Spatiotemporal Variability of Wildland Fuels in US Northern Rocky Mountain Forests
Abstract
:1. Introduction
2. Methods
2.1. Spatial Methods
2.2. Temporal Methods
3. Results
3.1. Spatial Dynamics
3.2. Temporal Dynamics
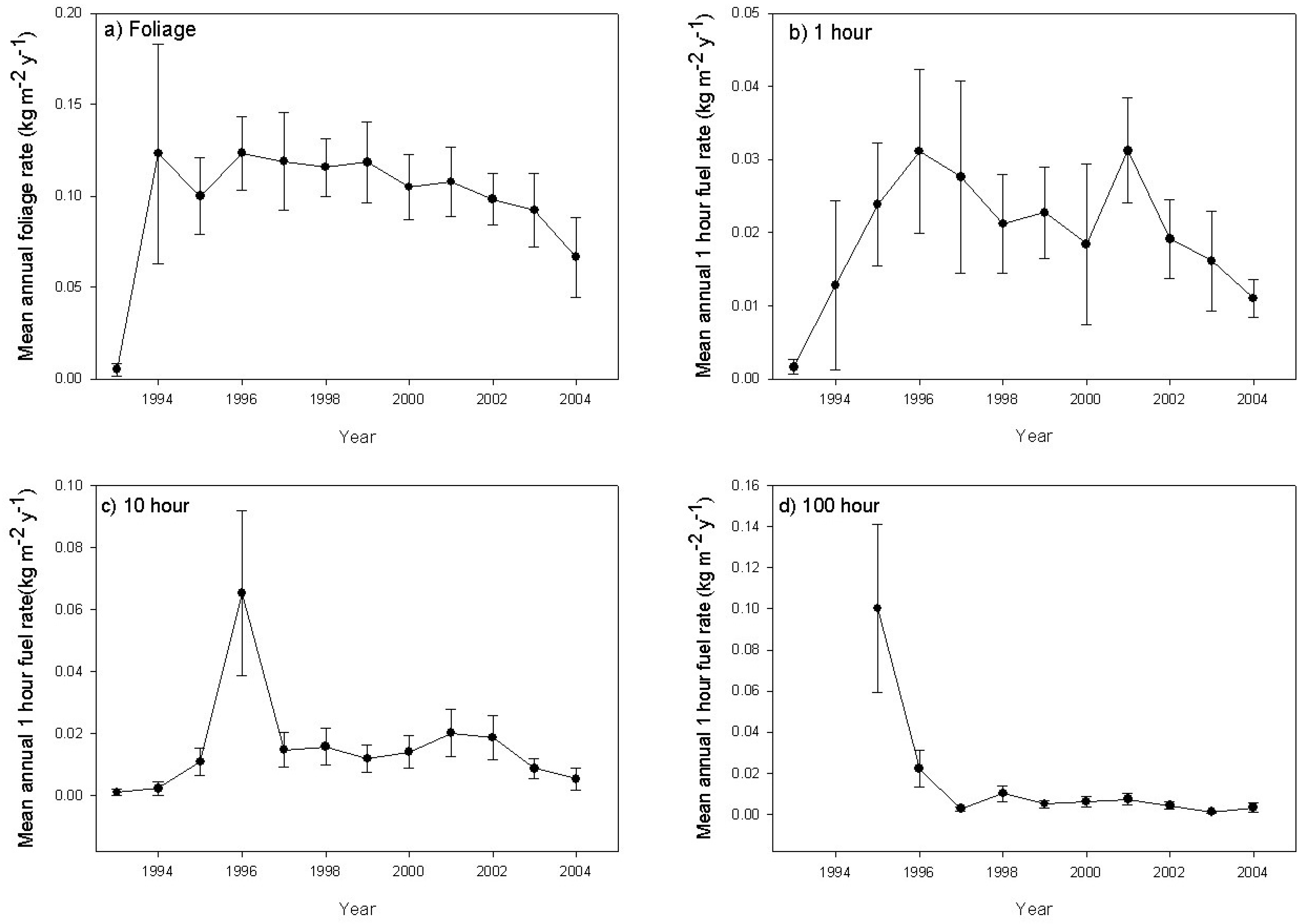
3.2.1. Deposition
3.2.2. Decomposition
4. Discussion
4.1. The Wildland Fuel Mosaic
4.2. Implications
5. Summary
Acknowledgments
Conflicts of Interest
Abbreviations
| FUELVAR | A comprehensive project aimed at quantifying the spatial variability of fuels |
| FUELDYN | A 12 years study quantifying litterfall and decomposition rates for US northern Rocky Mountain undisturbed stands |
| 1 h | downed, dead woody fuel particles less than 6 mm in diameter |
| 10 h | downed, dead woody fuel particles less than 25 mm in diameter |
| 100 h | downed, dead woody fuel particles less than 76 mm in diameter |
| 1000 h | downed, dead woody fuel particles greater than 76 mm in diameter |
| FWD | all dead fuel particles below 76 mm in diameter |
| CWD | all dead fuel particles greater than 76 mm in diameter |
References
- Heyerdahl, E.K.; Brubaker, L.B.; Agee, J.K. Spatial controls of historical fire regimes: A multiscale example from the Interior West, USA. Ecology 2001, 82, 660–678. [Google Scholar] [CrossRef]
- Swetnam, T.W.; Betancourt, J.L. Fire-southern oscillation relations in the southwestern United States. Science 1990, 249, 1017–1020. [Google Scholar] [CrossRef] [PubMed]
- Weise, D.R.; Wright, C.S. Wildland fire emissions, carbon and climate: Characterizing wildland fuels. For. Ecol. Manag. 2014, 317, 26–40. [Google Scholar] [CrossRef]
- Rocca, M.E.; Brown, P.M.; MacDonald, L.H.; Carrico, C.M. Climate change impacts on fire regimes and key ecosystem services in Rocky Mountain forests. For. Ecol. Manag. 2014, 327, 290–305. [Google Scholar] [CrossRef]
- Agee, J.K.; Skinner, C.N. Basic principles of forest fuel reduction treatments. For. Ecol. Manag. 2005, 211, 83–96. [Google Scholar] [CrossRef]
- McKenzie, D.; Kennedy, M.C. Scaling laws and complexity in fire regimes. In The Landscape Ecology of Fire; McKenzie, D., Miller, C., Falk, D.A., Eds.; Springer Ltd.: Dordrecht, The Netherlands, 2011. [Google Scholar]
- McKenzie, D.; Shankar, U.; Keane, R.E.; Stavros, E.N.; Heilman, W.E.; Fox, D.G.; Riebau, A.C. Smoke consequences of new wildfire regimes driven by climate change. Earth’s Future 2014, 2, 35–59. [Google Scholar] [CrossRef]
- Reinhardt, E.D.; Keane, R.E.; Calkin, D.E.; Cohen, J.D. Objectives and considerations for wildland fuel treatment in forested ecosystems of the interior western United States. For. Ecol. Manag. 2008, 256, 1997–2006. [Google Scholar] [CrossRef]
- Keane, R.E. Wildland Fuel Fundamentals and Applications; Springer: New York, NY, USA, 2015. [Google Scholar]
- Harmon, M.E.; Franklin, J.F.; Swanson, F.J.; Sollins, P.; Gregory, S.V.; Lattin, J.D.; Anderson, N.H.; Cline, S.P.; Aumen, N.G.; Sedell, J.R.; et al. Ecology of coarse woody debris in temperate ecosystems. Adv. Ecol. Res. 1986, 15, 133–302. [Google Scholar]
- Keane, R.E.; Gray, K.; Bacciu, V. Spatial Variability of Wildland Fuel Characteristics in Northern Rocky Mountain Ecosystems; Research Paper RMRS-RP-98; USDA Forest Service Rocky Mountain Research Station: Fort Collins, CO, USA, 2012; p. 56.
- Kalabokidis, K.; Omi, P. Quadrat analysis of wildland fuel spatial variability. Int. J. Wildland Fire 1992, 2, 145–152. [Google Scholar] [CrossRef]
- Brown, J.K.; Bevins, C.D. Surface Fuel Loadings and Predicted Fire Behavior for Vegetation Types in the Northern Rocky Mountains; INT-358; U.S. Department of Agriculture, Forest Service, Intermountain Forest and Range Experiment Station: Ogden, UT, USA, 1986; p. 9.
- Waring, R.H.; Running, S.W. Forest Ecosystems: Analysis at Multiple Scales, 2nd ed.; Academic Press, Inc.: San Diego, CA, USA, 1998; p. 370. [Google Scholar]
- Menakis, J.P.; Keane, R.E.; Long, D.G. Mapping ecological attributes using an integrated vegetation classification system approach. J. Sustain. For. 2000, 11, 245–265. [Google Scholar] [CrossRef]
- Keane, R.; Gray, K.; Bacciu, V.; Leirfallom, S. Spatial scaling of wildland fuels for six forest and rangeland ecosystems of the northern Rocky Mountains, USA. Landsc. Ecol. 2012, 27, 1213–1234. [Google Scholar] [CrossRef]
- Stephens, S.L.; McIver, J.D.; Boerner, R.E.; Fettig, C.J.; Fontaine, J.B.; Hartsough, B.R.; Kennedy, P.L.; Schwilk, D.W. The effects of forest fuel-reduction treatments in the United States. BioScience 2012, 62, 549–560. [Google Scholar]
- Parsons, R.A.; Mell, W.E.; McCauley, P. Linking 3D spatial models of fuels and fire: Effects of spatial heterogeneity on fire behavior. Ecol. Model. 2010, 222, 679–691. [Google Scholar] [CrossRef]
- King, K.J.; Bradstock, R.A.; Cary, G.J.; Chapman, J.; Marsden-Smedley, J.B. The relative importance of fine-scale fuel mosaics on reducing fire risk in south-west Tasmania, Australia. Int. J. Wildland Fire 2008, 17, 421–430. [Google Scholar] [CrossRef]
- Reich, R.M.; Lundquist, J.E.; Bravo, V.A. Spatial models for estimating fuel loads in the Black Hills, South Dakota, USA. Int. J. Wildland Fire 2004, 13, 119–129. [Google Scholar] [CrossRef]
- Hiers, J.K.; O’Brien, J.J.; Mitchell, R.J.; Grego, J.M.; Loudermilk, E.L. The wildland fuel cell concept: An approach to characterize fine-scale variation in fuels and fire in frequently burned longleaf pine forests. Int. J. Wildland Fire 2009, 18, 315–325. [Google Scholar] [CrossRef]
- Peters, D.P.C.; Mariotto, I.; Havstad, K.M.; Murray, L.W. Spatial variation in remnant grasses after a grassland-to-shrubland state change: implications for restoration. Rangel. Ecol. Manag. 2006, 59, 343–350. [Google Scholar] [CrossRef]
- Theobald, D. A general model to quantify ecological integrity for landscape assessments and US application. Landsc. Ecol. 2013, 28, 1859–1874. [Google Scholar] [CrossRef]
- Kreye, J.K.; Varner, J.M.; Dugaw, C.J. Spatial and temporal variability of forest floor duff characteristics in long-unburned Pinus palustris forests. Can. J. For. Res. 2014, 44, 1477–1486. [Google Scholar] [CrossRef]
- Ferrari, J.B. Fine-scale patterns of leaf litterfall and nitrogen cycling in an old-growth forest. Can. J. For. Res. 1999, 29, 291–302. [Google Scholar] [CrossRef]
- Jin, S. Computer classification of four major components of surface fuel in Northeast China by image: The first step towards describing spatial heterogeneity of surface fuels by imags. For. Ecol. Manag. 2004, 203, 395–406. [Google Scholar] [CrossRef]
- Jia, G.J.; Burke, I.C.; Goetz, A.F.H.; Kaufmann, M.R.; Kindel, B.C. Assessing spatial patterns of forest fuels using AVIRIS data. Remote Sens. Environ. 2006, 102, 318–327. [Google Scholar] [CrossRef]
- Miller, C.; Urban, D.L. Connectivity of forest fuels and surface fire regimes. Landsc. Ecol. 2000, 15, 145–154. [Google Scholar] [CrossRef]
- Knapp, E.E.; Keeley, J.E. Heterogeneity in fire severity within early season and late season prescribed burns in a mixed-conifer forest. Int. J. Wildland Fire 2006, 15, 37–45. [Google Scholar] [CrossRef]
- Jenkins, M.J.; Page, W.G.; Hebertson, E.G.; Alexander, M.E. Fuels and fire behavior dynamics in bark beetle-attacked forests in Western North America and implications for fire management. For. Ecol. Manag. 2012, 275, 23–34. [Google Scholar] [CrossRef]
- Keane, R.E. Surface Fuel Litterfall and Decomposition in the Northern Rocky Mountains, USA; Research Paper RMRS-RP-70; USDA Forest Service Rocky Mountain Research Station: Fort Collins, CO, USA, 2008; p. 22.
- Keane, R.E. Biophysical controls on surface fuel litterfall and decomposition in the northern Rocky Mountains, USA. Can. J. For. Res. 2008, 38, 1431–1445. [Google Scholar] [CrossRef]
- Bellehumeur, C.; Legendre, P. Multiscale sources of variation in ecological variables: Modeling spatial dispersion, elaborating sampling designs. Landsc. Ecol. 1998, 13, 15–25. [Google Scholar] [CrossRef]
- Townsend, D.E.; Fuhlendorf, S.D. Evaluating Relationships between Spatial Heterogeneity and the Biotic and Abiotic Environments. Am. Midl. Nat. 2010, 163, 351–365. [Google Scholar] [CrossRef]
- Fortin, M.-J. Spatial statistics in landscape ecology. In Landscape Ecological Analysis: Issues and Applications; Klopatek, J.M., Gardner, R.H., Eds.; Springer-Verlag, Inc.: New York, NY, USA, 1999; pp. 253–279. [Google Scholar]
- Olson, J. Energy storage and the balance of the producers and decomposers in ecological systems. Ecology 1963, 44, 322–331. [Google Scholar] [CrossRef]
- Harmon, M.E.; Krankina, O.N.; Sexton, J. Decomposition vectors: A new approach to estimating woody detritus decomposition dynamics. Can. J. For. Res. 2000, 30, 76–84. [Google Scholar] [CrossRef]
- Kaarik, A.A. Decomposition of wood. In Biology of Plant Litter Decomposition; Dickinson, C.H., Pugh, G.J.F., Eds.; Academic Press: London, UK, 1974; Volume 1, pp. 129–174. [Google Scholar]
- Harmon, M.E.; Hua, C. Coarse woody debris dynamics in two old-growth ecosystems. Bioscience 1991, 41, 604–610. [Google Scholar] [CrossRef]
- McKenzie, D.; Miller, C.; Falk, D.A. The Landscape Ecology of Fire; Springer Ltd.: Dordrecht, The Netherlands, 2011. [Google Scholar]
- Scott, A.C.; Bowman, D.M.J.S.; Bond, W.J.; Pyne, S.J.; Alexander, M.E. Fire on Earth: An Introduction; John Wiley and Sons Ltd.: Chichester, UK, 2014; p. 413. [Google Scholar]
- Brown, J.K.; Reinhardt, E.D.; Fischer, W.C. Predicting duff and woody fuel consumption in northern Idaho prescribed fires. For. Sci. 1991, 37, 1550–1566. [Google Scholar]
- Keane, R.E. Describing wildland surface fuel loading for fire management: A review of approaches, methods and systems. Int. J. Wildland Fire 2013, 22, 51–62. [Google Scholar] [CrossRef]
- Keane, R.E.; Gray, K. Comparing three sampling techniques for estimating fine woody down dead biomass. Int. J. Wildland Fire 2013, 22, 1093–1107. [Google Scholar] [CrossRef]
- Fischer, W.C. Photo Guide for Appraising Downed Woody Fuels in Montana Forests: Interior Ponderosa Pine, Ponderosa Pine-Larch-Douglas-Fir, Larch-Douglas-Fir, and Interior Douglas-Fir Cover Types; INT-97; USDA Forest Service Intermountain Research Station: Ogden, UT, USA, 1981; p. 133.
- Sikkink, P.G.; Keane, R.E. A comparison of five sampling techniques to estimate surface fuel loading in montane forests. Int. J. Wildland Fire 2008, 17, 363–379. [Google Scholar] [CrossRef]
- Keane, R.E.; Burgan, R.E.; Wagtendonk, J.V. Mapping wildland fuels for fire management across multiple scales: Integrating remote sensing, GIS, and biophysical modeling. Int. J. Wildland Fire 2001, 10, 301–319. [Google Scholar] [CrossRef]
- Keane, R.E.; Herynk, J.M.; Toney, C.; Urbanski, S.P.; Lutes, D.C.; Ottmar, R.D. Evaluating the performance and mapping of three fuel classification systems using Forest Inventory and Analysis surface fuel measurements. For. Ecol. Manag. 2013, 305, 248–263. [Google Scholar] [CrossRef]
- Hall, S.A.; Burke, I.C. Considerations for characterizing fuels as inputs for fire behavior models. For. Ecol. Manag. 2006, 227, 102–114. [Google Scholar] [CrossRef]
- Finney, M.A. Design of regular landscape fuel treatment patterns for modifying fire growth and behavior. For. Sci. 2001, 47, 219–228. [Google Scholar]
- Finney, M.A. A Computational Method for Optimizing Fuel Treatment Locations. In Fuels management-how to measure success, Proceedings of the Rocky Mountain Research Station Conference; Portland, OR, USA, 28–30 March 2006, Andrews, P.L., Butler, B.W., Eds.; U.S. Department of Agriculture, Forest Service, RMRS-P-41: Portland, OR, USA, 2006; pp. 107–123. [Google Scholar]
- Parks, S.A.; Miller, C.; Holsinger, L.M.; Baggett, L.S.; Bird, B.J. Wildland fire limits subsequent fire occurrence. Int. J. Wildland Fire 2016, 25, 182–190. [Google Scholar] [CrossRef]
- Andrews, P.L. BehavePlus Fire Modeling System, Version 4.0: Variables; RMRS-GTR-213WWW; USDA Forest Service Rocky Mountain Research Station: Fort Collins, CO, USA, 2008; p. 107.
- Beukema, S.J.; Greenough, J.A.; Robinson, D.C.E.; Kurtz, W.A.; Reinhardt, E.D.; Crookston, N.L.; Brown, J.K.; Hardy, C.C.; Stage, A.R. An introduction to the Fire and Fuels Extension to FVS. In Proceedings of the Forest Vegetation Simulator Conference; Ft. Collins, CO, USA, 3–7 February 1997, Teck, R., Moeur, M., Adams, J., Eds.; United States Department of Agriculture, Forest Service, Intermountain Forest and Range Experiment Station: Ft. Collins, CO, USA, 1997; pp. 191–195. [Google Scholar]
- Lutes, D.C.; Keane, R.E.; Caratti, J.F. A surface fuels classification for estimating fire effects. Int. J. Wildland Fire 2009, 18, 802–814. [Google Scholar] [CrossRef]
- Bowman, D.M.J.S.; Balch, J.K.; Artaxo, P.; Bond, W.J.; Carlson, J.M.; Cochrane, M.A.; D’Antonio, C.M.; DeFries, R.S.; Doyle, J.C.; Harrison, S.P.; et al. Fire in the Earth System. Science 2009, 324, 481–484. [Google Scholar] [CrossRef] [PubMed]







| Fuel Type | Fuel Component/Attribute | Common Name | Size | Description |
|---|---|---|---|---|
| Canopy Fuels | ||||
| Canopy | Canopy bulk density (kg·m−3) | CBD | <3 mm diameter | All canopy material less than 3 mm diameter |
| Canopy fuel loading (kg·m−2) | CFL | <3 mm diameter | All canopy material less than 3 mm diameter | |
| Canopy cover (%) | CC | All material | Vertically projected canopy cover | |
| Surface Fuels | ||||
| Downed Dead Woody | 1 h woody | Twigs, FWD | <0.6 cm (0.25 inch) diameter | Detached woody fuel particles on the ground |
| 10 h woody | Branches, FWD | 0.6–2.5 cm (0.25–1.0 inch) diameter | Detached woody fuel particles on the ground | |
| 100 h woody | Large Branches, FWD | 2.5–8 cm (1–3 inch) diameter | Detached woody fuel particles on the ground | |
| 1000 h woody | Logs, CWD | 8+ cm (3+ inch) diameter | Detached woody fuel particles on the ground | |
| Shrubs | Shrub | Shrubby | All shrubby material less than 5 cm diameter | All burnable shrubby biomass with branch diameters less than 5 cm |
| Herbaceous | Herb | Herbs | All sizes | All live and dead grass, forb, and fern biomass |
| Litter | Litter | Litter | All sizes, excluding woody | Freshly fallen non-woody material which includes leaves, cones, pollen cones |
| Ground Fuels | ||||
| Duff | Duff | Duff | All sizes | Partially decomposed biomass whose origins cannot be determined |
| Fuel Component | Sagebrush Grassland | Pinyon Juniper | Ponderosa Pine Savanna | Ponderosa Pine-Fir | Pine- Fir-Larch | Lodgepole Pine |
|---|---|---|---|---|---|---|
| Range (m) | ||||||
| 1 h | 4.7 | 2.5 | 2.8 | 16.3 | 8.9 | 6.0 |
| 10 h | 6.6 | 2.4 | 0.9 | 4.9 | 2.2 | 11.1 |
| 100 h | No 100 h | 2.5 | 2.5 | 4.6 | 2.4 | 4.1 |
| 1000 h | No Logs | No Logs | 84.0 | 22.0 | 87.3 | 157.0 |
| Shrub | 2.4 | 15.1 | 0.9 | 1.8 | 3.6 | 2.7 |
| Herb | 0.7 | 1.1 | 0.8 | 3.5 | 0.5 | 1.8 |
| Litter + Duff | 0.5 | 1.4 | 2.5 | 1.3 | 0.5 | 0.9 |
| CBD | No trees | 440.0 | - | 412.0 | 100.0 | 120.0 |
| CFL | No trees | 560.0 | - | 600.0 | 310.0 | 560.0 |
| CC | No trees | 407.0 | - | - | 230.0 | 300.0 |
© 2016 by the author; licensee MDPI, Basel, Switzerland. This article is an open access article distributed under the terms and conditions of the Creative Commons Attribution (CC-BY) license (http://creativecommons.org/licenses/by/4.0/).
Share and Cite
Keane, R.E. Spatiotemporal Variability of Wildland Fuels in US Northern Rocky Mountain Forests. Forests 2016, 7, 129. https://doi.org/10.3390/f7070129
Keane RE. Spatiotemporal Variability of Wildland Fuels in US Northern Rocky Mountain Forests. Forests. 2016; 7(7):129. https://doi.org/10.3390/f7070129
Chicago/Turabian StyleKeane, Robert E. 2016. "Spatiotemporal Variability of Wildland Fuels in US Northern Rocky Mountain Forests" Forests 7, no. 7: 129. https://doi.org/10.3390/f7070129
APA StyleKeane, R. E. (2016). Spatiotemporal Variability of Wildland Fuels in US Northern Rocky Mountain Forests. Forests, 7(7), 129. https://doi.org/10.3390/f7070129
