Evaluation of Thermally Induced Degradation of Branched Polypropylene by Using Rheology and Different Constitutive Equations
Abstract
:1. Introduction
2. Experimental
3. Theoretical
3.1. Generalized Newtonian Fluid Model
3.2. Modified White-Metzner Model
3.3. Yao Model
3.4. Extended Yao Model
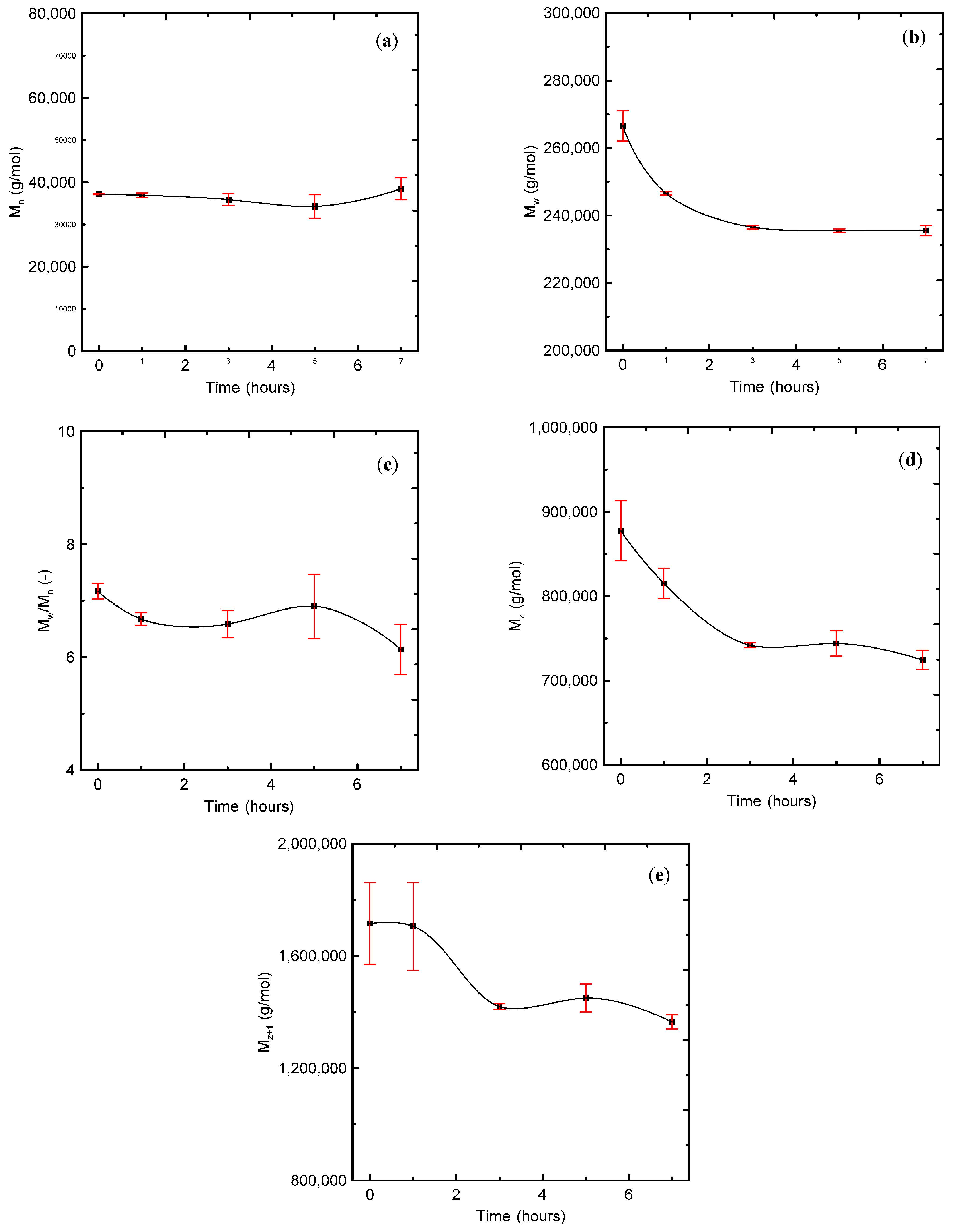
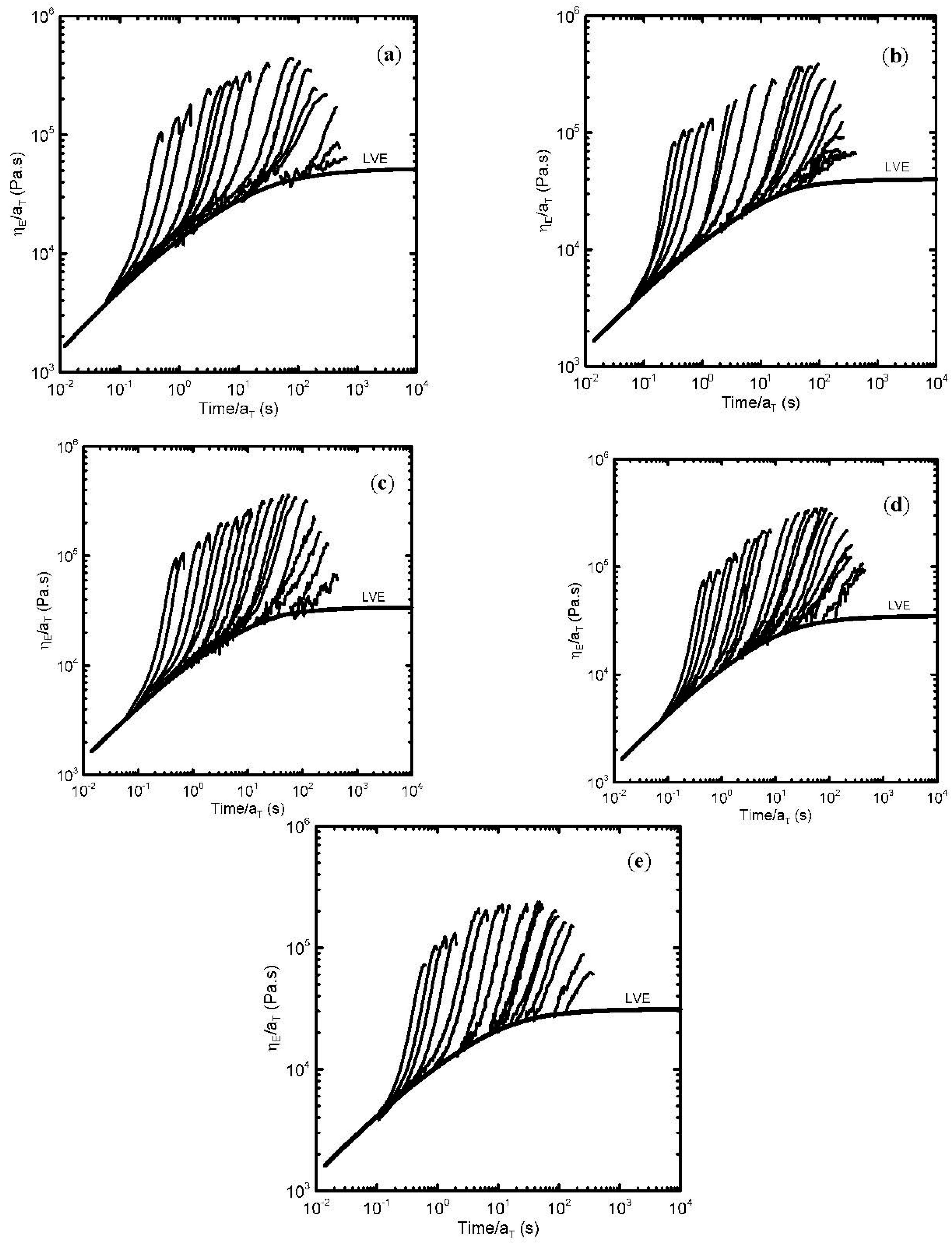
4. Results and Discussion
5. Conclusions
Acknowledgments
Author Contributions
Conflicts of Interest
References
- Lugão, A.B.; Otaguro, H.; Parra, D.F.; Yoshiga, A.; Lima, L.F.C.P.; Artel, B.W.H.; Liberman, S. Review on the production process and uses of controlled rheology polypropylene-Gamma radiation versus electron beam processing. Radiat. Phys. Chem. 2007, 76, 1688–1690. [Google Scholar] [CrossRef]
- Abbas Mousavi, S.; Dadbin, S.; Frounchi, M.; Venerus, D.C.; Medina, T.G. Comparison of rheological behavior of branched polypropylene prepared by chemical modification and electron beam irradiation under air and N2. Radiat. Phys. Chem. 2010, 79, 1088–1094. [Google Scholar] [CrossRef]
- Krause, B.; Voigt, D.; Lederer, A.; Auhl, D.; Münstedt, H. Determination of low amounts of long-chain branches in polypropylene using a combination of chromatographic and rheological methods. J. Chromatogr. A 2004, 1056, 217–222. [Google Scholar] [CrossRef]
- Krause, B.; Stephan, M.; Volkland, S.; Voigt, D.; Häußler, L.; Dorschner, H. Long-chain branching of polypropylene by electron-beam irradiation in the molten state. J. Appl. Polym. Sci. 2006, 99, 260–265. [Google Scholar] [CrossRef]
- Auhl, D.; Stadler, F.J.; Münstedt, H. Rheological properties of electron beam-irradiated polypropylenes with different molar masses. Rheol. Acta 2012, 51, 979–989. [Google Scholar] [CrossRef]
- Rätzsch, M.; Arnold, M.; Borsig, E.; Bucka, H.; Reichelt, N. Radical reactions on polypropylene in the solid state. Prog. Polym. Sci. 2002, 27, 1195–1282. [Google Scholar] [CrossRef]
- Yoshiga, A.; Otaguro, H.; Parra, D.F.; Lima, L.F.C.P.; Lugao, A.B. Controlled degradation and crosslinking of polypropylene induced by gamma radiation and acetylene. Polym. Bull. 2009, 63, 397–409. [Google Scholar] [CrossRef]
- Lugão, A.B.; Hutzler, B.; Ojeda, T.; Tokumoto, S.; Siemens, R.; Makuuchi, K.; Villavicencio, A.-L.C.H. Reaction mechanism and rheological properties of polypropylene irradiated under various atmospheres. Radiat. Phys. Chem. 2000, 57, 389–392. [Google Scholar] [CrossRef]
- He, G.; Tzoganakis, C. A UV-initiated reactive extrusion process for production of controlled-rheology polypropylene. Polym. Eng. Sci. 2011, 51, 151–157. [Google Scholar] [CrossRef]
- Zamotaev, P.; Shibirin, E.; Nogellova, Z. Photocrosslinking of polypropylene: The effect of different photo-initiators and coagents. Polym. Degrad. Stab. 1995, 47, 93–107. [Google Scholar] [CrossRef]
- Kukaleva, N.; Stoll, K.; Santi, M. Modified Olefin Polymers. U.S. Patent 20,110,136,931, 9 June 2011. [Google Scholar]
- Amintowlieh, Y.; Tzoganakis, C.; Penlidis, A. The effect of depth and duration of UV radiation on polypropylene modification via photoinitiation. J. Appl. Polym. Sci. 2014, 131, 41021. [Google Scholar] [CrossRef]
- Amintowlieh, Y.; Tzoganakis, C.; Hatzikiriakos, S.G.; Penlidis, A. Effects of processing variables on polypropylene degradation and long chain branching with UV irradiation. Polym. Degrad. Stab. 2014, 104, 1–10. [Google Scholar] [CrossRef]
- Amintowlieh, Y.; Tzoganakis, C.; Penlidis, A. Continuous modification of polypropylene via photoinitiation. Polym. Eng. Sci. 2015, 55, 2423–2432. [Google Scholar] [CrossRef]
- Amintowlieh, Y.; Tzoganakis, C.; Penlidis, A. Preparation and Characterization of Long Chain Branched Polypropylene through UV Irradiation and Coagent Use. Polym. Plast. Technol. Eng. 2015, 54, 1425–1438. [Google Scholar] [CrossRef]
- Amintowlieh, Y.; Tzoganakis, C.; Penlidis, A. An Overview of the Potential of UV Modification of Polypropylene. Macromol. Symp. 2016, 360, 96–107. [Google Scholar] [CrossRef]
- Parent, J.S.; Bodsworth, A.; Sengupta, S.S.; Kontopoulou, M.; Chaudhary, B.I.; Poche, D.; Cousteaux, S. Structure-rheology relationships of long-chain branched polypropylene: Comparative analysis of acrylic and allylic coagent chemistry. Polymer 2009, 50, 85–94. [Google Scholar] [CrossRef]
- Gotsis, A.D.; Zeevenhoven, B.L.F.; Tsenoglou, C. Effect of long branches on the rheology of polypropylene. J. Rheol. 2004, 48, 895–914. [Google Scholar] [CrossRef]
- Auhl, D.; Stange, J.; Münstedt, H.; Krause, B.; Voigt, D.; Lederer, A.; Lappan, U.; Lunkwitz, K. Long-chain branched polypropylenes by electron beam irradiation and their rheological properties. Macromolecules 2004, 37, 9465–9472. [Google Scholar] [CrossRef]
- Lagendijk, R.P.; Hogt, A.H.; Buijtenhuijs, A.; Gotsis, A.D. Peroxydicarbonate modification of polypropylene and extensional flow properties. Polymer 2001, 42, 10035–10043. [Google Scholar] [CrossRef]
- Wong, B.; Baker, W.E. Melt rheology of graft modified polypropylene. Polymer 1997, 38, 2781–2789. [Google Scholar] [CrossRef]
- Yoshii, F.; Makuuchi, K.; Kikukawa, S.; Tanaka, T.; Saitoh, J.; Koyama, K. High-melt-strength polypropylene with electron beam irradiation in the presence of polyfunctional monomers. J. Appl. Polym. Sci. 1996, 60, 617–623. [Google Scholar] [CrossRef]
- Hingmann, R.; Marczinke, B.L. Shear and elongational flow properties of polypropylene melts. J. Rheol. 1994, 38, 573–587. [Google Scholar] [CrossRef]
- Münstedt, H.; Auhl, D. Rheological measuring techniques and their relevance for the molecular characterization of polymers. J. Non-Newton. Fluid Mech. 2005, 128, 62–69. [Google Scholar] [CrossRef]
- Auhl, D.; Stadler, F.J.; Münstedt, H. Comparison of molecular structure and rheological properties of electron-beam and gamma-irradiated polypropylene. Macromolecules 2012, 45, 2057–2065. [Google Scholar] [CrossRef]
- Münstedt, H. Rheological properties and molecular structure of polymer melts. Soft Matter 2011, 7, 2273–2283. [Google Scholar] [CrossRef]
- Ahirwal, D.; Filipe, S.; Neuhaus, I.; Busch, M.; Schlatter, G.; Wilhelm, M. Large amplitude oscillatory shear and uniaxial extensional rheology of blends from linear and long-chain branched polyethylene and polypropylene. J. Rheol. 2014, 58, 635–658. [Google Scholar] [CrossRef]
- Gabriel, C.; Münstedt, H. Strain hardening of various polyolefins in uniaxial elongational flow. J. Rheol. 2003, 47, 619–630. [Google Scholar] [CrossRef]
- Koyama, K.; Sugimoto, M. Rheological properties and its processability of high-melt-strength polypropylene. In Proceedings of the XIIIth International Congress on Rheology, Cambridge, UK, 20–25 August 2000; pp. 409–410.
- Park, C.B.; Cheung, L.K. A study of cell nucleation in the extrusion of polypropylene foams. Polym. Eng. Sci. 1997, 37, 1–10. [Google Scholar] [CrossRef]
- Spitael, P.; Macosko, C.W. Strain hardening in polypropylenes and its role in extrusion foaming. Polym. Eng. Sci. 2004, 44, 2090–2100. [Google Scholar] [CrossRef]
- Chikhalikar, K.; Banik, S.; Azad, L.B.; Jadhav, K.; Mahajan, S.; Ahmad, Z.; Kulkarni, S.; Gupta, S.; Doshi, P.; Pol, H.; et al. Extrusion film casting of long chain branched polypropylene. Polym. Eng. Sci. 2015, 55, 1977–1987. [Google Scholar] [CrossRef]
- Kurzbeck, S.; Oster, F.; Münstedt, H.; Ngyuen, T.Q.; Gensler, R. Rheological properties of two polypropylenes with different molecular structure. J. Rheol. 1999, 43, 359–374. [Google Scholar]
- Sugimoto, M.; Tanaka, T.; Masubuchi, Y.; Takimoto, J.-I.; Koyama, K. Effect of chain structure on the melt rheology of modified polypropylene. J. Appl. Polym. Sci. 1999, 73, 1493–1500. [Google Scholar] [CrossRef]
- Connolly, R.; Bellesia, G.; Timoshenko, E.G.; Kuznetsov, Y.A.; Elli, S.; Ganazzoli, F. “Intrinsic” and “topological” stiffness in branched polymers. Macromolecules 2005, 38, 5288–5299. [Google Scholar] [CrossRef]
- Yethiraj, A. A Monte Carlo simulation study of branched polymers. J. Chem. Phys. 2006, 125, 204901. [Google Scholar] [CrossRef] [PubMed]
- Dolgushev, M.; Berezovska, G.; Blumen, A. Branched semiflexible polymers: Theoretical and simulation aspects. Macromol. Theory Simul. 2011, 20, 621–644. [Google Scholar] [CrossRef]
- Sikorski, A. Monte Carlo study of the collapse transition of flexible and semiflexible star-branched polymers. Polymer 1993, 34, 1271–1281. [Google Scholar] [CrossRef]
- McCrackin, F.L.; Mazur, J. Configuration properties of comb-branched polymers. Macromolecules 1981, 14, 1214–1220. [Google Scholar] [CrossRef]
- Lipson, J.E.G.; Gaunt, D.S.; Wilkinson, M.K.; Whittington, S.G. Lattice models of branched polymers: Combs and brushes. Macromolecules 1987, 20, 186–190. [Google Scholar] [CrossRef]
- Baig, C.; Alexiadis, O.; Mavrantzas, V.G. Advanced Monte Carlo algorithm for the atomistic simulation of short- and long-chain branched polymers: Implementation for model H-shaped, A 3AA3 multiarm (pom-pom), and short-chain branched polyethylene melts. Macromolecules 2010, 43, 986–1002. [Google Scholar] [CrossRef]
- Tsukahara, Y.; Kohjiya, S.; Tsutsumi, K.; Okamoto, Y. On the intrinsic viscosity of poly(macromonomer)s. Macromolecules 1994, 27, 1662–1664. [Google Scholar] [CrossRef]
- Astruc, D.; Boisselier, E.; Ornelas, C. Dendrimers designed for functions: From physical, photophysical, and supramolecular properties to applications in sensing, catalysis, molecular electronics, photonics, and nanomedicine. Chem. Rev. 2010, 110, 1857–1959. [Google Scholar] [CrossRef] [PubMed]
- Schlüter, A.D.; Rabe, J.P. Dendronized polymers: Synthesis, characterization, assembly at interfaces, and manipulation. Angew. Chem. Int. Ed. Engl. 2000, 39, 864–883. [Google Scholar] [CrossRef]
- Frauenrath, H. Dendronized polymers—Building a new bridge from molecules to nanoscopic objects. Prog. Polym. Sci. Oxf. 2005, 30, 325–384. [Google Scholar] [CrossRef]
- Spakowitz, A.J. Semiflexible Polymers: Fundamental Theory and Applications in DNA Packaging. Ph.D. Thesis, California Institute of Technology, Pasadena, CA, USA, 2004. [Google Scholar]
- Tzoganakis, C.; Vlachopoulos, J.; Hamielec, A.E. Production of controlled-rheology polypropylene resins by peroxide promoted degradation during extrusion. Polym. Eng. Sci. 1988, 28, 170–180. [Google Scholar] [CrossRef]
- Tzoganakis, C.; Hamielec, A.E.; Tang, Y.; Vlachopoulos, J. Controlled degradation of polypropylene: A comprehensive experimental and theoretical investigation. Polym. Plast. Technol. Eng. 1989, 28, 319–350. [Google Scholar] [CrossRef]
- Tzoganakis, C.; Vlachopoulos, J.; Hamielec, A.E.; Shinozaki, D.M. Effect of molecular weight distribution on the rheological and mechanical properties of polypropylene. Polym. Eng. Sci. 1989, 29, 390–396. [Google Scholar] [CrossRef]
- Machado, A.V.; Covas, J.A.; van Duin, M. Monitoring polyolefin modification along the axis of a twin screw extruder. I. Effect of peroxide concentration. J. Appl. Polym. Sci. 2001, 81, 58–68. [Google Scholar] [CrossRef]
- Van Duin, M.; Machado, A.V.; Covas, J. A look inside the extruder: Evolution of chemistry, morphology and rheology along the extruder axis during reactive processing and blending. Macromol. Symp. 2001, 170, 29–39. [Google Scholar] [CrossRef]
- Machado, A.V.; Maia, J.M.; Canevarolo, S.V.; Covas, J.A. Evolution of peroxide-induced thermomechanical degradation of polypropylene along the extruder. J. Appl. Polym. Sci. 2004, 91, 2711–2720. [Google Scholar] [CrossRef]
- Berzin, F.; Vergnes, B.; Canevarolo, S.V.; Machado, A.V.; Covas, J.A. Evolution of the peroxide-induced degradation of polypropylene along a twin-screw extruder: Experimental data and theoretical predictions. J. Appl. Polym. Sci. 2006, 99, 2082–2090. [Google Scholar] [CrossRef]
- Hinsken, H.; Moss, S.; Pauquet, J.-R.; Zweifel, H. Degradation of polyolefins during melt processing. Polym. Degrad. Stab. 1991, 34, 279–293. [Google Scholar] [CrossRef]
- González-González, V.A.; Neira-Velázquez, G.; Angulo-Sánchez, J.L. Polypropylene chain scissions and molecular weight changes in multiple extrusion. Polym. Degrad. Stab. 1998, 60, 33–42. [Google Scholar] [CrossRef]
- Canevarolo, S.V. Chain scission distribution function for polypropylene degradation during multiple extrusions. Polym. Degrad. Stab. 2000, 70, 71–76. [Google Scholar] [CrossRef]
- Waldman, W.R.; de Paoli, M.A. Thermo-mechanical degradation of polypropylene, low-density polyethylene and their 1:1 blend. Polym. Degrad. Stab. 1998, 60, 301–308. [Google Scholar] [CrossRef]
- Drozdov, A.D. The effect of thermal oxidative degradation of polymers on their viscoelastic response. Int. J. Eng. Sci. 2007, 45, 882–904. [Google Scholar] [CrossRef]
- Qian, S.; Igarashi, T.; Nitta, K.-H. Thermal degradation behavior of polypropylene in the melt state: Molecular weight distribution changes and chain scission mechanism. Polym. Bull. 2011, 67, 1661–1670. [Google Scholar] [CrossRef]
- Pivokonsky, R.; Zatloukal, M.; Filip, P.; Tzoganakis, C. Rheological characterization and modeling of linear and branched metallocene polypropylenes prepared by reactive processing. J. Non-Newton. Fluid Mech. 2009, 156, 1–6. [Google Scholar] [CrossRef]
- Hugo Rolón-Garrido, V.; Zatloukal, M.; Wagner, M.H. Increase of long-chain branching by thermo-oxidative treatment of LDPE: Chromatographic, spectroscopic, and rheological evidence. J. Rheol. 2013, 57, 105–129. [Google Scholar] [CrossRef]
- Rolón-Garrido, V.H.; Wagner, M.H. Elongational rheology and cohesive fracture of photo-oxidated LDPE. J. Rheol. 2014, 58, 199–222. [Google Scholar] [CrossRef]
- Rolón-Garrido, V.H.; Wagner, M.H. Linear and non-linear rheological characterization of photo-oxidative degraded LDPE. Polym. Degrad. Stab. 2014, 99, 136–145. [Google Scholar] [CrossRef]
- Rolón-Garrido, V.H.; Kruse, M.; Wagner, M.H. Size exclusion chromatography of photo-oxidated LDPE by triple detection and its relation to rheological behavior. Polym. Degrad. Stab. 2015, 111, 46–54. [Google Scholar] [CrossRef]
- Chikhalikar, K.; Deshpande, A.; Pol, H.; Dhoble, D.; Jha, S.; Jadhav, K.; Mahajan, S.; Ahmad, Z.; Kulkarni, S.; Gupta, S.; et al. Long chain branched impact copolymer of polypropylene: Microstructure and rheology. Polym. Eng. Sci. 2015, 55, 1463–1474. [Google Scholar] [CrossRef]
- Sentmanat, M.L. Dual Windup Extensional Rheometer. U.S. Patent 6,578,413 B2, 17 June 2003. [Google Scholar]
- Sentmanat, M.L. Dual Windup Drum Extensional Rheometer. U.S. Patent 6,691,569 B1, 17 February 2004. [Google Scholar]
- Sentmanat, M.L. Miniature universal testing platform: From extensional melt rheology to solid-state deformation behavior. Rheol. Acta 2004, 43, 657–669. [Google Scholar] [CrossRef]
- Zatloukal, M. A simple phenomenological non-Newtonian fluid model. J. Non-Newton. Fluid Mech. 2010, 165, 592–595. [Google Scholar] [CrossRef]
- Zatloukal, M. Novel non-Newtonian fluid model for polymer melts. Annu. Tech. Conf. ANTEC Conf. Proc. 2011, 1, 92–96. [Google Scholar]
- Zatloukal, M. Measurements and modeling of temperature-strain rate dependent uniaxial and planar extensional viscosities for branched LDPE polymer melt. Polymer 2016. [Google Scholar] [CrossRef]
- Drabek, J.; Zatloukal, M. Rheological evaluation of melt blown polymer melt. AIP Conf. Proc. 2013, 1526, 237–247. [Google Scholar]
- Musil, J.; Zatloukal, M. Characterization of die drool sample produced by HDPE melt extrusion. AIP Conf. Proc. 2013, 1526, 47–58. [Google Scholar]
- Kolarik, R.; Zatloukal, M.; Martyn, M. The effect of polyolefin extensional rheology on non-isothermal film blowing process stability. Int. J. Heat Mass Transf. 2013, 56, 694–708. [Google Scholar] [CrossRef]
- Barnes, H.A.; Roberts, G.P. A simple empirical model describing the steady-state shear and extensional viscosities of polymer melts. J. Non-Newton. Fluid Mech. 1992, 44, 113–126. [Google Scholar] [CrossRef]
- Zatloukal, M. Differential viscoelastic constitutive equations for polymer melts in steady shear and elongational flows. J. Non-Newton. Fluid Mech. 2003, 113, 209–227. [Google Scholar] [CrossRef]
- Sedlacek, T.; Zatloukal, M.; Filip, P.; Boldizar, A.; Saha, P. On the effect of pressure on the shear and elongational viscosities of polymer melts. Polym. Eng. Sci. 2004, 44, 1328–1337. [Google Scholar] [CrossRef]
- Yao, D. A non-Newtonian fluid model with an objective vorticity. J. Non-Newton. Fluid Mech. 2015, 218, 99–105. [Google Scholar] [CrossRef]
- Yao, D. A non-Newtonian fluid model with finite stretch and rotational recovery. J. Non-Newton. Fluid Mech. 2016, 230, 12–18. [Google Scholar] [CrossRef]
- Konaganti, V.K.; Ansari, M.; Mitsoulis, E.; Hatzikiriakos, S.G. Extrudate swell of a high-density polyethylene melt: II. Modeling using integral and differential constitutive equations. J. Non-Newton. Fluid Mech. 2015, 225, 94–105. [Google Scholar] [CrossRef]
- Münstedt, H.; Schwarzl, F.R. Deformation and Flow of Polymeric Materials; Springer: Heidelberg, Germany, 2014. [Google Scholar]












| Virgin PP | 1 h Degraded PP | 3 h Degraded PP | 5 h Degraded PP | 7 h Degraded PP | ||||||
|---|---|---|---|---|---|---|---|---|---|---|
| i | λi (s) | Gi (Pa) | λi (s) | Gi (Pa) | λi (s) | Gi (Pa) | λi (s) | Gi (Pa) | λi (s) | Gi (Pa) |
| 1 | 0.00677 | 52,148.6 | 0.00715 | 48,451.8 | 0.00732 | 48,414.1 | 0.00749 | 47,962.5 | 0.00744 | 47,463.2 |
| 2 | 0.03283 | 12,150.5 | 0.03446 | 10,454.9 | 0.03517 | 9,926.72 | 0.03591 | 9,950.26 | 0.03567 | 9,680.62 |
| 3 | 0.15912 | 7,033.90 | 0.16603 | 5,974.36 | 0.16899 | 5,688.47 | 0.17213 | 5,821.17 | 0.17111 | 5,616.08 |
| 4 | 0.77125 | 2,521.01 | 0.79986 | 2,122.36 | 0.81207 | 1,914.91 | 0.82499 | 1,937.14 | 0.82079 | 1,848.84 |
| 5 | 3.73822 | 898.698 | 3.85341 | 761.059 | 3.90237 | 686.725 | 3.95403 | 780.312 | 3.93727 | 712.969 |
| 6 | 18.1189 | 264.527 | 18.5642 | 252.45 | 18.7526 | 189.403 | 18.951 | 160.582 | 18.8867 | 144.403 |
| 7 | 87.8211 | 31.1191 | 89.4349 | 15.7774 | 90.1149 | 11.2843 | 90.8289 | 14.2091 | 90.5977 | 11.1562 |
| 8 | 425.663 | 3.85780 | 430.862 | 1.68866 | 433.043 | 1.39873 | 435.327 | 1.44066 | 434.588 | 1.16212 |
| 9 | 2,063.16 | 0.28283 | 2,075.72 | 0.02515 | 2,080.97 | 0.02156 | 2,086.45 | 0.06774 | 2,084.68 | 0.04436 |
| 10 | 10,000 | 0.03582 | 10,000 | 0.01378 | 10,000 | 0.01270 | 10,000 | 0.01111 | 10,000 | 0.00926 |
| Sample Name | η0 (Pa.s) | K1 (s) | a (-) | n (-) | α (s) | β (-) | ζ (-) | A (Pa.s) |
|---|---|---|---|---|---|---|---|---|
| Virgin PP | 17,413.56 | 9.462 | 0.5252 | 0.4718 | 10.64815 | 0.011488 | 0.015880 | 1.86 × 10−16 |
| 1 h Degraded PP | 13,307.62 | 8.301 | 0.5759 | 0.4870 | 9.41753 | 0.016025 | 0.017381 | 2.00 × 10−16 |
| 3 h Degraded PP | 11,215.75 | 8.691 | 0.6462 | 0.5142 | 12.75510 | 0.022095 | 0.018715 | 2.04 × 10−16 |
| 5 h Degraded PP | 11,620.91 | 7.365 | 0.6267 | 0.4974 | 15.43329 | 0.019541 | 0.017331 | 2.08 × 10−16 |
| 7 h Degraded PP | 10,408.44 | 7.350 | 0.6651 | 0.5108 | 4.256025 | 0.004785 | 0.012814 | 2.06 × 10−16 |
| Sample Name | η0 (Pa.s) | K1 (s) | a (-) | n (-) | λ0(s) | λ0/K2 |
|---|---|---|---|---|---|---|
| Virgin PP | 17,413.56 | 9.462 | 0.5252 | 0.4718 | 462.91 | 0.844665 |
| 1 h Degraded PP | 13,307.62 | 8.301 | 0.5759 | 0.4870 | 360.32 | 0.845266 |
| 3 h Degraded PP | 11,215.75 | 8.691 | 0.6462 | 0.5142 | 413.35 | 0.845383 |
| 5 h Degraded PP | 11,620.91 | 7.365 | 0.6267 | 0.4974 | 498.83 | 0.841680 |
| 7 h Degraded PP | 10,408.44 | 7.350 | 0.6651 | 0.5108 | 257.23 | 0.840236 |
| Sample Name | η0 (Pa.s) | λ0 (s) | S0 (-) | µs/η0 (-) | n0 (-) | KS (s) | k (-) |
|---|---|---|---|---|---|---|---|
| Virgin PP | 17,413.60 | 150.933 | 2.159 | 9.955 | 1.668 | 5.102 | 0.611 |
| 1 h Degraded PP | 13,307.6 | 133.713 | 1.990 | 11.204 | 1.741 | 22.002 | 0.731 |
| 3 h Degraded PP | 11,215.75 | 158.497 | 2.476 | 12.041 | 1.447 | 5.509 | 0.650 |
| 5 h Degraded PP | 11,620.9 | 131.419 | 1.582 | 10.958 | 2.141 | 7.607 | 0.658 |
| 7 h Degraded PP | 10,408.44 | 129.008 | 2.115 | 8.567 | 1.563 | 2.344 | 0.584 |
| Sample Name | η0 (Pa.s) | λ (s) | S0 (-) | β (-) | n (-) |
|---|---|---|---|---|---|
| Virgin PP | 17,413.60 | 457.556 | 2.8812 | 0.592302 | 1 |
| 1 h Degraded PP | 13,307.6 | 406.645 | 2.93809 | 0.59207 | 1 |
| 3 h Degraded PP | 11,215.75 | 423.1135 | 2.981601 | 0.612026 | 1 |
| 5 h Degraded PP | 11,620.9 | 490.3696 | 2.898281 | 0.624356 | 1 |
| 7 h Degraded PP | 10,408.44 | 296.6814 | 2.810061 | 0.609387 | 1 |
| Model Name | ARMSE for virgin PP | ARMSE for 1 h degraded PP | ARMSE for 3 h degraded PP | ARMSE for 5 h degraded PP | ARMSE for 7 h degraded PP | ARMSE for for all tested samples |
|---|---|---|---|---|---|---|
| Generalized Newtonian model | 0.038075361 | 0.057256216 | 0.037801435 | 0.031291613 | 0.02292228 | 0.037469381 |
| Modified White-Metzner model | 0.027314726 | 0.050005197 | 0.027266301 | 0.024427789 | 0.016706735 | 0.029144150 |
| Yao model | 0.051247568 | 0.052358684 | 0.033786887 | 0.051634911 | 0.061832914 | 0.050172193 |
| Extended Yao model | 0.035187159 | 0.037493283 | 0.028874476 | 0.033933070 | 0.039698414 | 0.035037281 |
© 2016 by the authors. Licensee MDPI, Basel, Switzerland. This article is an open access article distributed under the terms and conditions of the Creative Commons Attribution (CC-BY) license ( http://creativecommons.org/licenses/by/4.0/).
Share and Cite
Drabek, J.; Zatloukal, M. Evaluation of Thermally Induced Degradation of Branched Polypropylene by Using Rheology and Different Constitutive Equations. Polymers 2016, 8, 317. https://doi.org/10.3390/polym8090317
Drabek J, Zatloukal M. Evaluation of Thermally Induced Degradation of Branched Polypropylene by Using Rheology and Different Constitutive Equations. Polymers. 2016; 8(9):317. https://doi.org/10.3390/polym8090317
Chicago/Turabian StyleDrabek, Jiri, and Martin Zatloukal. 2016. "Evaluation of Thermally Induced Degradation of Branched Polypropylene by Using Rheology and Different Constitutive Equations" Polymers 8, no. 9: 317. https://doi.org/10.3390/polym8090317
APA StyleDrabek, J., & Zatloukal, M. (2016). Evaluation of Thermally Induced Degradation of Branched Polypropylene by Using Rheology and Different Constitutive Equations. Polymers, 8(9), 317. https://doi.org/10.3390/polym8090317
