical Heat Transfer and Fluid Flow, 1st ed.; CRC Press: Boca Raton, FL, USA, 1980; p. 214. [Google Scholar] [CrossRef]
- Patankar, S.V.; Spalding, D.B. A calculation procedure for heat, mass and momentum transfer in three-dimensional parabolic flows. Int. J. Heat Mass Transf. 1972, 15, 1787–1806. [Google Scholar] [CrossRef]
- Oke, T.R.; Mills, G.; Christen, A.; Voogt, J.A. Urban Climates; Cambridge University Press: Cambridge, UK, 2017. [Google Scholar] [CrossRef]
- Chew, L.W.; Aliabadi, A.A.; Norford, L.K. Flows across high aspect ratio street canyons: Reynolds number independence revisited. Environ. Fluid Mech. 2018, 18, 1275–1291. [Google Scholar] [CrossRef]
- Richards, P.J.; Hoxey, R.P. Appropriate boundary conditions for computational wind engineering models using the k-ε turbulence model. J. Wind. Eng. Ind. Aerodyn. 1993, 46-47, 145–153. [Google Scholar] [CrossRef]
- Richards, P.; Norris, S. Appropriate boundary conditions for computational wind engineering models revisited. J. Wind. Eng. Ind. Aerodyn. 2011, 99, 257–266. [Google Scholar] [CrossRef]
- Hargreaves, D.; Wright, N. On the use of the k–ε model in commercial CFD software to model the neutral atmospheric boundary layer. J. Wind. Eng. Ind. Aerodyn. 2007, 95, 355–369. [Google Scholar] [CrossRef]
- Ricci, A.; Blocken, B. On the reliability of the 3D steady RANS approach in predicting microscale wind conditions in seaport areas: The case of the IJmuiden sea lock. J. Wind. Eng. Ind. Aerodyn. 2020, 207, 104437. [Google Scholar] [CrossRef]
- Franke, J.; Hellsten, A.; Schlünzen, H.; Carissimo, B. Best Practice Guideline for the CFD Simulation of Flows in the Urban Environment; Technical Report; COST Action 732; COST Office: Brussels, Belgium, 2007. [Google Scholar]
- Tominaga, Y.; Mochida, A.; Yoshie, R.; Kataoka, H.; Nozu, T.; Yoshikawa, M.; Shirasawa, T. AIJ guidelines for practical applications of CFD to pedestrian wind environment around buildings. J. Wind. Eng. Ind. Aerodyn. 2008, 96, 1749–1761. [Google Scholar] [CrossRef]
- Blocken, B. Computational Fluid Dynamics for urban physics: Importance, scales, possibilities, limitations and ten tips and tricks towards accurate and reliable simulations. Build. Environ. 2015, 91, 219–245. [Google Scholar] [CrossRef]
- Blocken, B.; Stathopoulos, T.; Carmeliet, J. CFD simulation of the atmospheric boundary layer: Wall function problems. Atmos. Environ. 2007, 41, 238–252. [Google Scholar] [CrossRef]
- Roache, P.J. Perspective: A method for uniform reporting of grid refinement studies. J. Fluids-Eng.-Trans. ASME 1994, 116. [Google Scholar] [CrossRef]
- Roache, P.J. Quantification of uncertainty in computational fluid dynamics. Annu. Rev. Fluid Mech. 1997, 29, 123–160. [Google Scholar] [CrossRef]
- Moonen, P.; Defraeye, T.; Dorer, V.; Blocken, B.; Carmeliet, J. Urban Physics: Effect of the micro-climate on comfort, health and energy demand. Front. Archit. Res. 2012, 1, 197–228. [Google Scholar] [CrossRef]
- Ramponi, R.; Blocken, B.; de Coo, L.B.; Janssen, W.D. CFD simulation of outdoor ventilation of generic urban configurations with different urban densities and equal and unequal street widths. Build. Environ. 2015, 92, 152–166. [Google Scholar] [CrossRef]
- Coceal, O.; Thomas, T.G.; Castro, I.P.; Belcher, S.E. Mean Flow and Turbulence Statistics Over Groups of Urban-like Cubical Obstacles. Bound.-Layer Meteorol. 2006, 121, 491–519. [Google Scholar] [CrossRef]
- Allegrini, J.; Dorer, V.; Carmeliet, J. Wind tunnel measurements of buoyant flows in street canyons. Build. Environ. 2013, 59, 315–326. [Google Scholar] [CrossRef]
- Kim, J.J.; Baik, J.J. A Numerical Study of Thermal Effects on Flow and Pollutant Dispersion in Urban Street Canyons. J. Appl. Meteorol. 1999, 38, 1249–1261. [Google Scholar] [CrossRef]
- Kim, J.J.; Baik, J.J. Physical experiments to investigate the effects of street bottom heating and inflow turbulence on urban street-canyon flow. Adv. Atmos. Sci. 2005, 22, 230–237. [Google Scholar] [CrossRef]
- Di Sabatino, S.; Barbano, F.; Brattich, E.; Pulvirenti, B. The Multiple-Scale Nature of Urban Heat Island and Its Footprint on Air Quality in Real Urban Environment. Atmosphere 2020, 11, 1186. [Google Scholar] [CrossRef]




















| Airflow | Mixed Convection | ||
|---|---|---|---|
| Water | Baseline | Warmer | Cooler |
| [m/s] | 0.3 | 0.3 | 0.3 |
| [K] | 0 | +2 | −2 |
| 0 | +1.9 | −1.7 | |
| – | 1.6 | 1.4 | |
| Size () | – | 1:1 (S_1:1) *, 1:2 (S_1:2), 1:4 (S_1:4), 1:8 (S_1:8), 1:16 (S_1:16) | |
| () | – | 1.13 (LSI_1.1) *, 1.18 (LSI_1.2), 1.41 (LSI_1.4) | |
| 1.59 (LSI_1.6), 1.72 (LSI_1.7), 1.88 (LSI_1.9) | |||
Disclaimer/Publisher’s Note: The statements, opinions and data contained in all publications are solely those of the individual author(s) and contributor(s) and not of MDPI and/or the editor(s). MDPI and/or the editor(s) disclaim responsibility for any injury to people or property resulting from any ideas, methods, instructions or products referred to in the content. |
© 2023 by the authors. Licensee MDPI, Basel, Switzerland. This article is an open access article distributed under the terms and conditions of the Creative Commons Attribution (CC BY) license (https://creativecommons.org/licenses/by/4.0/).
Share and Cite
Ampatzidis, P.; Cintolesi, C.; Kershaw, T. Impact of Blue Space Geometry on Urban Heat Island Mitigation. Climate 2023, 11, 28. https://doi.org/10.3390/cli11020028
Ampatzidis P, Cintolesi C, Kershaw T. Impact of Blue Space Geometry on Urban Heat Island Mitigation. Climate. 2023; 11(2):28. https://doi.org/10.3390/cli11020028
Chicago/Turabian StyleAmpatzidis, Petros, Carlo Cintolesi, and Tristan Kershaw. 2023. "Impact of Blue Space Geometry on Urban Heat Island Mitigation" Climate 11, no. 2: 28. https://doi.org/10.3390/cli11020028
APA StyleAmpatzidis, P., Cintolesi, C., & Kershaw, T. (2023). Impact of Blue Space Geometry on Urban Heat Island Mitigation. Climate, 11(2), 28. https://doi.org/10.3390/cli11020028

