NRN-RSSEG: A Deep Neural Network Model for Combating Label Noise in Semantic Segmentation of Remote Sensing Images
Abstract
1. Introduction
2. Datasets and Methods
2.1. Dataset
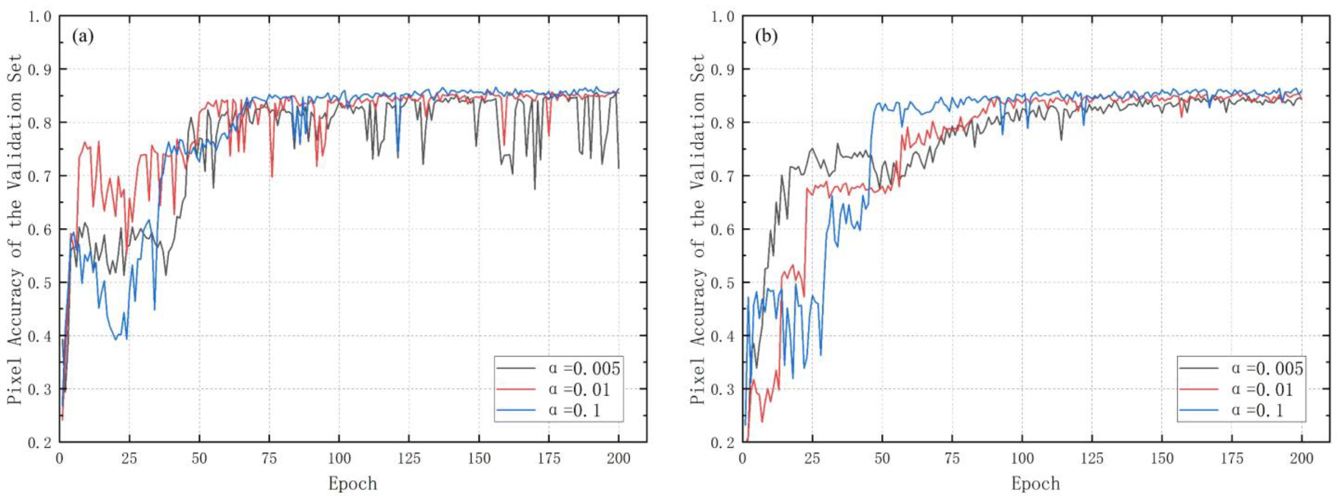
2.2. Experimental Design
2.3. Methods
2.3.1. Network Structure
2.3.2. Attention Network
2.3.3. Modified Loss Function
2.3.4. Sliding Window Prediction
2.3.5. Assessment
3. Results
3.1. Sample Performance
3.2. Visual Assessment of Samples
4. Discussion
4.1. Contribution of CBAM to the Model
4.2. Contribution of the Modified Loss Function to the Model
4.3. Comparison with Other Methods
5. Conclusions
- When the noise rate and noise level are low, UNET is less affected by label noise and exhibits a certain resistance to noise. When the label noise rate of the training set exceeded a certain threshold, the accuracy of the UNET was significantly reduced.
- For datasets with label noise, our proposed NRN-RSSEG method can maintain high accuracy and outperform the original method; this advantage becomes more obvious as label noise increases.
- The CBAM attention mechanism can improve the detailed effects of the prediction results and partially eliminate noise. The modified loss function has a greater impact on improving algorithm performance, and its hyperparameter values also affect both convergence and robustness to label noise.
Author Contributions
Funding
Institutional Review Board Statement
Informed Consent Statement
Data Availability Statement
Conflicts of Interest
References
- Huang, X.; Zhang, L.P.; Gong, W. Information fusion of aerial images and LIDAR data in urban areas: Vector-stacking, re-classification and post-processing approaches. Int. J. Remote Sens. 2011, 32, 69–84. [Google Scholar] [CrossRef]
- Lan, Z.Y.; Liu, Y. Study on Multi-Scale Window Determination for GLCM Texture Description in High-Resolution Remote Sensing Image Geo-Analysis Supported by GIS and Domain Knowledge. Isprs Int. J. Geo-Inf. 2018, 7, 175. [Google Scholar] [CrossRef]
- Leichtle, T.; Geiss, C.; Lakes, T.; Taubenbock, H. Class imbalance in unsupervised change detection-A diagnostic analysis from urban remote sensing. Int. J. Appl. Earth Obs. Geoinf. 2017, 60, 83–98. [Google Scholar] [CrossRef]
- Badrinarayanan, V.; Kendall, A.; Cipolla, R. SegNet: A Deep Convolutional Encoder-Decoder Architecture for Image Segmentation. IEEE Trans. Pattern Anal. Mach. Intell. 2017, 39, 2481–2495. [Google Scholar] [CrossRef] [PubMed]
- Haq, M.A. CDLSTM: A Novel Model for Climate Change Forecasting. CMC-Comput. Mat. Contin. 2022, 71, 2363–2381. [Google Scholar] [CrossRef]
- Haq, M.A. SMOTEDNN: A Novel Model for Air Pollution Forecasting and AQI Classification. CMC-Comput. Mat. Contin. 2022, 71, 1403–1425. [Google Scholar] [CrossRef]
- Chen, Y.; Fan, R.S.; Bilal, M.; Yang, X.C.; Wang, J.X.; Li, W. Multilevel Cloud Detection for High-Resolution Remote Sensing Imagery Using Multiple Convolutional Neural Networks. Isprs Int. J. Geo-Inf. 2018, 7, 181. [Google Scholar] [CrossRef]
- Kampffmeyer, M.; Salberg, A.B.; Jenssen, R. Semantic Segmentation of Small Objects and Modeling of Uncertainty in Urban Remote Sensing Images Using Deep Convolutional Neural Networks. In Proceedings of the 29th IEEE Conference on Computer Vision and Pattern Recognition (CVPR), Las Vegas, NV, USA, 26 June–1 July 2016; pp. 680–688. [Google Scholar]
- Lin, H.N.; Shi, Z.W.; Zou, Z.X. Fully Convolutional Network with Task Partitioning for Inshore Ship Detection in Optical Remote Sensing Images. IEEE Geosci. Remote Sens. Lett. 2017, 14, 1665–1669. [Google Scholar] [CrossRef]
- Jiao, L.C.; Liang, M.M.; Chen, H.; Yang, S.Y.; Liu, H.Y.; Cao, X.H. Deep Fully Convolutional Network-Based Spatial Distribution Prediction for Hyperspectral Image Classification. IEEE Trans. Geosci. Remote Sensing 2017, 55, 5585–5599. [Google Scholar] [CrossRef]
- Haq, M.A. CNN Based Automated Weed Detection System Using UAV Imagery. Comput. Syst. Sci. Eng. 2022, 42, 837–849. [Google Scholar] [CrossRef]
- Ratsch, G.; Onoda, T.; Muller, K.R. Soft margins for AdaBoost. Mach. Learn. 2001, 42, 287–320. [Google Scholar] [CrossRef]
- Frank, J.; Rebbapragada, U.; Bialas, J.; Oommen, T.; Havens, T.C. Effect of Label Noise on the Machine-Learned Classification of Earthquake Damage. Remote Sens. 2017, 9, 803. [Google Scholar] [CrossRef]
- Zhang, R.; Chen, Z.H.; Zhang, S.X.; Song, F.; Zhang, G.; Zhou, Q.C.; Lei, T. Remote Sensing Image Scene Classification with Noisy Label Distillation. Remote Sens. 2020, 12, 21. [Google Scholar] [CrossRef]
- Safavian, S.R.; Landgrebe, D. A survey of decision tree classifier methodology. IEEE Trans. Syst. Man Cybern. 1991, 21, 660–674. [Google Scholar] [CrossRef]
- Sukhbaatar, S.; Bruna, J.; Paluri, M.; Bourdev, L.; Fergus, R. Training convolutional networks with noisy labels. arXiv 2014, arXiv:1406.2080. [Google Scholar]
- Hendrycks, D.; Mazeika, M.; Wilson, D.; Gimpel, K. Using Trusted Data to Train Deep Networks on Labels Corrupted by Severe Noise. In Proceedings of the 32nd Conference on Neural Information Processing Systems (NIPS), Montreal, QC, Canada, 2–8 December 2018. [Google Scholar]
- Patrini, G.; Rozza, A.; Menon, A.K.; Nock, R.; Qu, L.Z. Making Deep Neural Networks Robust to Label Noise: A Loss Correction Approach. In Proceedings of the 30th IEEE/CVF Conference on Computer Vision and Pattern Recognition (CVPR), Honolulu, HI, USA, 21–26 July 2017; pp. 2233–2241. [Google Scholar]
- Goldberger, J.; Ben-Reuven, E. Training Deep Neural-Networks Using a Noise Adaptation Layer. In Proceedings of the International Conference on Learning Representations, Toulon, France, 4 November 2016. [Google Scholar]
- Huang, J.C.; Qu, L.; Jia, R.F.; Zhao, B.Q. O2U-Net: A Simple Noisy Label Detection Approach for Deep Neural Networks. In Proceedings of the IEEE/CVF International Conference on Computer Vision (ICCV), Seoul, Republic of Korea, 27 October–2 November 2019; pp. 3325–3333. [Google Scholar]
- Brooks, J.P. Support Vector Machines with the Ramp Loss and the Hard Margin Loss. Oper. Res. 2011, 59, 467–479. [Google Scholar] [CrossRef]
- van Rooyen, B.; Menon, A.K.; Williamson, R.C. Learning with Symmetric Label Noise: The Importance of Being Unhinged. In Proceedings of the 29th Annual Conference on Neural Information Processing Systems (NIPS), Montreal, QC, Canada, 7–12 December 2015. [Google Scholar]
- Ghosh, A.; Kumar, H.; Sastry, P.S. Robust Loss Functions under Label Noise for Deep Neural Networks. In Proceedings of the 31st AAAI Conference on Artificial Intelligence, San Francisco, CA, USA, 4–9 February 2017; pp. 1919–1925. [Google Scholar]
- Zhang, Z.; Jiang, G.; Wang, W. Label noise filtering method based on local probability sampling. J. Comput. Appl. 2021, 41, 67–73. [Google Scholar]
- Northcutt, C.G.; Jiang, L.; Chuang, I.L. Confident Learning: Estimating Uncertainty in Dataset Labels. J. Artif. Intell. Res. 2021, 70, 1373–1411. [Google Scholar] [CrossRef]
- Jindal, I.; Nokleby, M.; Chen, X.W. Learning Deep Networks from Noisy Labels with Dropout Regularization. In Proceedings of the 16th IEEE International Conference on Data Mining (ICDM), Barcelona, Spain, 12–15 December 2016; pp. 967–972. [Google Scholar]
- Sun, Y.; Tian, Y.; Xu, Y.P.; Li, J.X. Limited Gradient Descent: Learning with Noisy Labels. IEEE Access 2019, 7, 168296–168306. [Google Scholar] [CrossRef]
- Nguyen, A.; Yosinski, J.; Clune, J. Deep Neural Networks are Easily Fooled: High Confidence Predictions for Unrecognizable Images. In Proceedings of the IEEE Conference on Computer Vision and Pattern Recognition (CVPR), Boston, MA, USA, 7–12 June 2015; pp. 427–436. [Google Scholar]
- Jian, L.; Gao, F.H.; Ren, P.; Song, Y.Q.; Luo, S.H. A Noise-Resilient Online Learning Algorithm for Scene Classification. Remote Sens. 2018, 10, 1836. [Google Scholar] [CrossRef]
- Ren, M.Y.; Zeng, W.Y.; Yang, B.; Urtasun, R. Learning to Reweight Examples for Robust Deep Learning. In Proceedings of the 35th International Conference on Machine Learning (ICML), Stockholm, Sweden, 10–15 July 2018. [Google Scholar]
- Pham, H.; Dai, Z.H.; Xie, Q.Z.; Le, Q.V.; Ieee Comp, S.O.C. Meta Pseudo Labels. In Proceedings of the IEEE/CVF Conference on Computer Vision and Pattern Recognition (CVPR), Electr Network, Nashville, TN, USA, 19–25 June 2021; pp. 11552–11563. [Google Scholar]
- Ghosh, A.; Manwani, N.; Sastry, P.S. Making risk minimization tolerant to label noise. Neurocomputing 2015, 160, 93–107. [Google Scholar] [CrossRef]
- Feng, L.; Shu, S.L.; Lin, Z.Y.; Lv, F.M.; Li, L.; An, B. Can Cross Entropy Loss Be Robust to Label Noise? In Proceedings of the 29th International Joint Conference on Artificial Intelligence, Electr Network, Yokohama, Japan, 7–15 January 2021; pp. 2206–2212. [Google Scholar]
- Saberi, N.; Scott, K.A.; Duguay, C. Incorporating Aleatoric Uncertainties in Lake Ice Mapping Using RADARSAT-2 SAR Images and CNNs. Remote Sens. 2022, 14, 644. [Google Scholar] [CrossRef]
- Cao, Y.C.; Wu, Y.; Zhang, P.; Liang, W.K.; Li, M. Pixel-Wise PolSAR Image Classification via a Novel Complex-Valued Deep Fully Convolutional Network. Remote Sens. 2019, 11, 2653. [Google Scholar] [CrossRef]
- Rottensteiner, F.; Sohn, G.; Gerke, M.; Wegner, J.D. ISPRS semantic labeling contest. ISPRS Leopoldshöhe Ger. 2014, 1, 4. [Google Scholar]
- Vaswani, A.; Shazeer, N.; Parmar, N.; Uszkoreit, J.; Jones, L.; Gomez, A.N.; Kaiser, L.; Polosukhin, I. Attention Is All You Need. In Proceedings of the 31st Annual Conference on Neural Information Processing Systems (NIPS), Long Beach, CA, USA, 4–9 December 2017. [Google Scholar]
- Ronneberger, O.; Fischer, P.; Brox, T. U-Net: Convolutional Networks for Biomedical Image Segmentation. In Proceedings of the 18th International Conference on Medical Image Computing and Computer-Assisted Intervention (MICCAI), Munich, Germany, 5–9 October 2015; pp. 234–241. [Google Scholar]
- Woo, S.H.; Park, J.; Lee, J.Y.; Kweon, I.S. CBAM: Convolutional Block Attention Module. In Proceedings of the 15th European Conference on Computer Vision (ECCV), Munich, Germany, 8–14 September 2018; pp. 3–19. [Google Scholar]
- Wang, Y.S.; Ma, X.J.; Chen, Z.Y.; Luo, Y.; Yi, J.F.; Bailey, J. Symmetric Cross Entropy for Robust Learning with Noisy Labels. In Proceedings of the IEEE/CVF International Conference on Computer Vision (ICCV), Seoul, Republic of Korea, 27 October–2 November 2019; pp. 322–330. [Google Scholar]
- Wang, Z.; Zhou, Y.; Wang, S.; Wang, F.; Xu, Z. House building extraction from high-resolution remote sensing images based on IEU-Net. J. Remote Sens. 2021, 25, 2245–2254. [Google Scholar]
- Krizhevsky, A.; Sutskever, I.; Hinton, G.E. ImageNet Classification with Deep Convolutional Neural Networks. Commun. ACM 2017, 60, 84–90. [Google Scholar] [CrossRef]












| Meath | Assessment | ||||
|---|---|---|---|---|---|
| UNET | PA | 0.8288 | 0.8097 | 0.8208 | 0.7674 |
| MPA | 0.8217 | 0.8070 | 0.8284 | 0.7790 | |
| Kappa | 0.7729 | 0.7455 | 0.7610 | 0.6874 | |
| Mean_F1 | 0.8019 | 0.8056 | 0.7277 | 0.7508 | |
| FWIoU | 0.7145 | 0.6813 | 0.7007 | 0.6170 | |
| NRN-RSSEG | PA | 0.8309 | 0.8288 | 0.8287 | 0.8058 |
| MPA | 0.7935 | 0.8312 | 0.8285 | 0.8076 | |
| Kappa | 0.7752 | 0.7720 | 0.7722 | 0.7419 | |
| Mean_F1 | 0.7873 | 0.8286 | 0.8296 | 0.8082 | |
| FWIoU | 0.7157 | 0.7140 | 0.7151 | 0.6831 |
| Meath | Assessment | |
|---|---|---|
| NRN-RSSEG without CBAM | PA | 0.8027 |
| MPA | 0.8028 | |
| Kappa | 0.7373 | |
| Mean_F1 | 0.8005 | |
| FWIoU | 0.6773 | |
| NRN-RSSEG | PA | 0.8058 |
| MPA | 0.8076 | |
| Kappa | 0.7419 | |
| Mean_F1 | 0.8082 | |
| FWIoU | 0.6831 |
| Meath | Assessment | ||||
|---|---|---|---|---|---|
| UNET | PA | 0.8288 | 0.8097 | 0.8208 | 0.7674 |
| MPA | 0.8217 | 0.8070 | 0.8284 | 0.7790 | |
| Kappa | 0.7729 | 0.7455 | 0.7610 | 0.6874 | |
| Mean_F1 | 0.8019 | 0.8056 | 0.7277 | 0.7508 | |
| FWIoU | 0.7145 | 0.6813 | 0.7007 | 0.6170 | |
| UNET + RCE | PA | 0.8317 | 0.8145 | 0.8137 | 0.7498 |
| MPA | 0.6702 | 0.6540 | 0.6610 | 0.7705 | |
| Kappa | 0.7761 | 0.7520 | 0.7520 | 0.6679 | |
| Mean_F1 | 0.6684 | 0.6461 | 0.6497 | 0.7501 | |
| FWIoU | 0.7158 | 0.6873 | 0.6902 | 0.6005 | |
| UNET + CBAM + RCE | PA | 0.8191 | 0.8219 | 0.7968 | 0.7546 |
| MPA | 0.7890 | 0.8244 | 0.6465 | 0.7614 | |
| Kappa | 0.7594 | 0.7622 | 0.7285 | 0.6728 | |
| Mean_F1 | 0.7900 | 0.8191 | 0.6323 | 0.7514 | |
| FWIoU | 0.6953 | 0.7016 | 0.6663 | 0.6055 | |
| NRN-RSSEG | PA | 0.8309 | 0.8288 | 0.8287 | 0.8058 |
| MPA | 0.7935 | 0.8312 | 0.8285 | 0.8076 | |
| Kappa | 0.7752 | 0.7720 | 0.7722 | 0.7419 | |
| Mean_F1 | 0.7873 | 0.8286 | 0.8296 | 0.8082 | |
| FWIoU | 0.7157 | 0.7140 | 0.7151 | 0.6831 |
Disclaimer/Publisher’s Note: The statements, opinions and data contained in all publications are solely those of the individual author(s) and contributor(s) and not of MDPI and/or the editor(s). MDPI and/or the editor(s) disclaim responsibility for any injury to people or property resulting from any ideas, methods, instructions or products referred to in the content. |
© 2022 by the authors. Licensee MDPI, Basel, Switzerland. This article is an open access article distributed under the terms and conditions of the Creative Commons Attribution (CC BY) license (https://creativecommons.org/licenses/by/4.0/).
Share and Cite
Xi, M.; Li, J.; He, Z.; Yu, M.; Qin, F. NRN-RSSEG: A Deep Neural Network Model for Combating Label Noise in Semantic Segmentation of Remote Sensing Images. Remote Sens. 2023, 15, 108. https://doi.org/10.3390/rs15010108
Xi M, Li J, He Z, Yu M, Qin F. NRN-RSSEG: A Deep Neural Network Model for Combating Label Noise in Semantic Segmentation of Remote Sensing Images. Remote Sensing. 2023; 15(1):108. https://doi.org/10.3390/rs15010108
Chicago/Turabian StyleXi, Mengfei, Jie Li, Zhilin He, Minmin Yu, and Fen Qin. 2023. "NRN-RSSEG: A Deep Neural Network Model for Combating Label Noise in Semantic Segmentation of Remote Sensing Images" Remote Sensing 15, no. 1: 108. https://doi.org/10.3390/rs15010108
APA StyleXi, M., Li, J., He, Z., Yu, M., & Qin, F. (2023). NRN-RSSEG: A Deep Neural Network Model for Combating Label Noise in Semantic Segmentation of Remote Sensing Images. Remote Sensing, 15(1), 108. https://doi.org/10.3390/rs15010108

