Land Cover Change in the Andes of Southern Ecuador—Patterns and Drivers
Abstract
:1. Introduction
2. Study Area
2.1. Geographical Setting

2.2. Land Use

3. Methods
3.1. Pre-Processing of Landsat Scenes
| Date | Satellite | Sensor | Spatial Resolution (m) | Spectral Bands | Cloud Cover (%) |
|---|---|---|---|---|---|
| 28 December 1975 | Landsat 2 | MSS | 60 | 2 visible, NIR | 7.9 |
| 19 December 1980 | Landsat 2 | MSS | 60 | 2 visible, NIR | 12.0 |
| 26 March 1987 | Landsat 5 | TM | 30 | 3 visible, 2 NIR, MIR | 24.1 |
| 31 October 2000 | Landsat 7 | ETM+ | 30 | 3 visible, 2 NIR, MIR | 41.1 |
| 3 November 2001 | Landsat 7 | ETM+ | 30 | 3 visible, 2 NIR, MIR | 0.0 |
3.1.1. Co-Registration
3.1.2. Masking Clouds and Cloud-Shadows
| DN Brightness Range | Buffer (Pixels) | |||||
|---|---|---|---|---|---|---|
| Scene | Band 1 (or 4) | Band 6 | Mask Band 1 (or 4) | Mask Band 6 | Cloud Mask | Cloud Mask + Cloud-Shadow Mask |
| 1975 | 29–127 | 2 | 2 | 10 | ||
| 1987 | 83–256 | 91–256 | 3 | 4 | 2 | 4 |
| 2000 | 87–256 | 82–256 | 6 | 4 | 3 | 10 |
3.1.3. Atmospheric and Topographic Correction

| 1975 | 1980 | 1987 | 2000 | 2001 | ||||||
|---|---|---|---|---|---|---|---|---|---|---|
| Tot. column Ozone (Dobson Unit) | NA | 250 | 243 | 240 | 265 | |||||
| Visibility (km) | 30.56 | 30.56 | 31.25 | 34.45 | 35.58 | |||||
| Air temp. | Spec. hum. | Air temp. | Spec. hum. | Air Temp. | Spec. hum. | Air temp. | Spec. hum. | Air Temp. | Spec. hum. | |
| Pressure level (Pa) | (K) | (K) | (K) | (K) | (K) | |||||
| 1000 | 296.2 | 0.01378 | 296.7 | 0.01492 | 300.1 | 0.01998 | 295.8 | 0.01282 | 295.8 | 0.01247 |
| 925 | 291.8 | 0.01131 | 292.3 | 0.01226 | 296.0 | 0.01679 | 292.3 | 0.01115 | 292.4 | 0.01088 |
| 850 | 288.1 | 0.00987 | 288.5 | 0.01170 | 291.1 | 0.01373 | 288.8 | 0.01020 | 288.8 | 0.01067 |
| 700 | 281.0 | 0.00672 | 281.6 | 0.00827 | 281.9 | 0.00730 | 280.9 | 0.00834 | 282.9 | 0.00447 |
| 600 | 274.1 | 0.00539 | 274.5 | 0.00348 | 276.5 | 0.00391 | 275.6 | 0.00396 | 277.1 | 0.00192 |
| 500 | 266.2 | 0.00280 | 267.7 | 0.00283 | 268.8 | 0.00229 | 268.4 | 0.00074 | 268.4 | 0.00085 |
| 400 | 255.8 | 0.00003 | 259.4 | 0.00011 | 258.2 | 0.00164 | 257.9 | 0.00012 | 257.6 | 0.00033 |
| 300 | 239.4 | 0.00043 | 241.5 | 0.00017 | 243.4 | 0.00050 | 242.0 | 0.00003 | 240.7 | 0.00003 |
| 250 | 229.8 | NA | 231.7 | NA | 232.9 | NA | 232.4 | NA | 231.2 | NA |
| 200 | 218.7 | NA | 222.2 | NA | 221.7 | NA | 220.0 | NA | 221.4 | NA |
| 150 | 205.6 | NA | 207.2 | NA | 207.6 | NA | 205.3 | NA | 208.5 | NA |
| 100 | 194.6 | NA | 198.4 | NA | 194.2 | NA | 194.3 | NA | 194.5 | NA |
| 70 | 200.1 | NA | 199.2 | NA | 195.2 | NA | 196.0 | NA | 198.8 | NA |
| 50 | 210.4 | NA | 207.6 | NA | 203.7 | NA | 206.1 | NA | 208.1 | NA |
| 30 | 216.6 | NA | 215.0 | NA | 216.6 | NA | 209.9 | NA | 214.4 | NA |
| 20 | 221.7 | NA | 222.1 | NA | 222.0 | NA | 217.1 | NA | 221.0 | NA |
| 10 | 229.2 | NA | 230.7 | NA | 235.8 | NA | 234.8 | NA | 235.0 | NA |
3.1.4. Radiometric Intercalibration
| Land Cover Class | Description |
|---|---|
| Forest | All primary and secondary forest types |
| Pasture | Mainly Setaria sphacelata, Melinis minutiflora, Axonopus compressus, Pennisetum clandestinum, and Holcus lanatus |
| Bracken fern | Bracken fern and a mixture of other pioneer species |
| Non-vegetated | Roads, buildings, landslides, and bare soil |
| Water | Lakes and rivers |
| Burnt | Areas affected by a recent burning event |
| Mask | Clouds, cloud-shadows, and areas covered by subpáramo vegetation |

3.2. Land Cover Classification
3.3. Quantification of Land Cover Change and Habitat Fragmentation
3.4. Analysis of Land Cover Change in Relation to Distance from Roads, Altitude, and Slope
4. Results and Discussion
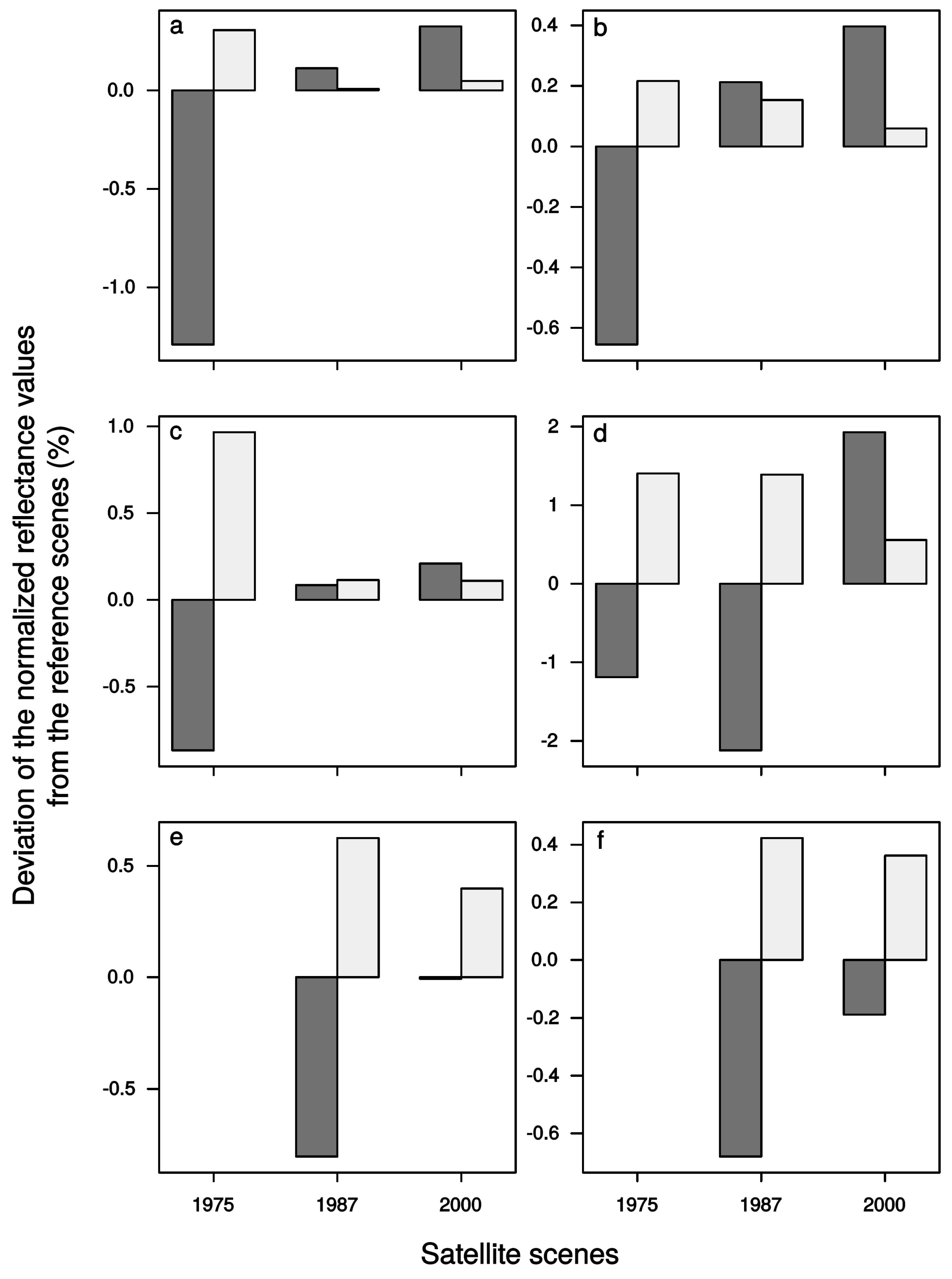
4.1. AtToCor


4.2. Accuracy Assessment of Land Cover Classification
| Forest | Pasture/Bracken | Pasture | Bracken | Burnt | Non-vegetated | ∑ | Accu | |
|---|---|---|---|---|---|---|---|---|
| 1975 | ||||||||
| Forest | 1546 | 26 | 52 | 1624 | 95.2 | |||
| Pasture/Bracken | 0 | 102 | 2 | 104 | 98.1 | |||
| Non-vegetated | 0 | 19 | 59 | 78 | 75.6 | |||
| ∑ | 1546 | 147 | 113 | 1806 | ||||
| Accp | 100 | 69.4 | 52.2 | 94.5 | ||||
| Kappa = 0.75 | ||||||||
| 1980 | ||||||||
| Forest | 640 | 13 | 0 | 653 | 98.0 | |||
| Pasture/Bracken | 0 | 352 | 6 | 358 | 98.3 | |||
| Non-vegetated | 0 | 31 | 245 | 276 | 88.7 | |||
| ∑ | 640 | 396 | 251 | 1287 | ||||
| Accp | 100 | 88.9 | 97.6 | 96.1 | ||||
| Kappa = 0.94 | ||||||||
| 1987 | ||||||||
| Forest | 617 | 0 | 0 | 1 | 0 | 618 | 99.8 | |
| Pasture | 0 | 100 | 0 | 0 | 2 | 102 | 98.0 | |
| Bracken | 0 | 0 | 86 | 38 | 0 | 124 | 69.4 | |
| Burnt | 0 | 0 | 0 | 13 | 0 | 13 | 100 | |
| Non-vegetated | 0 | 0 | 0 | 0 | 66 | 66 | 100 | |
| ∑ | 617 | 100 | 86 | 52 | 68 | 923 | ||
| Accp | 100 | 100 | 100 | 25.0 | 97.1 | 95.6 | ||
| Kappa = 0.92 | ||||||||
| 2000 | ||||||||
| Forest | 593 | 0 | 0 | 0 | 0 | 593 | 100 | |
| Pasture | 8 | 112 | 0 | 0 | 5 | 125 | 89.6 | |
| Bracken | 0 | 0 | 123 | 2 | 0 | 125 | 98.4 | |
| Burnt | 0 | 0 | 0 | 70 | 0 | 70 | 100 | |
| Non-vegetated | 0 | 0 | 0 | 0 | 90 | 90 | 100 | |
| ∑ | 601 | 112 | 123 | 72 | 95 | 1003 | ||
| Accp | 98.7 | 100 | 100 | 97.2 | 94.7 | 98.5 | ||
| Kappa = 0.98 | ||||||||
| 2001 | ||||||||
| Forest | 444 | 1 | 0 | 0 | 0 | 445 | 99.8 | |
| Pasture | 0 | 195 | 0 | 0 | 0 | 195 | 100 | |
| Bracken | 0 | 0 | 169 | 22 | 1 | 192 | 88.0 | |
| Burnt | 0 | 0 | 0 | 222 | 0 | 222 | 100 | |
| Non-vegetated | 0 | 0 | 0 | 0 | 139 | 139 | 100 | |
| ∑ | 444 | 196 | 169 | 244 | 140 | 1193 | ||
| Accp | 100 | 99.5 | 100 | 91.0 | 99.3 | 98.0 | ||
| Kappa = 0.97 |
4.3. Land Cover Change and Habitat Fragmentation
| 1975 | 1980 | 1987 | 2000 | 2001 | ||||||
|---|---|---|---|---|---|---|---|---|---|---|
| Annual Deforestation Rate (%) | 1.5 | 1.4 | 0.8 | 7.5 | ||||||
| Ha | % | Ha | % | Ha | % | Ha | % | Ha | % | |
| Forest | 28,617 | 88.5 | 26,586 | 82.2 | 24,084 | 74.4 | 21,611 | 66.8 | 19,980 | 61.8 |
| Pasture | 3110 | 9.6 | 4873 | 15.1 | 5627 | 17.4 | 6895 | 21.3 | 7473 | 23.1 |
| Bracken | 1865 | 5.8 | 2943 | 9.1 | 3017 | 9.3 | ||||
| Burnt | 626 | 2 | 894 | 2.8 | 2 | 0.0 | 74 | 0.2 | 892 | 2.8 |
| Non-vegetated | 754 | 2.3 | 809 | 2.5 | 970 | 3.0 | ||||

| 1980 | Forest | Pasture/Bracken | Non-Vegetated | |||
| 1975 | Forest | 94 | 4.8 | 1.2 | ||
| Pasture/Bracken | 8.2 | 87.2 | 4.6 | |||
| Non-vegetated | 12.4 | 37.7 | 49.9 | |||
| 1987 | Forest | Pasture | Bracken | Burnt | Non-Vegetated | |
| 1980 | Forest | 90.2 | 5.8 | 3.1 | 0 | 0.9 |
| Pasture/Bracken | 13.3 | 71.1 | 12.5 | 0 | 3.1 | |
| Non-vegetated | 13.8 | 23.6 | 20.3 | 0 | 42.3 | |
| 2000 | Forest | Pasture | Bracken | Burnt | Non-Vegetated | |
| 1987 | Forest | 86.3 | 8.1 | 4.7 | 0.3 | 0.6 |
| Pasture | 8.8 | 74.8 | 13 | 0 | 3.4 | |
| Bracken | 18 | 29.1 | 50.7 | 0.3 | 1.9 | |
| Burnt | 87 | 0 | 13 | 0 | 0 | |
| Non-vegetated | 17.6 | 16.9 | 13.8 | 0 | 51.7 | |
| 2001 | Forest | Pasture | Bracken | Burnt | Non-Vegetated | |
| 2000 | Forest | 89.6 | 2.9 | 3.5 | 3.7 | 0.3 |
| Pasture | 7.1 | 85.2 | 5.6 | 0 | 2.1 | |
| Bracken | 8.9 | 26.4 | 61 | 1.7 | 2 | |
| Burnt | 1.1 | 3.1 | 34.6 | 61.1 | 0.1 | |
| Non-vegetated | 3.8 | 8.5 | 2.9 | 0 | 84.8 |


4.4. Land Cover Change in Relation to Distance from Roads, Altitude, and Slope


4.5. Potential Deforestation Drivers

4.5.1. Precipitation during the Dry Season
4.5.2. Rural Population Dynamics
4.5.3. Socioeconomic and Political Factors
5. Conclusions
Acknowledgments
Author Contributions
Conflicts of Interest
References
- Foley, J.A.; DeFries, R.; Asner, G.P.; Barford, C.; Bonan, G.; Carpenter, S.R.; Chapin, F.S.; Coe, M.T.; Daily, G.C.; Gibbs, H.K.; et al. Global consequences of land use. Science 2005, 309, 570–574. [Google Scholar] [CrossRef] [PubMed]
- Myers, N.; Mittermeier, R.A.; Mittermeier, C.G.; da Fonesca, G.A.B.; Kent, J. Biodiversity hotspots for conservation priorities. Nature 2000, 403, 853–858. [Google Scholar] [CrossRef] [PubMed]
- Asner, G.P.; Loarie, S.R.; Heyder, U. Combined effects of climate and land-use change on the future of humid tropical forests. Conserv. Lett. 2010, 3, 395–403. [Google Scholar] [CrossRef]
- Hansen, M.C.; Potapov, P.V; Moore, R.; Hancher, M.; Turubanova, S.A.; Tyukavina, A.; Thau, D.; Stehman, S.V; Goetz, S.J.; Loveland, T.R.; et al. High-resolution global maps of 21st-century forest cover change. Science 2013, 342, 850–853. [Google Scholar] [CrossRef] [PubMed]
- Sierra, R.; Stallings, J. The dynamics and social organization of tropical deforestation in northwest Ecuador, 1983–1995. Hum. Ecol. 1998, 26, 135–161. [Google Scholar] [CrossRef]
- Grau, H.R.; Aide, M. Globalization and land-use transitions in Latin America. Ecol. Soc. 2008, 13, 16. [Google Scholar]
- Lambin, E.F.; Meyfroidt, P. Land use transitions: Socio-ecological feedback versus socio-economic change. Land Use Policy 2010, 27, 108–118. [Google Scholar] [CrossRef]
- Sierra, R. The role of domestic timber markets in tropical deforestation and forest degradation in Ecuador: Implications for conservation planning and policy. Ecol. Econ. 2001, 36, 327–340. [Google Scholar] [CrossRef]
- Southgate, D.; Sierra, R.; Brown, L. The causes of tropical deforestation in Ecuador: A statistical analysis. World Develp. 1991, 19, 1145–1151. [Google Scholar] [CrossRef]
- Pichón, F. Settler households and land-use patterns in the Amazon frontier: Farm-level evidence from Ecuador. World Develop. 1997, 25, 67–91. [Google Scholar] [CrossRef]
- Sierra, R. Dynamics and patterns of deforestation in the western Amazon: The Napo deforestation front, 1986–1996. Appl. Geogr. 2000, 20, 1–16. [Google Scholar] [CrossRef]
- Messina, J.; Walsh, S. 2.5 D Morphogenesis: Modeling land use and land cover dynamics in the Ecuadorian Amazon. Plant Ecol. 2001, 156, 75–88. [Google Scholar] [CrossRef]
- Pan, W.K.Y.; Walsh, S.J.; Bilsborrow, R.E.; Frizzelle, B.G.; Erlien, C.M.; Baquero, F. Farm-level models of spatial patterns of land use and land cover dynamics in the Ecuadorian Amazon. Agr. Ecosyst. Environ. 2004, 101, 117–134. [Google Scholar] [CrossRef]
- Viña, A.; Echavarria, F.R.; Rundquist, D.C. Satellite change detection analysis of deforestation rates and patterns along the Colombia-Ecuador border. Ambio 2004, 33, 118–125. [Google Scholar] [PubMed]
- Pan, W.K.Y.; Bilsborrow, R.E. The use of a multilevel statistical model to analyze factors influencing land use: A study of the Ecuadorian Amazon. Global Planet Change 2005, 47, 232–252. [Google Scholar] [CrossRef]
- Mena, C.F.; Bilsborrow, R.E.; McClain, M.E. Socioeconomic drivers of deforestation in the Northern Ecuadorian Amazon. Environ. Manag. 2006, 37, 802–815. [Google Scholar] [CrossRef]
- Messina, J.P.; Walsh, S.J.; Mena, C.F.; Delamater, P.L. Land tenure and deforestation patterns in the Ecuadorian Amazon: Conflicts in land conservation in frontier settings. Appl. Geogr. 2006, 26, 113–128. [Google Scholar] [CrossRef]
- Messina, J.P.; Cochrane, M.A. The forests are bleeding: How land use change is creating a new fire regime in the Ecuadorian Amazon. J. Lat. Am. Geogr. 2007, 6, 85–100. [Google Scholar] [CrossRef]
- López, S.; Sierra, R. Agricultural change in the Pastaza River Basin: A spatially explicit model of native Amazonian cultivation. Appl. Geogr. 2010, 30, 355–369. [Google Scholar] [CrossRef]
- Mena, C.F.; Walsh, S.J.; Frizzelle, B.G.; Xiaozheng, Y.; Malanson, G.P. Land use change on household farms in the Ecuadorian Amazon: Design and implementation of an agent-based model. Appl. Geogr. 2011, 31, 210–222. [Google Scholar] [CrossRef] [PubMed]
- López, S.; Beard, R.; Sierra, R. Landscape change in western Amazonia. Geogr. Rev. 2013, 103, 37–58. [Google Scholar] [CrossRef]
- Holland, M.B.; de Koning, F.; Morales, M.; Naughton-Treves, L.; Robinson, B.E.; Suárez, L. Complex tenure and deforestation: Implications for conservation incentives in the Ecuadorian Amazon. World Develp. 2014, 55, 21–36. [Google Scholar] [CrossRef]
- Sierra, R. Traditional resource-use systems and tropical deforestation in a multi-ethnic region in North-West Ecuador. Environ. Conserv. 1999, 26, 136–145. [Google Scholar] [CrossRef]
- López, S.; Sierra, R.; Tirado, M. Tropical deforestation in the Ecuadorian Chocó: Logging practices and socio-spatial relationships. Geogr. Bull. 2010, 51, 3–22. [Google Scholar]
- Colby, J.D.; Keating, P.L. Land cover classification using Landsat TM imagery in the tropical highlands: The influence of anisotropic reflectance. Int. J. Remote Sens. 1998, 19, 1479–1500. [Google Scholar] [CrossRef]
- Conese, C.; Maselli, F. Use of multitemporal information to improve classification performance of TM scenes in complex terrain. ISPRS J. Photogramm. Remote Sens. 1991, 46, 187–197. [Google Scholar] [CrossRef]
- Martinuzzi, S.; Gould, W.A.; Ramos González, O.M. Creating Cloud-Free Landsat ETM+ Data Sets in Tropical Landscapes: Cloud and Cloud-Shadow Removal; General Technical Report IITF-GTR-32; USDA: Washington, DC, USA, February 2007. [Google Scholar]
- Elmahboub, W.; Scarpace, F.; Smith, B. A highly accurate classification of TM data through correction of atmospheric effects. Remote Sens. 2009, 1, 278–299. [Google Scholar] [CrossRef]
- Richter, R.; Kellenberger, T.; Kaufmann, H. Comparison of topographic correction methods. Remote Sens. 2009, 1, 184–196. [Google Scholar] [CrossRef]
- Ediriweera, S.; Pathirana, S.; Danaher, T.; Nichols, D.; Moffiet, T. Evaluation of different topographic corrections for Landsat TM data by prediction of foliage projective cover (FPC) in topographically complex landscapes. Remote Sens. 2013, 5, 6767–6789. [Google Scholar] [CrossRef]
- Vanonckelen, S.; Lhermitte, S.; van Rompaey, A. The effect of atmospheric and topographic correction methods on land cover classification accuracy. Int. J. Appl. Earth Obs. Geoinf. 2013, 24, 9–21. [Google Scholar] [CrossRef]
- Vanonckelen, S.; Lhermitte, S.; Balthazar, V.; Van Rompaey, A. Performance of atmospheric and topographic correction methods on Landsat imagery in mountain areas. Int. J. Remote Sens. 2014, 35, 4952–4972. [Google Scholar] [CrossRef]
- Jokisch, B.D.; Lair, B.M. One last stand? Forests and change on Ecuador’s eastern Cordillera. Geogr. Rev. 2002, 92, 235–256. [Google Scholar] [CrossRef]
- Pohle, P.; Gerique, A. Traditional ecological knowledge and biodiversity management in the Andes of southern Ecuador. Geogr. Helv. 2006, 4, 275–285. [Google Scholar] [CrossRef]
- Göttlicher, D.; Obregón, A.; Homeier, J.; Rollenbeck, R.; Nauss, T.; Bendix, J. Land cover classification in the Andes of southern Ecuador using Landsat ETM+ data as a basis for SVAT modelling. Int. J. Remote Sens. 2009, 30, 1867–1886. [Google Scholar] [CrossRef]
- Pohle, P.; Gerique, A.; Park, M.; López Sandoval, M.F. Human ecological dimensions in sustainable utilization and conservation of tropical mountain rain forests under global change in southern Ecuador. In Tropical Rainforests and Agroforests under Climate Change: Ecological and Socio-econimic Valuations; Tscharntke, T., Leuschner, C., Veldkamp, E., Faust, H., Guhardja, E., Bindin, A., Eds.; Springer: Berlin/Heidelberg, Germany, 2010; pp. 477–509. [Google Scholar]
- Gerique, A. Biodiversity as a Resource: Plant Use and Land Use Among the Shuar, Saraguros, and Mestizos in Tropical Rainforest Areas of Southern Ecuador. Ph.D. Thesis, University of Erlangen-Nürnberg, Erlangen, Germany, September 2011. [Google Scholar]
- Bendix, J.; Beck, E.; Bräuning, A.; Makeschin, F.; Mosandl, R.; Scheu, S.; Wilcke, W. Ecosystem Services, Biodiversity, and Environmental Change in a Tropical Mountain Ecosystem of South. Ecuador; Springer: Berlin-Heidelberg, Germany, 2013. [Google Scholar]
- Curatola Fernández, G.F.; Silva, B.; Gawlik, J.; Thies, B.; Bendix, J. Bracken fern frond status classification in the Andes of southern Ecuador: Combining multispectral satellite data and field spectroscopy. Int. J. Remote Sens. 2013, 34, 7020–7037. [Google Scholar] [CrossRef]
- Beck, E.; Bendix, J.; Kottke, I.; Makeschin, F.; Mosandl, R. Gradients in a Tropical Mountain Ecosystem of Ecuador; Springer: Berlin/Heidelberg, Germany, 2008. [Google Scholar]
- Goerner, A.; Gloaguen, R.; Makeschin, F. Monitoring of the Ecuadorian mountain rainforest with remote sensing. J. Appl. Remote Sens. 2007, 1, 013527. [Google Scholar] [CrossRef]
- Thies, B.; Meyer, H.; Nauss, T.; Bendix, J. Projecting land-use and land-cover changes in a tropical mountain forest of Southern Ecuador. J. Land Use Sci. 2012, 9, 1–33. [Google Scholar] [CrossRef]
- Pohle, P.; Gerique, A.; López Sandoval, M.F. Current provisioning ecosystem services for the local population: Landscape transformation, land use, and plant use. In Ecosystem Services, Biodiversity, and Environmental Change in a Tropical Mountain Ecosystem of South Ecuador; Bendix, J., Beck, E., Bräuning, A., Makeschin, F., Mosandl, R., Scheu, S., Wilcke, W., Eds.; Springer: Berlin/Heidelberg, Germany, 2013; pp. 219–234. [Google Scholar]
- Hartig, K.; Beck, E. The bracken fern (Pteridium arachnoideum (Kaulf.) Maxon) dilemma in the Andes of Southern Ecuador. Ecotropica 2003, 9, 3–13. [Google Scholar]
- Beck, E. Forest clearing by slash and burn. In Gradients in a Tropical Mountain Ecosystem of Ecuador; Beck, E., Bendix, J., Kottke, I., Makeschin, F., Mosandl, R., Eds.; Springer: Berlin/Heidelberg, Germany, 2008; pp. 371–374. [Google Scholar]
- Potthast, K.; Hamer, U.; Makeschin, F. Impact of litter quality on mineralization processes in managed and abandoned pasture soils in southern Ecuador. Soil Biol. Biochem. 2010, 42, 56–64. [Google Scholar] [CrossRef]
- Knoke, T.; Bendix, J.; Pohle, P.; Hamer, U.; Hildebrandt, P.; Roos, K.; Gerique, A.; López Sandoval, M.F.; Breuer, L.; Tischer, A.; et al. Afforestation or intense pasturing improve the ecological and economic value of abandoned tropical farmlands. Nat. Commun. 2014, 5, 1–12. [Google Scholar] [CrossRef]
- Knoke, T.; Weber, M.; Barkmann, J.; Pohle, P.; Calvas, B.; Medina, C.; Aguirre, N.; Günter, S.; Stimm, B.; Mosandl, R.; et al. Effectiveness and distributional impacts of payments for reduced carbon emissions from deforestation. Erdkunde 2009, 63, 365–384. [Google Scholar] [CrossRef]
- Lu, D.; Batistella, M.; Moran, E. Multitemporal spectral mixture analysis for Amazonian land-cover change detection. Can. J. Remote Sens. 2004, 30, 87–100. [Google Scholar] [CrossRef]
- Wondie, M.; Schneider, W.; Melesse, A.M.; Teketay, D. Spatial and temporal land cover changes in the Simen Mountains National Park, a world heritage site in northwestern Ethiopia. Remote Sens. 2011, 3, 752–766. [Google Scholar] [CrossRef]
- Souza, C.M., Jr.; Siqueira, J.V.; Sales, M.H.; Fonseca, A.V.; Ribeiro, J.G.; Numata, I.; Cochrane, M.A.; Barber, C.P.; Roberts, D.A.; Barlow, J. Ten-year Landsat classification of deforestation and forest degradation in the Brazilian Amazon. Remote Sens. 2013, 5, 5493–5513. [Google Scholar] [CrossRef]
- Tian, Y.; Yin, K.; Lu, D.; Hua, L.; Zhao, Q.; Wen, M. Examining land use and land cover spatiotemporal change and driving forces in Beijing from 1978 to 2010. Remote Sens. 2014, 6, 10593–10611. [Google Scholar] [CrossRef]
- Vittek, M.; Brink, A.; Donnay, F.; Simonetti, D.; Desclée, B. Land cover change monitoring using Landsat MSS/TM satellite image data over West Africa between 1975 and 1990. Remote Sens. 2014, 6, 658–676. [Google Scholar] [CrossRef]
- Lambin, E.F.; Turner, B.L.; Geist, H.J.; Agbola, S.B.; Angelsen, A.; Bruce, J.W.; Coomes, O.T.; Dirzo, R.; Fischer, G.; Folke, C.; et al. The causes of land-use and land-cover change: Moving beyond the myths. Global Environ. Change 2001, 11, 261–269. [Google Scholar] [CrossRef]
- Bürgi, M.; Hersperger, A.M.; Schneeberger, N. Driving forces of landscape change—Current and new directions. Landscape Ecol. 2004, 19, 857–868. [Google Scholar] [CrossRef]
- Folke, C.; Hahn, T.; Olsson, P.; Norberg, J. Adaptive governance of social-ecological systems. Annu. Rev. Environ. Resour. 2005, 30, 441–473. [Google Scholar] [CrossRef]
- Carmenta, R.; Parry, L.; Blackburn, A.; Vermeylen, S.; Barlow, J. Understanding human-fire interactions in tropical forest regions: A case for interdisciplinary research across the natural and social sciences. Ecol. Soc. 2011, 16, 53. [Google Scholar]
- Richter, M.; Diertl, K.-H.; Emck, P.; Peters, T.; Beck, E. Reasons for an outstanding plant diversity in the tropical Andes of southern Ecuador. Landscape Online 2009, 12, 1–35. [Google Scholar]
- Bendix, J.; Rollenbeck, R.; Göttlicher, D.; Nauß, T.; Fabian, P. Seasonality and diurnal pattern of very low clouds in a deeply incised valley of the eastern tropical Andes (South Ecuador) as observed by a cost-effective WebCam. Meteorol. Appl. 2008, 291, 281–291. [Google Scholar] [CrossRef]
- Homeier, J.; Werner, F.A.; Gradstein, S.R.; Breckle, S.W.; Richter, M. Potential vegetation and floristic composition of Andean forests in South Ecuador, with a focus on the RBSF. In Gradients in a Tropical Mountain Ecosystem of Ecuador; Beck, E., Bendix, J., Kottke, I., Makeschin, F., Mosandl, R., Eds.; Springer: Berlin-Heidelberg, Germany, 2008; pp. 87–100. [Google Scholar]
- Ecuador en cifras—Nacionalidades y pueblos (INEC). 2010. Available online: http://www.ecuadorencifras.com/cifras-inec/nacionalidades.html#tpi=493 (accessed on 28 April 2014).
- Marquette, C.M. Settler welfare on tropical forest frontiers in Latin America. Popul. Environ. 2006, 27, 397–444. [Google Scholar] [CrossRef]
- Roos, K.; Rollenbeck, R.; Peters, T.; Bendix, J.; Beck, E. Growth of tropical bracken (Pteridium arachnoideum): Response to weather variations and burning. Invasive Plant Sci. Manag. 2010, 3, 402–411. [Google Scholar] [CrossRef]
- United States Geological Survey (USGS) EarthExplorer. Available online: http://earthexplorer.usgs.gov/ (accessed on 27 February 2015).
- Vermote, E.F.; Tanré, D.; Deuzé, J.L.; Herman, M.; Morcrette, J.-J. Second simulation of the satellite signal in the solar spectrum, 6S: An overview. IEEE Trans. Geosci. Remote Sens. 1997, 35, 675–686. [Google Scholar] [CrossRef]
- Kalnay, E.; Kanamitsu, M.; Kistler, R.; Collins, W.; Deaven, D.; Gandin, L.; Iredell, M.; Saha, S.; White, G.; Woollen, J.; et al. The NCEP/NCAR 40-year reanalysis project. Bull. Am. Meteorol. Soc. 1996, 77, 437–471. [Google Scholar] [CrossRef]
- National Center for Environmental Prediction/National Center of Atmospheric Research (NCEP/NCAR) Reanalysis 1. Available online: http://www.esrl.noaa.gov/psd/data/gridded/data.ncep.reanalysis.html (accessed on 27 February 2015).
- Total Ozone Mapping Spectrometer (TOMS) satellite data. Available online: http://disc.sci.gsfc.nasa.gov/acdisc/TOMS (accessed on 27 February 2015).
- Teillet, P.M.; Guindon, B.; Goodenough, D.G. On the slope-aspect correction of multispectral scanner data. Can. J. Remote Sens. 1981, 8, 84–106. [Google Scholar] [CrossRef]
- Yang, X.; Lo, C.P. Relative radiometric normalization performance for change detection from multi-date satellite images. Photogramm. Eng. Remote Sens. 2000, 8, 967–980. [Google Scholar]
- Singh, A. Spectral separability of tropical forest cover classes. Int. J. Remote Sens. 1987, 8, 971–979. [Google Scholar] [CrossRef]
- Hong, G. Image Fusion, Image Registration, and Radiometric Normalization for High Resolution Image Processing. Ph.D. Thesis, University of New Brunswick, Fredericton, NB, Canada, April 2007. [Google Scholar]
- Elvidge, C.D.; Yuan, D.; Weerackoon, R.D.; Lunetta, R.S. Relative radiometric normalization of Landsat Multispectral Scanner (MSS) data using a automatic scattergram-controlled regression. Photogramm. Eng. Remote Sens. 1995, 61, 1255–1260. [Google Scholar]
- Jordan, E.; Ungerechts, L.; Cáceres, B.; Peñafiel, A.; Francou, B. Estimation by photogrammetry of the glacier recession on the Cotopaxi Volcano (Ecuador) between 1956 and 1997/Estimation par photogrammétrie de la récession glaciaire sur le Volcan Cotopaxi (Equateur) entre 1956 et 1997. Hydrol. Sci. J. 2005, 50, 949–961. [Google Scholar] [CrossRef]
- Li, C.; Wang, J.; Wang, L.; Hu, L.; Gong, P. Comparison of classification algorithms and training sample sizes in urban land classification with Landsat Thematic Mapper imagery. Remote Sens. 2014, 6, 964–983. [Google Scholar] [CrossRef]
- Li, G.; Lu, D.; Moran, E.; Hetrick, S. Land-cover classification in a moist tropical region of Brazil with Landsat Thematic Mapper imagery. Int. J. Remote Sens. 2011, 32, 8207–8230. [Google Scholar] [CrossRef] [PubMed]
- Congalton, R.G. A review of assessing the accuracy of classifications of remotely sensed data. Remote Sens. Environ. 1991, 37, 35–46. [Google Scholar] [CrossRef]
- Foody, G.M. Status of land cover classification accuracy assessment. Remote Sens. Environ. 2002, 80, 185–201. [Google Scholar] [CrossRef]
- Colditz, R.R.; Acosta-Velázquez, J.; Díaz Gallegos, J.R.; Vázquez Lule, A.D.; Rodríguez-Zúñiga, M.T.; Maeda, P.; Cruz López, M.I.; Ressl, R. Potential effects in multi-resolution post-classification change detection. Int. J. Remote Sens. 2012, 33, 6426–6445. [Google Scholar] [CrossRef]
- Fahrig, L. Effects of habitat fragmentation on biodiversity. Annu. Rev. Ecol. Evol. 2003, 34, 487–515. [Google Scholar] [CrossRef]
- Nagendra, H.; Munroe, D.K.; Southworth, J. From pattern to process: Landscape fragmentation and the analysis of land use/land cover change. Agr. Ecosyst. Environ. 2004, 101, 111–115. [Google Scholar] [CrossRef]
- Fischer, J.; Lindenmayer, D.B. Landscape modification and habitat fragmentation: A synthesis. Global Ecol. Biogeogr. 2007, 16, 265–280. [Google Scholar] [CrossRef]
- McGarigal, K.; Cushman, S.; Ene, E. FRAGSTATS v4: Spatial pattern analysis program for categorical and continuous maps. Available online: http://www.umass.edu/landeco/research/fragstats/fragstats.html (accessed on 29 March 2014).
- Southworth, J.; Munroe, D.; Nagendra, H. Land cover change and landscape fragmentation—Comparing the utility of continuous and discrete analyses for a western Honduras region. Agr. Ecosyst. Environ. 2004, 101, 185–205. [Google Scholar] [CrossRef]
- Šímová, P.; Gdulová, K. Landscape indices behavior: A review of scale effects. Appl. Geogr. 2012, 34, 385–394. [Google Scholar] [CrossRef]
- Lele, N.; Nagendra, H.; Southworth, J. Accessibility, demography, and protection: Drivers of forest stability and change at multiple scales in the Cauvery Basin, India. Remote Sens. 2010, 2, 306–332. [Google Scholar] [CrossRef]
- Newman, M.E.; McLaren, K.P.; Wilson, B.S. Long-term socio-economic and spatial pattern drivers of land cover change in a Caribbean tropical moist forest, the Cockpit Country, Jamaica. Agr. Ecosyst. Environ. 2014, 186, 185–200. [Google Scholar] [CrossRef]
- Southworth, J.; Marsik, M.; Qiu, Y.; Perz, S.; Cumming, G.; Stevens, F.; Rocha, K.; Duchelle, A.; Barnes, G. Roads as drivers of change: Trajectories across the tri-national frontier in MAP, the southwestern Amazon. Remote Sens. 2011, 3, 1047–1066. [Google Scholar] [CrossRef]
- Lillesand, T.M.; Kiefer, R.W.; Chipman, J.W. Remote Sensing and Image Interpretation, 6th ed.; Wiley: Hoboken, NJ, USA, 2008; pp. 9–12. [Google Scholar]
- State of the World’s Forests (FAO), 2003. Available online: http://www.fao.org/docrep/005/y7581e/y7581e00.htm (accessed on 21 March 2014).
- Nepstad, D.C.; Veríssimo, A.; Alencar, A.; Nobre, C.; Lima, E.; Lefebvre, P.; Schlesinger, P.; Potter, C.; Moutinho, P.; Mendoza, E.; et al. Large-scale impoverishment of Amazonian forests by logging and fire. Nature 1999, 398, 505–508. [Google Scholar] [CrossRef]
- Cochrane, M.A.; Laurance, W.F. Fire as a large-scale edge effect in Amazonian forests. J. Trop. Ecol. 2002, 18, 311–325. [Google Scholar] [CrossRef]
- Cochrane, M.A.; Schulze, M.D. Fire as a recurrent event in tropical forests of the eastern Amazon: Effects on forest structure, biomass, and species composition. Biotropica 1999, 31, 2–16. [Google Scholar]
- Cochrane, M.A.; Laurance, W.F. Synergisms among fire, land use, and climate change in the Amazon. Ambio 2008, 37, 522–527. [Google Scholar] [CrossRef] [PubMed]
- Young, K.R. Roads and the environmental degradation of tropical montane forests. Conserv. Biol. 1994, 8, 972–976. [Google Scholar] [CrossRef]
- Alvarez, N.L.; Naughton-Treves, L. Linking national agrarian policy to deforestation in the Peruvian Amazon: A case study of Tambopata, 1986–1997. Ambio 2003, 32, 269–274. [Google Scholar] [PubMed]
- Laurance, W.F.; Albernaz, A.K.M.; Fearnside, P.M.; Vasconcelos, H.L.; Ferreira, L.V. Deforestation in Amazonia. Science 2004, 304, 1109–1111. [Google Scholar] [CrossRef] [PubMed]
- Sun, J.; Southworth, J. Remote sensing-based fractal analysis and scale dependence associated with forest fragmentation in an Amazon tri‑national frontier. Remote Sens. 2013, 5, 454–472. [Google Scholar] [CrossRef]
- Barber, C.P.; Cochrane, M.A.; Souza, C.M., Jr.; Laurance, W.F. Roads, deforestation, and the mitigating effect of protected areas in the Amazon. Biol. Conserv. 2014, 177, 203–209. [Google Scholar] [CrossRef]
- Silva, B.; Roos, K.; Voss, I.; König, N.; Rollenbeck, R.; Scheibe, R.; Beck, E.; Bendix, J. Simulating canopy photosynthesis for two competing species of an anthropogenic grassland community in the Andes of southern Ecuador. Ecol. Modell. 2012, 239, 14–26. [Google Scholar] [CrossRef]
- Roos, K. Tropical Bracken, a Powerful Invader of Pastures in South Ecuador: Species Composition, Ecology, Control Measures, and Pasture Restoration. Ph.D. Thesis, University of Bayreuth, Bayreuth, Germany, July 2010. [Google Scholar]
- Laurance, W.F.; Clements, G.R.; Sloan, S.; O’Connell, C.S.; Mueller, N.D.; Goosem, M.; Venter, O.; Edwards, D.P.; Phalan, B.; Balmford, A.; et al. A global strategy for road building. Nature 2014, 513, 229–234. [Google Scholar] [CrossRef] [PubMed]
- Rudel, T.K.; Bates, D.; Machinguiashi, R. A tropical forest transition? Agricultural change, out-migration, and secondary forests in the Ecuadorian Amazon. Ann. Assoc. Am. Geogr. 2002, 92, 87–102. [Google Scholar] [CrossRef]
- Rollenbeck, R.; Bendix, J.; Fabian, P.; Boy, J.; Dalitz, H.; Emck, P.; Oesker, M.; Wilcke, W. Comparison of different techniques for the measurement of precipitation in tropical montane rain forest regions. J. Atmos. Ocean. Technol. 2007, 24, 156–168. [Google Scholar] [CrossRef]
- Davidson, E.A.; de Araújo, A.C.; Artaxo, P.; Balch, J.K.; Brown, I.F.; Bustamante, M.M.C.; Coe, M.T.; DeFries, R.S.; Keller, M.; Longo, M.; et al. The Amazon basin in transition. Nature 2012, 481, 321–328. [Google Scholar] [CrossRef] [PubMed]
- Nepstad, D.; Lefebvre, P.; Lopes da Silva, U.; Tomasella, J.; Schlesinger, P.; Solorzano, L.; Moutinho, P.; Ray, D.; Guerreira Benito, J. Amazon drought and its implications for forest flammability and tree growth: A basin-wide analysis. Global Change Biol. 2004, 10, 704–717. [Google Scholar] [CrossRef]
- Cincotta, R.P.; Wisnewski, J.; Engelman, R. Human population in the biodiversity hotspots. Nature 2000, 404, 990–992. [Google Scholar] [CrossRef] [PubMed]
- Perz, S.G.; Aramburú, C.; Bremner, J. Population, land use and deforestation in the Pan Amazon Basin: A comparison of Brazil, Bolivia, Colombia, Ecuador, Perú, and Venezuela. Environ. Develp. Sustain. 2005, 7, 23–49. [Google Scholar] [CrossRef]
- Zak, M.R.; Cabido, M.; Cáceres, D.; Díaz, S. What drives accelerated land cover change in central Argentina? Synergistic consequences of climatic, socioeconomic, and technological factors. Environ. Manag. 2008, 42, 181–189. [Google Scholar] [CrossRef]
- Flores, E.; Merril, T. Growth and structure of the economy. In A Country Study: Ecuador; Hanratty, D., Ed.; Library of Congress Federal Research Division: Washington, DC, USA, 1989. [Google Scholar]
- Temme, M. Wirtschaft und Bevölkerung in Südecuador: Eine sozio-ökonomische Analyse des Wirtschaftsraum Loja; Steiner: Wiesbaden, Germany, 1972. [Google Scholar]
- Morales, M.; Naughton-Treves, L.; Suárez, L. Seguridad en la Tenencia de la Tierra e Incentivos para la Conservación de los Bosques 1970–2010; ECOLEX: Quito, Ecuador, 2010. [Google Scholar]
- Wunder, S. Deforestation and the uses of wood in the Ecuadorian Andes. Mt. Res. Dev. 1996, 16, 367–381. [Google Scholar] [CrossRef]
- Broadbent, E.N.; Asner, G.P.; Keller, M.; Knapp, D.E.; Oliveira, P.J.C.; Silva, J.N. Forest fragmentation and edge effects from deforestation and selective logging in the Brazilian Amazon. Biol. Conserv. 2008, 141, 1745–1757. [Google Scholar] [CrossRef]
- Berríos, R. Cost and benefit of Ecuador’s dollarization experience. Perspect. Global Develp. Technol. 2006, 5, 55–68. [Google Scholar] [CrossRef]
- Jokisch, B.; Pribilsky, J. The panic to leave: Economic crisis and the “new emigration” from Ecuador. Int. Migr. 2002, 40, 75–99. [Google Scholar] [CrossRef]
- ECUADOR: La Migración Internacional en Cifras 2008 (FLACSO UNFPA). Available online: http://www.flacsoandes.edu.ec/libros/digital/43598.pdf (accessed on 28 November 2014).
- Wunder, S.; Sunderlin, W.D. Oil, macroeconomics, and forests: Assessing the linkages. World Bank Res. Obs. 2004, 19, 231–257. [Google Scholar] [CrossRef]
- Jokisch, B.D. Migration and agricultural change: The case of smallholder agriculture in highland Ecuador. Hum. Ecol. 2002, 30, 523–550. [Google Scholar] [CrossRef]
- Carr, D. Rural migration: The driving force behind tropical deforestation on the settlement frontier. Prog. Hum. Geogr. 2009, 33, 355–378. [Google Scholar] [CrossRef] [PubMed]
- Gray, C.L. Rural out-migration and smallholder agriculture in the southern Ecuadorian Andes. Popul. Environ. 2009, 30, 193–217. [Google Scholar] [CrossRef]
- Gray, C.L.; Bilsborrow, R.E. Consequences of out-migration for land use in rural Ecuador. Land Use Policy 2014, 36, 182–191. [Google Scholar] [CrossRef]
- Mertens, B.; Sunderlin, W.D.; Ndoye, O.; Lambin, E.F. Impact of macroeconomic change on deforestation in South Cameroon: Integration of household survey and remotely-sensed data. World Develp. 2000, 28, 983–999. [Google Scholar] [CrossRef]
- Sunderlin, W.D.; Angelsen, A.; Ahmad Dermawan, D.P.R.; Rianto, E. Economic crisis, small farmer well-being, and forest cover change in Indonesia. World Develop. 2001, 29, 767–782. [Google Scholar] [CrossRef]
- Guerrero Cazar, F.; Ospina Peralta, P. Cambios agrarios, reformas institucionales y liberación del mercado de tierras. In El Poder de la Comunidad—Ajuste Estructural y Movimiento Indígena en los Andes Ecuatorianos; Guerrero Cazar, F., Ospina Peralta, P., Eds.; Consejo Latinoamericano de Ciencias Sociales: Buenos Aires, Argentina, 2003. [Google Scholar]
- Pichón, F.J. The forest conversion process: A discussion of the sustainability of predominant land uses associated with frontier expansion in the Amazon. Agric. Hum. Values 1996, 13, 32–51. [Google Scholar] [CrossRef]
- Perz, S.G. The effects of household asset endowments on agricultural diversity among frontier colonists in the Amazon. Agrofor. Syst. 2005, 63, 263–279. [Google Scholar] [CrossRef]
- Stoorvogel, J.J.; Antle, J.M.; Crissman, C.C. Trade-off analysis in the northern Andes to study the dynamics in agricultural land use. J. Environ. Manag. 2004, 72, 23–33. [Google Scholar] [CrossRef]
- Oliveira, P.J.C.; Asner, G.P.; Knapp, D.E.; Almeyda, A.; Galván-Gildemeister, R.; Keene, S.; Raybin, R.F.; Smith, R.C. Land-use allocation protects the Peruvian Amazon. Science 2007, 317, 1233–1236. [Google Scholar] [CrossRef] [PubMed]
- Adeney, J.M.; Christensen, N.L., Jr.; Pimm, S.L. Reserves protect against deforestation fires in the Amazon. PLoS One 2009, 4, e5014. [Google Scholar] [CrossRef] [PubMed]
© 2015 by the authors; licensee MDPI, Basel, Switzerland. This article is an open access article distributed under the terms and conditions of the Creative Commons Attribution license (http://creativecommons.org/licenses/by/4.0/).
Share and Cite
Curatola Fernández, G.F.; Obermeier, W.A.; Gerique, A.; López Sandoval, M.F.; Lehnert, L.W.; Thies, B.; Bendix, J. Land Cover Change in the Andes of Southern Ecuador—Patterns and Drivers. Remote Sens. 2015, 7, 2509-2542. https://doi.org/10.3390/rs70302509
Curatola Fernández GF, Obermeier WA, Gerique A, López Sandoval MF, Lehnert LW, Thies B, Bendix J. Land Cover Change in the Andes of Southern Ecuador—Patterns and Drivers. Remote Sensing. 2015; 7(3):2509-2542. https://doi.org/10.3390/rs70302509
Chicago/Turabian StyleCuratola Fernández, Giulia F., Wolfgang A. Obermeier, Andrés Gerique, María Fernanda López Sandoval, Lukas W. Lehnert, Boris Thies, and Jörg Bendix. 2015. "Land Cover Change in the Andes of Southern Ecuador—Patterns and Drivers" Remote Sensing 7, no. 3: 2509-2542. https://doi.org/10.3390/rs70302509
APA StyleCuratola Fernández, G. F., Obermeier, W. A., Gerique, A., López Sandoval, M. F., Lehnert, L. W., Thies, B., & Bendix, J. (2015). Land Cover Change in the Andes of Southern Ecuador—Patterns and Drivers. Remote Sensing, 7(3), 2509-2542. https://doi.org/10.3390/rs70302509
