Structure Elucidation and Toxicity Analysis of the Degradation Products of Deoxynivalenol by Gaseous Ozone
Abstract
1. Introduction
2. Results and Discussion
2.1. Effect of Gaseous Ozone on DON in Ultrapure Water
2.2. Ozonation Products Analysis of DON
2.2.1. Screening of Degradation Products
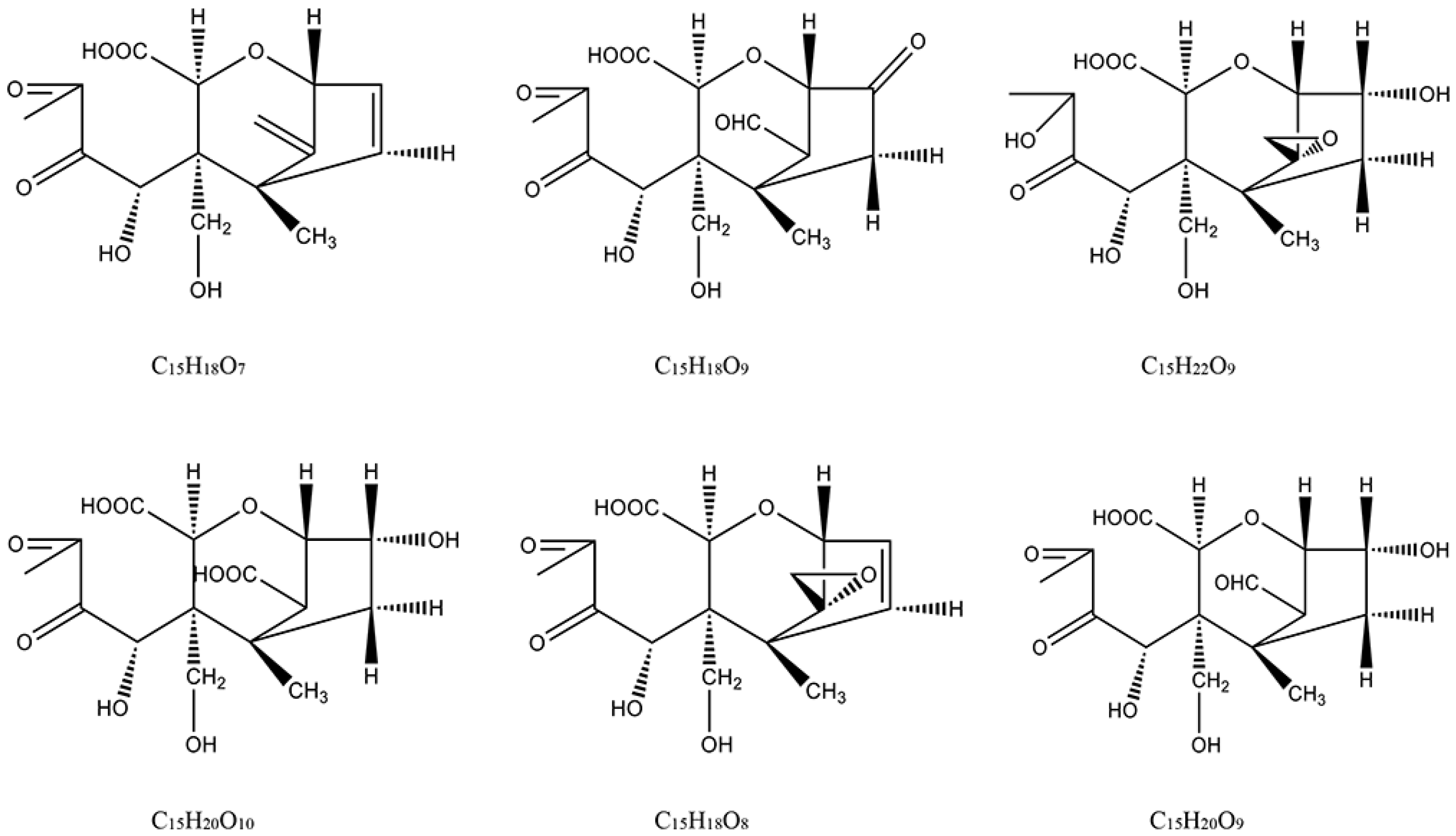
2.2.2. Structure Elucidation of Degradation Products
2.2.3. Fragmentation Pathway of the Ozonation Products
2.3. Toxicity Analysis of Degradation Products
3. Conclusions
4. Materials and Methods
4.1. Samples and Reagents
4.2. Ozonation of DON
4.3. UHPLC/APCI Q-Orbitrap Analysis
4.4. Data Analysis
Author Contributions
Funding
Acknowledgments
Conflicts of Interest
References
- Sobrova, P.; Adam, V.; Vasatkova, A.; Beklova, M.; Zeman, L.; Kizek, R. Deoxynivalenol and its toxicity. Interdiscip. Toxicol. 2010, 3, 94–99. [Google Scholar] [CrossRef] [PubMed]
- Gruber-Dorninger, C.; Jenkins, T.; Schatzmayr, G. Global Mycotoxin Occurrence in Feed: A Ten-Year Survey. Toxins 2019, 11, 375. [Google Scholar] [CrossRef] [PubMed]
- Selvaraj, J.N.; Zhao, Y.; Sangare, L.; Xing, F.; Zhou, L.; Wang, Y.; Xue, X.; Li, Y.; Liu, Y. Limited survey of deoxynivalenol in wheat from different crop rotation fields in Yangtze-Huaihe river basin region of China. Food Control 2015, 53, 151–155. [Google Scholar] [CrossRef]
- Zachariasova, M.; Dzuman, Z.; Veprikova, Z.; Hajkova, K.; Jiru, M.; Vaclavikova, M.; Zachariasova, A.; Pospichalova, M.; Florian, M.; Hajslova, J. Occurrence of multiple mycotoxins in European feeding stuffs, assessment of dietary intake by farm animals. Anim. Feed Sci. Technol. 2014, 193, 124–140. [Google Scholar] [CrossRef]
- Pestka, J.J. Deoxynivalenol: Toxicity, mechanisms and animal health risks. Anim. Feed Sci. Technol. 2007, 137, 283–298. [Google Scholar] [CrossRef]
- Ministry of Health of the People’s Republic of China. GB 2761-2011. China National Standard: Limit Standard of Mycotoxin in Food; Chinese Standard Publishing House: Beijing, China, 2011.
- Li, M.M.; Guan, E.Q.; Bian, K. Effect of ozone treatment on deoxynivalenol and quality evaluation of ozonised wheat. Food Addit. Contam. Part A 2015, 32, 544–553. [Google Scholar] [CrossRef] [PubMed]
- Liu, Y.X.; Li, M.M.; Bian, K.; Guan, E.Q.; Liu, Y.F.; Lu, Y. Reduction of Deoxynivalenol in Wheat with Superheated Steam and Its Effects on Wheat Quality. Toxins 2019, 11, 414. [Google Scholar] [CrossRef]
- Huwig, A.; Freimund, S.; Käppeli, O.; Dutler, H. Mycotoxin detoxification of animal feed by different adsorbents. Toxicol. Lett. 2001, 122, 179–188. [Google Scholar] [CrossRef]
- Pronyk, C.; Cenkowski, S.; Abramson, D. Superheated steam reduction of deoxynivalenol in naturally contaminated wheat kernels. Food Control 2006, 17, 789–796. [Google Scholar] [CrossRef]
- Samar, M.; Resnik, S.L.; González, H.H.L.; Pacin, A.M.; Castillo, M.D. Deoxynivalenol reduction during the frying process of turnover pie covers. Food Control 2007, 18, 1295–1299. [Google Scholar] [CrossRef]
- Tibola, C.S.; Fernandes, J.M.C.; Guarienti, E.M. Effect of cleaning, sorting and milling processes in wheat mycotoxin content. Food Control 2016, 60, 174–179. [Google Scholar] [CrossRef]
- Wang, G.; Wang, Y.; Ji, F.; Xu, L.; Yu, M.; Shi, J.R.; Xu, J. Biodegradation of deoxynivalenol and its derivatives by Devosia insulae A16. Food Chem. 2019, 276, 436–442. [Google Scholar] [CrossRef] [PubMed]
- Guzel-Seydim, Z.B.; Greene, A.K.; Seydim, A.C. Use of ozone in the food industry. LWT-Food Sci. Technol. 2004, 37, 453–460. [Google Scholar] [CrossRef]
- Inan, F.; Pala, M.; Doymaz, I. Use of ozone in detoxification of aflatoxin B1 in red pepper. J. Stored Prod. Res. 2007, 43, 425–429. [Google Scholar] [CrossRef]
- FDA-United States Food and Drug Administration. GRAS Status of Ozone. Fed. Regist. 1982, 47, 50209–50210. [Google Scholar]
- Wang, L.; Luo, Y.; Luo, X.H.; Wang, R.; Li, Y.; Li, Y.; Shao, H.; Chen, Z.X. Effect of deoxynivalenol detoxification by ozone treatment in wheat grains. Food Control 2016, 66, 137–144. [Google Scholar] [CrossRef]
- Young, J.C.; Zhu, H.; Zhou, T. Degradation of trichothecene mycotoxins by aqueous ozone. Food Chem. Toxicol. 2006, 44, 417–424. [Google Scholar] [CrossRef]
- Luo, X.H.; Wang, R.; Wang, L.; Wang, Y.; Chen, Z.X. Structure elucidation and toxicity analyses of the degradation products of aflatoxin B1 by aqueous ozone. Food Control 2013, 31, 331–336. [Google Scholar] [CrossRef]
- Wang, F.; Xie, F.; Xue, X.; Wang, Z.; Fan, B.; Ha, Y.M. Structure elucidation and toxicity analyses of the radiolytic products of aflatoxin B1 in methanol-water solution. J Hazard Mater. 2011, 192, 1192–1202. [Google Scholar] [CrossRef]
- Ren, Y.; Zhang, Y.; Shao, S.; Cai, Z.; Feng, L.; Pan, H.; Wang, Z. Simultaneous determination of multi-component mycotoxin contaminants in foods and feeds by ultra-performance liquid chromatography tandem mass spectrometry. J. Chromatogr. A 2007, 1143, 48–64. [Google Scholar] [CrossRef]
- Diao, E.J.; Hou, H.; Dong, H.Z. Ozonolysis mechanism and influencing factors of aflatoxin B1: A review. Trends Food Sci. Technol. 2013, 33, 21–26. [Google Scholar] [CrossRef]
- Norred, W.P.; Plattner, R.D.; Dombrink-Kurtzman, M.A.; Meredith, F.I.; Riley, R.T. Mycotoxin-Induced Elevation of Free Sphingoid Bases in Precision-Cut Rat Liver Slices: Specificity of the Response and Structure-Activity Relationship. Toxicol. Appl. Pharmacol. 1997, 147, 63–70. [Google Scholar] [CrossRef] [PubMed][Green Version]
- Prouillac, C.; Koraichi, F.; Videmann, B.; Mazallon, M.; Rodriguez, F.; Baltas, M.; Lecoeur, S. In vitro toxicological effects of estrogenic mycotoxins on human placental cells: Structure activity relationships. Toxicol. Appl. Pharmacol. 2012, 259, 366–375. [Google Scholar] [CrossRef] [PubMed]
- Shier, W.T.; Shier, A.C.; Xie, W.; Mirocha, C.J. Structure-activity relationships for human estrogenic activity in zearalenone mycotoxins. Toxicon 2001, 39, 1435–1438. [Google Scholar] [CrossRef]
- He, J.; Zhou, T.; Young, J.C.; Boland, G.J.; Scott, P.M. Chemical and biological transformations for detoxification of trichothecene mycotoxins in human and animal food chains: A review. Trends Food Sci. Technol. 2010, 21, 67–76. [Google Scholar] [CrossRef]
- Bryla, M.; Waskiewicz, A.; Ksieniewicz-Wozniak, E.; Szymczyk, K.; Jedrzejczak, R. Modified Fusarium Mycotoxins in Cereals and Their Products-Metabolism, Occurrence, and Toxicity: An Updated Review. Molecules 2018, 23, 963. [Google Scholar] [CrossRef] [PubMed]
- Betina, V. Structure-activity relationships among mycotoxins. Chem. Biol. Interact. 1989, 71, 105–146. [Google Scholar] [CrossRef]
- Sundstol Eriksen, G.; Pettersson, H.; Lundh, T. Comparative cytotoxicity of deoxynivalenol, nivalenol, their acetylated derivatives and de-epoxy metabolites. Food Chem. Toxicol. 2004, 42, 619–624. [Google Scholar] [CrossRef] [PubMed]
- Dellafiora, L.; Galaverna, G.; Dall’Asta, C. In silico analysis sheds light on the structural basis underlying the ribotoxicity of trichothecenes—A tool for supporting the hazard identification process. Toxicol. Lett. 2017, 270, 80–87. [Google Scholar] [CrossRef]







| Ozone Concentration (mg L−1) | Concentration of DON (μg mL−1) | Degradation Rate of DON (%) |
|---|---|---|
| 0 | 1.98 ± 0.02 | 0 |
| 1 | 1.55 ± 0.06 | 21.94 |
| 2 | 1.03 ± 0.14 | 47.96 |
| 4 | 0.21 ± 0.04 | 89.56 |
| 8 | 0.09 ± 0.01 | 95.68 |
| Retention Time (min) | Elemental Composition | Experimental Mass (m/z) | Theoretical Mass (m/z) | Error (ppm) | Degree of Unsaturation |
|---|---|---|---|---|---|
| 4.31 | C15H18O7 | 311.11209 | 311.11253 | −1.41 | 7 |
| 4.54 | C14H16O6 | 281.10159 | 281.10196 | −1.32 | 7 |
| 4.67 | C15H20O7 | 313.12738 | 313.12818 | −2.55 | 6 |
| 4.74 | C15H18O9 | 325.09128* | 325.09179* | −1.59 | 7 |
| 5.27 | C15H22O9 | 329.12253* | 329.12309* | −1.72 | 5 |
| 5.68 | C15H20O10 | 343.10199* | 343.10236* | −1.07 | 6 |
| 5.87 | C15H20O10 | 343.10178* | 343.10236* | −1.70 | 6 |
| 6.49 | C15H18O8 | 327.10687 | 327.10744 | −1.75 | 7 |
| 7.00 | C15H20O9 | 327.10678* | 327.10744* | −2.03 | 6 |
| 8.46 | C14H18O7 | 281.10168* | 281.10196* | −1.14 | 6 |
| Serial Number | Exact Mass | Formula | Experimental Mass (m/z) | Theoretical Mass (m/z) | Retention Time Reproducibility |
|---|---|---|---|---|---|
| A | 310.10526 | C15H18O7 | 311.11209 | 311.11253 | 4.32 ± 0.02 |
| B | 342.09509 | C15H18O9 | 325.09131* | 325.09179* | 4.73 ± 0.01 |
| C | 346.12639 | C15H22O9 | 329.12253* | 329.12309* | 5.27 ± 0.01 |
| D | 360.10565 | C15H20O10 | 343.10178* | 343.10236* | 5.88 ± 0.01 |
| E | 326.10017 | C15H18O8 | 327.10690 | 327.10744 | 6.48 ± 0.01 |
| F | 344.11074 | C15H20O9 | 327.10687* | 327.10744* | 7.01 ± 0.02 |
| Retention Time (min) | Formula | Experimental Mass (m/z) | Theoretical Mass (m/z) | Error (ppm) | Loss Formula |
|---|---|---|---|---|---|
| 4.32 | C15H18O7 | 311.11206 | 311.11253 | −1.51 | |
| C15H16O6 | 293.10150 | 293.10196 | −1.58 | H2O | |
| C14H16O5 | 265.10663 | 265.10705 | −1.59 | CH2O2 | |
| C12H12O4 | 221.08052 | 221.08084 | −1.42 | C3H6O3 | |
| C12H10O3 | 203.06995 | 203.07027 | −1.60 | C3H8O4 | |
| C11H10O3 | 191.06978 | 191.07027 | −2.58 | C4H8O4 | |
| 4.73 | C15H18O9 | 325.09134* | 325.09179* | −1.40 | |
| C14H16O8 | 295.08102* | 295.08123* | −0.70 | CH2O | |
| C13H14O7 | 265.07022* | 265.07066* | −1.67 | C2H4O2 | |
| C12H12O6 | 235.05975* | 235.06010* | −1.47 | C3H6O3 | |
| C11H12O5 | 207.06506* | 207.06519* | −0.59 | C4H6O4 | |
| C8H10O6 | 185.04431* | 185.04445* | −0.75 | C7H8O3 | |
| 5.27 | C15H22O9 | 329.12262* | 329.12309* | −1.44 | |
| C15H20O8 | 311.11206* | 311.11253* | −1.51 | H2O | |
| C14H20O7 | 283.11719* | 283.11761* | −1.51 | CH2O | |
| C14H18O6 | 265.10675* | 265.10705* | −1.13 | CH4O3 | |
| C12H14O6 | 237.07533* | 237.07575* | −1.76 | C3H8O3 | |
| C10H14O4 | 181.08572* | 181.08592* | −1.09 | C5H8O5 | |
| 5.88 | C15H20O10 | 343.10208* | 343.10236* | −0.81 | |
| C15H18O9 | 325.09167* | 325.09179* | −0.37 | H2O | |
| C14H18O9 | 313.09113* | 313.09179* | −2.13 | CH2O | |
| C14H16O8 | 295.08063* | 295.08123* | −2.04 | CH4O2 | |
| C13H16O8 | 283.08102* | 283.08123* | −0.72 | C2H4O2 | |
| C13H16O7 | 267.08588* | 267.08631* | −1.64 | C2H4O3 | |
| 6.48 | C15H18O8 | 327.10693 | 327.10744 | −1.56 | |
| C14H18O7 | 299.11240 | 299.11253 | −0.45 | CO | |
| C14H16O6 | 281.10162 | 281.10196 | −1.21 | CH2O2 | |
| C13H14O6 | 267.08606 | 267.08631 | −0.96 | C2H4O2 | |
| C12H12O4 | 221.08058 | 221.08084 | −1.15 | C3H6O4 | |
| C11H12O4 | 209.08034 | 209.08084 | −2.38 | C4H6O4 | |
| 7.01 | C15H20O9 | 327.10706* | 327.10744* | −1.19 | |
| C14H20O8 | 299.11215* | 299.11253* | −1.26 | CO | |
| C14H18O7 | 281.10162* | 281.10196* | −1.21 | CH2O2 | |
| C13H16O7 | 267.08728* | 267.08631* | 3.62 | C2H4O2 | |
| C13H14O6 | 249.07561* | 249.07575* | −0.57 | C2H6O3 | |
| C11H14O5 | 209.08031* | 209.08084* | −2.53 | C4H6O4 |
| Gradient Profile and Flow Rate of UHPLC | |||
| Total Time (min) | Flow Rate (μL/min) | A (%) | B (%) |
| 0 | 300 | 95 | 5 |
| 12 | 300 | 70 | 30 |
| 20 | 300 | 10 | 90 |
| 20.1 | 300 | 95 | 5 |
| 25 | 300 | 95 | 5 |
| Q-Exactive Parameters | |||
| sheath gas flow rate | 35 | ||
| auxiliary gas flow rate | 10 | ||
| sweep gas flow rate | 0 | ||
| corona current (μA) | 10 | ||
| capillary temperature (°C) | 300 | ||
| s-lens level | 55.0 | ||
| heater temperature (°C) | 300 | ||
| scan range (m/z) | 150–600 | ||
| resolution (± Full scan) | 70,000 | ||
| resolution (dd-MS2) | 17,500 | ||
| NCE | 15 | ||
© 2019 by the authors. Licensee MDPI, Basel, Switzerland. This article is an open access article distributed under the terms and conditions of the Creative Commons Attribution (CC BY) license (http://creativecommons.org/licenses/by/4.0/).
Share and Cite
Li, M.; Guan, E.; Bian, K. Structure Elucidation and Toxicity Analysis of the Degradation Products of Deoxynivalenol by Gaseous Ozone. Toxins 2019, 11, 474. https://doi.org/10.3390/toxins11080474
Li M, Guan E, Bian K. Structure Elucidation and Toxicity Analysis of the Degradation Products of Deoxynivalenol by Gaseous Ozone. Toxins. 2019; 11(8):474. https://doi.org/10.3390/toxins11080474
Chicago/Turabian StyleLi, Mengmeng, Erqi Guan, and Ke Bian. 2019. "Structure Elucidation and Toxicity Analysis of the Degradation Products of Deoxynivalenol by Gaseous Ozone" Toxins 11, no. 8: 474. https://doi.org/10.3390/toxins11080474
APA StyleLi, M., Guan, E., & Bian, K. (2019). Structure Elucidation and Toxicity Analysis of the Degradation Products of Deoxynivalenol by Gaseous Ozone. Toxins, 11(8), 474. https://doi.org/10.3390/toxins11080474
