Waste By-Product of Grape Seed Oil Production: Chemical Characterization for Use as a Food and Feed Supplement
Abstract
1. Introduction
2. Materials and Methods
2.1. Sample Preparation
2.2. Proximate Composition
2.3. Volatile Organic Compounds Sampling: HS-SPME
2.4. GC-MS Analysis
2.5. Statistical Analysis
2.6. TG-MS-EGA Analysis
2.7. Mineral Analysis and ICP-OES Determinations
2.8. Chemicals and Reagents
3. Results and Discussion
3.1. Proximate Composition
3.2. Mineral Content: ICP-OES Determination
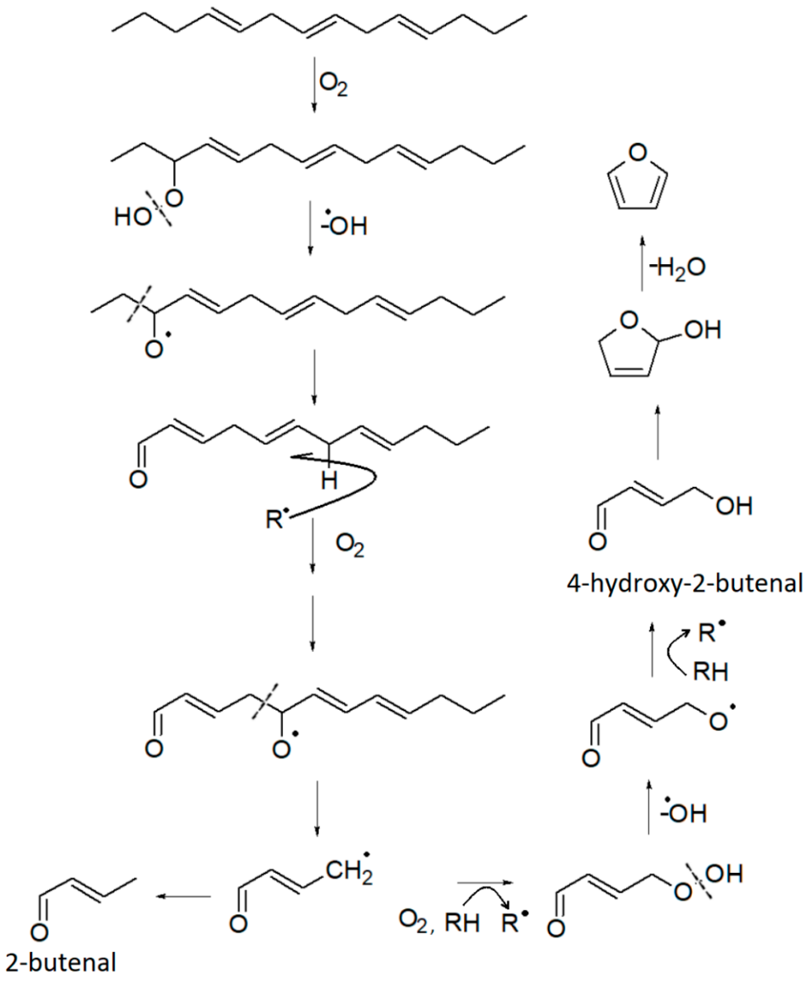
3.3. HS-SPME-GC-MS Analysis
3.4. TGA-MS-EGA Analysis
- a metal carbonate MCO3 can decompose into MxOy + CO2;
- a metal oxide can be reduced to a lower oxidation number (n > m) in the presence of C residues and release CO2.
4. Conclusions
Supplementary Materials
Author Contributions
Funding
Institutional Review Board Statement
Informed Consent Statement
Data Availability Statement
Acknowledgments
Conflicts of Interest
References
- Torres-Leon, C.; Ramirez-Guzman, N.; Lonzono-Hernandez, L.; Martinez-Medina, G.A.; Diaz-Herrera, R.; Navarro-Macias, V.; Alvarez-Perez, O.B.; Picazo, B.; Villareal-Vazquez, M.; Ascacio-Valdes, J.; et al. Food Waste and Byproducts: An Opportunity to Minimaze Malnutrition and Hunger in Developing Countries. Front. Sustain. Food Syst. 2018, 2, 1–17. [Google Scholar] [CrossRef]
- Maletti, L.; D’Eusanio, V.; Durante, C.; Marchetti, A.; Pincelli, L.; Tassi, L. Comparative Analysis of VOCs from Winter Melon Pomace Fibers before and after Bleaching Treatment with H2O2. Molecules 2022, 27, 2336. [Google Scholar] [CrossRef]
- Hamam, M.; Chinnici, G.; Di Vita, G.; Pappalardo, G.; Pecorino, B.; Maesano, G.; D’Amico, M. Circular Economy Models in Agro-Food Systems: A Review. Sustainability 2021, 13, 3453. [Google Scholar] [CrossRef]
- UN General Assembly. Transforming our world: The 2030 Agenda for Sustainable Development. 2015. Available online: https://www.refworld.org/docid/57b6e3e44.html (accessed on 3 November 2022).
- Ayala, J.; Vega, V.; Rosas, C.; Palafox, H.; Villa, J.; Siddiqui, W. Agro-industrial potential of exotic fruit byproducts as a source of food additives. Food Res. Int. 2011, 44, 1866–1874. [Google Scholar] [CrossRef]
- Bordiga, M.; Travaglia, F.; Locatelli, M. Valorisation of grape pomace: An approach that is increasingly reaching its maturity—A review. Int. J. Food Sci. Technol. 2019, 54, 933–942. [Google Scholar] [CrossRef]
- Saykova, I.; Tylkowski, B.; Popovici, C.; Peev, G. Extraction of phenolic and flavonoid compounds from solid wastes of grape seed oil production by cold pressing. J. Chem. Technol. Metall. 2018, 53, 177–190. [Google Scholar]
- Ferrari, V.; Taffarel, S.R.; Espinosa-Fuentes, E.; Oliveira, M.L.S.K.; Saikia, B.K.; Oliveira, L.F.S. Chemical evaluation of by-products of the grape industry as potential agricultural fertilizers. J. Clean. Prod. 2019, 208, 297–306. [Google Scholar] [CrossRef]
- Ferrer, J.; Páez, G.; Mármol, Z.; Ramones, E.; Chandler, C.; Marín, M.; Ferrer, A. Agronomic use of biotechnologically processed grape wastes. Bioresour. Technol. 2001, 76, 39–44. [Google Scholar] [CrossRef]
- Grosu, I.A.; Pistol, G.C.; Taranu, I.; Marin, D.E. The Impact of Dietary Grape Seed Meal on Healthy and Aflatoxin B1 Afflicted Microbiota of Pigs after Weaning. Toxins 2019, 11, 25. [Google Scholar] [CrossRef]
- Garcia, J.; Nicodemus, N.; Carabano, R.; De Blass, J.C. Effect of inclusion of defatted grape seed meal in the diet on digestion and performance of growing rabbits. J. Anim. Sci. 2002, 80, 162–170. [Google Scholar] [CrossRef]
- Zúñiga-Muro, N.M.; Bonilla-Petriciolet, A.; Mendoza-Castillo, D.I.; Reynel-Ávila, H.E.; Duran-Valle, C.J.; Ghalla, H.; Sellaoui, L. Recovery of grape waste for the preparation of adsorbents for water treatment: Mercury removal. J. Environ. Chem. Eng. 2020, 8, 103738. [Google Scholar] [CrossRef]
- Al Juhaimi, F.; Gecgel, U.; Gulcu, M.; Ozcan, M.M. Bioactive Properties, Fatty Acid Composition and Mineral Contents of Grape Seed and Oils. S. Afr. J. Enol. Vitic. 2017, 38, 103–108. [Google Scholar] [CrossRef]
- Gitea, M.A.; Bungau, S.G.; Gitea, D.; Pasca, B.M.; Purza, A.L.; Radu, A.-F. Evaluation of the Phytochemistry–Therapeutic Activity Relationship for Grape Seeds Oil. Life 2023, 13, 178. [Google Scholar] [CrossRef]
- Baroi, A.M.; Popitiu, M.; Fierascu, I.; Sărdărescu, I.-D.; Fierascu, R.C. Grapevine Wastes: A Rich Source of Antioxidants and Other Biologically Active Compounds. Antioxidants 2022, 11, 393. [Google Scholar] [CrossRef]
- Mandic, A.I.; Dilas, S.M.; Cetkovic, G.S.; Canadanovic-Brunet, J.M.; Tumbas, V.T. Polyphenolic Composition and Antioxidant Activities of Grape Seed Extract. Int. J. Food Prop. 2008, 11, 713–726. [Google Scholar] [CrossRef]
- Kapcsandi, V.; Lakatos, E.H.; Sik, B.; Linka, L.A.; Szekelyhidi, R. Characterization of fatty acid, antioxidant, and polyphenol content of grape seed oil from different Vitis vinifera L. varieties. OCL 2021, 28, 30. [Google Scholar] [CrossRef]
- Marin, D.E.; Bulgaru, C.V.; Anghel, C.A.; Pistol, G.C.; Dore, M.I.; Palade, M.L.; Taranu, I. Grape Seed Waste Counteracts Aflatoxin B1 Toxicity in Piglet Mesenteric Lymph Nodes. Toxins 2020, 12, 800. [Google Scholar] [CrossRef]
- Di Stefano, V.; Buzzanca, C.; Melilli, M.G.; Indelicato, S.; Mauro, M.; Vazzana, M.; Arizza, V.; Lucarini, M.; Durazzo, A.; Bongiorno, D. Polyphenol Characterization and Antioxidant Activity of Grape Seeds and Skins from Sicily: A Preliminary Study. Sustainability 2022, 14, 6702. [Google Scholar] [CrossRef]
- Yilmaz, Y.; Toledo, R.T. Health aspects of functional grape seed constituents. Trends Food Sci. Technol. 2004, 15, 422–433. [Google Scholar] [CrossRef]
- Kaur, M.; Agarwal, C.; Agarwal, R. Anticancer and Cancer Chemopreventive Potential of Grape Seed Extract and Other Grape-Based Products. J. Nutr. 2009, 139, 1806S–1812S. [Google Scholar] [CrossRef]
- Shi, J.; Yu, J.; Pohorly, J.; Young, J.C.; Bryan, M.; Wu, Y. Optimization of the extraction of polyphenols from grape seed meal by aqueous ethanol solution. Food Agric. Environ. 2003, 1, 42–47. [Google Scholar]
- De Souza, R.d.C.; Machado, B.A.S.; de Barreto, G.A.; Leal, I.L.; Anjos, J.P.D.; Umsza-Guez, M.A. Effect of Experimental Parameters on the Extraction of Grape Seed Oil Obtained by Low Pressure and Supercritical Fluid Extraction. Molecules 2020, 25, 1634. [Google Scholar] [CrossRef]
- Salem, Y.; Rajha, H.N.; van den Broek, L.A.M.; Safi, C.; Togtema, A.; Manconi, M.; Manca, M.L.; Debs, E.; Hobaika, Z.; Maroun, R.G.; et al. Multi-Step Biomass Fractionation of Grape Seeds from Pomace, a Zero-Waste Approach. Plants 2022, 11, 2831. [Google Scholar] [CrossRef]
- Makris, D.P.; Boskou, G.; Andrikopoulos, N.K. Polyphenolic content and in vitro antioxidant characteristics of wine industry and other agri-food solid waste extracts. J. Food Compos. Anal. 2007, 20, 125–132. [Google Scholar] [CrossRef]
- Druaux, C.; Voilley, A. Effect of food composition and microstructure on volatile flavour release. Trends Food Sci. Technol. 1997, 8, 364–368. [Google Scholar] [CrossRef]
- Guenter, M. The Flavour and Fragrance Industry, Past Present, and Future. In Flavours and Fragrances, Chemistry, Bioprocessing and Sustainability, 1st ed.; Berger, R.G., Ed.; Springer: Berlin/Heidelberg, Germany; New York, NY, USA, 2007; Volume 1, Chapter 1; pp. 1–14. [Google Scholar]
- Harmon, A.D. Solid-phase microextraction for the analysis of flavors. In Techniques for Analyzing Food Aroma, 1st ed.; Marsili, R., Ed.; Marcel Decker, Inc.: New York, NY, USA, 1997; pp. 81–112. [Google Scholar]
- Vas, G.; Vékey, K. Solid-phase microextraction: A powerful sample preparation tool prior to mass spectrometric analysis. J. Mass Spectrom. 2004, 39, 233–254. [Google Scholar] [CrossRef]
- Ozsin, G.; Putun, A.E. Kinetics and evolved gas analysis for pyrolysis of food processing wastes using TGA/MS/FT-IR. Waste Manag. 2017, 64, 315–326. [Google Scholar] [CrossRef]
- Parparita, E.; Nistor, M.T.; Popescu, M.; Vasile, C. TG/FT-IR/MS study on thermal decomposition of polypropylene/biomass composites. Polym. Degrad. Stab. 2014, 109, 13–20. [Google Scholar] [CrossRef]
- Brebu, M.; Yanik, J.; Uysal, T.; Vasile, C. Thermal and Catalytic Degradation of Grape Seeds/Polyethylene Waste Mixture. Cellul. Chem. Technol. 2014, 48, 665–674. [Google Scholar]
- Sanchez-Silva, L.; Lopez-Gonzales, D.; Villasenor, J.; Sanchez, P.; Valverde, J.L. Thermogravimetric-mass spectrometric analysis of lignocellulosic and marine biomass pyrolysis. Bioresour. Technol. 2012, 109, 163–172. [Google Scholar] [CrossRef]
- Rombaut, N.; Savoire, R.; Thomasset, B.; Belliard, T.; Castello, J.; Van Hecke, E.; Lanoiselle, J.L. Grape seed oil extraction: Interest of supercritical fluid extraction and gas-assisted mechanical extraction for enhancing polyphenol co-extraction in oil. C. R. Chim. 2014, 17, 284–292. [Google Scholar] [CrossRef]
- Rombaut, N.; Savoire, R.; Thomasset, B.; Castello, J.; Van Hecke, E.; Lanoiselle, J.L. Optimization of oil yield and oil total phenolic content during grape seed cold screw pressing. Ind. Crops Prod. 2015, 63, 26–33. [Google Scholar] [CrossRef]
- Coelho, J.; Filipe, R.M.; Robalo, M.P.; Stateva, R.P. Recovering value from organic waste materials: Supercritical fluid extraction of oil from industrial grape seeds. J. Supercrit. Fluids 2018, 141, 68–77. [Google Scholar] [CrossRef]
- Bravi, M.; Spinoglio, F.; Verdone, N.; Adami, M.; Aliboni, A.; D’Andrea, A.; De Santis, A.; Ferri, D. Improving the extraction of α-tocopherol-enriched oil from grape seeds by supercritical CO2. Optimisation of the extraction conditions. J. Food Eng. 2007, 78, 488–493. [Google Scholar] [CrossRef]
- Shinangawa, F.B.; Santana, F.C.D.; Torres, L.R.O.; Mancinifiliho, J. Grape seed oil: A potential functional food? Food Sci. Technol. 2015, 35, 399–406. [Google Scholar] [CrossRef]
- Chikwanha, O.C.; Raffrenato, E.; Muchenje, V.; Musarurwa, H.T.; Mapiye, C. Varietal Differences in Nutrient, Amino Acid and Mineral Composition and in Vitro Rumen Digestibility of Grape (Vitis Vinifera) Pomace from the Cape Winelands Vineyards in South Africa and Impact of Preservation Techniques. Ind. Crops Prod. 2018, 118, 30–37. [Google Scholar] [CrossRef]
- Sah, R.N.; Miller, R.O. Spontaneous Reaction for Acid Dissolution of Biological Tissues in Closed Vessels. Anal. Chem. 1992, 64, 230–233. [Google Scholar] [CrossRef]
- Durante, C.; Cocchi, M.; Lancellotti, L.; Maletti, L.; Marchetti, A.; Roncaglia, F.; Sighinolfi, S.; Tassi, L. Analytical Concentrations of Some Elements in Seeds and Crude Extracts from Aesculus Hippocastanum, by ICP-OES Technique. Agronomy 2020, 11, 47. [Google Scholar] [CrossRef]
- Maletti, L.; D’Eusanio, V.; Lancellotti, L.; Marchetti, A.; Pincelli, L.; Strani, L.; Tassi, L. Candying Process for Enhancing Pre-Waste Watermelon Rinds to Increase Food Sustainability. Future Foods 2022, 6, 100182. [Google Scholar] [CrossRef]
- Goñi, I.; Martín, N.; Saura-Calixto, F. In Vitro Digestibility and Intestinal Fermentation of Grape Seed and Peel. Food Chem. 2005, 90, 281–286. [Google Scholar] [CrossRef]
- Bordiga, M. Valorization of Wine Making by-Products; CRC Press: Boca Raton, FL, USA, 2016. [Google Scholar]
- Gomes, T.M.; Toaldo, I.M.; Haas, I.C.d.S.; Burin, V.M.; Caliari, V.; Luna, A.S.; de Gois, J.S.; Bordignon-Luiz, M.T. Differential Contribution of Grape Peel, Pulp, and Seed to Bioaccessibility of Micronutrients and Major Polyphenolic Compounds of Red and White Grapes through Simulated Human Digestion. J. Funct. Foods 2019, 52, 699–708. [Google Scholar] [CrossRef]
- Acuña-Avila, P.E.; Vásquez-Murrieta, M.S.; Franco Hernández, M.O.; del López-Cortéz, M.S. Relationship between the Elemental Composition of Grapeyards and Bioactive Compounds in the Cabernet Sauvignon Grapes Vitis Vinífera Harvested in Mexico. Food Chem. 2016, 203, 79–85. [Google Scholar] [CrossRef]
- Toaldo, I.M.; Fogolari, O.; Pimentel, G.C.; de Gois, J.S.; Borges, D.L.G.; Caliari, V.; Bordignon-Luiz, M. Effect of Grape Seeds on the Polyphenol Bioactive Content and Elemental Composition by ICP-MS of Grape Juices from Vitis Labrusca, L. Lebenson. Wiss. Technol. 2013, 53, 1–8. [Google Scholar] [CrossRef]
- Vievard, J.; Amoikon, T.L.-S.; Coulibaly, N.A.; Devouge-Boyer, C.; Arellano-Sánchez, M.G.; Aké, M.F.D.; Djeni, N.T.; Mignot, M. Extraction and Quantification of Pesticides and Metals in Palm Wines by HS-SPME/GC-MS and ICP-AES/MS. Food Chem. 2022, 393, 133352. [Google Scholar] [CrossRef]
- Płotka-Wasylka, J.; Frankowski, M.; Simeonov, V.; Polkowska, Ż.; Namieśnik, J. Determination of Metals Content in Wine Samples by Inductively Coupled Plasma-Mass Spectrometry. Molecules 2018, 23, 2886. [Google Scholar] [CrossRef]
- Guideline: Potassium Intake for Adults and Children; World Health Organization: Geneva, Switzerland, 2012.
- Kawasaki, T.; Itoh, K.; Kawasaki, M. Reduction in Blood Pressure with a Sodium-Reduced, Potassium- and Magnesium-Enriched Mineral Salt in Subjects with Mild Essential Hypertension. Hypertens. Res. 1998, 21, 235–243. [Google Scholar] [CrossRef]
- Campbell, I. Macronutrients, Minerals, Vitamins and Energy. Anaesth. Intensive Care Med. 2014, 15, 344–349. [Google Scholar] [CrossRef]
- Seeman, E.; Boonen, S.; Borgström, F.; Vellas, B.; Aquino, J.-P.; Semler, J.; Benhamou, C.-L.; Kaufman, J.-M.; Reginster, J.-Y. Five Years Treatment with Strontium Ranelate Reduces Vertebral and Nonvertebral Fractures and Increases the Number and Quality of Remaining Life-Years in Women over 80 Years of Age. Bone 2010, 46, 1038–1042. [Google Scholar] [CrossRef]
- Levent, H.; Sayaslan, A.; Yeşil, S. Physicochemical and Sensory Quality of Gluten-free Cakes Supplemented with Grape Seed, Pomegranate Seed, Poppy Seed, Flaxseed, and Turmeric. J. Food Process. Preserv. 2021, 45, e15148. [Google Scholar] [CrossRef]
- Elkatry, H.O.; Ahmed, A.R.; El-Beltagi, H.S.; Mohamed, H.I.; Eshak, N.S. Biological Activities of Grape Seed By-Products and Their Potential Use as Natural Sources of Food Additives in the Production of Balady Bread. Foods 2022, 11, 1948. [Google Scholar] [CrossRef]
- Oprea, O.B.; Popa, M.E.; Apostol, L.; Gaceu, L. Research on the Potential Use of Grape Seed Flour in the Bakery Industry. Foods 2022, 11, 1589. [Google Scholar] [CrossRef]
- EFSA Panel on Dietetic Products, Nutrition and Allergies (NDA). Scientific Opinion on Dietary Reference Values for Copper: Dietary Reference Values for Copper. EFSA J. 2015, 13, 4253. [Google Scholar] [CrossRef]
- Duplay, J.; Semhi, K.; Errais, E.; Imfeld, G.; Babcsanyi, I.; Perrone, T. Copper, Zinc, Lead and Cadmium Bioavailability and Retention in Vineyard Soils (Rouffach, France): The Impact of Cultural Practices. Geoderma, 2014; 230–231, 318–328. [Google Scholar] [CrossRef]
- EFSA Panel on Contaminants in the Food Chain; Schrenk, D.; Bignami, M.; Bodin, L.; Chipman, J.K.; del Mazo, J.; Grasl-Kraupp, B.; Hogstrand, C.; Hoogenboom, L.R.; Leblanc, J.-C.; et al. Scientific Opinion on the update of the risk assessment of nickel in food and drinking water. EFSA J. 2022, 18, 6268. [Google Scholar] [CrossRef]
- Commission Regulation (EC). No 1881/2006 of 19 December 2006 setting maximum levels for certain contaminats in foodstuffs. Off. J. Eur. Union 2006. Available online: https://eur-lex.europa.eu/LexUriServ/LexUriServ.do?uri=OJ:L:2006:364:0005:0024:EN:PDF (accessed on 10 December 2022).
- Berk, E.; Hamzalioglu, A.; Gokmen, V. Investigations on the Maillard Reaction in Sesame (Sesamum indicum L.) Seeds Induced by Roasting. J. Agric. Food Chem. 2019, 67, 4923–4930. [Google Scholar] [CrossRef]
- Parker, J.K. Introduction to aroma compounds in foods. In Flavour Development, Analysis and Perception in Food and Beverages, Woodhead Publishing Series; Parker, J.K., Elmore, S., Methven, L., Eds.; Woodhead Publishing: Sawston, UK, 2015; Chapter 1; pp. 6–10. [Google Scholar]
- Zou, Y.; Gaida, M.; Franchina, F.A.; Stefanuto, P.H.; Focant, J.F. Distinguishing between Decaffeinated and Regular Coffee by HS-SPME-GC x GC-TOFMS, Chemometrics, and Machine Learning. Molecules 2022, 27, 1806. [Google Scholar] [CrossRef]
- Gernat, D.C.; Brouwer, E.; Ottens, M. Aldehydes as Wort Off-Flavours in Alcohol-Free Beers—Origin and Control. Food Bioproc. Tech. 2020, 13, 195–216. [Google Scholar] [CrossRef]
- Smit, A.B.; Engels, W.J.M.; Smit, G. Branched chain aldehydes: Production and breakdown pathways and relevance for flavour in foods. Appl. Microbiol. Biotechnol. 2009, 81, 987–999. [Google Scholar] [CrossRef]
- Siegmund, B.; Murkovic, M. Changes in chemical composition of pumpkin seeds during the roasting process for production of pumpkin seed oil (Part 2: Volatile compounds). Food Chem. 2004, 84, 367–374. [Google Scholar] [CrossRef]
- Poisson, L.; Blank, I.; Dunkel, A.; Hofmann, T. The Chemistry of Roasting-Decoding Flavor Formation. In The Craft and Science of Coffee; Elsevier: Amsterdam, The Netherlands, 2017; pp. 273–309. ISBN 9780128035580. [Google Scholar]
- Perez Locas, C.A.; Yaylayan, V. Origin and Mechanistic Pathways of Formation of the Parent Furan-A Food Toxicant. J. Agric. Food Chem. 2004, 52, 6830–6836. [Google Scholar] [CrossRef]
- Bail, S.; Stuebiger, G.; Krist, S.; Unterweger, H.; Buchbauer, G. Characterisation of various grape seed oils by volatile compounds, triacylglycerol composition, total phenols and antioxidant capacity. Food Chem. 2008, 108, 1122–1132. [Google Scholar] [CrossRef]
- Ridgway, K. Analysis of taints and off-flavours. In Flavour Development, Analysis and Perception in Food and Beverages, Woodhead Publishing Series; Parker, J.K., Elmore, S., Methven, L., Eds.; Woodhead Publishing: Sawston, UK, 2015; Chapter 4; pp. 63–79. [Google Scholar]
- Adamiec, J.; Rossner, J.; Velisek, J.; Cejpek, K.; Savel, J. Minor Strecker degradation products of phenylalanine and phenylglycine. Eur. Food Res. Technol. 2001, 212, 135–140. [Google Scholar] [CrossRef]
- Xiao, Z.; Dai, S.; Niu, Y.; Yu, H.; Zhu, J.; Tian, H.; Gu, Y. Discrimination of Chinese Vinegars Based on Headspace Solid-Phase Microextraction-Gas Chromatography Mass Spectrometry of Volatile Compounds and Multivariate Analysis. J. Food Sci. 2011, 76, 8. [Google Scholar] [CrossRef]
- Zakidou, P.; Plati, F.; Matsakidou, A.; Varka, E.-M.; Blekas, G.; Paraskevopoulou, A. Single Origin Coffee Aroma: From Optimized Flavor Protocols and Coffee Customization to Instrumental Volatile Characterization and Chemometrics. Molecules 2021, 26, 4609. [Google Scholar] [CrossRef]
- Yanfang, Z.; Wenyi, T. Flavor and taste compounds analysis in Chinese solid fermented soy sauce. Afr. J. Biotechnol. 2009, 8, 673–681. [Google Scholar]
- Dorfner, R.; Ferge, T.; Kettrup, A.; Zimmermann, R.; Yeretzian, C. Real-Time Monitoring of 4-Vinylguaiacol, Guaiacol, and Phenol during Coffee Roasting by Resonant Laser Ionization Time-of-Flight Mass Spectrometry. J. Agric. Food Chem. 2003, 51, 5768–5773. [Google Scholar] [CrossRef]
- Sevindik, O.; Kelebek, H.; Rombolà, A.D.; Selli, S. Grape seed oil volatiles and odour activity values: A comparison with Turkish and Italian cultivars and extraction methods. J. Food Sci. Technol. 2022, 59, 1968–1981. [Google Scholar] [CrossRef]
- Morales, M.L.; Gonzalez, A.G.; Casas, J.A.; Troncoso, A.M. Multivariate analysis of commercial and laboratory produced Sherry wine vinegars: Influence of acetification and aging. Eur. Food Res. Technol. 2001, 212, 676–682. [Google Scholar] [CrossRef]
- Câmara, J.S.; Lourenço, S.; Silva, C.; Lopes, A.; Andrade, C.; Perestrelo, R. Exploring the potential of wine industry by-products as source of additives to improve the quality of aquafeed. Microchem. J. 2020, 155, 104758. [Google Scholar] [CrossRef]
- Limacher, A.; Kerler, J.; Davidek, T.; Schmalzried, F.; Blank, I. Formation of Furan and Methylfuran by Maillard-Type Reactions in Model Systems and Food. J. Agric. Food Chem. 2008, 56, 3639–3647. [Google Scholar] [CrossRef]
- FDA. Available online: https://www.fda.gov (accessed on 15 November 2022).
- Chang, S.S.; Smouse, T.H.; Krishnamurthy, R.G.; Mookherjee, B.D.; Reddy, R.B. Isolation and identification of 2-pentyl-furan as contributing to the reversion flavour of soybean oil. Chem. Ind. 1966, 1926–1927. [Google Scholar]
- Vichi, S.; Pizzale, L.; Conte, L.S.; Buxaderas, S.; Lo´pezTamames, E. Solid-phase microextraction in the analysis of virgin olive oil volatile fraction: Modifications induced by oxidation and suitable markers of oxidative status. J. Agric. Food Chem. 2003, 51, 6564–6571. [Google Scholar]
- IARC. Monographs on the Evaluation of Carcinogenic Risks to Humans; International Agency for Research on Cancer: Lyon, France, 1995; Volume 63, pp. 3194–3407. [Google Scholar]
- Yaylayan, V.; Wnorowski, A. The role of L-serine and Lthreonine in the generation of sugar-specific reactive intermediates during Maillard reaction. In Food FlaVors and Chemistrys AdVances of the New Millennium; Spanier, A., Shahidi, F., Parliment, T., Mussinan, C., Ho, C.-T., Contis, E., Eds.; Royal Society of Chemistry: Cambridge, UK, 2001; pp. 313–317. [Google Scholar]
- Patel, R.; Panya, H.N. Production of acetic acid from molasses by fermentation process. Int. J. Adv. Res. Innov. Ideas Educ. 2015, 1, 58–60. [Google Scholar]
- Boss, P.K.; Pearce, A.D.; Zhao, Y.; Nicholson, E.L.; Dennis, E.G.; Jeffery, D.W. Potential Grape-Derived Contributions to Volatile Ester Concentrations in Wine. Molecules 2015, 20, 7845–7873. [Google Scholar] [CrossRef]
- Gambetta, M.J.; Bastian, S.E.P.; Cozzolino, D.; Jeffery, D.W. Factors Influencing the Aroma Composition of Chardonnay Wines. J. Agric. Food Chem. 2014, 62, 6512–6534. [Google Scholar] [CrossRef]
- Plata, C.; Millan, C.; Mauricio, J.C.; Ortega, J.M. Formation of ethyl acetate and isoamyl acetate by various species of wine yeasts. Food Microbiol. 2003, 20, 217–224. [Google Scholar] [CrossRef]
- Panighel, A.; Flamini, R. Applications of Solid-Phase Microextraction and Gas Chromatography/Mass Spectrometry (SPME-GC-MS) in the Study of Grape and Wine Volatile Compounds. Molecules 2014, 19, 21291–21309. [Google Scholar] [CrossRef]
- Yang, Y.; Jin, G.; Kong, C.; Liu, J.; Tao, Y. Chemical profiles and aroma contribution of terpene compounds in Meili (Vitis vinifera L.) grape and wine. Food Chem. 2019, 283, 155–161. [Google Scholar] [CrossRef]
- Mendes-Pinto, M.M. Carotenoid breakdown products the-norisprenoids- in wine aroma. Arch. Biochem. Biophys. 2009, 482, 236–245. [Google Scholar] [CrossRef]
- Baumes, R.; Wirth, J.; Bureau, S.; Gunata, Y.; Razungles, A. Biogeneration of C13-norisoprenoid compounds: Experiments supportive for an apo-carotenoid pathway in grapevines. Anal. Chim. Acta 2002, 458, 3–14. [Google Scholar] [CrossRef]
- Antonic, B.; Dordevic, D.; Jancikova, S.; Holeckova, D.; Tremlova, B.; Kulawik, P. Effect of Grape Seed Flour on the Antioxidant Profile, Textural and Sensory Properties of Waffles. Processes 2021, 9, 131. [Google Scholar] [CrossRef]
- Rosales Soto, M.U.; Brown, K.; Ross, C.F. Antioxidant Activity and Consumer Acceptance of Grape Seed Flour-Containing Food Products: Antioxidant Activity and Consumer Acceptance of Grape Seed Flour. Int. J. Food Sci. Technol. 2012, 47, 592–602. [Google Scholar] [CrossRef]
- Hoye, C., Jr.; Ross, C.F. Total Phenolic Content, Consumer Acceptance, and Instrumental Analysis of Bread Made with Grape Seed Flour. J. Food Sci. 2011, 76, S428–S436. [Google Scholar] [CrossRef]
- Spanghero, M.; Salem, A.Z.M.; Robinson, P.H. Chemical Composition, Including Secondary Metabolites, and Rumen Fermentability of Seeds and Pulp of Californian (USA) and Italian Grape Pomaces. Anim. Feed Sci. Technol. 2009, 152, 243–255. [Google Scholar] [CrossRef]
- Johnson, C.M. Differential Scanning Calorimetry as a Tool for Protein Folding and Stability. Arch. Biochem. Biophys. 2013, 531, 100–109. [Google Scholar] [CrossRef]
- Ojeda-Galván, H.J.; Hernández-Arteaga, A.C.; Rodríguez-Aranda, M.C.; Toro-Vazquez, J.F.; Cruz-González, N.; Ortíz-Chávez, S.; Comas-García, M.; Rodríguez, A.G.; Navarro-Contreras, H.R. Application of Raman Spectroscopy for the Determination of Proteins Denaturation and Amino Acids Decomposition Temperature. Spectrochim. Acta A Mol. Biomol. Spectrosc. 2023, 285, 121941. [Google Scholar] [CrossRef]
- Şen, D.; Gökmen, V. Kinetic Modeling of Maillard and Caramelization Reactions in Sucrose-Rich and Low Moisture Foods Applied for Roasted Nuts and Seeds. Food Chem. 2022, 395, 133583. [Google Scholar] [CrossRef]
- Weiss, I.M.; Muth, C.; Drumm, R.; Kirchner, H.O.K. Thermal decomposition of the amino acids glycine, cysteine, aspartic acid, asparagine, glutamic acid, glutamine, arginine and histidine. BMC Biophys. 2018, 11, 2. [Google Scholar] [CrossRef]
- Salema, A.A.; Ting, R.M.W.; Shang, Y.K. Pyrolysis of blend (oil palm biomass and sawdust) biomass using TG-MS. Bioresour. Technol. 2019, 274, 439–446. [Google Scholar] [CrossRef]
- Wang, S.; Dai, G.; Yang, H.; Luo, Z. Lignocellulosic Biomass Pyrolysis Mechanism: A State-of-the-Art Review. Prog. Energy Combust. Sci. 2017, 62, 33–86. [Google Scholar] [CrossRef]
- Ding, Y.; Huang, B.; Li, K.; Du, W.; Lu, K.; Zhang, Y. Thermal Interaction Analysis of Isolated Hemicellulose and Cellulose by Kinetic Parameters during Biomass Pyrolysis. Energy 2020, 195, 117010. [Google Scholar] [CrossRef]
- Yang, H.; Yan, R.; Chin, T.; Liang, D.T.; Chen, H.; Zheng, C. Thermogravimetric Analysis−Fourier Transform Infrared Analysis of Palm Oil Waste Pyrolysis. Energy Fuels 2004, 18, 1814–1821. [Google Scholar] [CrossRef]
- Zhao, C.; Jiang, E.; Chen, A. Volatile Production from Pyrolysis of Cellulose, Hemicellulose and Lignin. J. Energy Inst. 2017, 90, 902–913. [Google Scholar] [CrossRef]
- Yeo, J.Y.; Chin, B.L.F.; Tan, J.K.; Loh, Y.S. Comparative Studies on the Pyrolysis of Cellulose, Hemicellulose, and Lignin Based on Combined Kinetics. J. Energy Inst. 2019, 92, 27–37. [Google Scholar] [CrossRef]
- Oreopoulou, V.; Tzia, C. Utilization of Plant By-Products for the Recovery of Proteins, Dietary Fibers, Antioxidants, and Colorants. In Utilization of By-Products and Treatment of Waste in the Food Industry; Springer: New York, NY, USA, 2006; pp. 209–232. [Google Scholar]
- Villanueva-Suárez, M.J.; Redondo-Cuenca, A.; Rodríguez-Sevilla, M.D.; de las Heras Martínez, M. Characterization of Nonstarch Polysaccharides Content from Different Edible Organs of Some Vegetables, Determined by GC and HPLC: Comparative Study. J. Agric. Food Chem. 2003, 51, 5950–5955. [Google Scholar] [CrossRef]
- Figuerola, F.; Hurtado, M.L.; Estévez, A.M.; Chiffelle, I.; Asenjo, F. Fibre Concentrates from Apple Pomace and Citrus Peel as Potential Fibre Sources for Food Enrichment. Food Chem. 2005, 91, 395–401. [Google Scholar] [CrossRef]
- Dhingra, D.; Michael, M.; Rajput, H.; Patil, R.T. Dietary Fibre in Foods: A Review. J. Food Sci. Technol. 2012, 49, 255–266. [Google Scholar] [CrossRef]
- Thebaudin, J.Y.; Lefebvre, A.C.; Harrington, M.; Bourgeois, C.M. Dietary fibres: Nutritional and technological interest. Trends Food Sci. Technol. 1997, 8, 41–48. [Google Scholar] [CrossRef]
- Subiria-Cueto, R.; Coria-Oliveros, A.J.; Wall-Medrano, A.; Rodrigo-García, J.; González-Aguilar, G.A.; Martinez-Ruiz, N.d.R.; Alvarez-Parrilla, E. Antioxidant Dietary Fiber-Based Bakery Products: A New Alternative for Using Plant-by-Products. Food Sci. Technol. 2021, 42, 1–16. [Google Scholar] [CrossRef]
- Besbes, S.; Attia, H.; Deroanne, C.; Makni, S.; Blecker, C. Partial Replacement of Meat by Pea Fiber and Wheat Fiber: Effect on the Chemical Composition, Cooking Characteristics and Sensory Properties of Beef Burgers. J. Food Qual. 2008, 31, 480–489. [Google Scholar] [CrossRef]






| Moisture | 7.06 ± 0.08 | 
|---|---|
| Ash | 2.05 ± 0.03 | 
| Fats | 0.87 ± 0.07 | 
| Crude Protein | 8.94 ± 0.09 | 
| Indigestible total fiber (cellulose, hemicellulose, lignin) [43,44] | ~79–80% | 
| C | 51.2 ± 0.6 | 
| H | 6.08 ± 0.13 | 
| N | 1.43 ± 0.08 | 
| S | 1.82 ± 0.14 | 
| O | 37.4 ± 0.4 | 
| DGS | Literature data [45] | ||
|---|---|---|---|
| Element | Niagara (White Grape, Brazil) | Bordo (Red Grape, Brazil) | |
| mg/100 g db | |||
| Ca | 19.7 ± 0.7 | 28.5 ± 0.07 | 23.03 ± 0.11 | 
| K | 31.3 ± 1.0 | 28.32 ± 0.05 | 39.07 ± 0.05 | 
| Mg | 10.5 ± 0.6 | 13.35 ± 0.03 | 17.21 ± 0.12 | 
| P | 28.1 ± 1.8 | 2.13 ± 0.05 | 3.90 ± 0.10 | 
| S | 4.38 ± 0.21 | 2.57 ± 2.35 | 2.54 ± 0.54 | 
| μg/100 g db | |||
| As | 0.51 ± 0.06 | ||
| Al | 1.95 ± 0.09 | < LD | < LD | 
| B | 11.4 ± 0.5 | ||
| Ba | 1.32 ± 0.04 | ||
| Co | 0.19 ± 0.05 | ||
| Cr | 1.58 ± 0.05 | ||
| Cu | 14.6 ± 0.6 | 10.5 ± 0.6 | 12.2 ± 0.4 | 
| Fe | 40.2 ± 0.9 | 33.0 ± 0.6 | 25.6 ± 2.6 | 
| Mn | 26.8 ± 0.7 | 20.0 ± 0.7 | 32.7 ± 0.9 | 
| Na | 33.1 ± 1.0 | ||
| Ni | 0.92 ± 0.08 | < LD | < LD | 
| Pb | 1.77 ± 0.08 | < LD | < LD | 
| Sr | 12.9 ± 0.4 | 22.3 ± 0.2 | 10.4 ± 0.1 | 
| Zn | 20.3 ± 0.8 | 15.6 ± 2.2 | 16.0 ± 2.4 | 
| Compound | LRI | ID # | Aroma | Area × 10−5 | 
|---|---|---|---|---|
| Aldehydes | ||||
| Acetaldehyde | 433 | A, B | Pungent, fresh, lifting, fruity, musty | 21 ± 0.4 | 
| Propanal, 2-methyl- | 550 | A, B | Fresh, aldehydic, floral, green | 13 ± 0.3 | 
| Butanal, 3-methyl- | 654 | A, B, C | Ethereal, aldehydic, chocolate, peach, fatty | 12 ± 0.2 | 
| Butanal, 2-methyl- | 664 | A, B | Musty, cocoa, phenolic, coffee, nutty, malty | 8.9 ± 0.1 | 
| Pentanal | 698 | A, B | Fermented, bready, fruity, berry | 10 ± 0.3 | 
| n-Hexanal | 806 | A, B | Green, fatty, leafy, vegetative, fruity, clean | 48 ± 0.2 | 
| Heptanal | 902 | A, B | Fresh, aldehydic, fatty, green, herbal | 4.1 a | 
| Benzaldehyde | 969 | A, B | Almond, fruity, powdery, nutty | 1.8 a | 
| Alcohols | ||||
| Ethanol | 461 | A, B | Alcoholic | 512 ± 0.4 | 
| 1-Propanol | 546 | A, B | Alcoholic, fermented, musty, yeasty | 2.2 a | 
| Esters | ||||
| Formic acid, methyl ester | 450 | A, B | Fruity, plum, estery | 14 ± 0.3 | 
| Formic acid, ethyl ester | 509 | A, B | Fruity | 3.2 a | 
| Acetic acid, methyl ester | 519 | A, B, C | Ethereal, sweet, fruity, winey | 102 ± 0.4 | 
| Ethyl acetate | 603 | A, B, C | Ethereal, fruity, sweet, grape-like, winey | 247 ± 0.2 | 
| Butanoic acid, ethyl ester | 802 | A, B, C | Fruity, juicy, sweet | 2.1 ± 0.1 | 
| Butanoic acid, 2-methyl-, ethyl ester | 849 | A, B | Sharp, sweet, green, apple, fruity | 4.1 ± 0.1 | 
| Butanoic acid, 3-methyl-, ethyl ester | 853 | A, B | Sweet, fruity, sharp, apple, green | 5.3 ± 0.1 | 
| 1-Butanol, 3-methyl-, acetate | 874 | A, B | Sweet, fruit | 37 ± 0.3 | 
| 1-Butanol, 2-methyl-, acetate | 878 | A, B | Sweet, fruity, ripe | 18 ± 0.2 | 
| Hexanoic acid, ethyl ester | 977 | A, B | Sweet, fruity | 5.6 ± 0.1 | 
| Octanoic acid, ethyl ester | 1104 | A, B | Sweet, waxy, fruity, musty | 27 ± 0.2 | 
| Decanoic acid, ethyl ester | 1201 | A, B | Sweet, waxy, fruity, apple, grape | 14 ± 0.4 | 
| Acids | ||||
| Formic acid | 491 | A, B | Pungent, vinegar | 1.3 a | 
| Acetic acid | 584 | A, B | Sharp, pungent, sour, vinegar | 1046 ± 0.3 | 
| Propanoic acid | 671 | A, B | Pungent, acidic, cheesy, vinegar | 7.9 ± 0.1 | 
| Ketones | ||||
| Acetone | 488 | A, B | Solvent, ethereal, apple, pear | 129 ± 0.4 | 
| 2-Butanone | 585 | A, B | Ethereal, diffusive, fruity | 16 ± 0.3 | 
| 2-Propanone, 1-hydroxy- | 621 | A, B | Pungent, sweet, caramellic | 2.0 a | 
| 2-Butanone, 3-hydroxy- | 710 | A, B, C | Sweet, buttery, creamy, dairy, milky, fatty | 1.5 a | 
| Furan derivatives | ||||
| Furan | 495 | A, B | Ethereal | 9.7 ± 0.1 | 
| Furan, 2-methyl- | 594 | A, B | Ethereal, acetone, chocolate | 4.2 a | 
| Furfural | 842 | A, B, C | Sweet, woody, bready, caramellic, phenolic | 39 ± 0.3 | 
| Furan, 2-pentyl- | 978 | A, B | Fruity, green, earthy, beany, vegetable | 2.6 a | 
| Phenol derivatives | ||||
| Phenol | 966 | A, B | 2.2 a | |
| Phenol, 2-methoxy- | 1053 | A, B | Phenolic, smoke, spice, vanilla, woody | 3.0 a | 
| Phenol, 4-ethyl-2-methoxy- | 1160 | A, B, C | Spicy, smoky, bacon, phenolic | 8.7 ± 0.1 | 
| Terpenes and terpenoids | ||||
| α-Pinene | 943 | A, B | Fresh, camphor, sweet, pine, earthy, woody | 6.7 ± 0.1 | 
| β-Pinene | 985 | A, B | Dry, wood, fresh, pine, green, resinous | 2.1 a | 
| Limonene | 1016 | A, B | Citrus, herbal, terpene, camphor | 3.8 a | 
| Eucalyptol | 1020 | A, B | Eucalyptus, herbal, camphor | 4.2 ± 0.1 | 
| Isomenthone | 1100 | A, B | Minty, cool, peppermint, sweet | 1.8 a | 
| Compound Class | Mean * ± SD(3) | 
|---|---|
| Aldehydes | 4.51 ± 0.05 | 
| Alcohols | 21.35 ± 0.02 | 
| Esters | 20.00 ± 0.12 | 
| Acids | 43.82 ± 0.02 | 
| Ketones | 6.21 ± 0.03 | 
| Furan derivatives | 2.32 ± 0.02 | 
| Phenol derivatives | 0.58 ± 0.01 | 
| Terpenes and Terpenoids | 0.77 ± 0.01 | 
| Region | Thermal Step | To | Tm | Tc | Δm% | Thermally Activated Processes | 
|---|---|---|---|---|---|---|
| I | 1 | 30 | 99.4 | 120 | - 3.5 | Removal of moisture and VOCs up to 105–120 °C | 
| II | 1 | 120 | --- | 211.3 | −3.1 | Removal of bound water, NH3 from protein denaturation, low-boiling VOCs, loss of CO and CO2, and caramelization of sugars | 
| III | 2 | 211.3 | --- | 263.3 | −3.2 | Shoulder related to protein degradation | 
| 3 | 263.3 | 299.0 | 316.2 | −12.8 | Removal of reaction water, NH3, low-boiling VOCs, and SVOCs, decarboxylation of acids with CO2 loss, degradation of polysaccharides, plasticization, and pseudo-vitrification of the sample | |
| 4 | 316.2 | 365.9 | 413.4 | −26.7 | Fat degradation, removal of hydrocarbons, water of constitution, CO, and CO2, and volatilization of other metabolites | |
| IV | 5 | 413.4 | 434.5 | 463.6 | −11.2 | Removal of reaction water, CO2 and other metabolites | 
| 463.6 | --- | 650 | −9.4 | Weak reactions related to slow volatilization of CO2, carbon residues and other molecules | ||
| 6 | 650 | 675 | 695.5 | −2.1 | Removal of reaction water, CO and CO2, and other metabolites | |
| V | 695.5 | --- | 1000 | −7.3 | Volatilization of carbon residues, probably C20-C40 fragments | |
| Residual ashes at 1000 °C | Inorganic compounds and carbon residue | |||||
| Disclaimer/Publisher’s Note: The statements, opinions and data contained in all publications are solely those of the individual author(s) and contributor(s) and not of MDPI and/or the editor(s). MDPI and/or the editor(s) disclaim responsibility for any injury to people or property resulting from any ideas, methods, instructions or products referred to in the content. | 
© 2023 by the authors. Licensee MDPI, Basel, Switzerland. This article is an open access article distributed under the terms and conditions of the Creative Commons Attribution (CC BY) license (https://creativecommons.org/licenses/by/4.0/).
Share and Cite
D’Eusanio, V.; Malferrari, D.; Marchetti, A.; Roncaglia, F.; Tassi, L. Waste By-Product of Grape Seed Oil Production: Chemical Characterization for Use as a Food and Feed Supplement. Life 2023, 13, 326. https://doi.org/10.3390/life13020326
D’Eusanio V, Malferrari D, Marchetti A, Roncaglia F, Tassi L. Waste By-Product of Grape Seed Oil Production: Chemical Characterization for Use as a Food and Feed Supplement. Life. 2023; 13(2):326. https://doi.org/10.3390/life13020326
Chicago/Turabian StyleD’Eusanio, Veronica, Daniele Malferrari, Andrea Marchetti, Fabrizio Roncaglia, and Lorenzo Tassi. 2023. "Waste By-Product of Grape Seed Oil Production: Chemical Characterization for Use as a Food and Feed Supplement" Life 13, no. 2: 326. https://doi.org/10.3390/life13020326
APA StyleD’Eusanio, V., Malferrari, D., Marchetti, A., Roncaglia, F., & Tassi, L. (2023). Waste By-Product of Grape Seed Oil Production: Chemical Characterization for Use as a Food and Feed Supplement. Life, 13(2), 326. https://doi.org/10.3390/life13020326
 
        


 
       