Severity of Coronary Atherosclerosis and Risk of Diabetes Mellitus
Abstract
1. Introduction
2. Research Design and Methods
2.1. Patients
2.2. Primary Endpoint
2.3. Measurements and Definitions
2.4. Statistical Analysis
3. Results
3.1. Patients
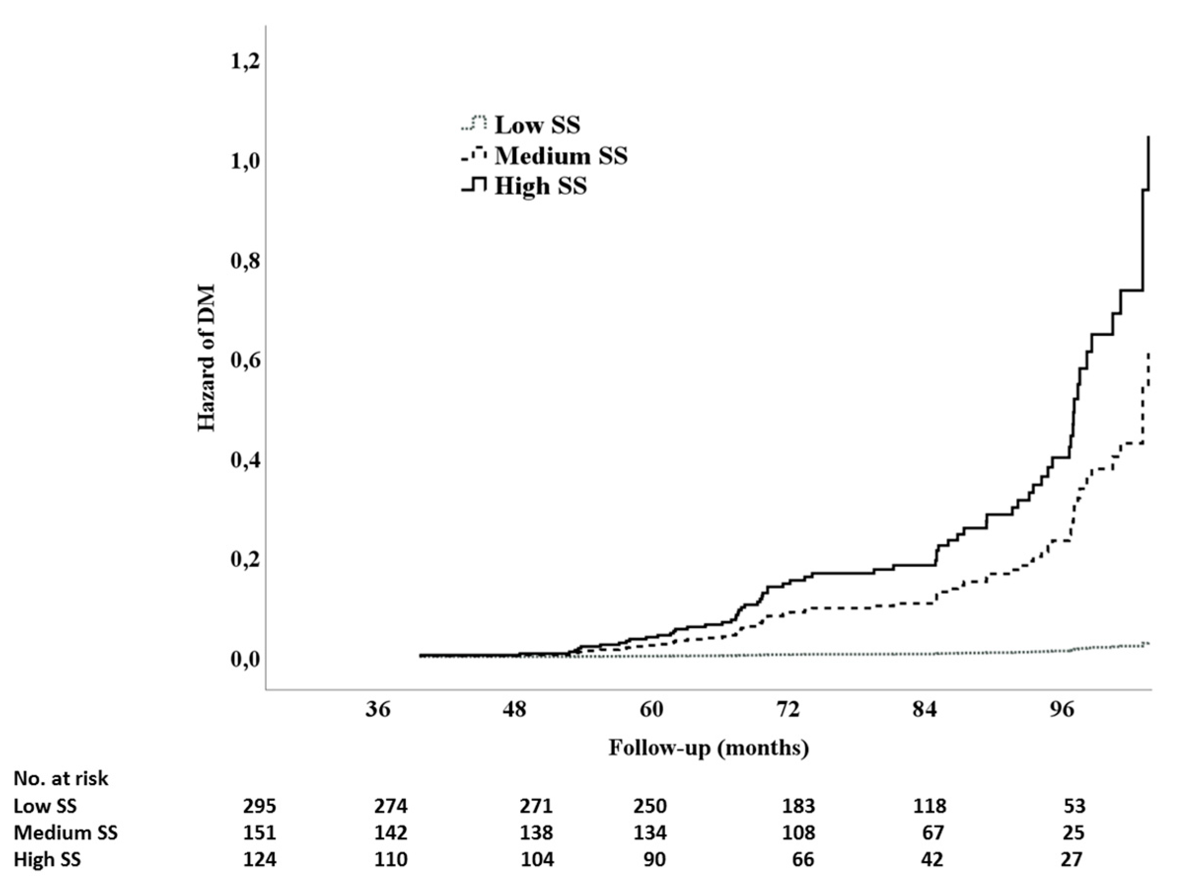
3.2. Follow-Up
4. Discussion
Vascular and Metabolic Disease
5. Conclusions
Author Contributions
Acknowledgments
Conflicts of Interest
References
- Colhoun, H.M.; Betteridge, D.J.; Durrington, P.N.; Hitman, G.A.; Neil, H.A.; Livingstone, S.J.; Thomason, M.J.; Mackness, M.I.; Charlton-Menys, V.; Fuller, J.H.; et al. Primary prevention of cardiovascular disease with atorvastatin in type 2 diabetes in the Collaborative Atorvastatin Diabetes Study (CARDS): Multicentre randomised placebo-controlled trial. Lancet 2004, 364, 685–696. [Google Scholar] [CrossRef]
- Wang, L.C.C.; Hess, C.N.; Hiatt, W.R.; Goldfine, A.B. Clinical Update: Cardiovascular Disease in Diabetes Mellitus: Atherosclerotic Cardiovascular Disease and Heart Failure in Type 2 Diabetes Mellitus Mechanisms, Management, and Clinical Considerations. Circulation 2016, 133, 2459–2502. [Google Scholar] [CrossRef] [PubMed]
- Ryden, L.; Grant, P.J.; Anker, S.D.; Berne, C.; Cosentino, F.; Danchin, N.; Deaton, C.; Viigimaa, M.; Vlachopoulos, C.; Xuereb, R.G.; et al. Task Force on diabetes p-d, cardiovascular diseases of the European Society of C, European Association for the Study of D, ESC guidelines on diabetes, pre-diabetes, and cardiovascular diseases developed in collaboration with the EASD-summary. Diabetes Vasc. Dis. Res. 2014, 11, 133–173. [Google Scholar]
- Deedwania, P.; Kosiborod, M.; Barrett, E.; Ceriello, A.; Isley, W.; Mazzone, T.; Raskin, P. American Heart Association Diabetes Committee of the Council on Nutrition PA, Metabolism: Hyperglycemia and acute coronary syndrome: A scientific statement from the American Heart Association Diabetes Committee of the Council on Nutrition, Physical Activity, and Metabolism. Circulation 2008, 117, 1610–1619. [Google Scholar] [PubMed]
- Harris, M.I.; Klein, R.; Welborn, T.A.; Knuiman, M.W. Onset of NIDDM occurs at least 4-7 year before clinical diagnosis. Diabetes Care 1992, 15, 815–819. [Google Scholar] [CrossRef] [PubMed]
- Hu, F.B.; Stampfer, M.J.; Haffner, S.M.; Solomon, C.G.; Willett, W.C.; Manson, J.E. Elevated risk of cardiovascular disease prior to clinical diagnosis of type 2 diabetes. Diabetes Care 2002, 25, 1129–1134. [Google Scholar] [CrossRef] [PubMed]
- Acar, B.; Ozeke, O.; Karakurt, M.; Ozen, Y.; Ozbay, M.B.; Unal, S.; Karanfil, M.; Yayla, C.; Cay, S.; Maden, O.; et al. Association of Prediabetes with Higher Coronary Atherosclerotic Burden Among Patients with First Diagnosed Acute Coronary Syndrome. Angiology 2018. [Google Scholar] [CrossRef]
- Izzo, R.; Simone, G.; Chinali, M.; Iaccarino, G.; Trimarco, V.; Rozza, F.; Giudice, R.; Trimarco, B.; Luca, N. Insufficient control of blood pressure and incident diabetes. Diabetes Care 2009, 32, 845–850. [Google Scholar] [CrossRef]
- Izzo, R.; Simone, G.; Trimarco, V.; Gerdts, E.; Giudice, R.; Vaccaro, O.; Luca, N.; Trimarco, B. Hypertensive target organ damage predicts incident diabetes mellitus. Eur. Heart J. 2013, 34, 3419–3426. [Google Scholar] [CrossRef]
- Gillies, C.L.; Abrams, K.R.; Lambert, P.C.; Cooper, N.J.; Sutton, A.J.; Hsu, R.T.; Khunti, K. Pharmacological and lifestyle interventions to prevent or delay type 2 diabetes in people with impaired glucose tolerance: Systematic review and meta-analysis. Bmj 2007, 334, 299. [Google Scholar] [CrossRef]
- Serruys, P.W.; Onuma, Y.; Garg, S.; Sarno, G.; Brand, M.; Kappetein, A.P.; Dyck, N.; Mack, M.; Holmes, D.; Feldman, T.; et al. Assessment of the SYNTAX score in the Syntax study. EuroIntervention 2009, 5, 50–56. [Google Scholar] [CrossRef] [PubMed]
- American, D.A. Classification and Diagnosis of Diabetes: Standards of Medical Care in Diabetes-2018. Diabetes Care 2018, 41, S13–S27. [Google Scholar] [CrossRef] [PubMed]
- Williams, B.; Mancia, G.; Spiering, W.; Agabiti, R.E.; Azizi, M.; Burnier, M.; Clement, D.L.; Coca, A.; Simone, G.; Dominiczak, A.; et al. ESC/ESH Guidelines for the management of arterial hypertension. Eur. Heart J. 2018, 39, 3021–3104. [Google Scholar] [CrossRef] [PubMed]
- Gioia, D.G.; Scarsini, R.; Strisciuglio, T.; Biase, C.; Zivelonghi, C.; Franco, D.; Bruyne, B.; Ribichini, F.; Barbato, E. Correlation between Angiographic and Physiologic Evaluation of Coronary Artery Narrowings in Patients with Aortic Valve Stenosis. Am. J. Cardiol. 2017, 120, 106–110. [Google Scholar] [CrossRef] [PubMed]
- Xaplanteris, P.; Ntalianis, A.; Bruyne, B.; Strisciuglio, T.; Pellicano, M.; Ciccarelli, G.; Milkas, A.; Barbato, E. Coronary lesion progression as assessed by fractional flow reserve (FFR) and angiography. EuroIntervention 2018, 14, 907–914. [Google Scholar] [CrossRef]
- Olefsky, J.; Farquhar, J.W.; Reaven, G. Relationship between fasting plasma insulin level and resistance to insulin-mediated glucose uptake in normal and diabetic subjects. Diabetes 1973, 22, 507–513. [Google Scholar] [CrossRef] [PubMed]
- Howard, G.; O’Leary, D.H.; Zaccaro, D.; Haffner, S.; Rewers, M.; Hamman, R.; Selby, J.V.; Saad, M.F.; Savage, P.; Bergman, R. Insulin sensitivity and atherosclerosis. The Insulin Resistance Atherosclerosis Study (IRAS) Investigators. Circulation 1996, 93, 1809–1817. [Google Scholar] [CrossRef]
- Fournier, S.; Toth, G.G.; Bruyne, B.; Johnson, N.P.; Ciccarelli, G.; Xaplanteris, P.; Milkas, A.; Strisciuglio, T.; Bartunek, J.; Vanderheyden, M.; et al. Six-Year Follow-Up of Fractional Flow Reserve-Guided Versus Angiography-Guided Coronary Artery Bypass Graft Surgery. Circ. Cardiovasc. Interv. 2018, 11, e006368. [Google Scholar] [CrossRef]
- Morisco, C.; Lembo, G.; Trimarco, B. Insulin resistance and cardiovascular risk: New insights from molecular and cellular biology. Trends Cardiovasc. Med. 2006, 16, 183–188. [Google Scholar] [CrossRef]
- Carrizzo, A.; Izzo, C.; Oliveti, M.; Alfano, A.; Virtuoso, N.; Capunzo, M.; Pietro, P.; Calabrese, M.; Simone, E.; Sciarretta, S.; et al. The Main Determinants of Diabetes Mellitus Vascular Complications: Endothelial Dysfunction and Platelet Hyperaggregation. Int. J. Mol. Sci. 2018, 19, 2968. [Google Scholar] [CrossRef]
- Tooke, J.E. Microvascular function in human diabetes. A physiological perspective. Diabetes 1995, 44, 721–726. [Google Scholar] [CrossRef]
- Ferrannini, E. Insulin resistance versus insulin deficiency in non-insulin-dependent diabetes mellitus: Problems and prospects. Endocr. Rev. 1998, 19, 477–490. [Google Scholar] [CrossRef]
- Balletshofer, B.M.; Rittig, K.; Enderle, M.D.; Volk, A.; Maerker, E.; Jacob, S.; Matthaei, S.; Rett, K. Haring HU: Endothelial dysfunction is detectable in young normotensive first-degree relatives of subjects with type 2 diabetes in association with insulin resistance. Circulation 2000, 101, 1780–1784. [Google Scholar] [CrossRef]
- Preiss, D.; Seshasai, S.R.; Welsh, P.; Murphy, S.A.; Ho, J.E.; Waters, D.D.; DeMicco, D.A.; Barter, P.; Cannon, C.P.; Sabatine, M.S.; et al. Risk of incident diabetes with intensive-dose compared with moderate-dose statin therapy: A meta-analysis. Jama 2011, 305, 2556–2564. [Google Scholar] [CrossRef]
- Izzo, R.; Simone, G.; Trimarco, V.; Giudice, R.; Marco, M.; Renzo, G.; Luca, N.; Trimarco, B. Primary prevention with statins and incident diabetes in hypertensive patients at high cardiovascular risk. Nutr. Metab. Cardiovasc. Dis. NMCD 2013, 23, 1101–1106. [Google Scholar] [CrossRef][Green Version]
- Farkouh, M.E.; Domanski, M.; Sleeper, L.A.; Siami, F.S.; Dangas, G.; Mack, M.; Yang, M.; Cohen, D.J.; Rosenberg, Y.; Solomon, S.D.; et al. Strategies for multivessel revascularization in patients with diabetes. New Engl. J. Med. 2012, 367, 2375–2384. [Google Scholar] [CrossRef]


| Low SS (n = 295) | Medium SS (n = 151) | High SS (n = 124) | p (for trend) | |
|---|---|---|---|---|
| Age (years) | 65.5 ± 10.4 | 63.9 ± 10.5 | 67.1 ± 10.3 | 0.045 |
| Sex (male/female %) | 68.8/31.2 | 72.8/27.2 | 74.2/25.8 | NS |
| Smokers (%) | 47.5 | 53.0 | 48.4 | NS |
| Hypertensives (%) | 67.5 | 76.8 | 75.8 | NS |
| BMI (Kg/m2) | 27.1 ± 4.5 | 27.2 ± 4.3 | 27.3 ± 5.4 | NS |
| Systolic BP (mmHg) | 133.3 ± 22.0 | 128.8 ± 17.1 | 133.2 ± 19.4 | NS |
| Diastolic BP (mmHg) | 69.5 ± 11.4 | 69.3 ± 10.6 | 69.3 ± 11.3 | NS |
| HR (bpm) | 67.7 ± 12.2 | 66.9 ± 11.9 | 64.6 ± 8.7 | 0.048 |
| Ejection Fraction (%) | 67.9 ± 16.0 | 64.9 ± 14.0 | 61.6 ± 15.4 | 0.001 |
| Fasting plasma glucose (mg/dL) | 83.8 ± 13.2 | 85.6 ± 13.4 | 94.7 ± 13.5 | 0.0001 |
| HbA1c (mmol/mol) | 40.5 ± 8.7 | 40.4 ± 7.3 | 41.0 ± 7.5 | NS |
| Total cholesterol (mg/dL) | 172.6 ± 44.2 | 154.4 ± 36.6 | 156.0 ± 41.6 | 0.0001 |
| LDL cholesterol (mg/dL) | 91.8 ± 39.0 | 77.8 ± 31.4 | 81.1 ± 34.7 | 0.001 |
| HDL cholesterol (mg/dL) | 52.2 ± 16.8 | 51.0 ± 17.9 | 46.4 ± 14.5 | 0.01 |
| Triacylglycerols (mg/dL) | 147.3 ± 83.0 | 124.4 ± 67.4 | 146.1 ± 87.2 | 0.044 |
| GFREPI (mL/min/1.73 m2) | 64.7 ± 28.3 | 70.5 ± 25.6 | 64.3 ± 24.8 | NS |
| CRP (mg/L) | 27.7 ± 77.1 | 15.9 ± 34.0 | 28.7 ± 67.5 | NS |
| IFG (%) | 12.5 | 15.2 | 36.3 | 0.0001 |
| Low SS (n = 295) | Medium SS (n = 151) | High SS (n = 124) | p | |
|---|---|---|---|---|
| CCB (%) | 2.7 | 8.6 | 14.5 | <0.0001 |
| β-blockers (%) | 20.0 | 37.7 | 42.7 | <0.0001 |
| Statins (%) | 39.0 | 76.8 | 83.9 | <0.0001 |
| Statins low dose (%) | 32.5 | 58.3 | 64.5 | <0.0001 |
| Statins high dose (%) | 6.5 | 18.5 | 19.4 | <0.0001 |
| Anti-RAS (%) | 29.5 | 27.2 | 46.8 | 0.001 |
| Predictors | Sig. | HR | 95.0% CI | |
|---|---|---|---|---|
| Lower | Upper | |||
| Sex (1 male/2 female) | 0.583 | 1.163 | 0.679 | 1.993 |
| Age (years) | 0.085 | 1.026 | 0.996 | 1.056 |
| Fasting plasma glucose (mg/dL) | 0.008 | 1.043 | 1.011 | 1.075 |
| LDL Cholesterol (mg/dL) | 0.323 | 1.130 | 0.535 | 2.385 |
| IFG (y) | 0.749 | 7.865 | 2.817 | 21.959 |
| Medium SS | 0.000 | 6.630 | 2.304 | 18.358 |
| High SS | 0.000 | 14.789 | 5.796 | 37.737 |
| Predictors | Sig | HR | 95.0% CI | |
|---|---|---|---|---|
| Lower | Upper | |||
| Ejection Fraction (%) | 0.698 | 0.996 | 0.978 | 1.015 |
| HR (bpm) | 0.128 | 1.021 | 0.994 | 1.048 |
| CCB (y) | 0.549 | 0.215 | 0.643 | 2.296 |
| Β-blockers (y) | 0.416 | 1.223 | 0.753 | 1.986 |
| Statins (y) | 0.009 | 6.953 | 1.618 | 29.880 |
| Anti RAS (y) | 0.000 | 3.338 | 1.917 | 5.812 |
| Medium SS | 0.005 | 6.022 | 1.714 | 21.158 |
| High SS | 0.000 | 13.140 | 3.857 | 44.768 |
| Predictors | Sig | HR | 95.0% CI | |
|---|---|---|---|---|
| Lower | Upper | |||
| CCB (y) | 0.387 | 1.314 | 0.708 | 2.440 |
| Β-blockers (y) | 0.390 | 1.238 | 0.761 | 2.013 |
| Statins low dose (y) | 0.004 | 8.631 | 2.017 | 36.931 |
| Statins high dose (y) | 0.007 | 8.158 | 1.764 | 37.728 |
| Anti RAS (y) | 0.0001 | 3.637 | 2.151 | 6.151 |
| Medium SS | 0.015 | 3.505 | 1.274 | 9.644 |
| High SS | 0.0001 | 8.906 | 3.404 | 23.296 |
© 2019 by the authors. Licensee MDPI, Basel, Switzerland. This article is an open access article distributed under the terms and conditions of the Creative Commons Attribution (CC BY) license (http://creativecommons.org/licenses/by/4.0/).
Share and Cite
Colaiori, I.; Izzo, R.; Barbato, E.; Franco, D.; Di Gioia, G.; Rapacciuolo, A.; Bartunek, J.; Mancusi, C.; Losi, M.A.; Strisciuglio, T.; et al. Severity of Coronary Atherosclerosis and Risk of Diabetes Mellitus. J. Clin. Med. 2019, 8, 1069. https://doi.org/10.3390/jcm8071069
Colaiori I, Izzo R, Barbato E, Franco D, Di Gioia G, Rapacciuolo A, Bartunek J, Mancusi C, Losi MA, Strisciuglio T, et al. Severity of Coronary Atherosclerosis and Risk of Diabetes Mellitus. Journal of Clinical Medicine. 2019; 8(7):1069. https://doi.org/10.3390/jcm8071069
Chicago/Turabian StyleColaiori, Iginio, Raffaele Izzo, Emanuele Barbato, Danilo Franco, Giuseppe Di Gioia, Antonio Rapacciuolo, Jozef Bartunek, Costantino Mancusi, Maria Angela Losi, Teresa Strisciuglio, and et al. 2019. "Severity of Coronary Atherosclerosis and Risk of Diabetes Mellitus" Journal of Clinical Medicine 8, no. 7: 1069. https://doi.org/10.3390/jcm8071069
APA StyleColaiori, I., Izzo, R., Barbato, E., Franco, D., Di Gioia, G., Rapacciuolo, A., Bartunek, J., Mancusi, C., Losi, M. A., Strisciuglio, T., Manzi, M. V., de Simone, G., Trimarco, B., & Morisco, C. (2019). Severity of Coronary Atherosclerosis and Risk of Diabetes Mellitus. Journal of Clinical Medicine, 8(7), 1069. https://doi.org/10.3390/jcm8071069

