Ag2O versus Cu2O in the Catalytic Isomerization of Coordinated Diaminocarbenes to Formamidines: A Theoretical Study
Abstract
:1. Introduction
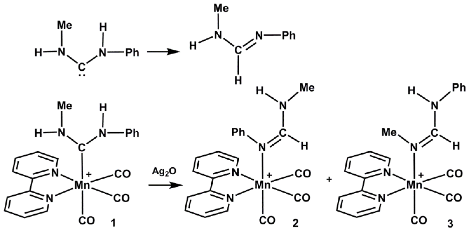
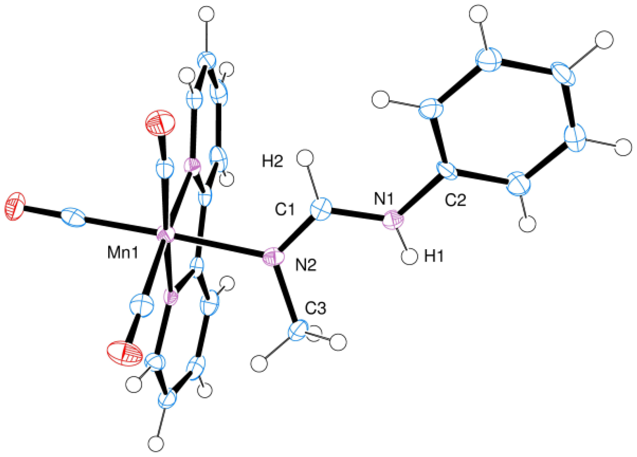
2. Experimental Section
3. Computational Details
4. Results and Discussion
4.1. Ag2O Mechanism M1
4.2. Cu2O Mechanism M2
4.3. Ag2O Mechanism M3
5. Conclusions
Supplementary Materials
Author Contributions
Funding
Data Availability Statement
Acknowledgments
Conflicts of Interest
References
- Zheng, S.; Wang, Q.; Zhu, J. Catalytic Atropenantioselective Heteroannulation between Isocyanoacetates and Alkynyl Ketones: Synthesis of Enantioenriched Axially Chiral 3-Arylpyrroles. Angew. Chem. Int. Ed. 2019, 58, 1494–1498. [Google Scholar] [CrossRef]
- Kok, G.P.Y.; Shao, P.; Liao, J.; Ismail, S.N.F.B.S.; Yao, W.; Lu, Y.; Zhao, Y. Divergent, Enantioselective Synthesis of Pyrroles, 3H-Pyrroles and Bicyclic Imidazolines by Ag- or P-Catalyzed [3+2] Cycloaddition of Allenoates with Activated Isocyanides. Chem. Eur. J. 2018, 24, 10513–10520. [Google Scholar] [CrossRef]
- Zeng, L.; Lai, Z.; Cui, S. One-Pot Reaction of Carboxylic Acids and Ynol Ether for the Synthesis of β-Keto Esters. J. Org. Chem. 2018, 83, 14834–14841. [Google Scholar] [CrossRef]
- Colletto, C.; Panigrahi, A.; Fernández-Casado, J.; Larrosa, I. Ag(I)-C-H Activation Enbles Near-Room-Temperature Direct α-Arylation of Benzo[b]thiophenes. J. Am. Chem. Soc. 2018, 140, 9638–9643. [Google Scholar] [CrossRef] [Green Version]
- Dong, C.; Xiang, J.; Xu, L.; Gong, H. From CO2 to 4H-Quinolizin-4-ones: A One-Pot Multicomponent Approach via Ag2O/Cs2CO3 Orthogonal Tandem Catalysis. J. Org. Chem. 2018, 83, 9561–9567. [Google Scholar] [CrossRef]
- Wang, H.M.J.; Lin, I.J.B. Facile Synthesis of Silver(I)-Carbene Complexes. Useful Carbene Transfer Agents. Organometallics 1998, 17, 972–975. [Google Scholar] [CrossRef]
- Lin, I.J.B.; Vasam, C.S. Preparation and application of N-heterocyclic carbene complexes of Ag(I). Coord. Chem. Rev. 2007, 251, 642–670. [Google Scholar] [CrossRef]
- Garrison, J.C.; Youngs, W.J. Ag(I) N-Heterocyclic Carbene Complexes: Synthesis, Structure, and Application. Chem. Rev. 2005, 105, 3978–4008. [Google Scholar] [CrossRef]
- Tezsevin, I.; van Santen, R.A.; Onal, I. A density functional theory sudy of propylene epoxidation mechanism on Ag2O(001) surface. Phys. Chem. Chem. Phys. 2018, 20, 26681–26687. [Google Scholar] [CrossRef]
- Fellah, M.F.; Onal, I. Epoxidation of Propylene on a [Ag14O9] Cluster Representing Ag2O (001) Surface: A Density Functional Theory Study. Catal. Lett. 2012, 142, 22–31. [Google Scholar] [CrossRef]
- Fellah, M.F.; van Santen, R.A.; Onal, I. Epoxidation of Ethylene by Silver Oxide (Ag2O) Cluster: A Density Functional Theory Study. Catal. Lett. 2011, 141, 762–771. [Google Scholar] [CrossRef]
- Hayes, J.M.; Viciano, M.; Peris, E.; Ujaque, G.; Lledós, A. Mechanism of Formation of Silver N-Heterocyclic Carbenes Using Silver Oxide: A Theoretical Study. Organometallics 2007, 26, 6170–6183. [Google Scholar] [CrossRef]
- Ruiz, J.; García, L.; Vivanco, M.; Berros, A.; Van der Maelen, J.F. Generating and Trapping Metalla-N-Heterocyclic Carbenes. Angew. Chem. Int. Ed. 2015, 54, 4212–4216. [Google Scholar] [CrossRef]
- Ruiz, J.; Sol, D.; Mateo, M.A.; Vivanco, M. Selective formation of formamidines, carbodiimides and formimidates from isocyanide complexes of Mn(I) mediated by Ag2O. Dalton Trans. 2018, 47, 6279–6282. [Google Scholar] [CrossRef]
- Amyes, T.L.; Diver, S.T.; Richard, J.P.; Rivas, F.M.; Toth, K. Formation and Stability of N-Heterocyclic Carbenes in Water: The Carbon Acid pKa of Imidazolium Cations in Aqueous Solution. J. Am. Chem. Soc. 2004, 126, 4366–4374. [Google Scholar] [CrossRef]
- Kuwata, S.; Hahn, F.E. Complexes Bearing Protic N-Heterocyclic Carbene Ligands. Chem. Rev. 2018, 118, 9642–9677. [Google Scholar] [CrossRef]
- Jahnke, M.C.; Hahn, F.E. Complexes with protic (NH, NH and NH, NR) N-heterocyclic carbene ligands. Coord. Chem. Rev. 2015, 293–294, 95–115. [Google Scholar] [CrossRef]
- Van der Maelen, J.F.; Sheldrick, G.M. Static and Dynamic Disorder in the Refinement Process of Large Organometallic Compounds: Strategies for Modeling. Anal. Quim. Int. Ed. 1996, 92, 7–12. [Google Scholar]
- Van der Maelen, J.F. Current Methods and Optimization Algorithms for the Refinement of X-ray Crystal Structures. Crystallogr. Rev. 1999, 7, 125–187. [Google Scholar] [CrossRef]
- Frisch, M.J.; Trucks, G.W.; Schlegel, H.B.; Scuseria, G.E.; Robb, M.A.; Cheeseman, J.R.; Scalmani, G.; Barone, V.; Mennucci, B.; Petersson, G.A.; et al. GAUSSIAN 09 (Revision B.01); Gaussian, Inc.: Wallingford, CT, USA, 2010. [Google Scholar]
- Baerends, E.J.; Ziegler, T.; Autschbach, J.; Bashford, D.; Bérces, A.; Bickelhaupt, F.M.; Bo, C.; Boerrigter, P.M.; Cavallo, L.; Chong, D.P.; et al. ADF2012 (Revision 01d); SCM; Theoretical Chemistry; Vrije Universiteit: Amsterdam, The Netherlands, 2012. [Google Scholar]
- Ruiz, J.; Perandones, B.F. Acyclic Diamino Carbene Complexes of Manganese(I): Synthesis, Deprotonation, and Subsequent Insertion Reaction of Alkynes. Organometallics 2009, 28, 830–836. [Google Scholar] [CrossRef]
- Becke, A.D. Density-functional Thermochemistry III. The Role of Exact Exchange. J. Chem. Phys. 1993, 98, 5648–5652. [Google Scholar] [CrossRef] [Green Version]
- Perdew, J.P. Density-functional Approximation for the Correlation Energy of the Inhomogeneous Electron Gas. Phys. Rev. B 1986, 33, 8822–8824. [Google Scholar] [CrossRef]
- Zhao, Y.; Truhlar, D.G. The M06 Suite of Density Functionals for Main Group Thermochemistry, Thermochemical Kinetics, Noncovalent Interactions, Excited States, and Transition Elements: Two New Functionals and Systematic Testing of Four M06-class Functionals and 12 Other Functionals. Theor. Chem. Acc. 2008, 120, 215–241. [Google Scholar]
- Grimme, S.; Ehrlich, S.; Goerigk, L. Effect of the Damping Function in Dispersion Corrected Density Functional Theory. J. Comput. Chem. 2011, 32, 1456–1465. [Google Scholar] [CrossRef]
- Yu, H.S.; Li, S.L.; Truhlar, D.G. Perspective: Kohn-Sham Density Functional Theory Descending a Staircase. J. Chem. Phys. 2016, 145, 130901. [Google Scholar] [CrossRef]
- Becke, A.D. Perspective: Fifty Years of Density-functional Theory in Chemical Physics. J. Chem. Phys. 2014, 140, 18A301. [Google Scholar] [CrossRef] [Green Version]
- Burke, K. Perspective on Density Functional Theory. J. Chem. Phys. 2012, 136, 150901. [Google Scholar] [CrossRef]
- Zhang, J.; Shan, C.; Zhang, T.; Song, J.; Liu, T.; Lan, Y. Computational Advances Aiding Mechanistic Understanding of Silver-catalyzed Carbene/Nitrene/Silylene Transfer Reactions. Coord. Chem. Rev. 2019, 382, 69–84. [Google Scholar] [CrossRef]
- Van der Maelen, J.F. Topological Analysis of the Electron Density in the Carbonyl Complexes M(CO)8 (M = Ca, Sr, Ba). Organometallics 2020, 39, 132–141. [Google Scholar] [CrossRef]
- Van der Maelen, J.F. Response to ‘Comment on “Topological Analysis of the Electron Density in the Carbonyl Complexes M(CO)8 (M = Ca, Sr, Ba)”’. Organometallics 2020, 39, 3458–3460. [Google Scholar] [CrossRef]
- Van der Maelen, J.F.; Ceroni, M.; Ruiz, J. The X-ray Constrained Wavefunction of the [Mn(CO)4{(C6H5)2P-S-C(Br2)-P(C6H5)2}]Br Complex: A Theoretical and Experimental Study of Dihalogen Bonds and Other Non-covalent Interactions. Acta Crystallogr. B 2020, 76, 802–814. [Google Scholar] [CrossRef]
- Van der Maelen, J.F.; Brugos, J.; García-Álvarez, P.; Cabeza, J.A. Two Octahedral σ-Borane Metal (MnI and RuII) Complexes Containing a Tripod κ3N,H,H-ligand: Synthesis, Structural Characterization, and Theoretical Topological Study of the Charge Density. J. Mol. Struct. 2020, 1201, 127217. [Google Scholar] [CrossRef]
- Fantin, P.A.; Barbieri, P.L.; Neto, A.C.; Jorge, F.E. Augmented Gaussian Basis Sets of Triple and Quadruple Zeta Valence Quality for the Atoms H to Ar: Applications in HF, MP2, and DFT Calculations of Molecular Dipole Moment and Dipole (Hyper)polarizability. J. Mol. Struct. (THEOCHEM) 2007, 810, 103–111. [Google Scholar] [CrossRef]
- Martins, L.S.C.; de Souza, F.A.L.; Ceolin, G.A.; Jorge, F.E.; de Berredo, R.C.; Campos, C.T. Augmented Gaussian Basis Sets for the Elements K, Sc-Kr, Rb, and Y-Xe: Application in HF, MP2, and DFT Calculations of Molecular Electric Properties. Comput. Theor. Chem. 2013, 1013, 62–69. [Google Scholar] [CrossRef]
- Pulay, P. Improved SCF Convergence Acceleration. J. Comput. Chem. 1982, 3, 556–560. [Google Scholar] [CrossRef]
- Bacskay, G.B. A Quadratically Convergent Hartree-Fock (QC-SCF) Method—Application to Closed Shell Systems. Chem. Phys. 1981, 61, 385–404. [Google Scholar] [CrossRef]
- González, C.; Schlegel, H.B. An Improved Algorithm for Reaction Path Following. J. Chem. Phys. 1989, 90, 2154. [Google Scholar] [CrossRef]
- González, C.; Schlegel, H.B. Reaction-path Following in Mass-weighted Internal Coordinates. J. Phys. Chem. 1990, 94, 5523–5527. [Google Scholar] [CrossRef]
- Tomasi, J.; Mennucci, B.; Cammi, R. Quantum Mechanical Continuum Solvation Models. Chem. Rev. 2005, 105, 2999–3093. [Google Scholar] [CrossRef] [PubMed]
- Jorge, F.E.; Neto, A.C.; Camiletti, G.G.; Machado, S.F. Contracted Gaussian Basis Sets for Douglas–Kroll–Hess Calculations: Estimating Scalar Relativistic Effects of Some Atomic and Molecular Properties. J. Chem. Phys. 2009, 130, 64108. [Google Scholar] [CrossRef]
- Ceolin, G.A.; de Berredo, R.C.; Jorge, F.E. Gaussian Basis Sets of Quadruple Zeta Quality for Potassium Through Xenon: Application in CCSD(T) Atomic and Molecular Property Calculations. Theor. Chem. Acc. 2013, 132, 1339. [Google Scholar] [CrossRef]
- Bauschlicher Jr, C.W.; Gutsev, G.L. The Electron Affinities of Transition Metal Atoms at the CCSD(T) and Density Functional Levels of Theory. Theor. Chem. Acc. 2002, 108, 27–30. [Google Scholar] [CrossRef]
- Ruiz, J.; Perandones, B.F.; Van der Maelen, J.F.; García-Granda, S. On the Existence of an N-metalated N-heterocyclic Carbene: A Theoretical Study. Organometallics 2010, 29, 4639–4642. [Google Scholar] [CrossRef]
- Ruiz, J.; Sol, D.; Van der Maelen, J.F.; Vivanco, M. Base-promoted Transmetalation Reactions of Protic N-heterocyclic Carbenes and Acyclic Diamino Carbenes from MnI to AuI: A Mechanistic Study. Organometallics 2017, 36, 1035–1041. [Google Scholar] [CrossRef]
- Kozuch, S.; Shaik, S. How to Conceptualize Catalytic Cycles? The Energetic Span Model. Acc. Chem. Res. 2011, 44, 101–110. [Google Scholar] [CrossRef]
- Luo, Q.; Li, Q.; Xie, Y.; King, R.B.; Schaefer, H.F. Substantial Dissociation Energies for the Recently Synthesized NC-Ag-NH3 and Br-Ag-NH3 Molecules and Their Isovalent Family Members M(CN)XY3 and M(Br)XY3 (M = Cu, Ag, Au; X = N, P; Y = H, F). J. Chem. Theory Comput. 2011, 7, 131–137. [Google Scholar] [CrossRef] [PubMed]
- Wu, D.Y.; Ren, B.; Jiang, Y.X.; Xu, X.; Tian, Z.Q. Density Functional Study and Normal-Mode Analysis of the Bindings and Vibrational Frequency Shifts of the Pyridine-M (M = Cu, Ag, Au, Cu+, Ag+, Au+, and Pt) Complexes. J. Phys. Chem. A 2002, 106, 9042–9052. [Google Scholar] [CrossRef]
- Wang, G.; Jiang, L.; Pang, X.; Nakamura, J. Cluster and Periodic DFT Calculations: The Adsorption of Atomic Nitrogen on M(111) (M = Cu, Ag, Au) Surfaces. J. Phys. Chem. B 2005, 109, 17943–17950. [Google Scholar] [CrossRef]












| Complex | Mn1-C1 | N1-H1 | C1-H1 | H1-O1 | N1-Ag1 | C1-Ag1 | Mn1-N1 |
|---|---|---|---|---|---|---|---|
| 1 + Ag2O | 2.083 | 1.015 | ---- | ---- | ---- | ---- | ---- |
| I1 | 2.102 | 1.080 | ---- | 1.582 | ---- | ---- | ---- |
| TS(1-2) | 2.138 | 1.259 | ---- | 1.260 | ---- | ---- | ---- |
| I2 | 2.116 | 2.192 | ---- | 0.983 | ---- | ---- | ---- |
| TS(2-3) | 2.125 | ---- | ---- | 0.968 | 2.137 | ---- | ---- |
| I3 | 2.129 | ---- | ---- | 0.967 | 2.134 | ---- | ---- |
| TS(3-4) | 3.341 | ---- | ---- | 0.978 | 2.440 | 2.603 | 2.330 |
| I4 | ---- | ---- | ---- | 0.968 | ---- | 2.120 | 2.215 |
| TS(4-5) | ---- | ---- | 1.856 | 1.024 | ---- | ---- | 2.278 |
| I5 | ---- | ---- | 1.106 | 1.806 | ---- | ---- | 2.164 |
| TS(5-Products) | ---- | ---- | 1.095 | 1.807 | ---- | ---- | 2.629 |
| 2 + Ag2O | 1.087 | ---- | ---- | ---- | 2.111 | ||
| 2′ + Ag2O | ---- | ---- | 1.092 | ---- | ---- | ---- | 2.127 |
| 2″ + Ag2O | ---- | ---- | 1.093 | ---- | ---- | ---- | 2.195 |
| Complex | Mn1-C1-N1 | Mn1-C1-N2 | Mn1-N1-C1 | Mn1-N1-C2 | Ag1-O1-Ag2 |
|---|---|---|---|---|---|
| 1 + Ag2O | 128.2 | 118.3 | ---- | ---- | 94.4 |
| I1 | 128.8 | 116.9 | ---- | ---- | 105.2 |
| TS(1-2) | 130.0 | 114.6 | ---- | ---- | 115.4 |
| I2 | 130.3 | 115.8 | ---- | ---- | 143.1 |
| TS(2-3) | 129.4 | 114.0 | ---- | ---- | 141.3 |
| I3 | 129.4 | 113.9 | ---- | ---- | 128.0 |
| TS(3-4) | 34.0 | 98.7 | 126.7 | 108.4 | 128.0 |
| I4 | ---- | ---- | 137.7 | 109.4 | 88.1 |
| TS(4-5) | ---- | ---- | 140.8 | 107.6 | 141.4 |
| I5 | ---- | ---- | 136.9 | 113.2 | 112.0 |
| TS(5-Products) | ---- | ---- | 143.1 | 104.2 | 122.4 |
| 2 + Ag2O | ---- | ---- | 123.3 | 121.0 | 94.4 |
| 2′ + Ag2O | ---- | ---- | 129.7 | 118.3 | 94.4 |
| 2″ + Ag2O | ---- | ---- | 135.8 | 112.7 | 94.4 |
| Complex | Mn1-C1 | N1-H1 | C1-H1 | H1-O1 | N1-Cu1 | C1-Cu1 | Mn1-N1 |
|---|---|---|---|---|---|---|---|
| 1 + Cu2O | 2.083 | 1.015 | ---- | ---- | ---- | ---- | ---- |
| I6 | 2.087 | 1.070 | ---- | 1.678 | ---- | ---- | ---- |
| TS(6-7) | 2.084 | 1.080 | ---- | 1.602 | ---- | ---- | ---- |
| I7 | 2.100 | 2.067 | ---- | 0.996 | ---- | ---- | ---- |
| TS(7-8) | 2.143 | ---- | ---- | 0.976 | 1.912 | ---- | ---- |
| I8 | 2.101 | ---- | ---- | 0.966 | 1.944 | ---- | ---- |
| TS(8-9) | 3.274 | ---- | ---- | 0.971 | 2.169 | 2.435 | 2.393 |
| I9 | ---- | ---- | ---- | 0.966 | ---- | 1.932 | 2.182 |
| TS(9-10) | ---- | ---- | 2.297 | 0.969 | ---- | ---- | 2.436 |
| I10 | ---- | ---- | 1.108 | 1.822 | ---- | ---- | 2.160 |
| TS(10-Products) | ---- | ---- | 1.089 | 2.096 | ---- | ---- | 2.199 |
| 2 + Cu2O | 1.087 | 2.111 | |||||
| 2′ + Cu2O | ---- | ---- | 1.092 | ---- | ---- | ---- | 2.127 |
| 2″ + Cu2O | ---- | ---- | 1.093 | ---- | ---- | ---- | 2.195 |
| Complex | Mn1-C1-N1 | Mn1-C1-N2 | Mn1-N1-C1 | Mn1-N1-C2 | Cu1-O1-Cu2 |
|---|---|---|---|---|---|
| 1 + Cu2O | 128.2 | 118.3 | ---- | ---- | 93.7 |
| I6 | 128.3 | 118.1 | ---- | ---- | 100.9 |
| TS(6-7) | 128.6 | 117.7 | ---- | ---- | 110.4 |
| I7 | 129.9 | 116.1 | ---- | ---- | 136.9 |
| TS(7-8) | 130.4 | 113.4 | ---- | ---- | 128.3 |
| I8 | 129.8 | 115.7 | ---- | ---- | 92.9 |
| TS(8-9) | 40.7 | 97.4 | 116.8 | 107.4 | 100.9 |
| I9 | ---- | ---- | 139.8 | 109.1 | 96.1 |
| TS(9-10) | ---- | ---- | 131.3 | 107.3 | 135.7 |
| I10 | ---- | ---- | 136.3 | 113.0 | 111.0 |
| TS(10-Products) | ---- | ---- | 135.9 | 114.2 | 102.8 |
| 2 + Cu2O | |||||
| 2′ + Cu2O | ---- | ---- | 129.7 | 118.3 | 93.7 |
| 2″ + Cu2O | ---- | ---- | 135.8 | 112.7 | 93.7 |
| Complex | Mn1-C1 | N2-H2 | C1-H2 | H2-O1 | Mn1-N1 |
|---|---|---|---|---|---|
| 1 + Ag2O | 2.083 | 1.006 | ---- | ---- | ---- |
| I11 | 2.088 | 1.039 | ---- | 1.753 | ---- |
| TS(11-12) | 2.101 | 1.031 | ---- | 1.845 | ---- |
| I12 | 2.099 | 1.043 | ---- | 1.702 | ---- |
| 3 + Ag2O | ---- | ---- | 1.086 | ---- | 2.098 |
| 3 (exp) | ---- | ---- | 1.03 (3) | ---- | 2.084 (3) |
| Complex | Mn1-C1-N1 | Mn1-C1-N2 | Mn1-N2-C1 | Mn1-N2-C3 | Ag1-O1-Ag2 |
|---|---|---|---|---|---|
| 1 + Ag2O | 128.2 | 118.3 | ---- | ---- | 94.4 |
| I11 | 126.0 | 120.6 | ---- | ---- | 104.9 |
| TS(11-12) | 126.6 | 120.5 | ---- | ---- | 107.3 |
| I12 | 128.1 | 118.6 | ---- | ---- | 100.2 |
| 3 + Ag2O | ---- | ---- | 121.7 | 122.3 | 94.4 |
| 3 (exp) | ---- | ---- | 123.0 (2) | 119.6 (2) | ---- |
Publisher’s Note: MDPI stays neutral with regard to jurisdictional claims in published maps and institutional affiliations. |
© 2022 by the authors. Licensee MDPI, Basel, Switzerland. This article is an open access article distributed under the terms and conditions of the Creative Commons Attribution (CC BY) license (https://creativecommons.org/licenses/by/4.0/).
Share and Cite
Van der Maelen, J.F.; Ruiz, J. Ag2O versus Cu2O in the Catalytic Isomerization of Coordinated Diaminocarbenes to Formamidines: A Theoretical Study. Materials 2022, 15, 491. https://doi.org/10.3390/ma15020491
Van der Maelen JF, Ruiz J. Ag2O versus Cu2O in the Catalytic Isomerization of Coordinated Diaminocarbenes to Formamidines: A Theoretical Study. Materials. 2022; 15(2):491. https://doi.org/10.3390/ma15020491
Chicago/Turabian StyleVan der Maelen, Juan F., and Javier Ruiz. 2022. "Ag2O versus Cu2O in the Catalytic Isomerization of Coordinated Diaminocarbenes to Formamidines: A Theoretical Study" Materials 15, no. 2: 491. https://doi.org/10.3390/ma15020491
APA StyleVan der Maelen, J. F., & Ruiz, J. (2022). Ag2O versus Cu2O in the Catalytic Isomerization of Coordinated Diaminocarbenes to Formamidines: A Theoretical Study. Materials, 15(2), 491. https://doi.org/10.3390/ma15020491

