Evaluation of Global Land Use–Land Cover Data Products in Guangxi, China
Abstract
1. Introduction
2. Data and Methods
2.1. Study Area
2.2. LULC Products and Reference Data
2.2.1. LULC Data Products
2.2.2. Forest and Cropland Data
2.3. Consolidation of LULC Classification
2.4. Analysis Methods
2.4.1. Correlation Analysis
2.4.2. Accuracy Assessment
2.4.3. Spatial Consistency Analysis
3. LULC Data Product Reclassification
3.1. Spatial Distribution of Land Cover Types in Reclassified LULC Data Sets
3.2. Area Composition and Similarity Analysis of Land Cover Types
4. Evaluation of the Accuracy of LULC Products
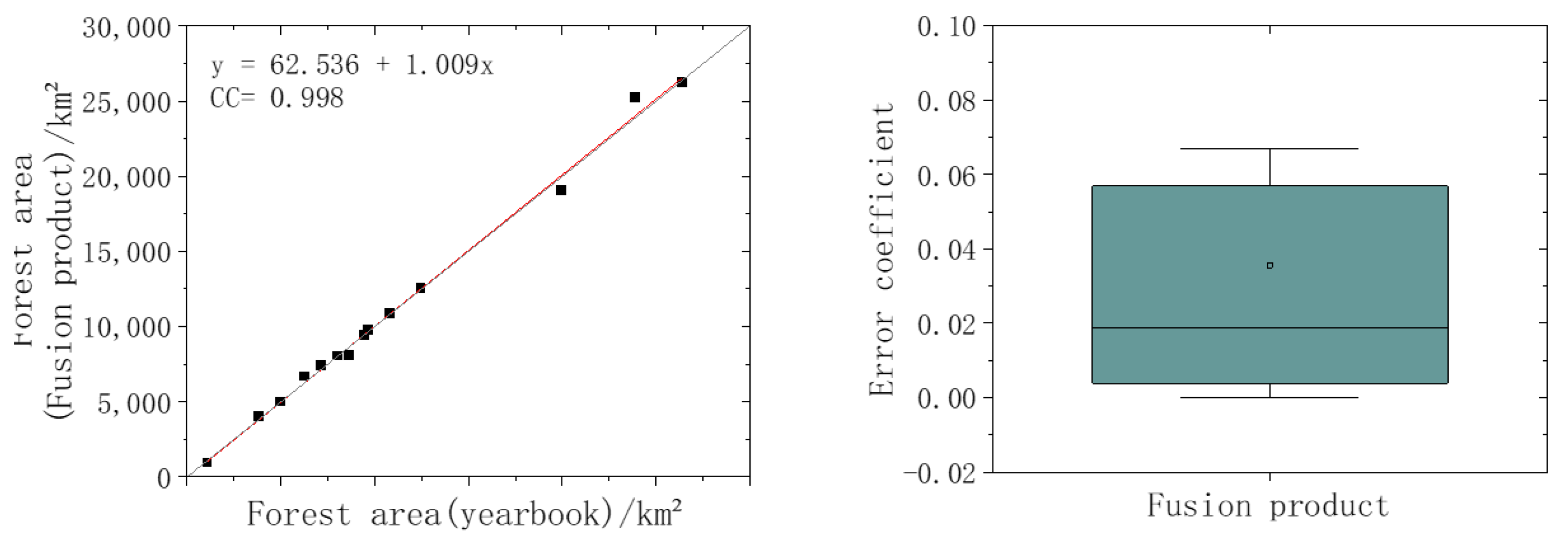
4.1. Comparison and Evaluation Based on Forest Data in the Statistical Yearbooks
4.2. Comparison and Evaluation Based on Cropland Data in the Statistical Yearbooks
4.3. Comparison and Verification Based on High-Resolution Remote Sensing Images
5. Consistency Analysis and Combination of LULC Products
5.1. Spatial Consistency Analysis
5.2. Combination of LULC Products
5.2.1. Combination Scheme
5.2.2. Validation of the New Land Cover Product
6. Discussion and Conclusions
6.1. Discussion
6.2. Conclusions
- (1)
- Based on consideration of the spatial distribution of different land cover types, there is good agreement between the six different LULC data sets in Guangxi. FROM–GLC and GLC30 data are the most highly correlated with each other. For any two products, the correlation coefficient between the areas covered by a given land cover type is greater than 0.828, with a maximum value of 0.999. All six data sets show that forest and cropland are the two main land cover types in Guangxi.
- (2)
- The data in ESRI–LULC, CLCD and GLC30 compare well with the forest data in the statistical yearbooks, whereas ESAGC, CLCD and GLC30 are in good agreement with the cropland data in these yearbooks. By comparing the details with Google Earth images, ESAGC, CLCD and GLC30 are of high precision and accuracy in Guangxi, China. Especially, the data set of ESAGC performs well in the data sets of higher spatial resolution (10 m).
- (3)
- The six land use–land cover data sets have a high degree of spatial consistency in most regions of Guangxi, with the areas of medium and high consistency accounting for 96.98% of the total area. Overall, the six data sets have the highest degree of consistency for areas of forest, followed by water bodies and cropland.
- (4)
- The fused data set that was produced following the spatial consistency analysis agrees better with the cropland and forest data in the statistical yearbooks than any of the six original data sets.
Author Contributions
Funding
Data Availability Statement
Conflicts of Interest
References
- Akodéwou, A.; Oszwald, J.; Saïdi, S.; Gazull, L.; Akpavi, S.; Akpagana, K.; Gond, V. Land Use and Land Cover Dynamics Analysis of the Togodo Protected Area and Its Surroundings in Southeastern Togo, West Africa. Sustainability 2020, 12, 5439. [Google Scholar] [CrossRef]
- Disperati, L.; Virdis, S.G.P. Assessment of land-use and land-cover changes from 1965 to 2014 in Tam Giang-Cau Hai Lagoon, central Vietnam. Appl. Geogr. 2015, 58, 48–64. [Google Scholar] [CrossRef]
- Liu, J.; Kuang, W.; Zhang, Z.; Xu, X.; Qin, Y.; Ning, J.; Zhou, W.; Zhang, S.; Li, R.; Yan, C.; et al. Spatiotemporal characteristics, patterns, and causes of land-use changes in China since the late 1980s. J. Geogr. Sci. 2014, 24, 195–210. [Google Scholar] [CrossRef]
- Verburg, P.H.; Erb, K.-H.; Mertz, O.; Espindola, G. Land System Science: Between global challenges and local realities. Curr. Opin. Environ. Sustain. 2013, 5, 433–437. [Google Scholar] [CrossRef] [PubMed]
- Fan, Y.; Jin, X.; Xiang, X.; Liu, J.; Yang, X.; Zhou, Y. Land use functions change and its spatial pattern in Jiangsu province from 2000 to 2015. Geog. Res. 2019, 38, 383–398. [Google Scholar]
- Verburg, P.; Mertz, O.; Erb, K.-H.; Haberl, H.; Wu, W. Land system change and food security: Towards multi-scale land system solutions. Curr. Opin. Environ. Sustain. 2013, 5, 494–502. [Google Scholar] [CrossRef]
- Findell, K.L.; Berg, A.; Gentine, P.; Krasting, J.P.; Lintner, B.R.; Malyshev, S.; Santanello, J.A., Jr.; Shevliakova, E. The impact of anthropogenic land use and land cover change on regional climate extremes. Nat. Commun. 2017, 8, 989. [Google Scholar] [CrossRef]
- Diwediga, B.; Agodzo, S.; Wala, K.; Le, Q.B. Assessment of multifunctional landscapes dynamics in the mountainous basin of the mo river (togo, west africa). J. Geogr. Sci. 2017, 27, 27. [Google Scholar] [CrossRef]
- Guo, H.; Liang, D.; Chen, F.; Sun, Z.; Liu, J. Big Earth data facilitates sustainable development goals. Bull. Chin. Acad. Sci. (Chin. Version) 2021, 36, 874–884. [Google Scholar] [CrossRef]
- Caballero, C.B.; Ruhoff, A.; Biggs, T. Land use and land cover changes and their impacts on surface-atmosphere interactions in Brazil: A systematic review. Sci. Total Environ. 2022, 808, 152134. [Google Scholar] [CrossRef]
- Guo, H. Big Earth Data in Support of the Sustainable Development Goals (2019); EDP Sciences: Les Ulis, France, 2021. [Google Scholar]
- Yin, C.; Zhao, W.; Pereira, P. Soil conservation service underpins sustainable development goals. Glob. Ecol. Conserv. 2022, 33, e01974. [Google Scholar] [CrossRef]
- Haack, B.; English, R. National land cover mapping by remote sensing. World Dev. 1996, 24, 845–855. [Google Scholar] [CrossRef]
- Hansen, M.C.; DeFries, R.S.; Townshend, J.R.G.; Sohlberg, R. Global land cover classification at 1 km spatial resolution using a classification tree approach. Int. J. Remote Sens. 2000, 21, 1331–1364. [Google Scholar] [CrossRef]
- Loveland, T.R.; Reed, B.C.; Brown, J.F.; Ohlen, D.O.; Zhu, Z.; Yang, L.; Merchant, J.W. Development of a global land cover characteristics database and IGBP DISCover from 1 km AVHRR data. Int. J. Remote Sens. 2000, 21, 1303–1330. [Google Scholar] [CrossRef]
- Bartholome, E.; Belward, A.S. GLC2000: A new approach to global land cover mapping from Earth observation data. Int. J. Remote Sens. 2005, 26, 1959–1977. [Google Scholar] [CrossRef]
- He, C.; Zhang, J.; Liu, Z.; Huang, Q. Characteristics and progress of land use/cover change research during 1990–2018. J. Geogr. Sci. 2022, 32, 537–559. [Google Scholar] [CrossRef]
- Grekousis, G.; Mountrakis, G.; Kavouras, M. An overview of 21 global and 43 regional land-cover mapping products. Int. J. Remote Sens. 2015, 36, 5309–5335. [Google Scholar] [CrossRef]
- Arino, O.; Gross, D.; Ranera, F.; Leroy, M.; Bicheron, P.; Brockman, C.; Defourny, P.; Vancutsem, C.; Achard, F.; Durieux, L.; et al. GlobCover: ESA service for global land cover from MERIS, IEEE International Geoscience and Remote Sensing Symposium. In Conference Proceedings: Proceedings of the IEEE International Geoscience and Remote Sensing Symposium; IEEE-Inst Electrical Electronics Engineers Inc.: Piscataway, NJ, USA, 2007; pp. 2412–2415. [Google Scholar]
- Acharya, A.; Mondal, B.K.; Bhadra, T.; Abdelrahman, K.; Mishra, P.K.; Tiwari, A.; Das, R. Geospatial Analysis of Geo-Ecotourism Site Suitability Using AHP and GIS for Sustainable and Resilient Tourism Planning in West Bengal, India. Sustainability 2022, 14, 2422. [Google Scholar] [CrossRef]
- Lyu, J.X.; Lai, Y.; Geng, S.B.; Chen, S.Z. Characteristics and driving forces of vegetation dynamics in Inner Mongolia Autonomous Region from 1992 to 2018. Ying Yong Sheng Tai Xue Bao=J. Appl. Ecol. 2022, 33, 1240–1250. [Google Scholar]
- Deafalla, T.H.H.; Csaplovics, E.; Elkhair, O.; El Abbas, M.M. The Effects of Land Cover Change on Sustainability: Human Security and Environmental Change in Semi-arid Ecosystems. In Social-Ecological Systems (SES); Springer: Cham, Switzerland, 2021; pp. 137–158. [Google Scholar]
- Venter, Z.S.; Barton, D.N.; Chakraborty, T.; Simensen, T.; Singh, G. Global 10 m Land Use Land Cover Datasets: A Comparison of Dynamic World, World Cover and Esri Land Cover. Remote Sens. 2022, 14, 4101. [Google Scholar] [CrossRef]
- Huang, Y.B.; Liao, S.B. Regional accuracy assessments of the first global land cover dataset at 30-meter resolution: A case study of Henan province. Geogr. Res. 2016, 35, 1433–1446. [Google Scholar]
- Chen, B.; Xu, B.; Zhu, Z.; Yuan, C.; Suen, H.P.; Guo, J.; Xu, N.; Li, W.; Zhao, Y.; Yang, J.J.S.B. Stable classification with limited sample: Transferring a 30-m resolution sample set collected in 2015 to mapping 10-m resolution global land cover in 2017. Sci. Bull. 2019, 64, 370–373. [Google Scholar]
- Chen, J.; Chen, J.; Liao, A.; Cao, X.; Chen, L.; Chen, X.; He, C.; Han, G.; Peng, S.; Lu, M.; et al. Global land cover mapping at 30 m resolution: A POK-based operational approach. ISPRS J. Photogramm. Remote Sens. 2015, 103, 7–27. [Google Scholar] [CrossRef]
- Breznau, N.; Rinke, E.M.; Wuttke, A.; Nguyen, H.H.V.; Adem, M.; Adriaans, J.; Alvarez-Benjumea, A.; Andersen, H.K.; Auer, D.; Azevedo, F.; et al. Observing many researchers using the same data and hypothesis reveals a hidden universe of uncertainty. Proc. Natl. Acad. Sci. USA 2022, 119, e2203150119. [Google Scholar] [CrossRef]
- Xu, X.; Lin, B.; Liu, X.; Li, X.; Shi, Q. Mapping annual global land cover changes at a 30 m resolution from 2000 to 2015. J. Remote Sens. 2021, 25, 1896–1916. [Google Scholar]
- Congalton, R.G.; Gu, J.; Yadav, K.; Thenkabail, P.; Ozdogan, M. Global Land Cover Mapping: A Review and Uncertainty Analysis. Remote Sens. 2014, 6, 12070–12093. [Google Scholar] [CrossRef]
- Cheng, J.; Cheng, J.M. The Spatio-Temporal Pattern, Driving Forces and Transformation Mode of Inter-provincial Recessive Land Use Morphology in China. China Land Sci. 2017, 31, 60–68. [Google Scholar]
- Zhang, B.L.; Gao, J.B.; Gao, Y.; Cai, W.M.; Zhang, F.R. Land use transition of mountainous rural areas in China. J. Geogr. Sci. 2018, 73, 503–517. [Google Scholar]
- Ameen, R.F.M.; Mourshed, M. Urban sustainability assessment framework development: The ranking and weighting of sustainability indicators using analytic hierarchy process. Sustain. Cities Soc. 2018, 44, 356–366. [Google Scholar] [CrossRef]
- Yang, Y.; Xiao, P.; Feng, X.; Li, H.; Chang, X.; Feng, W. Comparison and assessment of large-scale land cover datasets in China and adjacent regions. Remote Sens. 2014, 18, 453–475. [Google Scholar] [CrossRef]
- Brovelli, M.A.; Molinari, M.E.; Hussein, E.; Chen, J.; Li, R. The First Comprehensive Accuracy Assessment of GlobeLand30 at a National Level: Methodology and Results. Remote Sens. 2015, 7, 4191–4212. [Google Scholar] [CrossRef]
- Ran, Y.; Li, X.; Lu, L. Evaluation of four remote sensing based land cover products over China. Int. J. Remote Sens. 2010, 31, 391–401. [Google Scholar] [CrossRef]
- Zhu, J.; Sun, J.; Qin, F.; Wang, H. Accuracy Assessment of the 1:100 000 Land Cover Data of Henan Province in 2015. China Land Sci. 2019, 33, 59–67. [Google Scholar]
- Ran, Y.; Li, X.; Lu, L. Accuracy Evaluation of the Four Remote Sensing Based Land Cover Products over China. J. Glaciol. Geocryol. 2009, 31, 490–500. [Google Scholar]
- Zanaga, D.; Zanaga, D.; Van De Kerchove, R.; De Keersmaecker, W.; Souverijns, N.; Brockmann, C.; Quast, R.; Wevers, J.; Grosu, A.; Paccini, A.; et al. ESA WorldCover 10 m 2020 v100. European Space Agency. 2021. Available online: https://developers.google.cn/earth-engine/datasets/catalog/ESA_WorldCover_v100 (accessed on 14 February 2023).
- Karra, K.; Kontgis, C.; Statman-Weil, Z.; Mazzariello, J.; Mathis, M.; Brumby, S. Global land use/land cover with Sentinel 2 and deep learning. In Proceedings of the IEEE International Geoscience and Remote Sensing Symposium IGARSS, Virtual, 12–16 July 2021; IEEE: New York, NY, USA, 2021; pp. 4704–4707. [Google Scholar]
- Yang, J.; Huang, X. The 30 m annual land cover dataset and its dynamics in China from 1990 to 2019. Earth Syst. Sci. Data 2021, 13, 3907–3925. [Google Scholar] [CrossRef]
- Zhang, X.; Liu, L.; Chen, X.; Gao, Y.; Xie, S.; Mi, J. GLC_FCS30: Global land-cover product with fine classification system at 30 m using time-series Landsat imagery. Earth Syst. Sci. Data 2021, 13, 2753–2776. [Google Scholar] [CrossRef]
- Guangxi Zhuang Autonomous Region Bureau of Statistics. Guangxi Statistical Yearbook; China Statistics Press: Beijing, China, 2020.
- Giri, C.; Zhu, Z.; Reed, B. A comparative analysis of the Global Land Cover 2000 and MODIS land cover data sets. Remote Sens. Environ. 2005, 94, 123–132. [Google Scholar] [CrossRef]
- Lambin, E.F.; Helmut, J.G. (Eds.) Land-Use and Land-Cover Change: Local Processes and Global Impacts; Springer Science & Business Media: Berlin/Heidelberg, Germany, 2008. [Google Scholar] [CrossRef]
- Tchuenté, A.T.K.; Roujean, J.L.; De Jong, S.M. Comparison and relative quality assessment of the GLC2000, GLOBCOVER, MODIS and ECOCLIMAP land cover data sets at the African continental scale. Int. J. Appl. Earth Obs. Geoinf. 2011, 13, 207–219. [Google Scholar] [CrossRef]
- Liu, J.; Liu, M.; Tian, H.; Zhuang, D.; Zhang, Z.; Zhang, W.; Tang, X.; Deng, X. Spatial and temporal patterns of China’s cropland during 1990–2000: An analysis based on Landsat TM data. Remote Sens. Environ. 2005, 98, 442–456. [Google Scholar] [CrossRef]
- Kang, J.; Wang, Z.; Sui, L.; Yang, X.; Ma, Y.; Wang, J. Consistency Analysis of Remote Sensing Land Cover Products in the Tropical Rainforest Climate Region: A Case Study of Indonesia. Remote Sens. 2020, 12, 1410. [Google Scholar] [CrossRef]
- Wang, J.; Yang, X.; Wang, Z.; Cheng, H.; Kang, J.; Tang, H.; Li, Y.; Bian, Z.; Bai, Z. Consistency Analysis and Accuracy Assessment of Three Global Ten-Meter Land Cover Products in Rocky Desertification Region—A Case Study of Southwest China. ISPRS Int. J. Geo-Inf. 2022, 11, 202. [Google Scholar] [CrossRef]
- Malarvizhi, K.; Kumar, S.V.; Porchelvan, P. Use of High Resolution Google Earth Satellite Imagery in Landuse Map Preparation for Urban Related Applications. Procedia Technol. 2016, 24, 1835–1842. [Google Scholar] [CrossRef]
- Hill, R.A.; Smith, G.M. Land cover heterogeneity in Great Britain as identified in Land Cover Map 2000. Int. J. Remote Sens. 2005, 26, 5467–5473. [Google Scholar] [CrossRef]
- Li, W.; Bai, Y.; Chen, Q.; He, K.; Ji, X.; Han, C. Discrepant impacts of land use and land cover on urban heat islands: A case study of Shanghai, China. Ecol. Indic. 2014, 47, 171–178. [Google Scholar] [CrossRef]
- Arifeen, H.M.; Phoungthong, K.; Mostafaeipour, A.; Yuangyai, N.; Yuangyai, C.; Techato, K.; Jutidamrongphan, W. Determine the Land-Use Land-Cover Changes, Urban Expansion and Their Driving Factors for Sustainable Development in Gazipur Bangladesh. Atmosphere 2021, 12, 1353. [Google Scholar] [CrossRef]
- Gondwe, M.F.; Cho, M.A.; Chirwa, P.W.; Geldenhuys, C.J. Land use land cover change and the comparative impact of co-management and government-management on the forest cover in Malawi (1999–2018). J. Land Use Sci. 2019, 14, 281–305. [Google Scholar] [CrossRef]
- Zhang, J.; Yang, H.; Li, J. Dynamic analysis of the regional cultivated land and grain system: The case study on Zhangjiagang city of Jiangsu province. In Proceedings of the World Automation Congress, Puerto Vallarta, Mexico, 24–28 June 2012; IEEE: New York, NY, USA, 2012; pp. 1–5. [Google Scholar]
- Hang, Z.; Linsen, W.; Sihong, G.; Shunlong, G. Prospects of sustainable grain production in Northeast of China. In Proceedings of the World Automation Congress, Puerto Vallarta, Mexico, 24–28 June 2012; IEEE: New York, NY, USA, 2012; pp. 1–4. [Google Scholar]
- Hinz, R.; Sulser, T.B.; Huefner, R.; Mason-D’Croz, D.; Dunston, S.; Nautiyal, S.; Ringler, C.; Schuengel, J.; Tikhile, P.; Wimmer, F.; et al. Agricultural development and land use change in India: A scenario analysis of trade-offs between UN Sustainable Development Goals (SDGs). Earth’s Future 2020, 8, e2019EF001287. [Google Scholar] [CrossRef]
- Xuan, F.; Dong, Y.; Li, J.; Li, X.; Su, W.; Huang, X.; Huang, J.; Xie, Z.; Li, Z.; Liu, H.; et al. Mapping crop type in Northeast China during 2013–2021 using automatic sampling and tile-based image classification. Int. J. Appl. Earth Obs. Geoinf. 2023, 117, 103178. [Google Scholar] [CrossRef]
- Elbakidze, M.; Gebrehiwot, M.; Angelstam, P.; Yamelynets, T.; Surová, D. Defining priority land covers that secure the livelihoods of urban and rural people in Ethiopia: A case study based on citizens’ preferences. Sustainability 2018, 10, 1701. [Google Scholar] [CrossRef]
- Ahmed, N.; Wang, G.; Booij, M.J.; Xiangyang, S.; Hussain, F.; Nabi, G. Separation of the Impact of Landuse/Landcover Change and Climate Change on Runoff in the Upstream Area of the Yangtze River, China. Water Resour. Manag. 2021, 36, 181–201. [Google Scholar] [CrossRef]
- Dabović, T.; Pjanović, B.; Tošković, O.; Djordjević, D.; Lukić, B. Experts’ perception of the key drivers of land-use/land-cover changes in Serbia from 1990 to 2012. Sustainability 2021, 13, 7771. [Google Scholar] [CrossRef]
- Song, W.; Cao, S.; Du, M.; Lu, L. Distinctive roles of land-use efficiency in sustainable development goals: An investigation of trade-offs and synergies in China. J. Clean. Prod. 2023, 382, 134889. [Google Scholar] [CrossRef]
- Zhang, L.; Feng, B. Land use types and classification methods of typical tree species based on multi-source remote sensing data fusion. Low Carbon World. 2020, 10, 231–232. [Google Scholar]
- Herold, M.; Mayaux, P.; Woodcock, C.; Baccini, A.; Schmullius, C. Some challenges in global land cover mapping: An assessment of agreement and accuracy in existing 1 km datasets. Remote Sens. Environ. 2008, 112, 2538–2556. [Google Scholar] [CrossRef]















| Name of Data Set | ESAGC | ESRI–LULC | FROM–GLC | CLCD | GLC_FCS30 | GLC30 |
|---|---|---|---|---|---|---|
| Major Research and Development Unit | European Space Agency | Environmental System Research Institute, ESRI | Tsinghua University | Wuhan University | Aerospace Information Research Institute, Chinese Academy of Sciences | National Geomatics Center of China |
| Calculation Platform | Google Earth Engine | Microsoft Planetary Computer | Google Earth Engine | Google Earth Engine | Google Earth Engine | --- |
| Data Sources | Sentinel-2 | Sentinel-2 | Landsat-8 | Landsat-5 | Landsat-8 | Landsat, HJ-1, GF-1 |
| Extraction Method | Decision tree Classifier | Deep learning classification | Supervised classifierRandom forest classification | Supervised classifier | Supervised classifier | Unsupervised classificationPOK classification method |
| Verification Method | Independent verification | Confusion matrix | Sample evaluation | Visual interpretation of samples | Confusion matrix | Landscape shape index sampling model samples |
| Spatial Coverage | Global | Global | Global | China | Global | Global |
| Spatial Resolution | 10 m | 10 m | 10 m | 30 m | 30 m | 30 m |
| Date | 2020 | 2020 | 2017 | 2020 | 2020 | 2020 |
| Overall Accuracy | 75% | 85% | 72.76% | 79.31% | 82.5% | 85.72% |
| Reclassification Results | Results of the Original Data Land Cover Classification | |||||
|---|---|---|---|---|---|---|
| ESAGC | ESRI–LULC | FROM–GLC | CLCD | GLC_FCS30 | GLC30 | |
| Cropland | Cropland | Crops | Cropland | Cropland | Rainfed cropland/Herbaceous cover/Tree or shrub cover (orchard)/Irrigated cropland | Cultivated land |
| Forest | Tree cover | Trees | Forest | Forest | Open evergreen broadleaved forest/Closed evergreen broadleaved forest/Open deciduous broadleaved forest/Closed deciduous broadleaved forest/Open evergreen needle-leaved forest/Closed evergreen needle-leaved forest/Open deciduous needle-leaved forest/Closed deciduous needle-leaved forest/Open mixed leaf forest/Closed mixed leaf forest | Forest |
| Grassland | Grassland | Grass | Grassland | Grassland | Grassland | Grassland |
| Shrubland | Shrubland | Scrub/shrub | Shrubland | Shrub | Shrubland/Evergreen shrubland/Deciduous shrubland | Shrub land |
| Wetland | Herbaceous wetland | Flooded vegetation | Wetland | Wetland | Wetlands | Wetland |
| Water | Permanent water bodies | Water | Water | Water | Water body | Water bodies |
| Impervious surface | Built-up | Built Area | Impervious surface | Impervious | Impervious surfaces | Artificial Surfaces |
| Bare land | Bare/sparse vegetation | Bare ground | Bareland | Barren | Lichens and mosses/Sparse vegetation/Sparse shrubland/Sparse herbaceous/Bare areas/Consolidated bare areas/Unconsolidated bare areas | Bare land |
| Snow/Ice | Snow and Ice | Snow/Ice | Snow/Ice | Snow/Ice | Permanent ice and snow | Permanent snow and ice |
| Other | Mangroves/Moss and lichen | Clouds | Tundra | Tundra | ||
| ESAGC | ESRI–LULC | FROM–GLC | CLCD | GLC_FCS30 | GLC30 | |
|---|---|---|---|---|---|---|
| ESAGC | - | 0.989 | 0.966 | 0.974 | 0.828 | 0.959 |
| ESRI–LULC | 0.989 | - | 0.961 | 0.974 | 0.858 | 0.954 |
| FROM–GLC | 0.966 | 0.961 | - | 0.996 | 0.907 | 0.999 |
| CLCD | 0.974 | 0.974 | 0.996 | - | 0.909 | 0.995 |
| GLC_FCS30 | 0.828 | 0.858 | 0.907 | 0.909 | - | 0.909 |
| GLC30 | 0.959 | 0.954 | 0.999 | 0.995 | 0.909 | - |
| mean value | 0.943 | 0.947 | 0.966 | 0.970 | 0.882 | 0.963 |
Disclaimer/Publisher’s Note: The statements, opinions and data contained in all publications are solely those of the individual author(s) and contributor(s) and not of MDPI and/or the editor(s). MDPI and/or the editor(s) disclaim responsibility for any injury to people or property resulting from any ideas, methods, instructions or products referred to in the content. |
© 2023 by the authors. Licensee MDPI, Basel, Switzerland. This article is an open access article distributed under the terms and conditions of the Creative Commons Attribution (CC BY) license (https://creativecommons.org/licenses/by/4.0/).
Share and Cite
Hao, X.; Qiu, Y.; Jia, G.; Menenti, M.; Ma, J.; Jiang, Z. Evaluation of Global Land Use–Land Cover Data Products in Guangxi, China. Remote Sens. 2023, 15, 1291. https://doi.org/10.3390/rs15051291
Hao X, Qiu Y, Jia G, Menenti M, Ma J, Jiang Z. Evaluation of Global Land Use–Land Cover Data Products in Guangxi, China. Remote Sensing. 2023; 15(5):1291. https://doi.org/10.3390/rs15051291
Chicago/Turabian StyleHao, Xuan, Yubao Qiu, Guoqiang Jia, Massimo Menenti, Jiangming Ma, and Zhengxin Jiang. 2023. "Evaluation of Global Land Use–Land Cover Data Products in Guangxi, China" Remote Sensing 15, no. 5: 1291. https://doi.org/10.3390/rs15051291
APA StyleHao, X., Qiu, Y., Jia, G., Menenti, M., Ma, J., & Jiang, Z. (2023). Evaluation of Global Land Use–Land Cover Data Products in Guangxi, China. Remote Sensing, 15(5), 1291. https://doi.org/10.3390/rs15051291

