Physicochemical Characterization, Thermal Behavior, and Pyrolysis Kinetics of Sewage Sludge
Abstract
1. Introduction
2. Materials and Methods
2.1. Sample Preparation
2.2. Proximate, Ultimate, and HHV Analyses
2.3. FTIR Analysis and X-ray Diffraction
2.4. TG-DTG, TG-MS, and DSC Analysis
2.5. Kinetic Study
2.5.1. Activation Energy
- (a)
- Flynn–Wall–Ozawa (FWO) method
- (b)
- Kissinger–Akahira–Sunose (KAS) method
- (c)
- Starink method
2.5.2. Pre-Exponential Factor
2.5.3. Thermodynamic Parameters
3. Results and Discussion
3.1. Proximate, Ultimate, and HHV Analysis
3.2. FTIR Analysis and X-ray Diffraction
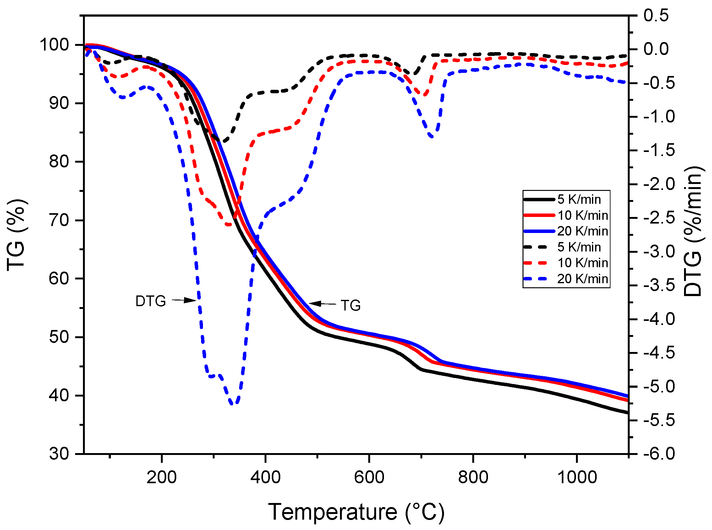
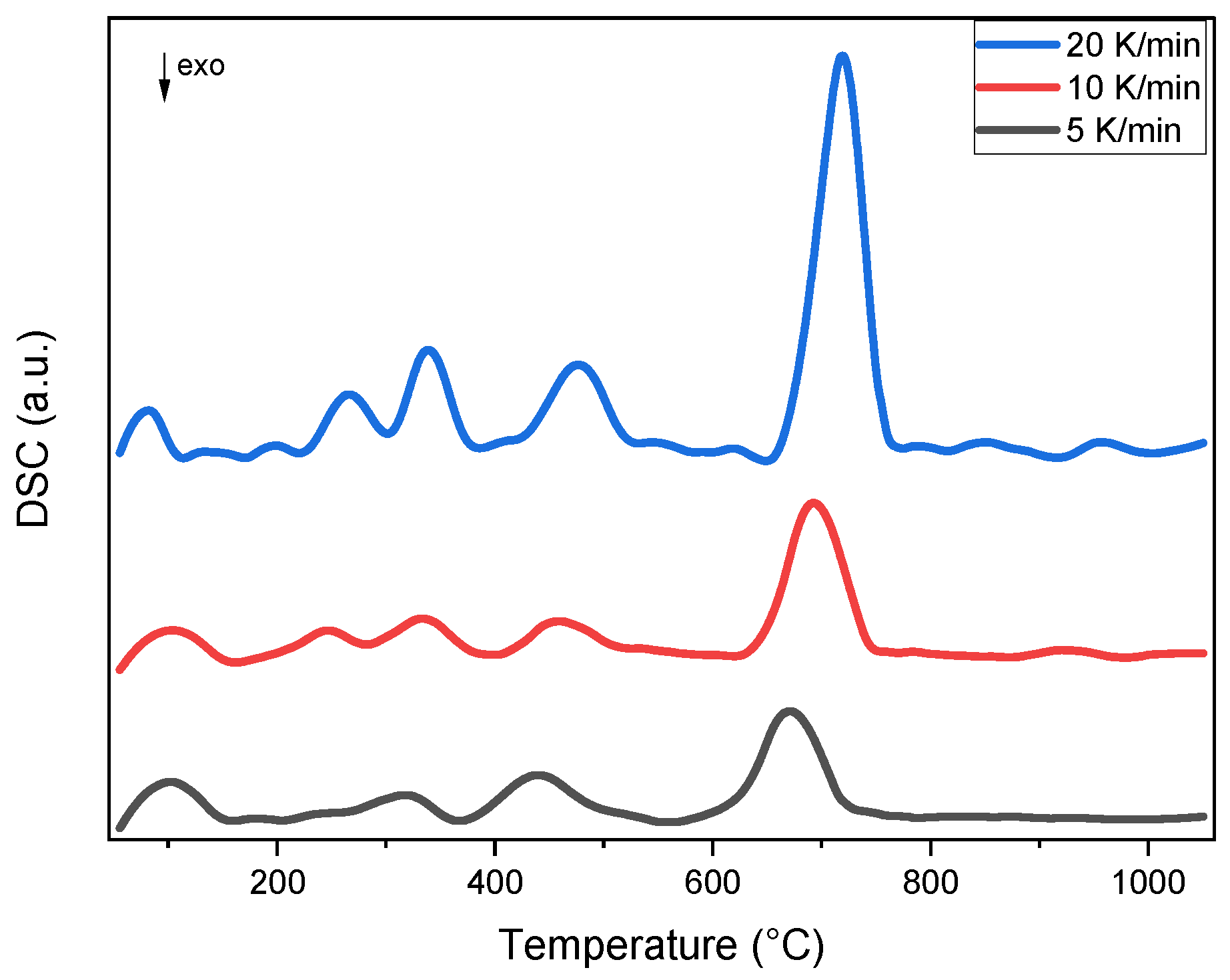
3.3. TG-DTG, TG-MS, and DSC Analysis
3.4. Kinetic Study
3.4.1. The Activation Energy
3.4.2. The Pre-Exponential Factor
3.4.3. Thermodynamic Parameters
4. Conclusions
Author Contributions
Funding
Data Availability Statement
Acknowledgments
Conflicts of Interest
References
- Rijksdienst voor Ondernemend Nederland. Business Opportunities Report for Reuse of Wastewater in Morocco Commissioned by the Netherlands Enterprise Agency. 2018. Available online: https://www.rvo.nl/sites/default/files/2018/06/Business-opportunities-report-for-reuse-of-wastewater-in-morocco.pdf (accessed on 13 September 2023).
- Fijalkowski, K.; Rorat, A.; Grobelak, A.; Kacprzak, M.J. The presence of contaminations in sewage sludge—The current situation. J. Environ. Manag. 2017, 203, 1126–1136. [Google Scholar] [CrossRef]
- Seggiani, M.; Puccini, M.; Raggio, G.; Vitolo, S. Effect of sewage sludge content on gas quality and solid residues produced by cogasification in an updraft gasifier. Waste Manag. 2012, 32, 1826–1834. [Google Scholar] [CrossRef]
- Zerrouqi, Z.; Sbaa, M.; Chafi, A.; Elhafid, D. Investigation du lessivage des stocks de boues d’épuration de Nador: Étude sur terrain et apport de l’expérimentation. J. Water Sci. 2012, 24, 371–381. [Google Scholar] [CrossRef][Green Version]
- Oladejo, J.; Shi, K.; Luo, X.; Yang, G.; Wu, T. A Review of Sludge-to-Energy Recovery Methods. Energies 2018, 12, 60. [Google Scholar] [CrossRef]
- Cao, Y.; Pawłowski, A. Sewage sludge-to-energy approaches based on anaerobic digestion and pyrolysis: Brief overview and energy efficiency assessment. Renew. Sustain. Energy Rev. 2012, 16, 1657–1665. [Google Scholar] [CrossRef]
- Tyagi, V.K.; Lo, S.-L. Sludge: A waste or renewable source for energy and resources recovery? Renew. Sustain. Energy Rev. 2013, 25, 708–728. [Google Scholar] [CrossRef]
- Brethauer, S.; Studer, M.H. Biochemical Conversion Processes of Lignocellulosic Biomass to Fuels and Chemicals—A Review. Chimia 2015, 69, 572. [Google Scholar] [CrossRef]
- Elorf, A.; Sarh, B.; Tabet, F.; Bostyn, S.; Asbik, M.; Bonnamy, S.; Chaoufi, J.; Boushaki, T.; Gillon, P. Effect of Swirl Strength on the Flow and Combustion Characteristics of Pulverized Biomass Flames. Combust. Sci. Technol. 2019, 191, 629–644. [Google Scholar] [CrossRef]
- Gao, N.; Kamran, K.; Quan, C.; Williams, P.T. Thermochemical conversion of sewage sludge: A critical review. Prog. Energy Combust. Sci. 2020, 79, 100843. [Google Scholar] [CrossRef]
- Bennini, M.; Koukouch, A.; Bakhattar, I.; Asbik, M.; Boushaki, T.; Sarh, B.; Elorf, A.; Cagnon, B.; Bonnamy, S. Characterization and Combustion of Olive Pomace in a Fixed Bed Boiler: Effects of Particle Sizes. Int. J. Heat Technol. 2019, 37, 229–238. [Google Scholar] [CrossRef]
- Hu, X.; Gholizadeh, M. Biomass pyrolysis: A review of the process development and challenges from initial researches up to the commercialisation stage. J. Energy Chem. 2019, 39, 109–143. [Google Scholar] [CrossRef]
- Shahbeig, H.; Nosrati, M. Pyrolysis of municipal sewage sludge for bioenergy production: Thermo-kinetic studies, evolved gas analysis, and techno-socio-economic assessment. Renew. Sustain. Energy Rev. 2020, 119, 109567. [Google Scholar] [CrossRef]
- Mphahlele, K.; Matjie, R.H.; Osifo, P.O. Thermodynamics, kinetics and thermal decomposition characteristics of sewage sludge during slow pyrolysis. J. Environ. Manag. 2021, 284, 112006. [Google Scholar] [CrossRef] [PubMed]
- Criado, J.M. Kinetic analysis of DTG data from master curves. Thermochim. Acta 1978, 24, 186–189. [Google Scholar] [CrossRef]
- Fonts, I.; Azuara, M.; Gea, G.; Murillo, M.B. Study of the pyrolysis liquids obtained from different sewage sludge. J. Anal. Appl. Pyrolysis 2009, 85, 184–191. [Google Scholar] [CrossRef]
- Naqvi, S.R.; Tariq, R.; Hameed, Z.; Ali, I.; Taqvi, S.A.; Naqvi, M.; Niazi, M.B.K.; Noor, T.; Farooq, W. Pyrolysis of high-ash sewage sludge: Thermo-kinetic study using TGA and artificial neural networks. Fuel 2018, 233, 529–538. [Google Scholar] [CrossRef]
- Zhai, Y.; Peng, W.; Zeng, G.; Fu, Z.; Lan, Y.; Chen, H.; Wang, C.; Fan, X. Pyrolysis characteristics and kinetics of sewage sludge for different sizes and heating rates. J. Therm. Anal. Calorim. 2012, 107, 1015–1022. [Google Scholar] [CrossRef]
- Shao, J.; Yan, R.; Chen, H.; Wang, B.; Lee, D.H.; Liang, D.T. Pyrolysis Characteristics and Kinetics of Sewage Sludge by Thermogravimetry Fourier Transform Infrared Analysis. Energy Fuels 2008, 22, 38–45. [Google Scholar] [CrossRef]
- Park, E.-S.; Kang, B.-S.; Kim, J.-S. Recovery of Oils With High Caloric Value and Low Contaminant Content By Pyrolysis of Digested and Dried Sewage Sludge Containing Polymer Flocculants. Energy Fuels 2008, 22, 1335–1340. [Google Scholar] [CrossRef]
- Chanaka Udayanga, W.D.; Veksha, A.; Giannis, A.; Lisak, G.; Lim, T.-T. Effects of sewage sludge organic and inorganic constituents on the properties of pyrolysis products. Energy Convers. Manag. 2019, 196, 1410–1419. [Google Scholar] [CrossRef]
- ASTM D5142-90; Standard Test Methods for Proximate Analysis of the Analysis Sample of Coal and Coke by Instrumental Procedures. ASTM International: West Conshohocken, PA, USA, 1998.
- ASTM D2015-19; Standard Test Method for Gross Calorific Value of Coal and Coke by the Adiabatic Bomb Calorimeter. ASTM International: West Conshohocken, PA, USA, 2019.
- Dhyani, V.; Bhaskar, T. Kinetic Analysis of Biomass Pyrolysis. In Waste Biorefinery; Elsevier: Amsterdam, The Netherlands, 2018; pp. 39–83. Available online: https://linkinghub.elsevier.com/retrieve/pii/B9780444639929000021 (accessed on 24 November 2022).
- Yao, Z.; Yu, S.; Su, W.; Wu, W.; Tang, J.; Qi, W. Kinetic studies on the pyrolysis of plastic waste using a combination of model-fitting and model-free methods. Waste Manag. Res. 2020, 38 (Suppl. S1), 77–85. [Google Scholar] [CrossRef]
- Yao, Z.; Reinmöller, M.; Ortuño, N.; Zhou, H.; Jin, M.; Liu, J.; Luque, R. Thermochemical conversion of waste printed circuit boards: Thermal behavior, reaction kinetics, pollutant evolution and corresponding controlling strategies. Prog. Energy Combust. Sci. 2023, 97, 101086. [Google Scholar] [CrossRef]
- Boundzanga, H.M.; Cagnon, B.; Roulet, M.; De Persis, S.; Vautrin-Ul, C.; Bonnamy, S. Contributions of hemicellulose, cellulose, and lignin to the mass and the porous characteristics of activated carbons produced from biomass residues by phosphoric acid activation. Biomass Conv. Bioref. 2022, 12, 3081–3096. [Google Scholar] [CrossRef]
- Magdziarz, A.; Wilk, M.; Gajek, M.; Nowak-Woźny, D.; Kopia, A.; Kalemba-Rec, I.; Koziński, J.A. Properties of ash generated during sewage sludge combustion: A multifaceted analysis. Energy 2016, 113, 85–94. [Google Scholar] [CrossRef]
- Folgueras, M.B.; Alonso, M.; Díaz, R.M. Influence of sewage sludge treatment on pyrolysis and combustion of dry sludge. Energy 2013, 55, 426–435. [Google Scholar] [CrossRef]
- Jenkins, B.M.; Baxter, L.L.; Miles, T.R., Jr.; Miles, T.R. Combustion properties of Biomass. Fuel Process. Technol. 1998, 54, 17–46. [Google Scholar] [CrossRef]
- Channiwala, S.A.; Parikh, P.P. A unified correlation for estimating HHV of solid, liquid and gaseous fuels. Fuel 2002, 81, 1051–1063. [Google Scholar] [CrossRef]
- Putun, A. Rice straw as a bio-oil source via pyrolysis and steam pyrolysis. Energy 2004, 29, 2171–2180. [Google Scholar] [CrossRef]
- Bakhattar, I.; Asbik, M.; Chater, H.; El Alami, K.; Aadnan, I.; Zegaoui, O.; Mouaky, A.; Koukouch, A.; Benzaouak, A. Physicochemical and Thermal Characterization of Olive Pomace (Biomass). In Proceedings of the 2021 9th International Renewable and Sustainable Energy Conference (IRSEC), virtual event, 23–27 November 2021; pp. 1–6. [Google Scholar]
- Arauzo, P.J.; Atienza-Martínez, M.; Ábrego, J.; Olszewski, M.P.; Cao, Z.; Kruse, A. Combustion Characteristics of Hydrochar and Pyrochar Derived from Digested Sewage Sludge. Energies 2020, 13, 4164. [Google Scholar] [CrossRef]
- Wang, Y.; Jia, L.; Guo, J.; Wang, B.; Zhang, L.; Xiang, J.; Jin, Y. Thermogravimetric analysis of co-combustion between municipal sewage sludge and coal slime: Combustion characteristics, interaction and kinetics. Thermochim. Acta 2021, 706, 179056. [Google Scholar] [CrossRef]
- Bakhattar, I.; Asbik, M.; Koukouch, A.; Aadnan, I.; Zegaoui, O.; Belandria, V.; Bonnamy, S.; Sarh, B. Physicochemical characterization, thermal analysis and pyrolysis kinetics of lignocellulosic biomasses. Biofuels 2023, 14, 1–12. [Google Scholar] [CrossRef]
- Böke, H.; Akkurt, S.; Özdemir, S.; Göktürk, E.H.; Caner Saltik, E.N. Quantification of CaCO3–CaSO3·0.5H2O–CaSO4·2H2O mixtures by FTIR analysis and its ANN model. Mater. Lett. 2004, 58, 723–726. [Google Scholar] [CrossRef]
- Al-Hosney, H.A.; Grassian, V.H. Water, sulfur dioxide and nitric acid adsorption on calcium carbonate: A transmission and ATR-FTIR study. Phys. Chem. Chem. Phys. 2005, 7, 1266. [Google Scholar] [CrossRef] [PubMed]
- Vali, N.; Åmand, L.-E.; Combres, A.; Richards, T.; Pettersson, A. Pyrolysis of Municipal Sewage Sludge to Investigate Char and Phosphorous Yield together with Heavy-Metal Removal—Experimental and by Thermodynamic Calculations. Energies 2021, 14, 1477. [Google Scholar] [CrossRef]
- Lin, Y.; Liao, Y.; Yu, Z.; Fang, S.; Lin, Y.; Fan, Y.; Peng, X.; Ma, X. Co-pyrolysis kinetics of sewage sludge and oil shale thermal decomposition using TGA–FTIR analysis. Energy Convers. Manag. 2016, 118, 345–352. [Google Scholar] [CrossRef]
- Barneto, A.G.; Carmona, J.A.; Alfonso, J.E.M.; Blanco, J.D. Kinetic models based in biomass components for the combustion and pyrolysis of sewage sludge and its compost. J. Anal. Appl. Pyrolysis 2009, 86, 108–114. [Google Scholar] [CrossRef]
- Zhang, H.-Y.; Krafft, T.; Gao, D.; Zheng, G.-D.; Cai, L. Lignocellulose biodegradation in the biodrying process of sewage sludge and sawdust. Dry. Technol. 2018, 36, 316–324. [Google Scholar] [CrossRef]
- Chen, Y.; Yang, H.; Zhao, Z.; Zou, H.; Zhu, R.; Jiang, Q.; Sun, T.; Li, M.; Li, L.; Shi, D.; et al. Comprehensively evaluating the digestive performance of sludge with different lignocellulosic components in mesophilic anaerobic digester. Bioresour. Technol. 2019, 293, 122042. [Google Scholar] [CrossRef]
- Li, B.; Wei, W. Effect of lignin on the co-pyrolysis of sludge and cellulose. Energy Sources Part A Recovery Util. Environ. Eff. 2016, 38, 1825–1831. [Google Scholar] [CrossRef]
- Miskolczi, N.; Tomasek, S. Investigation of Pyrolysis Behavior of Sewage Sludge by Thermogravimetric Analysis Coupled with Fourier Transform Infrared Spectrometry Using Different Heating Rates. Energies 2022, 15, 5116. [Google Scholar] [CrossRef]
- Bonnamy, S. Carbonization of various precursors. Effect of heating rate Part II: Transmission electron microscopy and physicochemical studies. Carbon 1999, 37, 1707–1724. [Google Scholar] [CrossRef]
- Gabbott, P. (Ed.) Principles and Applications of Thermal Analysis; Blackwell Pub: Oxford, IA, USA, 2008; ISBN 978-1-4051-3171-1. [Google Scholar]
- Magdziarz, A.; Werle, S. Analysis of the combustion and pyrolysis of dried sewage sludge by TGA and MS. Waste Manag. 2014, 34, 174–179. [Google Scholar] [CrossRef]
- Thrower, P.A.; Radovic, L.R. Chemistry & Physics of Carbon; CRC Press: Boca Raton, FL, USA, 1999; ISBN 978-0-8247-1953-1. [Google Scholar]
- Colpani, D.; Santos, V.O.; Araujo, R.O.; Lima, V.M.R.; Tenório, J.A.S.; Coleti, J.; Chaar, J.S.; de Souza, L.K.C. Bioenergy potential analysis of Brazil nut biomass residues through pyrolysis: Gas emission, kinetics, and thermodynamic parameters. Clean. Chem. Eng. 2022, 1, 100002. [Google Scholar] [CrossRef]
- Koga, N.; Vyazovkin, S.; Burnham, A.K.; Favergeon, L.; Muravyev, N.V.; Perez-Maqueda, L.A.; Saggese, C.; Sánchez-Jiménez, P.E. ICTAC Kinetics Committee recommendations for analysis of thermal decomposition kinetics. Thermochim. Acta 2022, 719, 179384. [Google Scholar] [CrossRef]
- Zong, P.; Jiang, Y.; Tian, Y.; Li, J.; Yuan, M.; Ji, Y.; Chen, M.; Li, D.; Qiao, Y. Pyrolysis behavior and product distributions of biomass six group components: Starch, cellulose, hemicellulose, lignin, protein and oil. Energy Convers. Manag. 2020, 216, 112777. [Google Scholar] [CrossRef]
- Cai, J.; He, Y.; Yu, X.; Banks, S.W.; Yang, Y.; Zhang, X.; Yu, Y.; Liu, R.; Bridgwater, A.V. Review of physicochemical properties and analytical characterization of lignocellulosic biomass. Renew. Sustain. Energy Rev. 2017, 76, 309–322. [Google Scholar] [CrossRef]
- Halikia, I.; Zoumpoulakis, L.; Christodoulou, E.; Prattis, D. Kinetic study of the thermal decomposition of calcium carbonate by isothermal methods of analysis. Eur. J. Miner. Process. Environ. Prot. 2001, 1, 89–102. [Google Scholar]
- Ninan, K.N.; Krishnan, K.; Krishnamurthy, V.N. Kinetics and mechanism of thermal decomposition of insitu generated calcium carbonate. J. Therm. Anal. 1991, 37, 1533–1543. [Google Scholar] [CrossRef]
- Rasool, T.; Srivastava, V.C.; Khan, M.N.S. Bioenergy Potential of Salix alba Assessed Through Kinetics and Thermodynamic Analyses. Process Integr. Optim. Sustain. 2018, 2, 259–268. [Google Scholar] [CrossRef]
- Ahmad, M.S.; Mehmood, M.A.; Liu, C.-G.; Tawab, A.; Bai, F.-W.; Sakdaronnarong, C.; Xu, J.; Rahimuddin, S.A.; Gull, M. Bioenergy potential of Wolffia arrhiza appraised through pyrolysis, kinetics, thermodynamics parameters and TG-FTIR-MS study of the evolved gases. Bioresour. Technol. 2018, 253, 297–303. [Google Scholar] [CrossRef]








| Sample | Ultimate Analyses | Proximate Analyses | ||||||||||
|---|---|---|---|---|---|---|---|---|---|---|---|---|
| N (wt.% db) | C (wt.% db) | H (wt.% db) | S (wt.% db) | O (wt.% db) | M (wt.%) | VM (wt.%) | FC (wt.%) | Ash (wt.%) | HHV (MJ/kg) Experimented | HHV (MJ/kg) Estimated | ||
| Present work | SSB (methionine) | 3.93 | 33.55 | 4.44 | 1.36 | 18.74 | 2.44 | 48.54 | 11.04 | 37.98 | 15.16 | 14.282 |
| SSB (BBOT) | 3.86 | 33.55 | 4.49 | 1.39 | 18.75 | 2.44 | 48.54 | 11.06 | 37.96 | 15.01 | 14.344 | |
| Previous work | Sewage sludge [28] | 4.1–5.3 | 28.9–32.3 | 4.4–4.9 | 0.57–1.1 | 20.2–24.9 | 4.2–19.1 | 63.5–64.9 | - | 32–36.2 | - | 12.24–13.12 |
| Sewage sludge [29] | 2.9–5.78 | 25.39–38.2 | 4.06–6.19 | 0.77–1.17 | 20.84–22.08 | 4.3–6.8 | 53.1–64.9 | 2.1–7.9 | 27.2–44.8 | - | 11.84–17.75 | |
| Rice straw [30] | 0.87 | 38.24 | 5.20 | 0.18 | 36.26 | - | 65.47 | 15.86 | 18.67 | 15.09 | - | |
| α | KAS Method | FWO Method | Starink Method | |||
|---|---|---|---|---|---|---|
| Ea (kJ/mol) | R² | Ea (kJ/mol) | R² | Ea (kJ/mol) | R² | |
| 0.1 | 175.4 | 0.953 | 200.0 | 0.985 | 166.9 | 0.944 |
| 0.2 | 209.2 | 0.979 | 201.9 | 0.975 | 202.5 | 0.976 |
| 0.3 | 228.5 | 0.979 | 222.1 | 0.976 | 222.6 | 0.976 |
| 0.4 | 191.1 | 0.998 | 182.6 | 0.998 | 183.2 | 0.998 |
| 0.5 | 258.4 | 0.954 | 253.3 | 0.947 | 253.9 | 0.948 |
| 0.6 | 443.4 | 0.997 | 447.7 | 0.997 | 448.1 | 0.997 |
| 0.7 | 810.8 | 0.856 | 833.7 | 0.850 | 833.8 | 0.85 |
| 0.8 | 953.3 | 0.856 | 983.1 | 0.851 | 983.1 | 0.851 |
| 0.9 | 450.9 | 0.915 | 451.9 | 0.907 | 452.5 | 0.907 |
| Average | 413.4 | 0.946 | 419.6 | 0.947 | 416.3 | 0.938 |
| Pre-Exponential Coefficient A (min−1) | |||||||||
|---|---|---|---|---|---|---|---|---|---|
| α | KAS Method | FWO Method | Starink Method | ||||||
| 5 K/min | 10 K/min | 20 K/min | 5 K/min | 10 K/min | 20 K/min | 5 K/min | 10 K/min | 20 K/min | |
| 0.1 | 6.66 × 1016 | 2.79 × 1016 | 1.40 × 1016 | 1.17 × 1019 | 4.35 × 1018 | 1.98 × 1018 | 1.11 × 1016 | 4.83 × 1015 | 2.51 × 1015 |
| 0.2 | 8.05 × 1019 | 2.87 × 1019 | 1.26 × 1019 | 1.75 × 1019 | 6.43 × 1018 | 2.91 × 1018 | 1.96 × 1019 | 7.21 × 1018 | 3.26 × 1018 |
| 0.3 | 4.50 × 1021 | 1.46 × 1021 | 5.95 × 1020 | 1.19 × 1021 | 3.99 × 1020 | 1.67 × 1020 | 1.34 × 1021 | 4.46 × 1020 | 1.86 × 1020 |
| 0.4 | 1.78 × 1018 | 6.91 × 1017 | 3.26 × 1017 | 3.05 × 1017 | 1.23 × 1017 | 6.01 × 1016 | 3.44 × 1017 | 1.39 × 1017 | 6.75 × 1016 |
| 0.5 | 2.32 × 1024 | 6.53 × 1023 | 2.37 × 1023 | 8.14 × 1023 | 2.34 × 1023 | 8.66 × 1022 | 9.08 × 1023 | 2.61 × 1023 | 9.63 × 1022 |
| 0.6 | 1.11 × 1041 | 1.29 × 1040 | 2.27 × 1039 | 2.72 × 1041 | 3.08 × 1040 | 5.33 × 1039 | 2.94 × 1041 | 3.33 × 1040 | 5.75 × 1039 |
| 0.7 | 9.22 × 1073 | 1.83 × 1072 | 7.67 × 1070 | 1.04 × 1076 | 1.86 × 1074 | 7.10 × 1072 | 1.06 × 1076 | 1.89 × 1074 | 7.24 × 1072 |
| 0.8 | 5.13 × 1086 | 5.14 × 1084 | 1.23 × 1083 | 2.32 × 1089 | 2.02 × 1087 | 4.31 × 1085 | 2.32 × 1089 | 2.02 × 1087 | 4.31 × 1085 |
| 0.9 | 5.28 × 1041 | 5.89 × 1040 | 1.01 × 1040 | 6.52 × 1041 | 7.25 × 1040 | 1.23 × 1040 | 7.28 × 1041 | 8.08 × 1040 | 1.37 × 1040 |
| α | β (K/min) | KAS Method | FWO Method | Starink Method | ||||||
|---|---|---|---|---|---|---|---|---|---|---|
| ΔH (kJ/mol) | ΔG (kJ/mol) | ΔS (kJ/mol.K) | ΔH (kJ/mol) | ΔG (kJ/mol) | ΔS (kJ/mol.K) | ΔH (kJ/mol) | ΔG (kJ/mol) | ΔS (kJ/mol.K) | ||
| 0.1 | 5 10 20 | 171.198 171.108 171.066 | 153.401 157.348 160.611 | 0.030 0.022 0.017 | 195.811 195.721 195.679 | 152.759 156.691 159.941 | 0.073 0.064 0.058 | 162.680 162.590 162.549 | 153.644 157.597 160.865 | 0.015 0.008 0.003 |
| 0.2 | 5 10 20 | 204.680 204.632 204.548 | 152.539 156.466 159.711 | 0.088 0.080 0.073 | 197.386 197.338 197.254 | 152.713 156.644 159.892 | 0.076 0.067 0.060 | 197.945 197.896 197.813 | 152.700 156.630 159.879 | 0.077 0.069 0.062 |
| 0.3 | 5 10 20 | 223.700 223.652 223.569 | 152.110 156.026 159.263 | 0.121 0.112 0.104 | 217.346 217.298 217.215 | 152.248 156.167 159.407 | 0.110 0.101 0.094 | 217.890 217.841 217.758 | 152.236 156.156 159.395 | 0.112 0.103 0.095 |
| 0.4 | 5 10 20 | 186.121 186.031 185.948 | 152.984 156.921 160.175 | 0.056 0.048 0.041 | 177.724 177.634 177.551 | 153.203 157.146 160.405 | 0.041 0.034 0.027 | 178.306 178.215 178.132 | 153.188 157.130 160.389 | 0.043 0.035 0.029 |
| 0.5 | 5 10 20 | 253.241 253.151 253.109 | 151.509 155.411 158.635 | 0.173 0.162 0.153 | 248.214 248.124 248.082 | 151.605 155.509 158.735 | 0.164 0.153 0.145 | 248.744 248.654 248.612 | 151.595 155.499 158.725 | 0.165 0.155 0.146 |
| 0.6 | 5 10 20 | 437.930 437.881 437.840 | 148.870 152.709 155.879 | 0.491 0.473 0.459 | 442.236 442.187 442.146 | 148.823 152.660 155.830 | 0.499 0.481 0.466 | 442.620 442.572 442.530 | 148.819 152.657 155.826 | 0.500 0.482 0.467 |
| 0.7 | 5 10 20 | 804.882 804.875 804.833 | 145.921 149.689 152.800 | 1.121 1.088 1.062 | 827.844 827.837 827.795 | 145.785 149.550 152.657 | 1.160 1.127 1.100 | 827.939 827.932 827.891 | 145.785 149.550 152.657 | 1.161 1.127 1.100 |
| 0.8 | 5 10 20 | 946.972 946.965 946.924 | 145.130 148.879 151.973 | 1.364 1.326 1.295 | 976.693 976.686 976.645 | 144.980 148.725 151.816 | 1.415 1.375 1.343 | 976.699 976.692 976.650 | 144.980 148.726 151.817 | 1.415 1.376 1.344 |
| 0.9 | 5 10 20 | 442.949 442.818 442.776 | 148.788 152.625 155.794 | 0.500 0.482 0.467 | 443.978 443.847 443.805 | 148.777 152.613 155.782 | 0.502 0.483 0.469 | 444.512 444.380 444.339 | 148.772 152.608 155.776 | 0.503 0.485 0.470 |
Disclaimer/Publisher’s Note: The statements, opinions and data contained in all publications are solely those of the individual author(s) and contributor(s) and not of MDPI and/or the editor(s). MDPI and/or the editor(s) disclaim responsibility for any injury to people or property resulting from any ideas, methods, instructions or products referred to in the content. |
© 2024 by the authors. Licensee MDPI, Basel, Switzerland. This article is an open access article distributed under the terms and conditions of the Creative Commons Attribution (CC BY) license (https://creativecommons.org/licenses/by/4.0/).
Share and Cite
Messaoudi, H.; Koukouch, A.; Bakhattar, I.; Asbik, M.; Bonnamy, S.; Bennouna, E.G.; Boushaki, T.; Sarh, B.; Rouboa, A. Physicochemical Characterization, Thermal Behavior, and Pyrolysis Kinetics of Sewage Sludge. Energies 2024, 17, 582. https://doi.org/10.3390/en17030582
Messaoudi H, Koukouch A, Bakhattar I, Asbik M, Bonnamy S, Bennouna EG, Boushaki T, Sarh B, Rouboa A. Physicochemical Characterization, Thermal Behavior, and Pyrolysis Kinetics of Sewage Sludge. Energies. 2024; 17(3):582. https://doi.org/10.3390/en17030582
Chicago/Turabian StyleMessaoudi, Hanane, Abdelghani Koukouch, Ilias Bakhattar, Mohamed Asbik, Sylvie Bonnamy, El Ghali Bennouna, Toufik Boushaki, Brahim Sarh, and Abel Rouboa. 2024. "Physicochemical Characterization, Thermal Behavior, and Pyrolysis Kinetics of Sewage Sludge" Energies 17, no. 3: 582. https://doi.org/10.3390/en17030582
APA StyleMessaoudi, H., Koukouch, A., Bakhattar, I., Asbik, M., Bonnamy, S., Bennouna, E. G., Boushaki, T., Sarh, B., & Rouboa, A. (2024). Physicochemical Characterization, Thermal Behavior, and Pyrolysis Kinetics of Sewage Sludge. Energies, 17(3), 582. https://doi.org/10.3390/en17030582

