Next Article in Journal
A Three-Level Model System of Biomass and Carbon Storage for All Forest Types in China
Next Article in Special Issue
Diversity of Arbuscular Mycorrhizal Fungi Increases with Tree Age in Karstic Rocky Desertification Areas of Southwestern China
Previous Article in Journal
Predicting Potential Suitable Areas of Dendrocalamus brandisii under Global Climate Change
Previous Article in Special Issue
Driving Forces and Ecological Restoration Revelation in Southwest China Based on the Divergence Characteristics of Ecosystem Compound Use Efficiency
 
 
Font Type:
Arial Georgia Verdana
Font Size:
Aa Aa Aa
Line Spacing:
Column Width:
Background:
Article

Impact of Different Land Use Types on Bacterial and Fungal Communities in a Typical Karst Depression in Southwestern China

1
Key Laboratory of Wildlife Evolution and Conservation in Mountain Ecosystem of Guangxi, Nanning 530001, China
2
School of Environmental and Life Sciences, Nanning Normal University, Nanning 530001, China
3
Nonggang Karst Ecosystem Observation and Research Station of Guangxi, Chongzuo 532499, China
*
Author to whom correspondence should be addressed.
These authors contributed equally to this work.
Forests 2024, 15(8), 1299; https://doi.org/10.3390/f15081299
Submission received: 30 June 2024 / Revised: 16 July 2024 / Accepted: 22 July 2024 / Published: 25 July 2024

Abstract

Understanding the land use pattern relationships regarding the composition, diversity, and abundance of soil microbial communities in a typical karst depression in southwestern China is crucial for assessing the stability of local karst ecosystems. However, these aspects in typical karst depressions within northern tropical karst seasonal rainforests in China remain limited. Therefore, we examined the differences in soil microorganism abundance, diversity, community composition, and co-occurrence networks under five land use types in a tropical karst region in southwestern China: sugarcane fields, orchards, grasslands, plantation forests, and secondary forests. The soil microbial communities of samples from these areas were analyzed using 16S rRNA gene amplification. The abundances of Acidobacteria and Ascomycota were lowest (20.66% and 66.55%, respectively) in secondary forests and highest (35.59% and 89.35%, respectively) in sugarcane fields. Differences in microbial abundance across land use types were related to soil pH and total phosphorus. PCoA and ANOSIM demonstrated significant differences in soil bacterial and fungal community structures among the five land use types. Bacterial alpha-diversity showed no significant variation among the different land uses, whereas fungal alpha-diversity exhibited significant differences. Observed Chao1, ACE, and Shannon indices indicated that secondary forests had the highest fungal alpha-diversity. Land use changes also influenced bacterial and fungal co-occurrence networks, with the networks in secondary forests, plantation forests, and orchards being more complex and stable than those in grasslands and sugarcane fields. Key taxa such as Proteobacteria, Planctomycetes, Chloroflexi, Ascomycota, and Basidiomycota were predominantly connected within the co-occurrence networks, highlighting their high functional potential. This study provides insights that can inform more effective land use planning and management strategies in karst depressions, thereby enhancing ecological sustainability and balance.

1. Introduction

Since the 1990s, the Chinese government been implementing a large-scale ecological restoration initiative to combat rocky desertification and land degradation in the southwest karst region, known as the “Grain for Green” project. This project mainly involves converting abandoned and cultivated lands on sloping terrain into forested areas to increase the “greening area” [1,2]. The forest area in Southwest China expanded from 249,414 km2 in 1986 to 978,954 km2 in 2018, resulting in a 35% increase in forest coverage [3]. Such significant land use changes not only alter vegetation community composition and above- and below-ground biomass [4,5], but also affect soil carbon, nitrogen, and phosphorus cycling [6,7], subsequently influencing soil microbial community structure and diversity in terrestrial ecosystems [8,9]. Therefore, the composition and diversity of soil microbial communities serve as sensitive indicators of ecological environmental variations [10], such as land use changes [11,12].
Different land management practices, including restoration, deforestation, agriculture, and urbanization, can alter soil properties, such as pH, nutrient availability, and organic matter content, which in turn affect the microbial community structure [13,14]. Several studies have found that the species diversity, abundance, functional traits, community structure, and ecological functions of soil microbial communities vary across different land uses [15,16]. Land use changes, such as the conversion of natural forests to forest plantations or cultivated land, significantly decrease the abundance and alpha-diversity of soil bacterial communities (e.g., Proteobacteria, Verrucomicrobia, and Acidobacteria) [9,17]. Conversely, vegetation succession and restoration increase soil microbial abundance and diversity [18,19]. However, some studies have found that land use changes have a non-significant influence on alpha-diversity in tropical forests [17]. These inconsistencies in findings across different land uses may be attributed to environmental heterogeneity and land use changes [20,21]. Therefore, a comprehensive understanding of the impact of land use changes (e.g., returning farmland to forest and artificial afforestation) on soil microbial communities is crucial for sustainable ecological development.
The karst region in southwestern China features a complex mountainous topography with shallow soils and high rocky exposure rates, resulting in a highly heterogeneous ecological environment that is vulnerable to geological conditions and agricultural practices [22,23]. Additionally, over the past century, high population pressure and improper land use practices have led to deforestation and soil erosion in karst regions [24], significantly affecting the soil microbial communities. Since 1999, extensive vegetation restoration initiatives have been promoted to revive deteriorated agricultural areas [25]. These efforts have successfully restored abandoned or degraded farmland to forests through natural regeneration and afforestation [26]. Previous studies have indicated that vegetation restoration significantly increases soil microbial biomass and diversity within karst ecosystems [27,28]. These studies have primarily focused on broad-leaved forests in subtropical karst regions, such as Yunnan [9], northern Guangxi [24], and Hubei [29]. However, knowledge regarding the composition, diversity, and abundance of soil bacterial and fungal communities in typical karst depressions within the northern tropical karst seasonal rainforests in China remains limited.
Land use modifications lead to variations in soil microbial communities, which in turn affect ecosystem function and stability. The complex geological conditions in karst regions might accelerate these variations, necessitating the further exploration of microbial community changes across different land use types in the northern tropical karst seasonal rainforest region. We hypothesized that different land use types would affect the soil’s physicochemical characteristics, and further affect soil microbial communities. This study aimed to analyze differences in soil bacterial and fungal abundance, diversity, community composition, and co-occurrence networks under five land use types in a tropical karst region in southwestern China: sugarcane fields (SU), orchards (OD), grasslands (GL), plantation forests (PF), and secondary forests (SF). The objective of this study was to elucidate the impact of these land use types on soil microbial composition and diversity. This study provides insights into the effects of forest and cropland management in tropical karst depressions on the stability of soil bacterial and fungal communities.

2. Materials and Methods

2.1. Study Site

In October 2022, soil samples were obtained from the Nonggang National Natural Reserve (22°13′56″–22°33′09″ N, 106°42′28″–107°04′54″ E) in the southern Guangxi Zhuang Autonomous Region, China (Figure 1). This region, with elevations ranging from 150 to 600 m, is characterized by distinctive karst peak-cluster depressions. The soil is primarily composed of dolomite or limestone, and the area experiences a typical northern tropical monsoon climate. The average annual temperature is 22 °C, with summer temperatures (June–August) around 38 °C and winter temperatures (December–February) around 13 °C. The average annual precipitation ranges between 1150 and 1550 mm, reaching up to 2043 mm, with most of the rainfall occurring from May to September. The vegetation consists predominantly of seasonal tropical karst rainforests. Since the late 1950s and the 1980s, some abandoned cultivated lands have naturally regenerated into GL and SF. Additionally, since 2002, the Grain for Green Project has converted some tillage lands in the depression and hillslopes into PF, SU, and OD (Table 1).

2.2. Field Sampling

We collected fresh soil samples from five land use types: OD, SU, GL, PF, and SF (Figure 1). For each land use type, three quadrats were randomly built with an area of 10 × 10 m. In each quadrat, five topsoil samples (0–20 cm) were randomly collected and combined to create a composite sample, resulting in a total of 15 soil samples for further analysis. Stones, plants, and animal remains were removed from the fresh soil samples, which were then refrigerated and immediately transported to the laboratory. Soil samples were divided into two parts: one part was stored at −80 °C for DNA analysis, and the other was stored at 4 °C to measure the soil properties.

2.3. Physicochemical Analysis

Soil organic carbon (SOC) was measured by wet oxidation with KCr2O7 + H2SO4 and titrated with FeSO4. Total soil nitrogen (TN) was measured via the Kjeldahl method. Total soil phosphorus (TP) was determined by acid digestion with a H2SO4 + HClO4 solution [30]. Total soil potassium (K) was determined in flame atomic absorption spectrometry [31]. The pH was measured in 1:2.5 soil/water using a Leici PHS-3C pH meter, and electrical conductivity (EC) was measured in 1:5 soil/water extracts using a DDS-307A conductivity gauge [32]. The C:N, C:P, and N:P ratios were derived from the SOC:TN, SOC:TP, and TN:TP ratios after conversion to molar ratios.

2.4. PCR Analysis and Data Sequencing

DNA was extracted from the frozen soil samples using a DNA extraction kit. The concentration and purity of the extracted DNA were measured using a NanoDrop One (Thermo Fisher Scientific, Waltham, MA, USA). The V4–V5/ITS2 regions of the 16S rRNA/ITS genes were amplified using primers 515F/806R and ITS2-2043R with a 12 bp barcode to measure the diversity of the soil bacterial and fungal communities. The PCR conditions for bacteria and fungi were as follows: (1) initialization for 5 min at 94 °C; (2) 30 cycles of denaturation, annealing, and extension at 94 °C for 30 s, 52 °C for 30 s, and 72 °C for 30 s, respectively; and (3) final elongation for 10 min at 72 °C. Sequencing of the PCR amplicons was performed using an Illumina Nova6000 platform (Guangdong Magigene Biotechnology Co., Ltd., Shenzhen, China), generating 250 base pair (bp) paired-end reads. Clean tags were obtained by fastp (version 0.14.1, https://github.com/OpenGene/fastp, accessed on 1 August 2023) software (-W 4 -M 20). Chimeras were removed using usearch v10.0.240 (OTU) with default parameters.

2.5. Data Analysis

Multiple comparisons of the means were performed using Tukey’s test at the 0.05 significance level. To evaluate changes in soil physicochemical properties (e.g., pH, EC, SOC, TN, and TP concentrations and stoichiometry) and soil bacterial and fungal alpha diversity in different land use types, one-way analysis of variance was employed at a significance level of p < 0.05. Venn diagrams, created using the “VennDiagram” R package, were used to visualize differences in soil microbial community composition. The effect size of linear discrimination analysis (LEfSe) was used to identify significant taxa and create a cladogram representing the significance and phylogeny across various land use categories. Principal coordinate analysis (PCoA) and analysis of similarities (ANOSIM) were performed using the “vegan” R package to evaluate the similarity in the soil microbial community structure. Redundancy analysis (RDA) and Spearman’s correlation between soil physicochemical properties and the relative abundance of microbial taxa were conducted using the “microeco” R package. Pearson correlations between the soil physicochemical properties and dominant operational taxonomic units (OTUs) (p < 0.05) were generated using the “pheatmap” package in R to determine the influence of soil physicochemical properties (e.g., pH, EC, SOC, TN, and TP concentrations and stoichiometry) on the abundance of microbial taxa. A co-occurrence network (Spearman correlation-based, using the “WGCNA” R package) was constructed and plotted for different land use types in Gephi. The code is shared on GitHub (https://github.com/Rainbowag/Microdiversity_Micoreco accessed on 1 August 2023).

3. Results

3.1. Soil Physicochemical Properties

The pH of the soil samples ranged from slightly acidic to neutral (pH 5.32–6.39) (Table 1). Significant differences were observed in pH (F = 2.099, p = 0.016), TP concentration (F = 3.710, p = 0.042), and N:P ratio (F = 4.398, p = 0.026) across the various land use categories. Furthermore, SF soil had a significantly higher TP concentration (1.69 ± 0.27 g kg−1) than those of GL and OD. The N:P ratio in OD soil was significantly higher (5.56 ± 0.88) than that in other land use types. However, no significant differences were observed in the EC, SOC, and TN concentrations or C:N and C:P ratios.

3.2. Soil Microbial Community Composition

A total of 673,106 OTUs from 22 bacterial phyla and 795,591 OTUs from nine fungal phyla were identified. Figure 2 shows the heterogeneous relative abundance of soil microbial communities among OD, PF, GL, SU, and SF at the phylum level. The dominant bacterial phyla were Acidobacteria (20.66%–35.59%), Proteobacteria (21.78%–28.67%), and Chloroflexi (12.82%–17.26%), whereas the dominant fungal phyla were Ascomycota (66.55%–89.35%) and Basidiomycota (6.91%–31.47%) (Table S1). Notably, SF had the lowest relative abundances of Acidobacteria and Ascomycota (20.66% and 66.55%, respectively), whereas SU had the highest (35.59% and 89.35%, respectively). Conversely, Basidiomycota had the highest relative abundance (31.47%) in PF, and Proteobacteria had the highest relative abundance (28.67%) in SF, where it was the most abundant phylum (Table S1). Additionally, the most abundant bacterial families were Xanthobacteraceae (51.2%), Anaerolineaceae (26.8%), and Pyrinomonadaceae (18.5%). The most abundant fungal families were Nectriaceae (46.7%), Sordariales_fam_Incertae_sedis (41.7%), and Magnaporthaceae (26%) (Figure S1).
The Venn diagram (Figure 3) shows variations in soil bacterial and fungal OTUs among the five land use types. A total of 84.8% (1393 OTUs) of all bacterial OTUs were shared among the sites. The number of bacterial OTUs at each site ranged from 897 in PF to 1256 in SF. A total of 439 common fungal OTUs accounted for 96% of all the fungal OTUs. The number of unique fungal OTUs ranged from 92 (GL) to 231 (SF). The ratios of the unique OTUs of soil bacteria to fungi in GL, OD, PF, SU, and SF were 11.26, 10.47, 8.63, 7.44, and 5.48, respectively (Figure 3). The cladogram generated using LEfSe (Figure S2c) indicates that the bacterial order Ktedonobacterales, class Ktedonobacteria, and family Ktedonobacteraceae had the highest linear discriminant analysis (LDA) scores (>4) in SU and GL, respectively. In the fungal community, the class Sordariomycetes and order Hypocreales in SU and the class Eurotiomycetes in OD had the highest LDA scores, excluding unidentified taxa (Figure S2d). Furthermore, SF had the largest number of significantly enriched taxa, including the order Diaporthales, order Xylariales, phylum Mortierellomycota, class Mortierellomycetes, order Mortierellales, and family Mortierellaceae.

3.3. Soil Microbial Diversity

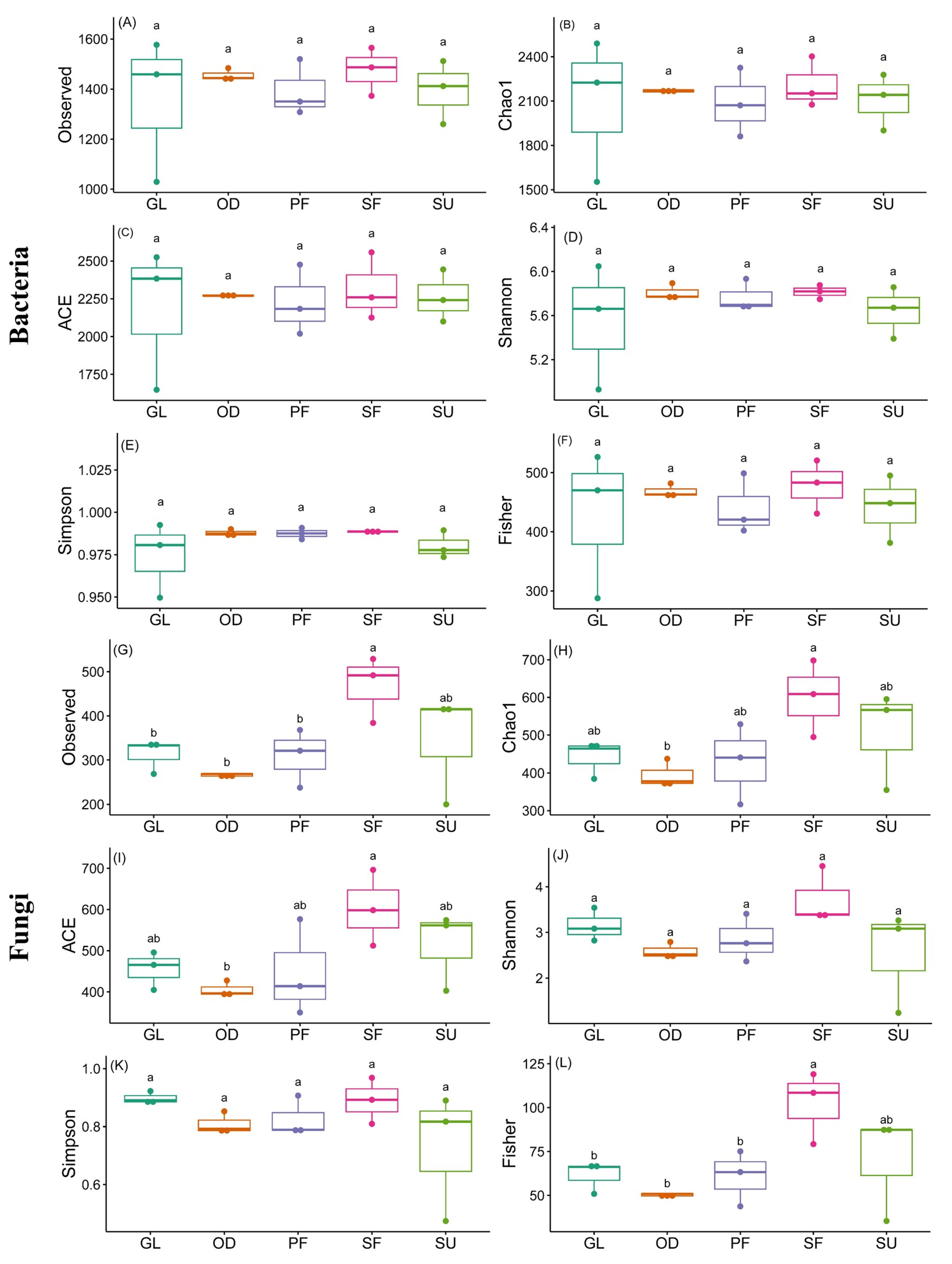
The overall bacterial diversity indices did not differ significantly across the five land use types (Figure 4A–F). However, fungal diversity indices, such as Observed (468.33), Chao1 (600.58), ACE (602.33), and Fisher (102.78), were the highest in SF and significantly different from those in OD (Figure 4G–L). The Fisher index in SF was also significantly higher than that in GL and PF.
The PCoA indicated significant differences in PCo1 for soil bacteria for SU and SF; however, there were no significant differences between GL, OD, and PF (Figure 5A). In fungal communities, two groups (SU and SF in group 1; OD, GL, and PF in group 2) showed significant differences in PCo1, whereas OD showed significant differences in PCo2 compared with GL and PF (Figure 5B). Additionally, ANOSIM based on the Bray–Curtis distance supported significant differences among the five land use types, with R values at significant levels of 0.338 and 0.486 for bacteria and fungi, respectively (Figure 5C,D). Figure S3 further reveals greater disparities in PF/SF and fewer disparities in GL/OD within the bacterial communities, whereas there were more differences in OD/SU and fewer differences in GL/OD within the fungal community.

3.4. Correlation between Soil Physicochemical Properties and Microorganisms

We performed RDA to investigate the predominant factors affecting the soil bacterial and fungal communities based on the most prevalent OTUs (40 bacteria and 38 fungi) at the genus level. Figure 6A shows that RDA explains 75.1% and 6.8% of the variability in the soil bacterial community, whereas Figure 6B shows that RDA explains 38.9% and 24.5% of fungal community variability. At the genus level, all soil physicochemical properties, except TK, had a significant effect on the bacterial community composition (p = 0.00 and 0.05) (Figure 6C). TK, SOC, TP, and the C:N ratio had significant effects on the fungal community composition (p = 0.00 and 0.05) (Figure 6D). Heatmap results based on Pearson correlations show that all soil properties, except TK, were significantly correlated with soil bacterial communities at the genus level. However, only TK, TP, SOC, and the C:N ratio were significantly correlated with soil fungal genera.

3.5. Soil Bacterial and Fungal Co-Occurrence Network

The co-occurrence network structures of bacteria and fungi differed markedly among the five land use types (Figure 7). Bacterial networks were more complex, with ranges of 400–471 nodes, 7826–12,082 edges, 19.57–26.85 degrees, 0.05–0.06 density, 0.59–0.72 modularity, and a clustering coefficient of 0.45–0.47 (Figure 7 and Table 2). In contrast, the fungal network had 27–111 nodes, 97–1227 edges, 3.54–12.15 degrees, 0.09–0.14 density, 0.33–0.65 modularity, and a clustering coefficient of 0.35–0.47. Among the five land use types, GL had the highest density in the bacterial network, whereas OD had the lowest. The fungal network density was highest in SU and lowest in SF (Table 2). Soil bacterial and fungal phyla consistently had stronger positive (averaging 78.18% and 86.28%, respectively) than negative associations (averaging 21.82% and 13.72%, respectively) across the five land use types (Figure 7). The first three bacterial phyla, Proteobacteria, Planctomycetes, and Chloroflexi, accounted for 69.75%–76.01% across the five land use types, whereas Ascomycota and Basidiomycota accounted for 81.19%–86.48% of fungal phyla, except for in SU (Ascomycota and Glomeromycota accounted for 70.37% and 14.81%, respectively). Furthermore, OD and SF had the largest number of nodes in both soil bacterial and fungal networks, whereas SU had the fewest nodes. Additionally, SU and GL exhibited notable disparities in fungal nodes compared with the other three land use types.

4. Discussion

4.1. Differences in Soil Microbial Communities across Land Use Types

Land use changes can alter soil microbial community composition, potentially increasing or decreasing bacterial alpha-diversity [17,33,34]. However, in the present study, we found no significant differences in bacterial alpha-diversity among the different land use types (Figure 4), which is consistent with previous reports [35,36]. Compared with soil fungi, bacterial communities have weaker associations with plant communities [37,38], which is possibly related to the resilience of soil microorganisms to land use changes [17]. In contrast, soil fungal communities showed significant variations among the five land use types, with SF exhibiting the highest diversity, as indicated by the Observed, Chao1, ACE, and Fisher indices (Figure 4G,H,I,L). This is in line with the observations of Hu et al. [39], who found that soil fungal community diversity differed between primary forest and farmland. SF, undisturbed by human activity, possesses rich vegetation and substantial litter accumulation, leading to higher soil nutrient content, such as of SOC, TN, and TP (Table 1). This abundance of soil nutrients enhances the matrix resources available to soil microorganisms, creating a suitable environment for them [39]. Furthermore, the symbiotic relationship (mycorrhizal fungi) between host plants and soil fungal communities also promotes significant variations in soil fungal community composition during land use changes [40].
In this study, the dominant soil bacterial phyla were Acidobacteria and Proteobacteria, whereas the dominant soil fungal phyla were Ascomycota and Basidiomycota (Table S1), highlighting their ecological importance. Previous studies have also shown the dominance of Proteobacteria and Acidobacteria, with relative abundances of 31.8% and 17.2%, respectively, in the subtropical karst regions of Guizhou and Guangxi [27] and 20%–40% and 40%–60%, respectively, in the northern subtropical karst region of Hubei [41]. Ascomycota and Basidiomycota were dominant among the soil fungi, with relative abundances of 17.2% and 46.9% in the karst region [27], 83.21% and 4.52% in karstic farmland, and 49.66% and 35.43%, in karstic old-growth forest in Yunnan, respectively [42]. Acidobacteria have a strong ability to degrade organic matter, grow vigorously under carbon-sufficient conditions, and participate in the carbon cycle and photosynthesis [34,43]. The higher SOC content in karst compared to non-karst regions is conducive to Acidobacteria growth [27]. Proteobacteria are common in soil environments (both karst and non-karst ecosystems), utilizing chlorophyll for photosynthesis and participating in the carbon and nitrogen cycles [39,40]. Ascomycota and Basidiomycota can decompose cellulose and improve rock weathering in karst habitats [27,44]. Therefore, these soil bacterial and fungal phyla maintain a high abundance in nutrient-poor karst soils.
PCoA and ANOSIM analyses revealed significant differences in soil bacterial and fungal community structures among the five land use types (Figure 5 and Figure S3), with fluctuating proportions of the same microbial groups in the different land types (Figure 2, Table S1). Notably, SU exhibited the highest abundance of Acidobacteria, whereas SF had the lowest abundance, consistent with the findings of Kielak et al. [45], who stated that fertilization enhances Acidobacteria’s metabolic activity in cultivated land. Additionally, Sui et al. [46] showed that Acidobacteria are significantly correlated with soil pH and dominate in acidic soil, which is consistent with our findings. SU, which had the lowest pH value, had the highest abundance of Acidobacteria. Proteobacteria are facultative trophic and aerobic heterotrophic bacteria that thrive in soils with high carbon availability [47,48]. SF, which had the highest SOC content (Table 1), had the highest Proteobacteria abundance, consistent with the observations of Hu et al. [39]. Furthermore, Chloroflexi was highly abundant in GL, possibly because of previous organochlorine pesticide use, as Chloroflexi can metabolize organochlorine compounds [34,49]. The fungal community was dominated by Ascomycota, which thrive on plant residues and litter. The harvest of sugarcane fields leads to substantial plant residues entering the soil, providing a habitat for Ascomycota and resulting in a high abundance of Ascomycota in SU [50]. Additionally, LEfSe analysis revealed significant differences in the abundance of bacterial class Ktedonobacteria, order Ktedonobacterales, family Ktedonobacteraceae, as well as of fungal class Eurotiomycetes, class Sordariomycetes, phylum Mortierellomycota, class Mortierellomycetes, order Mortierellales, family Mortierellaceae among the five land use types (Figure S2). Ktedonobacteria are the primary Chloroflexi bacteria in GL. Chloroflexi include both phototrophic and non-phototrophic types, including autotrophs and heterotrophs, and can promote soil C, N, and S cycling under eutrophic conditions [51]. The abundance of Mortierellomycota was higher in SF, possibly because of its saprotrophic nature and prevalence in karst soils, especially in forest soils [44,52]. Sordariomycetes and Eurotiomycetes, both of which belong to Ascomycota, can decompose refractory organic matter in SU and OD [53]. Therefore, the abundance of soil bacterial and fungal composition indicates that land use types influence distinct microbial community structures and soil physicochemical properties.

4.2. Soil Microbial Networks among Different Land Use Types

Microorganisms interact within ecological niches through syntrophic interactions, mutualistic interactions, and competition [54,55], which can be analyzed through soil microbial co-occurrence networks. Generally, soil ecosystem stability is related to soil microbial community complexity, more pronounced ecological functions of soil microorganisms, and enhanced buffering against environmental changes [27,39]. Land use changes typically lead to variations in microbial community composition through alterations in the soil environment, modifying the complexity of soil bacterial and fungal networks and affecting ecosystem function and stability. This study demonstrated no significant difference in bacterial network complexity among the five land use types, whereas the nodes, edges, and degrees of the fungal networks were lesser in GL and SU than those in SF, OD, and PF. This suggests a lower fungal network complexity in GL and SU, with fewer interactions, meaning less cooperation and competition among fungal communities. Additionally, the lower soil nutrient concentrations in GL and SU (Table 1, Figure 7) may have contributed to this reduced complexity. The bacterial and fungal networks across the five land use types exhibited predominantly positive connections, indicating that microbial interactions tended to be more cooperative than competitive [44,54,56].
The most abundant phyla in the bacterial co-occurrence network were Proteobacteria, Planctomycetes, and Chloroflexi, whereas the most abundant phyla in the fungal co-occurrence network across the five land use types were Ascomycota and Basidiomycota. These findings are consistent with those of previous studies [27,39,57,58], suggesting that the bacterial and fungal phyla in question can adapt to various environments. Proteobacteria can absorb organic compounds and grow rapidly in various habitats [19,33,59]. Planctomycetes are slow-growing oligotrophic bacteria with a low ability to break down nutrients, whereas Chloroflexi are oligotrophic bacteria that break down cellulose, enabling them to adapt to nutrient-poor environments [6,19,60]. Ascomycota can degrade plant cellulose and hemicellulose, playing a crucial role in the decomposition of macromolecular organic matter in karst regions [39,61]. Basidiomycota can decompose lignin and organic matter under oligotrophic conditions, thereby releasing essential nutrients into the soil [62,63]. Therefore, Proteobacteria, Planctomycetes, Chloroflexi, Ascomycota, and Basidiomycota exhibit strong adaptability to karst regions. However, the high heterogeneity of karst soils may affect microbial community structure [64]. Tang et al. [65] also found that Proteobacteria, Actinobacteriota, Acidobacteriota, and Ascomycota were the dominant phyla in the karst soil microbial co-occurrence network in the Yunnan province, China.

4.3. Soil Property Factors and Microbial Communities

Soil pH has been widely shown to influence soil bacterial communities [66,67]. In this study, RDA and Mantel test analyses indicated that soil pH significantly altered the bacterial communities in karst areas (Figure 6 and Figure S4). More specifically, soil pH affected the abundances of Acidobacteria, Actinobacteria, Proteobacteria, and Chloroflexi (Figure S4), in agreement with the results of Dai et al. [68] and Xiao et al. [27]. The soil pH induced changes in bacterial communities, which are related to the relatively narrow growth tolerance of most bacteria [69]. Similar to pH, EC can also affect the relative abundances of some dominant bacterial genera [70]. Furthermore, the abundances of BD1_7_clade, Blastopirellula, Iamia, and Adhaeribacter were positively correlated with SOC.
Aguilera-Huertas et al. [71] reported that Adhaeribacter functions in the decomposition of organic matter. Furthermore, TN can affect the abundance of BD1_7_clade, Blastopirellula, Minicystis, and Ensifer, with Blastopirellula increasing microbial biomass nitrogen and nitrogen mineralization efficiency [38,72]. Additionally, TP is a significant factor affecting the abundance of Aquisphaera, Iamia, 966_1, and Flavobacterium, with Flavobacterium promoting plant rhizosphere phosphorus cycling [73]. The C:N ratio has been shown to alter nitrogen-fixing bacterial composition [74,75], thus affecting the abundance of the denitrifying bacteria Iamia. Ensifer was positively correlated with C:P and N:P ratios because of its ability to fix nitrogen and dissolve phosphate [76].
Soil phosphorus significantly influences fungal communities [16,77,78,79]. The Mantel test analysis indicated that TP affected the abundance of Mortierellomycota (Figure S4), which thrives in low-phosphorus soil [80]. At the genus level, Orbilia was positively correlated with SOC and C:N, with Orbilia having a significant impact on carbon fixation [81]. Arthrobotrys was positively correlated with soil TP, consistent with the findings of Yang et al. [16]. Taken together, these findings are consistent with our hypothesis and demonstrate that different bacteria and fungi have varying sensitivities to soil properties and that soil microenvironmental heterogeneity is a factor in maintaining the diversity of soil microbial communities.

5. Conclusions

Our study demonstrated the effects of different land use types (SF, PF, GL, OD, and SU) on the composition, diversity, and abundance of soil bacterial and fungal communities. Land use changes in karst areas can influence soil physicochemical properties, thereby affecting soil microbial community composition. While soil fungal alpha-diversity significantly differed among the five land use types, bacterial alpha-diversity did not exhibit significant differences. Network analysis revealed that Proteobacteria, Planctomycetes, Chloroflexi, Ascomycota, and Basidiomycota were key phyla in the co-occurrence networks. Soil microbial abundance varied across different land use types, likely due to soil properties such as pH and TP. In summary, studying the structure, diversity, abundance, and co-occurrence networks of soil microbial communities under different land use types helps us to understand the impact of land use on soil ecosystems. This provides a scientific basis for karst land management and protection. Further investigation into the factors affecting soil microbial community structure and diversity is necessary to develop more appropriate land use management strategies, ultimately aiding in the maintenance of ecological environments.

Supplementary Materials

The following supporting information can be downloaded at: https://www.mdpi.com/article/10.3390/f15081299/s1, Table S1. Relative abundance (mean ± SE, %) of dominant phyla in five land use types; Table S2. Parameters of RDA; Figure S1. Relative abundance of soil bacterial and fungal communities at the family levels among different land use types (GL, grassland; SU, sugarcane field; OD, orchard; PF, plantation forest; SF, secondary forest); Figure S2. linear discriminant analysis effect size (LEfSe) cladogram (a,b) and LDA (c,d) score analysis of soil bacteria (a,c) and fungi (b,d) in five land use types (GL, grassland; SU, sugarcane field; OD, orchard; PF, plantation forest; SF, secondary forest). Figure S3. The ANOSIM analysis of soil bacteria and fungi between the land use types (GL, grassland; SU, sugarcane field; OD, orchard; PF, plantation forest; SF, secondary forest); Figure S4. Correlations of soil physicochemical properties with soil bacterial (A) and fungal (B) communities at the phylum level.

Author Contributions

Conceptualization, C.H.; software, C.X.; formal analysis, G.H.; data curation, C.Z.; writing—review and editing, Z.Z. All authors have read and agreed to the published version of the manuscript.

Funding

This research was funded by the Natural Science Foundation of Guangxi Province (grants 2022GXNSFBA035633, 2021GXNSFFA196005, and 2021GXNSFAA196024), the Guangxi Science and Technology Plan Project Young Innovative Talents Scientific Research Special Project (grants AD21075023 and AD23026101), the National Natural Science Foundation of China (grants 42107371 and 42201023), and the Scientific Research Capacity Building Project for the Nonggang Karst Ecosystem Observation and Research Station of Guangxi (grant No. 23-026-273).

Data Availability Statement

Data are contained within the article and supplementary materials.

Conflicts of Interest

The authors declare no conflicts of interest.

References

  1. Liu, X.; Hui, C.; Bi, L.; Romantschuk, M.; Kontro, M.; Strommer, R.; Hui, N. Bacterial community structure in atrazine treated reforested farmland in Wuying China. Appl. Soil Ecol. 2016, 98, 39–46. [Google Scholar] [CrossRef]
  2. Tong, X.; Brandt, M.; Yue, Y.; Ciais, P.; Rudbeck Jepsen, M.; Penuelas, J.; Wigneron, J.-P.; Xiao, X.-P.; Song, X.-P.; Horion, S.; et al. Forest management in southern China generates short term extensive carbon sequestration. Nat. Commun. 2020, 11, 129. [Google Scholar] [CrossRef] [PubMed]
  3. Tong, X.; Brandt, M.; Yue, Y.; Zhang, X.; Fensholt, R.; Ciais, P.; Wang, K.; Liu, S.; Zhang, W.; Mao, C.; et al. Reforestation policies around 2000 in southern China led to forest densification and expansion in the 2010s. Commun. Earth Environ. 2023, 4, 260. [Google Scholar] [CrossRef]
  4. Peng, X.; Dai, Q.; Ding, G.; Shi, D.; Li, C. Impact of vegetation restoration on soil properties in near-surface fissures located in karst rocky desertification regions. Soil Tillage Res. 2020, 200, 104620. [Google Scholar] [CrossRef]
  5. Szoboszlay, M.; Dohrmann, A.B.; Poeplau, C.; Don, A.; Tebbe, C.C. Impact of land-use change and soil organic carbon quality on microbial diversity in soils across Europe. Fems Microbiol. Ecol. 2017, 93, fix146. [Google Scholar] [CrossRef] [PubMed]
  6. Xie, L.; Li, W.; Pang, X.; Liu, Q.; Yin, C. Soil properties and root traits are important factors driving rhizosphere soil bacterial and fungal community variations in alpine Rhododendron nitidulum shrub ecosystems along an altitudinal gradient. Sci. Total Environ. 2023, 864, 161048. [Google Scholar] [CrossRef] [PubMed]
  7. Xu, S.; Gu, C.; Rodrigues, J.L.M.; Li, C.; Bohannan, B.; Nuesslein, K.; Margenot, A.J. Soil phosphorus cycling across a 100-year deforestation chronosequence in the Amazon rainforest. Glob. Change Biol. 2024, 30, e17077. [Google Scholar] [CrossRef] [PubMed]
  8. Pan, H.; Liu, H.; Liu, Y.; Zhang, Q.; Luo, Y.; Liu, X.; Liu, Y.; Xu, J.; Di, H.; Li, Y. Understanding the relationships between grazing intensity and the distribution of nitrifying communities in grassland soils. Sci. Total Environ. 2018, 634, 1157–1164. [Google Scholar] [CrossRef]
  9. Qiu, J.; Cao, J.; Lan, G.; Liang, Y.; Wang, H.; Li, Q. The Influence of Land Use Patterns on Soil Bacterial Community Structure in the Karst Graben Basin of Yunnan Province, China. Forests 2020, 11, 51. [Google Scholar] [CrossRef]
  10. Darriaut, R.; Martins, G.; Dewasme, C.; Mary, S.; Darrieutort, G.; Ballestra, P.; Marguerit, E.; Vivin, P.; Ollat, N.; Masneuf-Pomarede, I.; et al. Grapevine decline is associated with difference in soil microbial composition and activity. Oeno One 2021, 55, 67–84. [Google Scholar] [CrossRef]
  11. Bosso, L.; Lacatena, F.; Varlese, R.; Nocerino, S.; Cristinzio, G.; Russo, D. Plant pathogens but not antagonists change in soil fungal communities across a land abandonment gradient in a Mediterranean landscape. Acta Oecologica 2017, 78, 1–6. [Google Scholar] [CrossRef]
  12. Moscatelli, M.C.; Bonifacio, E.; Chiti, T.; Cudlin, P.; Dinca, L.; Gomoryova, E.; Grego, S.; La Porta, N.; Karlinski, L.; Pellis, G.; et al. Soil properties as indicators of treeline dynamics in relation to anthropogenic pressure and climate change. Clim. Res. 2017, 73, 73–84. [Google Scholar] [CrossRef]
  13. Chaparro, J.M.; Sheflin, A.M.; Manter, D.K.; Vivanco, J.M. Manipulating the soil microbiome to increase soil health and plant fertility. Biol. Fertil. Soils 2012, 48, 489–499. [Google Scholar] [CrossRef]
  14. Seaton, F.M.; Griffiths, R.I.; Goodall, T.; Lebron, I.; Norton, L.R. Soil bacterial and fungal communities show within field heterogeneity that varies by land management and distance metric. Soil Biol. Biochem. 2023, 177, 108920. [Google Scholar] [CrossRef]
  15. Kostin, J.E.; Cesarz, S.; Lochner, A.; Schaedler, M.; Macdonald, C.A.; Eisenhauer, N. Land-use drives the temporal stability and magnitude of soil microbial functions and modulates climate effects. Ecol. Appl. 2021, 31, e02325. [Google Scholar] [CrossRef] [PubMed]
  16. Yang, T.; Zhai, D.; Ding, X.; Guo, Z.; Zhao, Y. Shifts in soil microbial diversity and functions during continuous cropping of strawberry. Land Degrad. Dev. 2023, 34, 4810–4820. [Google Scholar] [CrossRef]
  17. Sun, Y.; Luo, C.; Jiang, L.; Song, M.; Zhang, D.; Li, J.; Li, Y.; Ostle, N.J.; Zhang, G. Land-use changes alter soil bacterial composition and diversity in tropical forest soil in China. Sci. Total Environ. 2020, 712, 136526. [Google Scholar] [CrossRef] [PubMed]
  18. Li, J.; Yang, L.; Fan, M.; Shangguan, Z. Plantation vegetation restoration enhances the relationship between rhizosphere microbial diversity and soil multifunctionality. Land Degrad. Dev. 2022, 33, 3630–3640. [Google Scholar] [CrossRef]
  19. Wang, M.; Lin, M.; Liu, Q.; Li, C.; Pang, X. Fungal, but not bacterial, diversity and network complexity promote network stability during roadside slope restoration. Sci. Total Environ. 2024, 922, 171007. [Google Scholar] [CrossRef]
  20. Seaton, F.M.; George, P.B.L.; Lebron, I.; Jones, D.L.; Creer, S.; Robinson, D.A. Soil textural heterogeneity impacts bacterial but not fungal diversity. Soil Biol. Biochem. 2020, 144, 107766. [Google Scholar] [CrossRef]
  21. Nakayama, M.; Imamura, S.; Taniguchi, T.; Tateno, R. Does conversion from natural forest to plantation affect fungal and bacterial biodiversity, community structure, and co-occurrence networks in the organic horizon and mineral soil? For. Ecol. Manag. 2019, 446, 238–250. [Google Scholar] [CrossRef]
  22. Wang, C.; Zheng, M.M.; Chen, J.; Shen, R.F. Land-use change has a greater effect on soil diazotrophic community structure than the plant rhizosphere in acidic ferralsols in southern China. Plant Soil 2021, 452, 445–458. [Google Scholar] [CrossRef]
  23. Xu, A.; Liu, J.; Guo, Z.; Wang, C.; Pan, X. Soil microbial community composition but not diversity is affected by land-use types in the agro-pastoral ecotone undergoing frequent conversions between cropland and grassland. Geoderma 2021, 401, 115165. [Google Scholar] [CrossRef]
  24. Hu, P.; Xiao, J.; Zhang, W.; Xiao, L.; Yang, R.; Xiao, D.; Zhao, J.; Wang, K. Response of soil microbial communities to natural and managed vegetation restoration in a subtropical karst region. Catena 2020, 195, 104849. [Google Scholar] [CrossRef]
  25. Xiao, K.; He, T.; Chen, H.; Peng, W.; Song, T.; Wang, K.; Li, D. Impacts of vegetation restoration strategies on soil organic carbon and nitrogen dynamics in a karst area, southwest China. Ecol. Eng. 2017, 101, 247–254. [Google Scholar] [CrossRef]
  26. Wang, J.; Feng, L.; Palmer, P.I.; Liu, Y.; Fang, S.; Bösch, H.; O’Dell, C.W.; Tang, X.; Yang, D.; Liu, L.; et al. Large Chinese land carbon sink estimated from atmospheric carbon dioxide data. Nature 2020, 586, 720–723. [Google Scholar] [CrossRef] [PubMed]
  27. Xiao, D.; He, X.; Zhang, W.; Hu, P.; Sun, M.; Wang, K. Comparison of bacterial and fungal diversity and network connectivity in karst and non-karst forests in southwest China. Sci. Total Environ. 2022, 822, 153179. [Google Scholar] [CrossRef] [PubMed]
  28. Zhao, C.; Long, J.; Liao, H.; Zheng, C.; Li, J.; Liu, L.; Zhang, M. Dynamics of soil microbial communities following vegetation succession in a karst mountain ecosystem, Southwest China. Sci. Rep. 2019, 9, 2160. [Google Scholar] [CrossRef] [PubMed]
  29. Cheng, J.; Zhao, M.; Cong, J.; Qi, Q.; Zhang, Y. Soil pH exerts stronger impacts than vegetation type and plant diversity on soil bacterial community composition in subtropical broad-leaved forests. Plant Soil 2020, 450, 273–286. [Google Scholar] [CrossRef]
  30. Zhang, W.; Zhao, J.; Pan, F.J.; Li, D.J.; Chen, H.S.; Wang, K.L. Changes in nitrogen and phosphorus limitation during secondary succession in a karst region in southwest China. Plant Soil 2015, 391, 77–91. [Google Scholar] [CrossRef]
  31. Huang, X.; Xian, T.; Long, T.; He, L.; Donald, M.L.; Deng, D.; Dong, T. Impacts of vegetation restoration strategies on soil nutrients and stoichiometry of the earthquake-induced landslides in Jiuzhaigou, eastern Qinghai-Tibet Plateau. Front. Environ. Sci. 2024, 11, 1296187. [Google Scholar] [CrossRef]
  32. Mora, J.L.; Armas-Herrera, C.; Gomez, D.; Badia-Villas, D. Mosaic coexistence of two subalpine grassland types as a consequence of soil nutrient heterogeneity. Catena 2024, 243, 108192. [Google Scholar] [CrossRef]
  33. Medriano, C.A.; Amabel Chan; Ryan De Sotto; Bae, S. Different types of land use influence soil physiochemical properties, the abundance of nitrifying bacteria, and microbial interactions in tropical urban soil. Sci. Total Environ. 2023, 869, 161722. [Google Scholar] [CrossRef] [PubMed]
  34. Cheng, X.; Yun, Y.; Wang, H.; Ma, L.; Tian, W.; Man, B.; Liu, C. Contrasting bacterial communities and their assembly processes in karst soils under different land use. Sci. Total Environ. 2021, 751, 142263. [Google Scholar] [CrossRef] [PubMed]
  35. de Carvalho, T.S.; Jesus, E.d.C.; Barlow, J.; Gardner, T.A.; Soares, I.C.; Tiedje, J.M.; de Souza Moreira, F.M. Land use intensification in the humid tropics increased both alpha and beta diversity of soil bacteria. Ecology 2016, 97, 2760–2771. [Google Scholar] [CrossRef] [PubMed]
  36. Rodrigues, J.L.H.; Pellizari, V.H.; Mueller, R.; Baek, K.; Jesus, E.D.C.; Paula, F.S.; Mirza, B.; Hamaoui, G.S.; Tsai, S.M.; Feigl, B.; et al. Conversion of the Amazon rainforest to agriculture results in biotic homogenization of soil bacterial communities. Proc. Natl. Acad. Sci. USA 2013, 110, 988–993. [Google Scholar] [CrossRef] [PubMed]
  37. Liu, W.; Liu, L.; Yang, X.; Deng, M.; Wang, Z.; Wang, P.; Yang, S.; Li, P.; Peng, Z.; Yang, L.; et al. Long-term nitrogen input alters plant and soil bacterial, but not fungal beta diversity in a semiarid grassland. Glob. Chang. Biol. 2021, 27, 3939–3950. [Google Scholar] [CrossRef] [PubMed]
  38. Sun, S.; Li, S.; Avera, B.N.; Strahm, B.D.; Badgley, B.D. Soil bacterial and fungal communities show distinct recovery patterns during forest ecosystem restoration. Appl. Environ. Microbiol. 2017, 83, e00966-17. [Google Scholar] [CrossRef] [PubMed]
  39. Hu, L.; Li, Q.; Yan, J.; Liu, C.; Zhong, J. Vegetation restoration facilitates belowground microbial network complexity and recalcitrant soil organic carbon storage in southwest China karst region. Sci. Total Environ. 2022, 820, 153137. [Google Scholar] [CrossRef]
  40. Bonfante, P.; Anca, I.A. Plants, mycorrhizal fungi, and bacteria: A network of interactions. Annu. Rev. Microbiol. 2009, 63, 363–383. [Google Scholar] [CrossRef]
  41. Yun, Y.; Wang, H.; Man, B.; Xiang, X.; Zhou, J.; Qiu, X.; Duan, Y.; Engel, A.S. The Relationship between pH and Bacterial Communities in a Single Karst Ecosystem and Its Implication for Soil Acidification. Front. Microbiol. 2016, 7, 1955. [Google Scholar] [CrossRef] [PubMed]
  42. Wang, G.; Liu, Y.; Cui, M.; Zhou, Z.; Zhang, Q.; Li, Y.; Ha, W.; Pang, D.; Luo, J.; Zhou, J. Effects of secondary succession on soil fungal and bacterial compositions and diversities in a karst area. Plant Soil 2021, 475, 91–102. [Google Scholar] [CrossRef]
  43. Pankratov, T.A.; Ivanova, A.O.; Dedysh, S.N.; Liesack, W. Bacterial populations and environmental factors controlling cellulose degradation in an acidic Sphagnum peat. Environ. Microbiol. 2011, 13, 1800–1814. [Google Scholar] [CrossRef] [PubMed]
  44. Zhang, Y.; Gao, M.; Yu, C.; Zhang, H.; Yan, N.; Wu, Q.; Song, Y.; Li, X. Soil nutrients, enzyme activities, and microbial communities differ among biocrust types and soil layers in a degraded karst ecosystem. Catena 2022, 212, 106057. [Google Scholar] [CrossRef]
  45. Kielak, A.M.; Barreto, C.C.; Kowalchuk, G.A.; van Veen, J.A.; Kuramae, E.E. The ecology of acidobacteria: Moving beyond genes and genomes. Front. Microbiol. 2016, 7, 744. [Google Scholar] [CrossRef] [PubMed]
  46. Sui, X.; Frey, B.; Yang, L.; Liu, Y.; Zhang, R.; Ni, H.; Li, M.-H. Soil Acidobacterial community composition changes sensitively with wetland degradation in northeastern of China. Front. Microbiol. 2022, 13, 1052161. [Google Scholar] [CrossRef] [PubMed]
  47. Griffiths, B.S.; Philippot, L. Insights into the resistance and resilience of the soil microbial community. FEMS Microbiol. Rev. 2013, 37, 112–129. [Google Scholar] [CrossRef] [PubMed]
  48. Qu, Z.; Liu, B.; Ma, Y.; Xu, J.; Sun, H. The response of the soil bacterial community and function to forest succession caused by forest disease. Funct. Ecol. 2020, 34, 2548–2559. [Google Scholar] [CrossRef]
  49. McNamara, P.J.; Krzmarzick, M.J. Triclosan enriches for Dehalococcoides-like Chloroflexi in anaerobic soil at environmentally relevant concentrations. Fems Microbiol. Lett. 2013, 344, 48–52. [Google Scholar] [CrossRef]
  50. Wan, P.; He, R. Soil microbial community characteristics under different vegetation types at the national nature reserve of Xiaolongshan Mountains, Northwest China. Ecol. Inform. 2020, 55, 101020. [Google Scholar] [CrossRef]
  51. Li, Q.; Zhu, C.; Yu, J.; Wu, X.; Huang, S.; Yang, F.; Tigabu, M.; Hou, X. Response of Soil Bacteria of Dicranopteris dichotoma Populations to Vegetation Restoration in Red Soil Region of China. J. Soil Sci. Plant Nutr. 2023, 23, 456–468. [Google Scholar] [CrossRef]
  52. Tedersoo, L.; Bahram, M.; Põlme, S.; Kõljalg, U.; Yorou, N.S.; Wijesundera, R.; Ruiz, L.V.; Vasco-Palacios, A.M.; Thu, P.Q.; Suija, A.; et al. Global diversity and geography of soil fungi. Science 2014, 346, 1256688. [Google Scholar] [CrossRef] [PubMed]
  53. Dong, P.; Zhang, Z.; Zhang, M. Combination of Phytoextraction and Biochar Improves Available Potassium and Alters Microbial Community Structure in Soils. Water 2024, 16, 118. [Google Scholar] [CrossRef]
  54. Yuan, M.M.; Guo, X.; Wu, L.; Zhang, Y.; Xiao, N.; Ning, D.; Shi, Z.; Zhou, X.; Wu, L.; Yang, Y.; et al. Climate warming enhances microbial network complexity and stability. Nat. Clim. Chang. 2021, 11, 343–348. [Google Scholar] [CrossRef]
  55. Li, Q.; Song, A.; Yang, H.; G.Müller, W.E. Impact of Rocky Desertification Control on Soil Bacterial Community in Karst Graben Basin, Southwestern China. Front. Microbiol. 2021, 12, 636405. [Google Scholar] [CrossRef] [PubMed]
  56. Deng, Y.; Zhang, P.; Qin, Y.; Tu, Q.; Yang, Y.; He, Z.; Schadt, C.W.; Zhou, J. Network succession reveals the importance of competition in response to emulsified vegetable oil amendment for uranium bioremediation. Environ. Microbiol. 2016, 18, 205–218. [Google Scholar] [CrossRef]
  57. Xiao, H.; Sheng, H.; Zhang, L.; Zhang, L.; Pan, B.; Zhou, P. How does land-use change alter soil microbial diversity, composition, and network in subtropical China? Catena 2023, 231, 107335. [Google Scholar] [CrossRef]
  58. Thomson, B.C.; Tisserant, E.; Plassart, P.; Uroz, S.; Griffiths, R.I.; Hannula, S.E.; Buée, M.; Mougel, C.; Ranjard, L.; Van Veen, J.A.; et al. Soil conditions and land use intensification effects on soil microbial communities across a range of European field sites. Soil Biol. Biochem. 2015, 88, 403–413. [Google Scholar] [CrossRef]
  59. Chu, H.; Fierer, N.; Lauber, C.L.; Caporaso, J.G.; Knight, R.; Grogan, P. Soil bacterial diversity in the Arctic is not fundamentally different from that found in other biomes. Environ. Microbiol. 2010, 12, 2998–3006. [Google Scholar] [CrossRef]
  60. Ivanova, A.A.; Kulichevskaya, I.S.; Merkel, A.Y.; Toshchakov, S.V.; Dedysh, S.N. High Diversity of Planctomycetes in Soils of Two Lichen-Dominated Sub-Arctic Ecosystems of Northwestern Siberia. Front. Microbiol. 2016, 7, 2065. [Google Scholar] [CrossRef]
  61. Chen, W.H.; Liang, J.D.; Ren, X.X.; Zhao, J.H.; Han, Y.F.; Liang, Z.Q. Species Diversity of Cordyceps-like Fungi in the Tiankeng Karst Region of China. Microbiol. Spectr. 2022, 10, e0197522. [Google Scholar] [CrossRef]
  62. Manici, L.M.; Caputo, F.; De Sabata, D.; Fornasier, F. The enzyme patterns of Ascomycota and Basidiomycota fungi reveal their different functions in soil. Appl. Soil Ecol. 2024, 196, 105323. [Google Scholar] [CrossRef]
  63. TlÁskal, V.; Brabcová, V.; Větrovský, T.; Jomura, M.; López-Mondéjar, R.; Monteiro, L.M.O.; Saraiva, J.P.; Human, Z.R.; Cajthaml, T.; da Rocha, U.N.; et al. Complementary Roles of Wood-Inhabiting Fungi and Bacteria Facilitate Deadwood Decomposition. Msystems 2021, 6, e01078-20. [Google Scholar] [CrossRef] [PubMed]
  64. Banerjee, S.; Walder, F.; Buechi, L.; Meyer, M.; Held, A.Y.; Gattinger, A.; Keller, T.; Charles, R.; van der Heijden, M.G.A. Agricultural intensification reduces microbial network complexity and the abundance of keystone taxa in roots. Isme J. 2019, 13, 1722–1736. [Google Scholar] [CrossRef] [PubMed]
  65. Tang, Q.; Li, Q.; Tong, L.; Wu, R.; Xu, J. Rhizospheric soil organic carbon accumulated but its molecular groups redistributed via rhizospheric soil microorganisms along multi-root Cerasus humilis plantation chronosequence at the karst rocky desertification control area. Environ. Sci. Pollut. Res. 2023, 30, 72993–73007. [Google Scholar] [CrossRef] [PubMed]
  66. Kerfahi, D.; Guo, Y.; Dong, K.; Wang, Q.; Adams, J.M. pH is the major predictor of soil microbial network complexity in Chinese forests along a latitudinal gradient. Catena 2024, 234, 107595. [Google Scholar] [CrossRef]
  67. Shang, R.; Li, S.; Huang, X.; Liu, W.; Lang, X.; Xu, C.; Su, J. Soil bacterial community and ecosystem multifunctionality regulated by keystone plant species during secondary succession. Land Degrad. Dev. 2023, 34, 5997–6008. [Google Scholar] [CrossRef]
  68. Dai, Z.; Su, W.; Chen, H.; Barberán, A.; Zhao, H.; Yu, M.; Yu, L.; Brookes, P.C.; Schadt, C.W.; Chang, S.X.; et al. Long-term nitrogen fertilization decreases bacterial diversity and favors the growth of Actinobacteria and Proteobacteria in agro-ecosystems across the globe. Glob. Change Biol. 2018, 24, 3452–3461. [Google Scholar] [CrossRef] [PubMed]
  69. Rousk, J.; Baath, E. Growth of saprotrophic fungi and bacteria in soil. Fems Microbiol. Ecol. 2011, 78, 17–30. [Google Scholar] [CrossRef]
  70. Su, Y.; Yu, M.; Xi, H.; Lv, J.; Ma, Z.; Kou, C.; Shen, A. Soil microbial community shifts with long-term of different straw return in wheat-corn rotation system. Sci. Rep. 2020, 10, 6360. [Google Scholar] [CrossRef]
  71. Aguilera-Huertas, J.; Cuartero, J.; Ros, M.; Pascual, J.A.; Parras-Alcantara, L.; Gonzalez-Rosado, M.; Ozbolat, O.; Zornoza, R.; Egea-Cortines, M.; Hurtado-Navarro, M.; et al. How binomial (traditional rainfed olive grove-Crocus sativus) crops impact the soil bacterial community and enhance microbial capacities. J. Environ. Manag. 2023, 345, 118572. [Google Scholar] [CrossRef] [PubMed]
  72. Li, G.; de Vries, W.T.; Wu, C.; Zheng, H. Improvement of subsoil physicochemical and microbial properties by short-term fallow practices. Peerj 2019, 7, e7501. [Google Scholar] [CrossRef] [PubMed]
  73. Lidbury, I.D.E.A.; Borsetto, C.; Murphy, A.R.J.; Bottrill, A.; Jones, A.M.E.; Bending, G.D.; Hammond, J.P.; Chen, Y.; Wellington, E.M.H.; Scanlan, D.J. Niche-adaptation in plant-associated Bacteroidetes favours specialisation in organic phosphorus mineralisation. Isme J. 2021, 15, 1040–1055. [Google Scholar] [CrossRef] [PubMed]
  74. Pascazio, S.; Crecchio, C.; Scagliola, M.; Mininni, A.N.; Dichio, B.; Xiloyannis, C.; Sofo, A. Microbial-based soil quality indicators in irrigated and rainfed soil portions of Mediterranean olive and peach orchards under sustainable management. Agric. Water Manag. 2018, 195, 172–179. [Google Scholar] [CrossRef]
  75. Sofo, A.; Ricciuti, P.; Fausto, C.; Mininni, A.N.; Crecchio, C.; Scagliola, M.; Malerba, A.D.; Xiloyannis, C. The metabolic and genetic diversity of soil bacterial communities depends on the soilmanagement system and C/N dynamics: The case of sustainable and conventional olive groves. Appl. Soil Ecol. 2019, 137, 21–28. [Google Scholar] [CrossRef]
  76. Liu, W.; Qiu, K.; Xie, Y.; Wang, R.; Li, H.; Meng, W.; Yang, Y.; Huang, Y.; Li, Y.; He, Y. Years of sand fixation with Caragana korshinskii drive the enrichment of its rhizosphere functional microbes by accumulating soil N. Peerj 2022, 10, e14271. [Google Scholar] [CrossRef] [PubMed]
  77. Ren, C.; Wang, T.; Xu, Y.; Deng, J.; Zhao, F.; Yang, G.; Han, X.; Feng, Y.; Ren, G. Differential soil microbial community responses to the linkage of soil organic carbon fractions with respiration across land-use changes. For. Ecol. Manag. 2018, 409, 170–178. [Google Scholar] [CrossRef]
  78. Bosso, L.; Scelza, R.; Testa, A.; Cristinzio, G.; Rao, M.A. Depletion of Pentachlorophenol Contamination in an Agricultural Soil Treated with Byssochlamys nivea, Scopulariopsis brumptii and Urban Waste Compost: A Laboratory Microcosm Study. Water Air Soil Pollut. 2015, 226, 183. [Google Scholar] [CrossRef]
  79. Yan, Y.; Sun, X.; Sun, F.; Zhao, Y.; Sun, W.; Guo, J.; Zhang, T. Sensitivity of soil fungal and bacterial community compositions to nitrogen and phosphorus additions in a temperate meadow. Plant Soil 2022, 471, 477–490. [Google Scholar] [CrossRef]
  80. Li, M.; Wei, Y.; Yin, Y.; Ding, H.; Zhu, W.; Zhou, Y. The effect of intercropping Mulberry (Morus alba L.) with Peanut (Arachis hypogaea L.), on the Soil Rhizosphere Microbial Community. Forests 2022, 13, 1757. [Google Scholar] [CrossRef]
  81. Chen, H.; Zhang, L.; Huang, Z.; Wu, Z.; Tan, M.; Zhang, X.; Jiang, L.; Qin, X.; Huang, J.; Li, H. Effect of Anoxic Atmosphere on the Physicochemical and Pelletization Properties of Pinus massoniana Sawdust during Storage. Int. J. Environ. Res. Public Health 2023, 20, 791. [Google Scholar] [CrossRef] [PubMed]
Figure 1. Field sampling sites for five land use types in the Guangxi Autonomous Region, Southwest China.
Figure 1. Field sampling sites for five land use types in the Guangxi Autonomous Region, Southwest China.
Forests 15 01299 g001
Figure 2. ChordDiagram of soil bacterial and fungal relative abundance at the phylum level in five land use types (GL, SU, OD, PF, and SF represent Grassland, Sugarcane field, Orchard, Plantation forest, and Secondary forest, respectively).
Figure 2. ChordDiagram of soil bacterial and fungal relative abundance at the phylum level in five land use types (GL, SU, OD, PF, and SF represent Grassland, Sugarcane field, Orchard, Plantation forest, and Secondary forest, respectively).
Forests 15 01299 g002
Figure 3. Venn diagram of soil bacterial and fungal OTUs in five land use types (GL, SU, OD, PF, and SF represent Grassland, Sugarcane field, Orchard, Plantation forest, and Secondary forest, respectively).
Figure 3. Venn diagram of soil bacterial and fungal OTUs in five land use types (GL, SU, OD, PF, and SF represent Grassland, Sugarcane field, Orchard, Plantation forest, and Secondary forest, respectively).
Forests 15 01299 g003
Figure 4. Alpha-diversity indices of soil bacteria (AF) and fungi (GL) among five land use types (GL, SU, OD, PF, and SF represent Grassland, Sugarcane field, Orchard, Plantation forest, and Secondary forest, respectively). Different lowercase letters represent the differences in two land use types at significance level (p < 0.05).
Figure 4. Alpha-diversity indices of soil bacteria (AF) and fungi (GL) among five land use types (GL, SU, OD, PF, and SF represent Grassland, Sugarcane field, Orchard, Plantation forest, and Secondary forest, respectively). Different lowercase letters represent the differences in two land use types at significance level (p < 0.05).
Forests 15 01299 g004
Figure 5. PCoA of soil bacterial (A) and fungal (B), ANOSIM of soil bacterial (C) and fungal (D) among five land use types (GL, SU, OD, PF, and SF represent Grassland, Sugarcane field, Orchard, Plantation forest, and Secondary forest, respectively).
Figure 5. PCoA of soil bacterial (A) and fungal (B), ANOSIM of soil bacterial (C) and fungal (D) among five land use types (GL, SU, OD, PF, and SF represent Grassland, Sugarcane field, Orchard, Plantation forest, and Secondary forest, respectively).
Forests 15 01299 g005
Figure 6. The relationship between soil physicochemical properties and soil bacteria and fungi with RDA (A,B) and Pearson correlation (C,D) at genus level. *, **, p < 0.05, p < 0.01, respectively.
Figure 6. The relationship between soil physicochemical properties and soil bacteria and fungi with RDA (A,B) and Pearson correlation (C,D) at genus level. *, **, p < 0.05, p < 0.01, respectively.
Forests 15 01299 g006
Figure 7. Co-occurrence networks of soil bacterial phyla in five land use types (GL, OD, PF, SF and SU represent Grassland (a), Orchard (b), Plantation forest (c), Secondary forest (d), and Sugarcane field (e), respectively) and fungal phyla in five land use types (GL, OD, PF, SF and SU represent Grassland (f), Orchard (g), Plantation forest (h), Secondary forest (i), and Sugarcane field (j), respectively).
Figure 7. Co-occurrence networks of soil bacterial phyla in five land use types (GL, OD, PF, SF and SU represent Grassland (a), Orchard (b), Plantation forest (c), Secondary forest (d), and Sugarcane field (e), respectively) and fungal phyla in five land use types (GL, OD, PF, SF and SU represent Grassland (f), Orchard (g), Plantation forest (h), Secondary forest (i), and Sugarcane field (j), respectively).
Forests 15 01299 g007
Table 1. Soil physicochemical properties among land use types in a typical karst depression.
Table 1. Soil physicochemical properties among land use types in a typical karst depression.
PropertiesSUODGLPFSF
pH5.32 ± 0.05 b5.94 ± 0.26 ab5.60 ± 0.54 ab5.56 ± 0.11 ab6.39 ± 0.17 a
EC44.70 ± 6.66 a60.10 ± 13.03 a55.60 ± 8.31 a36.87 ± 1.29 a61.40 ± 4.30 a
SOC18.34 ± 1.17 a19.93 ± 3.33 a15.54 ± 1.38 a18.54 ± 2.69 a21.54 ± 2.08 a
TN1.83 ± 0.08 a2.32 ± 0.34 a1.81 ± 0.05 a1.81 ± 0.14 a2.01 ± 0.10 a
TP1.32 ± 0.14 ab0.91 ± 0.05 b0.90 ± 0.05 b1.29 ± 0.22 ab1.69 ± 0.27 a
C:N11.77 ± 1.3 a10.00 ± 0.50 a9.98 ± 0.62 a11.82 ± 1.05 a12.47 ± 0.63 a
C:P36.41 ± 3.06 a56.93 ± 10.41 a45.06 ± 5.09 a38.26 ± 6.81 a34.48 ± 5.89 a
N:P3.17 ± 0.47 b5.65 ± 0.88 a4.49 ± 0.29 ab3.27 ± 0.57 b2.76 ± 0.43 b
Notes: Values are means ± standard error (n = 3). Means with different letters indicate statistical significance (p < 0.05). GL, SU, OD, PF, and SF represent Grassland, Sugarcane field, Orchard, Plantation forest, and Secondary forest, respectively; EC, SOC, TN, and TP represent electrical conductivity (µs cm−1), soil organic carbon (g kg−1), total nitrogen (g kg−1), and total phosphorus (g kg−1), respectively.
Table 2. LEfSe network properties of soil bacteria and fungi across five land use types.
Table 2. LEfSe network properties of soil bacteria and fungi across five land use types.
Microbe NodesEdgesDegreeDensityModularityClustering Coefficient
BacteriaOD47110,03721.310.050.650.45
SU400782619.570.050.670.45
GL45012,08226.850.060.590.45
SF46910,42022.220.050.690.47
PF424886220.900.050.720.45
FungiOD101122712.150.120.640.43
SU27973.540.140.330.35
GL472445.190.110.550.42
SF111113310.210.090.650.45
PF9499110.540.110.360.47
Notes: GL, SU, OD, PF, and SF represent Grassland, Sugarcane field, Orchard, Plantation forest, and Secondary forest, respectively.
Disclaimer/Publisher’s Note: The statements, opinions and data contained in all publications are solely those of the individual author(s) and contributor(s) and not of MDPI and/or the editor(s). MDPI and/or the editor(s) disclaim responsibility for any injury to people or property resulting from any ideas, methods, instructions or products referred to in the content.

Share and Cite

MDPI and ACS Style

Hu, C.; Zhang, Z.; Zhong, C.; Hu, G.; Xu, C. Impact of Different Land Use Types on Bacterial and Fungal Communities in a Typical Karst Depression in Southwestern China. Forests 2024, 15, 1299. https://doi.org/10.3390/f15081299

AMA Style

Hu C, Zhang Z, Zhong C, Hu G, Xu C. Impact of Different Land Use Types on Bacterial and Fungal Communities in a Typical Karst Depression in Southwestern China. Forests. 2024; 15(8):1299. https://doi.org/10.3390/f15081299

Chicago/Turabian Style

Hu, Cong, Zhonghua Zhang, Chaofang Zhong, Gang Hu, and Chaohao Xu. 2024. "Impact of Different Land Use Types on Bacterial and Fungal Communities in a Typical Karst Depression in Southwestern China" Forests 15, no. 8: 1299. https://doi.org/10.3390/f15081299

APA Style

Hu, C., Zhang, Z., Zhong, C., Hu, G., & Xu, C. (2024). Impact of Different Land Use Types on Bacterial and Fungal Communities in a Typical Karst Depression in Southwestern China. Forests, 15(8), 1299. https://doi.org/10.3390/f15081299

Note that from the first issue of 2016, this journal uses article numbers instead of page numbers. See further details here.

Article Metrics

Back to TopTop