Development of a Remote Sensing-Based “Boro” Rice Mapping System
Abstract
:1. Introduction
2. Materials
2.1. General Description of the Study Area
2.2. Data Requirements and Its Pre-Processing
3. Methods
3.1. ISODATA Clustering and Determining the Boro Rice Signatures
3.2. Formulating Mathematical Model for Extracting the Boro Rice Areas
3.3. Model Calibration and Validation
4. Results and Discussion
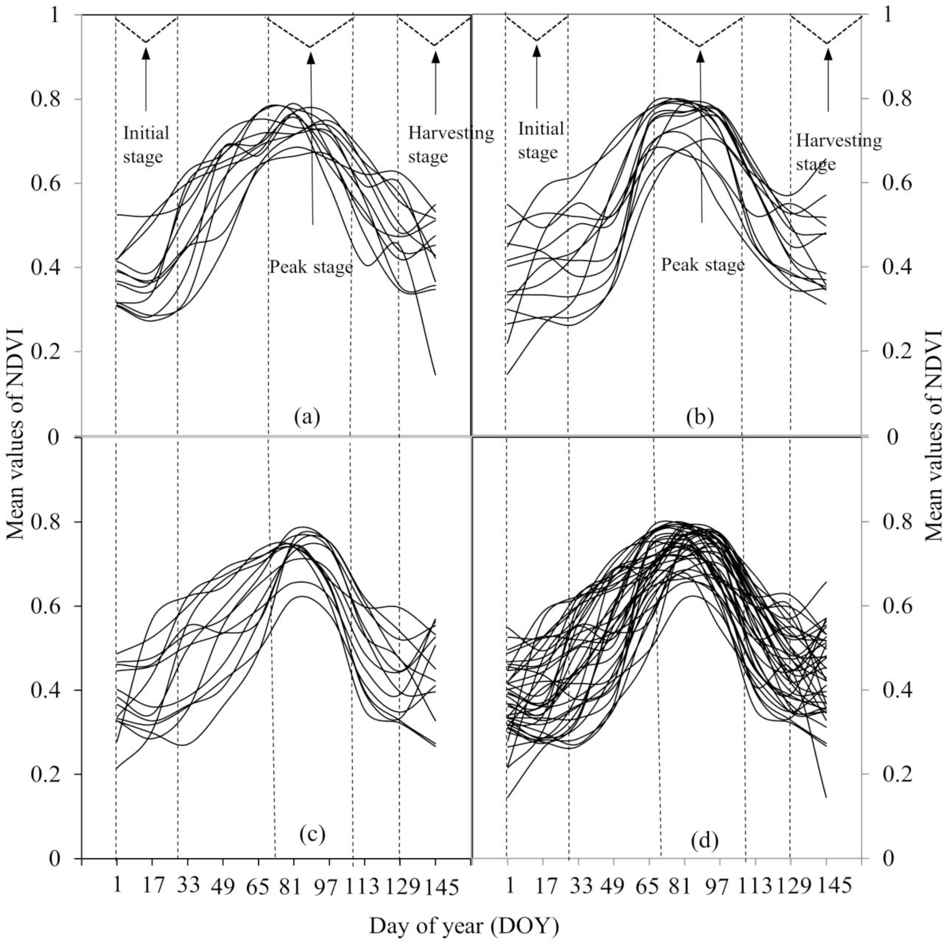
4.1. Determining the Boro Rice Signatures
4.2. Model Calibration and Validation
4.3. Spatial Distribution of Boro Rice
5. Conclusions
Acknowledgments
Author Contributions
Conflicts of Interest
References
- Increasing Crop Production Sustainably, the Perspective of Biological Processes. Available online: http://www.fao.org/fileadmin/templates/agphome/scpi/AGP_brochure.pdf (accessed on 19 November 2013).
- FAO Statistical Yearbook 2012. Available online: http://issuu.com/faosyb/docs/fao_statistical_yearbook_2012_issuu (accessed on 19 November 2013).
- The World Fact Book. Available online: https://www.cia.gov/library/publications/the-world-factbook/geos/bg.html (accessed on 19 November 2013).
- Xiao, X.; Boles, S.; Frolking, S.; Li, C.; Babu, J.Y.; Salas, W.; Moore, B., III. Mapping paddy rice agriculture in South and Southeast Asia using multi-temporal MODIS images. Remote Sens. Environ 2006, 100, 95–113. [Google Scholar]
- World Population Prospects the 2010 Revision Volume II: Demographic Profiles. Available online: https://dl.vecnet.org/files/xs55mc11m (accessed on 19 November 2013).
- Sun, H.; Huang, J.; Huete, A.; Peng, D.; Zhang, F. Mapping paddy rice with multi-date moderate-resolution imaging spectroradiometer (MODIS) data in China. J. Zhejiang Univ. Sci 2009, 10, 1509–1522. [Google Scholar]
- Pan, X.Z.; Uchida, S.; Liang, Y.; Hirano, A.; Sun, B. Discriminating different land use types by using multitemporal NDXI in a rice planting area. Int. J. Remote Sens 2010, 31, 585–596. [Google Scholar]
- Jayanti, I.A.G.K.; Osaw, T.; Adnyana, W.S.; Tanaka, T.; Nuarsa, W.; Aa-syakur, A. Multitemporal MODIS data to mapping rice filed distribution in Bali Province of Indonesia based on the temporal dynamic characteristics of the rice plant. Earth Sci. Res 2012, 1, 64–74. [Google Scholar]
- Gumma, M.K.; Thenkabail, P.S.; Hideto, F.; Nelson, A.; Dheeravath, V.; Busia, D.; Rala, A. Mapping irrigated areas of Ghana using fusion of 30 m and 250 m resolution remote-sensing data. Remote Sens 2011, 3, 816–835. [Google Scholar]
- Srivastava, P.K.; Han, D.; Rico-Ramirez, M.A.; Bray, M.; Islam, T. Selection of classification techniques for land use/land cover change investigation. Adv. Space Res 2012, 50, 1250–1265. [Google Scholar]
- Singh, S.; Srivastava, P.K.; Gupta, M.; Thakur, J.; Mukherjee, S. Appraisal of land use/land cover of mangrove forest ecosystem using support vector machine. Environ. Earth Sci 2014, 71, 2245–2255. [Google Scholar]
- Thakur, J.K.; Srivastava, P.K.; Singh, S.K. Ecological monitoring of wetlands in semi-arid region of Konya closed Basin, Turkey. Reg. Environ. Change 2012, 12, 133–144. [Google Scholar]
- Nguyen, T.T.H.; De Bie, C.A.J.M.; Ali, A.; Smaling, E.M.A.; Chu, T.H. Mapping the irrigated rice-cropping patterns of the Mekong delta, Vietnam, through hyper-temporal SPOT NDVI image analysis. Int. J. Remote Sens 2012, 33, 415–434. [Google Scholar]
- Xiao, X.; Boles, S.; Liu, J.; Zhuang, D.; Frolking, S.; Li, C.; Salas, W.S.; Moore, B., III. Mapping paddy rice agriculture in southern China using multi-temporal MODIS images. Remote Sens. Environ 2005, 95, 480–492. [Google Scholar]
- Gumma, M.K.; Nelson, A.; Thenkabail, P.S.; Singh, A.S. Mapping rice areas of south Asia using MODIS multitemporal data. J. Appl. Remote Sens 2011, 5. [Google Scholar] [CrossRef]
- Peng, D.; Huete, A.R.; Huang, J.; Wang, F.; Sun, H. Detection and estimation of mixed paddy rice cropping patterns with MODIS data. Int. J. Appl. Earth Obs. Geoinf 2011, 13, 13–23. [Google Scholar]
- Nuarsa, I.W.; Nishio, F.; Hongo, C.; Mahardika, I.G. Using variance analysis of multitemporal MODIS images for rice field mapping in Bali province, Indonesia. Int. J. Remote Sens 2012, 33, 5402–5417. [Google Scholar]
- Lee, N.; Palsu, P. Mapping Indonesian rice area using multiple-temporal satellite imagery. J. Agric. Sci 2012, 2, 119–155. [Google Scholar]
- Nuarsa, I.W.; Nishio, F.; Hongo, C. Spectral characteristics and mapping of rice plants using multi-temporal Landsat data. J. Agric. Sci 2011, 3, 54–67. [Google Scholar]
- Fang, H.; Wu, B.; Liu, H.; Huang, H. Using NOAA/AVHRR and Landsat TM to estimate rice area year-by-year. Int. J. Remote Sens 1998, 19, 521–525. [Google Scholar]
- Rashid, H.E. Geography of Bangladesh; University Press Ltd.: Dhaka, Bangladesh, 1991. [Google Scholar]
- WeatherOnline. Available online: http://www.weatheronline.co.uk/reports/climate/Bangladesh.htm (accessed on 19 November 2013).
- Basak, J.K.; Ali, M.A.; Islam, M.N.; Rashid, M.A. Assessment of the effect of climate change on boro rice production in Bangladesh using DSSAT model. J. Civ. Eng 2010, 38, 95–108. [Google Scholar]
- Karmokar, P.K.; Shitan, M. Trend models for analysing sustainable production of rice in Bangladesh. Sci. Res. Essays 2012, 7, 669–678. [Google Scholar]
- Rahman, A.; Khan, K.; Krakauer, N.Y.; Roytman, L.; Kogan, F. Use of remote sensing data for estimation of Aman rice yield. Int. J. Agric. For 2012, 2, 101–107. [Google Scholar]
- Bangladesh Bureau of Statistics (BBS). Yearbook of Agricultural Statistics of Bangladesh; Government of the People’s Republic of Bangladesh: Dhaka, Bangladesh, 2012. [Google Scholar]
- Huete, A.R.; Didan, K.; Miura, T.; Rodriguez, E.P.; Gao, X.; Ferreira, L.G. Overview of the radiometric and biophysical performance of the MODIS vegetation indices. Remote Sens. Environ 2002, 83, 195–213. [Google Scholar]
- Justice, C.O; Townshend, J.B.G; Vermote, E.F.; Masuoka, E.; Wolfe, R.E.; Saleous, N.; Roy, D.P.; Morisette, J.T. An overview of MODIS land data processing and product status. Remote Sens. Environ 2002, 83, 3–15. [Google Scholar]
- Lillesand, T.M.; Kiefer, R.W.; Chipman, J.W. Remote Sensing and Image Interpretation; Wiley: Hoboken, NJ, USA, 2004. [Google Scholar]
- Mahmood, R. Impact of air temperature variations on the boro rice phenology in Bangladesh: Implications of irrigation requirements. Agric. For. Meteorol 1997, 84, 233–247. [Google Scholar]
- Shao, Y.; Fan, X.; Liu, H.; Xiao, J.; Ross, S.; Brisco, B.; Brown, R.; Staples, G. Rice monitoring and production estimation using multi-temporal Radarsat. Remote Sens. Environ 2001, 76, 310–325. [Google Scholar]
- Sakamoto, T.; Yokozawa, M.; Toritani, H.; Shibayama, M.; Ishitsuka, N.; Ohno, H. A crop phenology detection method using time-series MODIS data. Remote Sens. Environ 2005, 96, 366–374. [Google Scholar]
- Sari, D.K.; Ismullah, I.H.; Sulasdi, W.N.; Harto, A.B. Detecting rice phenology in paddy fields with complex cropping pattern using time series MODIS data. ITB J. Sci 2010, 42, 91–106. [Google Scholar]
- Bridhikitti, A.; Overcamp, T. Estimation of Southeast Asian rice paddy areas with different ecosystems from moderate-resolution satellite imagery. Agric. Eco. Environ 2012, 146, 113–120. [Google Scholar]
- Quadir, D.A.; Ali, A.; Huh, O.K. A study of vegetation patterns in Bangladesh with AVHRR data. Asia Pac. Remote Sens. J 1989, 1, 37–57. [Google Scholar]
- Karmokar, P.K.; Shitan, M.; Kundu, R.K. Factors affecting the yield of high yield variety Boro rice: Evidence from Rajshahi district of Bangladesh. J. Food Agric. Environ 2012, 10, 492–495. [Google Scholar]
- Irrigation Institutions of Bangladesh: Some Lessons. Available online: http://www.intechopen.com/download/get/type/pdfs/id/31499 (accessed on 19 November 2013).
- ZaferSiddik, M.A.; Asib, A.S.M.; Kusum, S.A. Spatial distribution of the effect of temperature and rainfall on the production of boro rice in Bangladesh. Am. J. Remote Sens 2013, 1, 88–95. [Google Scholar]
- Ahmed, A. Some of the major environmental problems relating to land use changes in the coastal areas of Bangladesh: A review. J. Geog. Region. Plan 2011, 4, 1–8. [Google Scholar]






| Ref. | Approaches |
|---|---|
| [13] | Utilized SPOT VGT-derived NDVI images over Mekong delta, Vietnam. They employed unsupervised classification and divergence statistics to determine signature separabilities; and found overall accuracy of 94%. |
| [4,14] | Employed MODIS-derived LSWI, NDVI, and EVI images over Southern China, and South and Southeast Asia. They introduced rice mapping algorithm based on the relationships between LSWI, NDVI and EVI during the plantation time; and obtained reasonable agreement with Landsat ETM+ derived rice maps [14], and national agricultural statistical data [4] (r2 ranging from 0.42–0.87). |
| [15] | Used MODIS-derived NDVI-values over six South Asian countries (i.e., India, Pakistan, Nepal, Bangladesh, and Bhutan). They applied several methods, such as spectral matching, decision trees, and perfect temporal profile associated with rice growth stages; and obtained strong relations with agricultural census data (i.e., r2 ≥ 0.97). |
| [16] | Utilized MODIS-derived LSWI and EVI images over Hunan, China for mapping rice cropping patterns that include single-season rice, early-season rice, and late-season rice systems. They applied a variable EVI/LSWI threshold function to recognize rice fields at the flooding stage. Outcomes were validated with finer spatial resolution SPOT-5 HRG (i.e., 2.5 m) land use information, and agriculture data on the country-level; and showed fair results (i.e., r2 of 0.52 for early season rice, 0.59 late season rice, and 0.34 for single season rice). |
| [17] | Used MODIS-derived NDVI, RVI and SAVI over Bali, Indonesia. They applied temporal variance analysis of the vegetation indices to clusterize between rice areas from other land uses; and obtained high correlation with agricultural data (i.e., r2 of 0.97 for regional-level and 0.92 for district level). |
| [18] | Used MODIS-derived NDVI, EVI, LSWI, and NDBI over Indonesia. They developed an algorithm based on temporal profile of vegetation strength and water content; and obtained a strong agreement with national-level agricultural data (i.e., r2 of 0.97). |
| [19] | Employed Landsat ETM+ over Bali, Indonesia. They evaluated the relationship between rice age, rice spectral and vegetation indices (that include: NDVI, RVI, IPVI, DVI, TVI, SAVI, and RGVI) and demonstrated significant relations with agricultural data (i.e., r2 of 0.97). |
| [20] | Used AVHRR-derived SAVI-values and Landsat TM-derived rice area over Hubei, China. They applied maximum likelihood classifier and found strong relations with agricultural data (i.e., an overall accuracy in the range 84.5–91.6%). |
| Year | Ground-Based Estimates (ha) | MODIS-Based Estimates (ha) | ||||||
|---|---|---|---|---|---|---|---|---|
| Value of the Multiplier, M | ||||||||
| 1 | 1.1 | 1.2 | 1.25 | 1.3 | 1.4 | 1.5 | ||
| 2007 | 4,257,873 | 2,816,793 | 3,360,706 | 3,936,150 | 4,237,718 | 4,535,018 | 5,153,543 | 5,772,318 |
| 2008 | 4,607,630 | 2,832,081 | 3,359,081 | 3,914,050 | 4,493,881 | 4,787,100 | 5,086,418 | 5,692,337 |
| 2009 | 4,716,247 | 3,449,918 | 4,061,175 | 4,313,650 | 4,695,150 | 5,348,693 | 6,012,843 | 6,670,575 |
| Year | Ground-Based Estimates (ha) | MODIS-Based Estimates (ha) | Relative Error |
|---|---|---|---|
| 2010 | 4,706,875 | 4,639,975 | 1.42 |
| 2011 | 4,770,337 | 4,757,018 | 0.28 |
| 2012 | 4,810,025 | 4,850,062 | −0.83 |
© 2014 by the authors; licensee MDPI, Basel, Switzerland This article is an open access article distributed under the terms and conditions of the Creative Commons Attribution license (http://creativecommons.org/licenses/by/3.0/).
Share and Cite
Mosleh, M.K.; Hassan, Q.K. Development of a Remote Sensing-Based “Boro” Rice Mapping System. Remote Sens. 2014, 6, 1938-1953. https://doi.org/10.3390/rs6031938
Mosleh MK, Hassan QK. Development of a Remote Sensing-Based “Boro” Rice Mapping System. Remote Sensing. 2014; 6(3):1938-1953. https://doi.org/10.3390/rs6031938
Chicago/Turabian StyleMosleh, Mostafa K., and Quazi K. Hassan. 2014. "Development of a Remote Sensing-Based “Boro” Rice Mapping System" Remote Sensing 6, no. 3: 1938-1953. https://doi.org/10.3390/rs6031938
APA StyleMosleh, M. K., & Hassan, Q. K. (2014). Development of a Remote Sensing-Based “Boro” Rice Mapping System. Remote Sensing, 6(3), 1938-1953. https://doi.org/10.3390/rs6031938

