Cross-Comparison of Vegetation Indices Derived from Landsat-7 Enhanced Thematic Mapper Plus (ETM+) and Landsat-8 Operational Land Imager (OLI) Sensors
Abstract
:1. Introduction
2. Material and Methods
2.1. Ground Reference Data and Testing Sites
2.2. Landsat-7/8 Imagery and Pre-Processing
2.3. Statistical Analysis
3. Results and Discussion
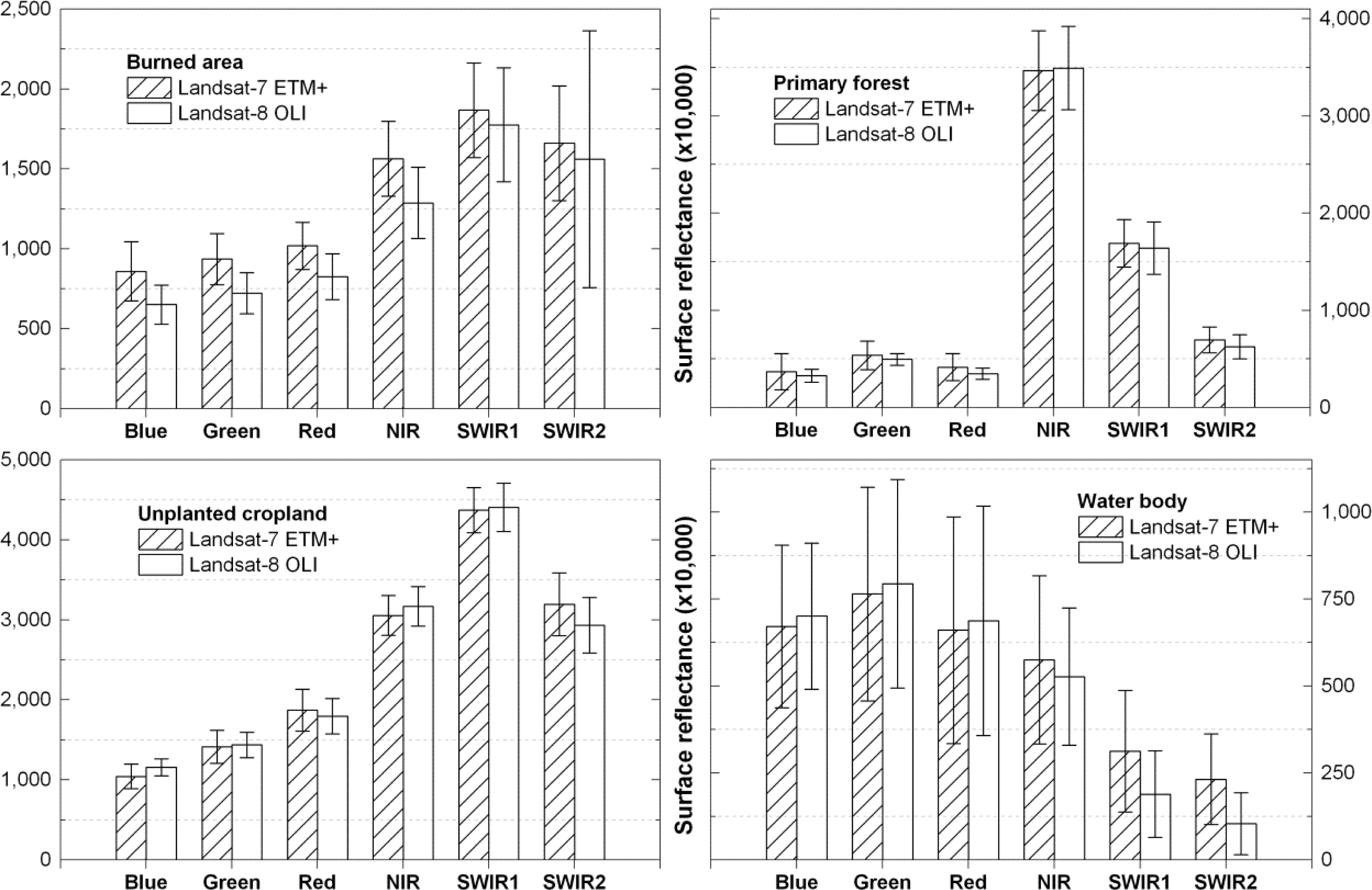
3.1. Comparison Landsat-7 ETM+ and Landsat-8 OLI Spectral Bands
3.2. Comparison between the Values of Vegetation Indices Derived from ETM+ and OLI Sensors
3.3. Correlation Analysis of Vegetation Indices Derived from ETM+ and OLI
4. Conclusions
Acknowledgments
Conflicts of Interest
References
- Anderson, J.H.; Weber, K.T.; Gokhale, B.; Chen, F. Intercalibration and evaluation of Resourcesat-1 and Landsat-5 NDVI. Can. J. Remote Sens 2011, 37, 213–219. [Google Scholar]
- Steven, M.D.; Malthus, T.J.; Baret, F.; Xu, H.; Chopping, M.J. Intercalibration of vegetation indices from different sensor systems. Remote Sens. Environ 2003, 88, 412–422. [Google Scholar]
- Teillet, P.M.; Ren, X. Spectral band difference effects on vegetation indices derived from multiple satellite sensor data. Can. J. Remote Sens 2008, 34, 159–173. [Google Scholar]
- Chen, X.; Vogelmann, J.E.; Chander, G.; Ji, L.; Tolk, B.; Huang, C.; Rollins, M. Cross-sensor comparisons between Landsat 5 TM and IRS-P6 AWiFS and disturbance detection using integrated Landsat and AWiFS time-series images. Int. J. Remote Sens 2013, 34, 2432–2453. [Google Scholar]
- Teillet, P.M.; Fedosejevs, G.; Thome, K.J.; Barker, J.L. Impacts of spectral band difference effects on radiometric cross-calibration between satellite sensors in the solar-reflective spectral domain. Remote Sens. Environ 2007, 110, 393–409. [Google Scholar]
- Dinguirard, M.; Slater, P.N. Calibration of space-multispectral imaging sensors: A review. Remote Sens. Environ 1999, 68, 194–205. [Google Scholar]
- Oguro, Y.; Tsuchiya, K.; Suga, Y. Comparison of land cover features observed with different satellite sensors over a semi-arid land in central Australia. Adv. Space Res 1999, 23, 1401–1404. [Google Scholar]
- Oguro, Y.; Suga, Y.; Takeuchi, S.; Ogawa, M.; Konishi, T.; Tsuchiya, K. Comparison of SAR and optical sensor data for monitoring of rice plant around Hiroshima. Adv. Space Res 2001, 28, 195–200. [Google Scholar]
- Oguro, Y.; Suga, Y.; Takeuchi, S.; Ogawa, H.; Tsuchiya, K. Monitoring of a rice field using Landsat-5 TM and Landsat-7 ETM+ data. Adv. Space Res 2003, 32, 2223–2228. [Google Scholar]
- Van Wagtendonk, J.W.; Root, R.R.; Key, C.H. Comparison of AVIRIS and Landsat ETM+ detection capabilities for burn severity. Remote Sens. Environ 2004, 92, 397–408. [Google Scholar]
- Vazquez, A.; Cuevas, J.M.; Gonzalez-Alonso, F. Comparison of the use of WiFS and LISS images to estimate the area burned in a large forest fire. Int. J. Remote Sens 2001, 22, 901–907. [Google Scholar]
- Hill, J.; Aifadopoulou, D. Comparative analysis of Landsat-5 TM and SPOT HRV-1 data for use in multiple sensor approaches. Remote Sens. Environ 1990, 34, 55–70. [Google Scholar]
- Tsuchiya, K.; Oguro, Y. Comparison of remotely sensed data obtained with various sensors over an arid zone. Adv. Space Res 1997, 19, 1383–1386. [Google Scholar]
- Suga, Y.; Oguro, Y.; Takeuchi, S.; Tsuchiya, K. Comparison of various SAR data for vegetation analysis over Hiroshima City. Adv. Space Res 1999, 23, 1509–1516. [Google Scholar]
- Teillet, P.M.; Barker, J.L.; Markham, B.L.; Irish, R.R.; Fedosejevs, G.; Storey, J.C. Radiometric cross-calibration of the Landsat-7 ETM+ and Landsat-5 TM sensors based on tandem data sets. Remote Sens. Environ 2001, 78, 39–54. [Google Scholar]
- Serra, P.; Pons, X.; Sauri, D. Post-classification change detection with data from different sensors: Some accuracy considerations. Int. J. Remote Sens 2003, 24, 3311–3340. [Google Scholar]
- Holden, Z.A.; Morgan, P.; Smith, A.; Vierling, L. Beyond Landsat: A comparison of four satellite sensors for detecting burn severity in ponderosa pine forests of the Gila Wilderness, NM, USA. Int. J. Wildland Fire 2010, 19, 449–458. [Google Scholar]
- Irons, J.R.; Dwyer, J.L.; Barsi, J.A. The next Landsat satellite: The Landsat data continuity mission. Remote Sens. Environ 2012, 122, 11–21. [Google Scholar]
- USGS. What is Landsat 7 ETM+ SLC-off data? http://landsat.usgs.gov/Landsat_7_ETM_SLC_off_data.php (accessed on 8 November 2013).
- Markham, B.L.; Knight, E.J.; Canova, B.; Donley, E.; Kvaran, G.; Lee, K.; Barsi, J.A.; Pedelty, J.A.; Dabney, P.W.; Irons, J.R. The Landsat Data Continuity Mission Operational Land Imager (OLI) Sensor. Proceedings of 2012 IEEE International Geoscience and Remote Sensing Symposium (IGARSS), Munich, Germany, 1 January 2012; pp. 6995–6998.
- USGS. What is Landsat 8 OLI/TIRS Pre-WRS-2 data? Available online: http://landsat.usgs.gov/L8_Pre_WRS2.php (accessed on 8 November 2013).
- Taylor, D. Biomass burning, humans and climate change in Southeast Asia. Biodivers. Conserv 2010, 19, 1025–1042. [Google Scholar]
- Fox, J.; Vogler, J.B.; Sen, O.L.; Giambelluca, T.W.; Ziegler, A.D. Simulating land-cover change in montane mainland southeast Asia. Environ. Manag 2012, 49, 968–979. [Google Scholar]
- Fox, J.; Vogler, J.B. Land-use and land-cover change in montane mainland southeast Asia. Environ. Manag 2005, 36, 394–403. [Google Scholar]
- Padoch, C.; Coffey, K.; Mertz, O.; Leisz, S.J.; Fox, J.; Wadley, R.L. The demise of swidden in Southeast Asia? Local realities and regional ambiguities. Geogr. Tidsskr 2007, 107, 29–41. [Google Scholar]
- Schmidt-Vogt, D.; Leisz, S.J.; Mertz, O.; Heinimann, A.; Thiha, T.; Messerli, P.; Epprecht, M.; Cu, P.V.; Chi, V.K.; Hardiono, M.; et al. An assessment of trends in the extent of Swidden in southeast Asia. Human Ecol 2009, 37, 269–280. [Google Scholar]
- Mertz, O.; Padoch, C.; Fox, J.; Cramb, R.; Leisz, S.; Lam, N.; Vien, T. Swidden change in southeast Asia: Understanding causes and consequences. Human Ecol 2009, 37, 259–264. [Google Scholar]
- NASA Goddard Space Flight Center. Landsat 7 Science Data Users Handbook. Available online: http://landsathandbook.gsfc.nasa.gov/pdfs/Landsat7_Handbook.pdf (accessed on 8 November 2013).
- Exelis. ENVI Atmospheric Correction Module: QUAC and FLAASH User’s Guide. Available online: http://www.exelisvis.com/portals/0/pdfs/envi/Flaash_Module.pdf (accessed on 8 November 2013).
- McFeeters, S.K. The use of the Normalized Difference Water Index (NDWI) in the delineation of open water features. Int. J. Remote Sens 1996, 17, 1425–1432. [Google Scholar]
- Xu, H. Modification of normalised difference water index (NDWI) to enhance open water features in remotely sensed imagery. Int. J. Remote Sens 2006, 27, 3025–3033. [Google Scholar]
- Tucker, C.J. Red and photographic infrared linear combinations for monitoring vegetation. Remote Sens. Environ 1979, 8, 127–150. [Google Scholar]
- Tucker, C.J. Remote sensing of leaf water content in the near infrared. Remote Sens. Environ 1980, 10, 23–32. [Google Scholar]
- Xiao, X.M.; Zhang, Q.Y.; Saleska, S.; Hutyra, L.; de Camargo, P.; Wofsy, S.; Frolking, S.; Boles, S.; Keller, M.; Moore, B. Satellite-based modeling of gross primary production in a seasonally moist tropical evergreen forest. Remote Sens. Environ 2005, 94, 105–122. [Google Scholar]
- García, M.L.; Caselles, V. Mapping burns and natural reforestation using Thematic Mapper data. Geocarto Int 1991, 6, 31–37. [Google Scholar]
- Lin, H.; Jin, Y.; Giglio, L.; Foley, J.A.; Randerson, J.T. Evaluating greenhouse gas emissions inventories for agricultural burning using satellite observations of active fires. Ecol. Appl 2012, 22, 1345–1364. [Google Scholar]
- Giglio, L.; Csiszar, I.; Justice, C.O. Global distribution and seasonality of active fires as observed with the Terra and Aqua Moderate Resolution Imaging Spectroradiometer (MODIS) sensors. J. Geophys. Res.: Biogeosci 2006, 111. [Google Scholar] [CrossRef]
- Tollefson, J. Landsat 8 to the rescue. Nature 2013, 494, 13–14. [Google Scholar]
- Lulla, K.; Nellis, M.D.; Rundquist, B. Celebrating 40 years of Landsat program’s Earth observation accomplishments. Geocarto Int 2012, 27, 459. [Google Scholar]











| Landsat-8 OLI and TIRS | Landsat-7 ETM+ | Resolution (m) | ||
|---|---|---|---|---|
| Bands | Wavelength (μm) | Bands | Wavelength (μm) | |
| Band 1—Coastal aerosol | 0.43–0.45 | NA | -- | 30 |
| Band 2—Blue | 0.45–0.51 | Band 1 | 0.45–0.52 | 30 |
| Band 3—Green | 0.53–0.59 | Band 2 | 0.52–0.60 | 30 |
| Band 4—Red | 0.64–0.67 | Band 3 | 0.63–0.69 | 30 |
| Band 5—Near infrared (NIR) | 0.85–0.88 | Band 4 | 0.77–0.90 | 30 |
| Band 6—Short-wave infrared (SWIR 1) | 1.57–1.65 | Band 5 | 1.55–1.75 | 30 |
| Band 7—Short-wave infrared (SWIR 2) | 2.11–2.29 | Band 7 | 2.09–2.35 | 30 |
| Band 8—Panchromatic | 0.50–0.68 | Band 8 | 0.52–0.90 | 15 |
| Band 9—Cirrus | 1.36–1.38 | NA | -- | 30 |
| Band 10—Thermal infrared (TIRS) 1 | 10.60–11.19 | Band 6 | 10.40–12.50 | TIRS/ETM+: 100/60 * (30) |
| Band 11—Thermal infrared (TIRS) 2 | 11.50–12.51 | |||
| Sample Plot No. | Perimeter (km) | Area (km2) | Pixel Number | Land cover | |
|---|---|---|---|---|---|
| Five Major Types* | Cumulative Ratio | ||||
| Sample plot 1 | 129.55 | 846.58 | 940,648 | 130 > 14 > 40 > 20 > 30 | 89% |
| Sample plot 2 | 118.07 | 759.26 | 843,627 | 130 > 14 > 20 > 30 > 60 | 93% |
| Sample plot 3 | 109.19 | 705.53 | 783,927 | 130 > 40 > 14 > 60 > 20 | 99% |
| Sample plot 4 | 146.16 | 865.93 | 962,156 | 11 > 14 > 20 > 30 > 60 | 99% |
| Sample plot 5 | 95.95 | 555.01 | 616,685 | 130 > 40 > 60 > 70 > 50 | 99% |
| Sample plot 6 | 111.61 | 705.52 | 783,907 | 130 > 40 > 60 > 14 > 20 | 98% |
| Sample plot 7 | 105.90 | 654.93 | 727,693 | 130 > 60 > 50 > 40 > 14 | 97% |
| Sample plot 8 | 97.00 | 485.34 | 539,262 | 14 > 130 > 20 > 40 > 30 | 95% |
| Sensor | Acquisition Date | Path/Row | Cloud Coverage | Imagery Type |
|---|---|---|---|---|
| Landsat-7 ETM+ | 25 March 2013 | 131/046, 131/047 and 131/048 | 2%, 0% and 1% | Landsat-7 ETM+ SLC-off |
| 3 April 2013 | 130/046, 130/047 and 130/048 | 0%, 1% and 0% | Landsat-7 ETM+ SLC-off | |
| Landsat-8 OLI | 27 March 2013 | 131/046, 131/047 and 131/048 | 0%, 0% and 2% | Landsat-8 OLI/TIRS Pre-WRS-2 |
| 1 April 2013 | 130/046, 130/047 and 130/048 | 2%, 0% and 0% | Landsat-8 OLI/TIRS Pre-WRS-2 |
© 2014 by the authors; licensee MDPI, Basel, Switzerland This article is an open access article distributed under the terms and conditions of the Creative Commons Attribution license ( http://creativecommons.org/licenses/by/3.0/).
Share and Cite
Li, P.; Jiang, L.; Feng, Z. Cross-Comparison of Vegetation Indices Derived from Landsat-7 Enhanced Thematic Mapper Plus (ETM+) and Landsat-8 Operational Land Imager (OLI) Sensors. Remote Sens. 2014, 6, 310-329. https://doi.org/10.3390/rs6010310
Li P, Jiang L, Feng Z. Cross-Comparison of Vegetation Indices Derived from Landsat-7 Enhanced Thematic Mapper Plus (ETM+) and Landsat-8 Operational Land Imager (OLI) Sensors. Remote Sensing. 2014; 6(1):310-329. https://doi.org/10.3390/rs6010310
Chicago/Turabian StyleLi, Peng, Luguang Jiang, and Zhiming Feng. 2014. "Cross-Comparison of Vegetation Indices Derived from Landsat-7 Enhanced Thematic Mapper Plus (ETM+) and Landsat-8 Operational Land Imager (OLI) Sensors" Remote Sensing 6, no. 1: 310-329. https://doi.org/10.3390/rs6010310
APA StyleLi, P., Jiang, L., & Feng, Z. (2014). Cross-Comparison of Vegetation Indices Derived from Landsat-7 Enhanced Thematic Mapper Plus (ETM+) and Landsat-8 Operational Land Imager (OLI) Sensors. Remote Sensing, 6(1), 310-329. https://doi.org/10.3390/rs6010310

