Numerical Simulations of a Gas–Solid Two-Phase Impinging Stream Reactor with Dynamic Inlet Flow
Abstract
1. Introduction
2. Model Description
2.1. Gas Motion Equations
2.2. Particle Motion Equations
2.3. Model Assumptions and Simulation Conditions
3. Results and Discussion
3.1. Gas Motion Behavior
3.2. Single Particle Motion Behavior
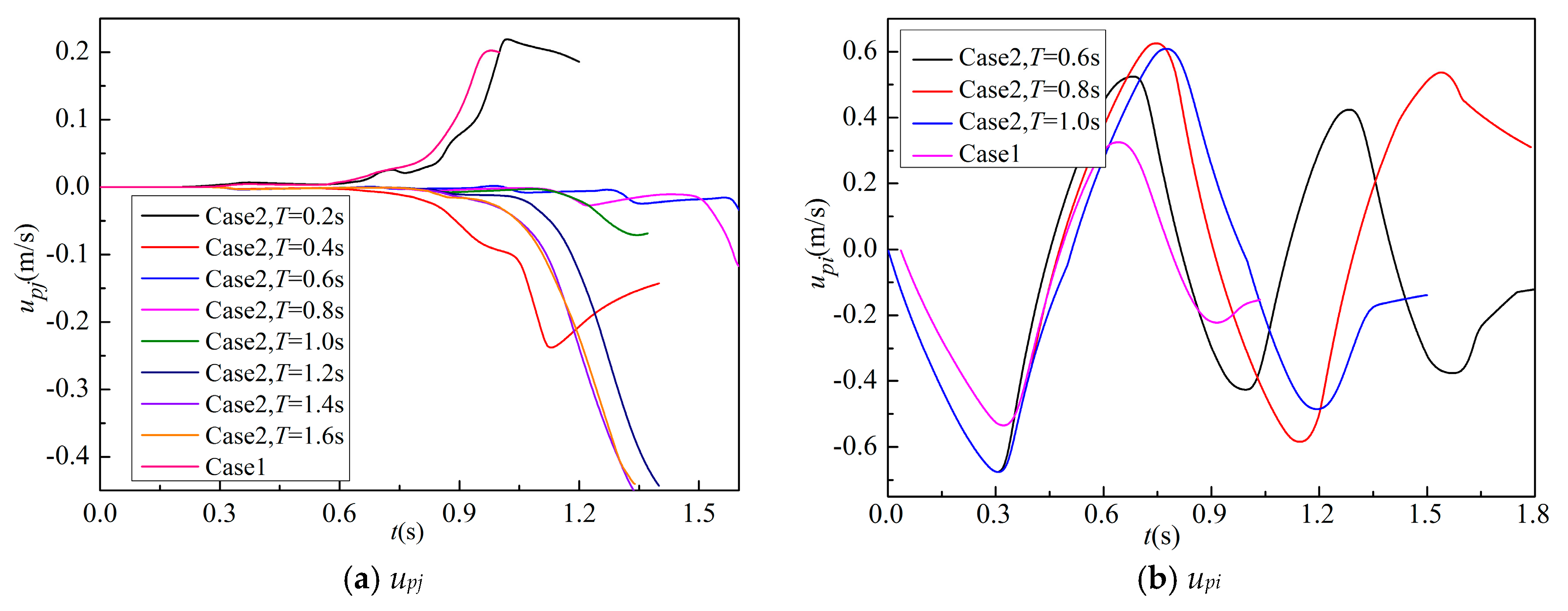
3.2.1. Single Particle Trajectory
3.2.2. Single Particle Residence Time
3.2.3. Effects of T and ∆u on the tr
3.3. Multi-Particle Motion Behavior
3.3.1. Multi-Particle Motion Characteristics
3.3.2. Multi-Particle Motion Model
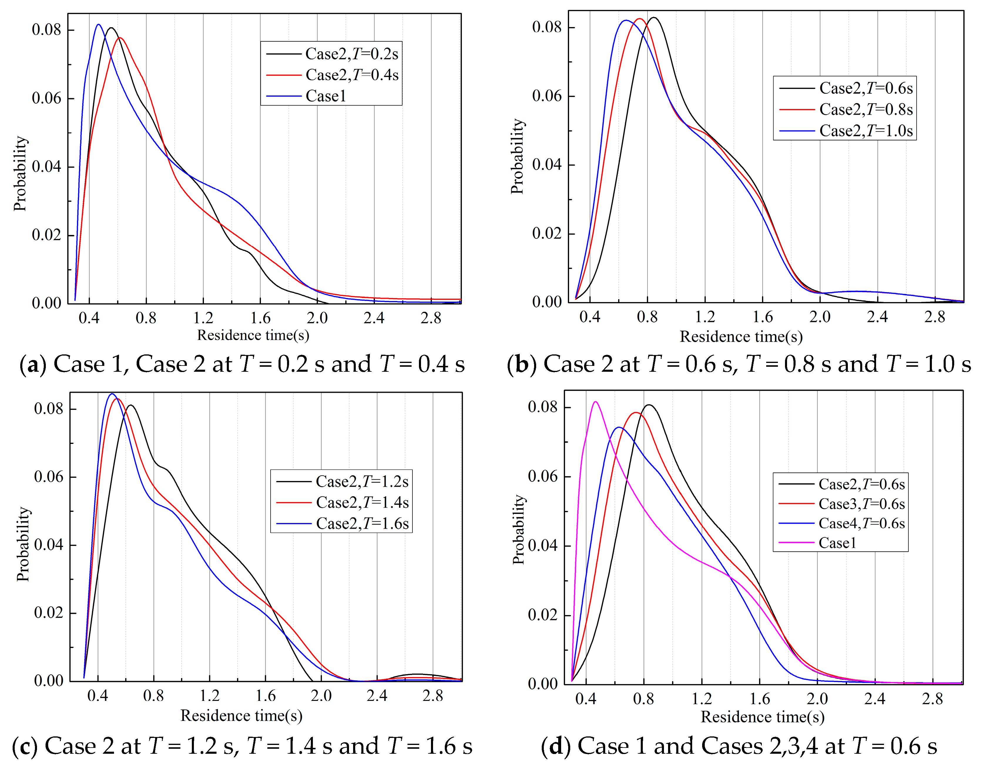
3.3.3. Mean Particle Residence Time
4. Conclusions
- The impinging surface is no longer stably located at the geometric center of the collision chamber and instantaneously moves in the axial area. Additionally, the flow regime is varied with time in the impinging stream reactor with a dynamic inlet flow.
- Single particle motion distance and residence time of the impinging stream reactor with a dynamic inlet flow are larger than those of a traditional impinging stream reactor under equal um. The ratio tr proposed in this work measures the particle oscillation time size under different conditions of the impinging stream reactor with equal um. Additionally, both tr and the residence time of a single particle reach a maximum value when half-period is approximately equal to the particle’s first acceleration time, due to an increasing number of oscillatory motions. The impinging stream reactor with dynamic inlet flow provides a higher cost performance over the traditional impinging stream reactor under equal um, in terms of particle residence time.
- Particle axial maximum kinetic energy greatly decreases because of flow resistance of the reverse fluid and interparticle collisions in the impinging stream reactor, which shortens the particle residence time and the motion range in the active area. Dynamic inflow conditions and increasing ∆u can continuously supply new energy to most particles and make more particles return to the active area again. Mean particle residence time and particle motion range increase with an increase of ∆u in the impinging stream reactor with dynamic inlet flow.
- Based on the multi-particle motion characteristics, three new particle motion modes exist and differ from those of traditional impinging stream reactors. These new modes, where some particles are accelerated again by the original or reverse fluid flow, can cause some particles to perform oscillatory motion at least once in the active area.
- The mean particle residence time of the impinging stream reactor with dynamic inlet flow is larger than that of the traditional impinging stream reactors under equal um because of the three new particle motion modes, which account for the majority of particle behavior. Additionally, mean particle residence time reaches a maximum value when the half-period is approximately equal to the first particle acceleration time, because the maximum axial kinetic energy increases with each oscillatory motion and the number of oscillatory motions increases compared with the traditional impinging stream reactors. Studying the engineering applications of the impinging stream reactor with dynamic inlet flow will be conducted in future work.
Author Contributions
Funding
Acknowledgments
Conflicts of Interest
Nomenclature
| Symbol | Parameter Name | Unit |
| c | Number of time interval | - |
| Cf | Drag coefficient | - |
| D | Nozzle diameter | m |
| f | Friction coefficient | - |
| FC | Contact force | N |
| Fcn | Normal contact force | N |
| Fct | Tangential contact force | N |
| FD | Frag force | N |
| Fg | Gravitational force | N |
| gi | Gravitational acceleration component | m/s2 |
| I | Turbulence intensity | - |
| k | Turbulence kinetic energy | m2/s2 |
| kn | Spring constant in normal direction | N/m |
| kt | Spring constant in tangential direction | N/m |
| L | Impinging spacing | m |
| mp | Particle mass | kg |
| n | Number of oscillatory motion | - |
| Rep | Particle Reynolds number | - |
| S | Modulus of mean rate of strain tensor | - |
| Sf | source term in momentum balance equation | N/m3 |
| Sm | source term in mass balance equation | Kg/m3·s |
| T | Inlet velocity variation period | s |
| ∆t | Time step | s |
| Δtmin | Minimum residence time of a particle in the active area | s |
| tac,n | Particle residence time in the n-th acceleration zone | s |
| td,n | Particle residence time in the n-th deceleration zone | s |
| tmac,1 | tac,1 at u1 = 0.824 m/s and u2 = 1.176m/s | s |
| tmd,1 | td,1 at u1 = 0.824 m/s and u2 = 1.176m/s | s |
| tosc | Particle oscillatory time, distance in the active area | s |
| tr | The ratio of tosc to ttot | - |
| ttot | Particle residence time in the active area | s |
| u, ui, uj | Gas velocity, velocity component | m/s |
| ∆u | Inlet velocity difference | m/s |
| u1, u2 | Left, right inlet velocity | m/s |
| um | Mean inlet velocity within one period | m/s |
| upi, upj | Particle velocity component | m/s |
| upi,n, upj,n | Particle velocity component in the n-th oscillatory motion | m/s |
| upimax,n | Maximum particle axial velocity in the n-th oscillatory motion | m/s |
| upn | Relative velocity between particles in normal direction | m/s |
| upt | Relative velocity between particles in tangential direction | m/s |
| Vp | Volume of particle | m3 |
| x | Coordinate on the nozzle axis | m |
| xac,n | Particle motion distance in the n-th acceleration zone | m |
| xd,n | Particle motion distance in the n-th deceleration zone | m |
| xi, xj | Coordinates | m |
| xtot | Particle distance in the active area | m |
| 𝛿n | Normal displacement | m |
| 𝛿t | Tangential displacement | m |
| 𝜂n | Damping coefficient in normal direction | N·s/m |
| 𝜂t | Damping coefficient in tangential direction | N·s/m |
| 𝛼 | void fraction | - |
| β | Interphase momentum exchange coefficient | kg/m3·s |
| γac,n | The ratio of upimax,ac,n to ui,ac,n | - |
| γd,n | The ratio of upimax,ac,n to ui,d,n | - |
| γn | Composed of γac,n and γd,n in the n-th oscillatory motion | - |
| ε | Energy dissipation rate | m2/s3 |
| μ | Dynamic viscosity | kg/m∙s |
| μt | Turbulent viscosity | kg/m∙s |
| ρ | Gas density | kg/m3 |
| σk | Turbulent Prandtl number for k | - |
| σε | Turbulent Prandtl number for ε | - |
| υ | Kinematic viscosity | m2/s |
References
- Elperin, I.T. Heat and mass transfer in opposing currents. J. Eng. Phys. 1961, 6, 62–68. [Google Scholar]
- Tamir, A. Impinging-Streams Reactors: Fundamentals and Applications; Elsevier: Amsterdam, The Netherlands, 1994. [Google Scholar]
- Wu, H.; Pan, D.; Xiong, G.; Jiang, Y.; Yang, L.; Yang, B.; Peng, Z.; Hong, G. The abatement of fine particles from desulfurized flue gas by heterogeneous vapor condensation coupling two impinging streams. Chem. Eng. Process. 2016, 108, 174–180. [Google Scholar] [CrossRef]
- Sedano-de la Rosa, C.; Vite-Torres, M.; Godínez-Salcedo, J.G.; Gallardo-Hernández, E.A.; Cuamatzi-Melendez, R.; Farfán-Cabrera, L.I. Erosion-corrosion of X-52 steel pipe under turbulent swirling impinging jets. Wear 2017, 376–377, 549–556. [Google Scholar] [CrossRef]
- Du, M.; Gong, J.; Chen, W.; Wang, Q. Mathematical model based on DSMC method for particulate drying in a coaxial impinging streams dryer. Dry. Technol. 2015, 33, 646–658. [Google Scholar] [CrossRef]
- Khomwachirakul, P.; Devahastin, S.; Swasdisevi, T.; Soponronnarit, S. Simulation of flow and drying characteristics of high-moisture particles in an impinging streams dryer via CFD-DEM. Dry. Technol. 2016, 34, 403–419. [Google Scholar] [CrossRef]
- Wu, Y.; Li, Q.; Li, F. Desulfurization in the gas-continuous impinging streams gas–liquid reactor. Chem. Eng. Sci. 2007, 62, 1814–1824. [Google Scholar] [CrossRef]
- Tamir, A.; Hershkovitz, D. Adsorption of CO2 in a new two-impinging-streams absorber. Chem. Eng. Sci. 1985, 40, 2149–2151. [Google Scholar] [CrossRef]
- Bertrand, M.; Lamarque, N.; Lebaigue, O.; Plasari, E.; Ducros, F. Micromixing characterisation in rapid mixing devices by chemical methods and LES modelling. Chem. Eng. J. 2016, 283, 462–475. [Google Scholar] [CrossRef]
- Krupa, K.; Nunes, M.I.; Ricardo, J.; Bourne, J.R. Characterization of micromixing in T-jet mixers. Chem. Eng. Sci. 2014, 111, 48–55. [Google Scholar] [CrossRef]
- Metzger, L.; Kind, M. On the mixing in confined impinging jet mixers—Time scale analysis and scale-up using CFD coarse-graining methods. Chem. Eng. Res. Des. 2016, 109, 464–476. [Google Scholar] [CrossRef]
- Zir, A.; Luzzatto, K.; Tamir, A. Application of free impinging streams to the combustion of gas and coal. Combust. Sci. Technol. 1988, 60, 31–44. [Google Scholar]
- Metzger, L.; Kind, M. The influence of mixing on fast precipitation processes—A coupled 3D CFD-PBE approach using the direct quadrature method of moments (DQMOM). Chem. Eng. Sci. 2017, 169, 284–298. [Google Scholar] [CrossRef]
- Saien, J.; Moradi, V. Low interfacial tension liquid-liquid extraction with impinging-jets contacting method: Influencing parameters and relationship. J. Ind. Eng. Chem. 2012, 18, 1293–1300. [Google Scholar] [CrossRef]
- Dehkordi, A.M.; Kaghazchi, T.; Sohrabi, M. Application of an air-operated impinging streams contactor in liquid-liquid extraction. Chem. Eng. Technol. 2001, 24, 173–179. [Google Scholar] [CrossRef]
- Berman, Y.; Tanklevsky, A.; Oren, Y.; Tamir, A. Modeling and experimental studies of SO2 absorption in coaxial cylinders with impinging streams: Part I. Chem. Eng. Sci. 2000, 55, 1009–1021. [Google Scholar] [CrossRef]
- Berman, Y.; Tanklevsky, A.; Oren, Y.; Tamir, A. Modeling and Experimental studies of SO2 absorption in coaxial cylinders with impinging streams: Part II. Chem. Eng. Sci. 2000, 55, 1023–1028. [Google Scholar] [CrossRef]
- Huai, X.L.; Peng, X.F.; Wang, G.X.; Liu, D.Y. Multi-phase flow and drying characteristics in a semi-circular impinging streams dryer. Int. J. Heat Mass Transf. 2003, 46, 3061–3067. [Google Scholar] [CrossRef]
- Wang, S.J.; Mujumdar, A.S. Flow and mixing characteristics of multiple and multi-set opposing jets. Chem. Eng. Process. 2007, 46, 703–712. [Google Scholar] [CrossRef]
- Liu, X.; Chen, Y.; Chen, Y. Analysis of gas-particle flow characteristics in impinging streams. Chem. Eng. Process 2014, 79, 14–22. [Google Scholar] [CrossRef]
- Choicharoen, K.; Devahastin, S.; Soponronnarit, S. Numerical simulation of multiphase transport phenomena during impinging streams drying of a particulate material. Dry. Technol. 2012, 30, 1227–1237. [Google Scholar] [CrossRef]
- Li, W.-F.; Yao, T.-L.; Liu, H.-F.; Wang, F.-C. Experimental investigation of flow regimes of axisymmetric and planar opposed jets. AIChE J. 2011, 57, 1434–1446. [Google Scholar] [CrossRef]
- Wu, D.; Li, J.; Liu, Z.; Xiong, Y.; Zheng, C.; Medwell, P.R. Eulerian and Lagrangian stagnation plane behavior of moderate Reynolds number round opposed-jets flow. Comput. Fluids 2016, 133, 116–128. [Google Scholar] [CrossRef]
- Rieth, M.; Proch, F.; Stein, O.T.; Pettit, M.W.A.; Kempf, A.M. Comparison of the Sigma and Smagorinsky LES models for grid generated turbulence and a channel flow. Comput. Fluids 2014, 99, 172–181. [Google Scholar] [CrossRef]
- Jafarikojour, M.; Sohrabi, M.; Royaee, S.J.; Rezaei, M. A new model for residence time distribution of impinging stream reactors using descending-sized stirred tanks in series. Chem. Eng. Res. Des. 2016, 109, 86–96. [Google Scholar] [CrossRef]
- Rajaie, E.; Sohrabi, M. Application of the Monte Carlo technique in simulation of flow and modeling the residence time distribution in a continuous two impinging liquid-liquid streams contactor. Chem. Eng. J. 2008, 143, 249–256. [Google Scholar] [CrossRef]
- Fatourehchi, N.; Sohrabi, M.; Dabir, B.; Royaee, S.J.; Haji Malayeri, A. Application of a novel type impinging stream reactor in solid-liquid enzyme reactions and modeling of residence time distribution using GDB model. Enzym. Microb. Technol. 2014, 55, 14–20. [Google Scholar] [CrossRef] [PubMed]
- Du, M.; Zhao, C.; Zhou, B.; Guo, H.; Hao, Y. A modified DSMC method for simulating gas–particle two-phase impinging streams. Chem. Eng. Sci. 2011, 66, 4922–4931. [Google Scholar] [CrossRef]
- Erkoc, E.; Fonte, C.P.; Dias, M.M.; Lopes, J.C.B.; Santos, R.J. Numerical study of active mixing over a dynamic flow field in a T-jets mixer—Induction of resonance. Chem. Eng. Res. Des. 2016, 106, 74–91. [Google Scholar] [CrossRef]
- Li, W.-F.; Huang, G.-F.; Tu, G.-Y.; Liu, H.-F.; Wang, F.-C. Experimental study of oscillation of axisymmetric turbulent opposed jets with modulated airflow. AIChE J. 2013, 59, 4828–4838. [Google Scholar] [CrossRef]
- Wang, S.; Li, X.; Fang, J.; Zhao, J.; Liu, L.; Liu, Y.; Liu, Y. Simulations of flow behavior of oscillatory opposed dilute gas–solid jets. Powder Technol. 2015, 284, 595–603. [Google Scholar] [CrossRef]
- Ghadi, S.; Esmailpour, K.; Hosseinalipour, S.M.; Mujumdar, A. Experimental study of formation and development of coherent vertical structures in pulsed turbulent impinging jet. Exp. Therm. Fluid Sci. 2016, 74, 382–389. [Google Scholar] [CrossRef]
- Liu, X.Q.; Yue, S.; Lu, L.Y.; Gao, W.; Li, J.L. Experimental and numerical studies on flow and turbulence characteristics of impinging stream reactors with dynamic inlet velocity variation. Energies 2018, 11, 1717. [Google Scholar] [CrossRef]
- Wu, C.; Cheng, Y.; Ding, Y.; Jin, Y. CFD-DEM simulation of gas-solid reacting flows in fluid catalytic cracking (FCC) process. Chem. Eng. Sci. 2010, 65, 542–549. [Google Scholar] [CrossRef]
- Enyakin, Y.P. Depth of penetration of solid- or liquid-phase particles in opposing gas-suspension jets. J. Eng. Phys. 1968, 14, 512–514. [Google Scholar] [CrossRef]
- Sae-Heng, S.; Swasdisevi, T.; Amornkitbamrung, M. Investigation of temperature distribution and heat transfer in fluidized bed using a combined CFD-DEM model. Dry. Technol. 2011, 29, 697–708. [Google Scholar] [CrossRef]
- ANSYS Inc. ANSYS Fluent Theory Guide; ANSYS Inc.: Canonsburg, PA, USA, 2013. [Google Scholar]
- Zhong, W.; Xiong, Y.; Yuan, Z.; Zhang, M. DEM simulation of gas-solid flow behaviors in spout-fluid bed. Chem. Eng. Sci. 2006, 61, 1571–1584. [Google Scholar] [CrossRef]
- Tsuji, Y.; Kawaguchi, T.; Tanaka, T. Discrete particle simulation of two-dimensional fluidized bed. Powder Technol. 1993, 77, 79–87. [Google Scholar] [CrossRef]
- Welty, J.R.; Wicks, C.E.; Wilson, R.E. Fundamentals of Heat, Mass and Momentum Transfer; John Wiley and Sons: Hoboken, NJ, USA, 1969. [Google Scholar]


















| Parameter | CFD Model |
|---|---|
| Left inlet velocity (m/s) | |
| Right inlet velocity (m/s) | |
| L/D | 5 |
| Inlet velocity variation period (s) | T = 0.2, 0.4, 0.6, 0.8, 1.0, 1.2, 1.4, 1.6 |
| Mean inlet velocity within one period (m/s) | um = 1 |
| Inlet velocity difference | ∆u = b − a, b > a |
| Case 1 (traditional impinging stream, u1 = u2) | a = b = 1 m/s, ∆u = 0 |
| Case 2 | a = 0.824 m/s, b = 1.176 m/s, ∆u = 0.352 m/s |
| Case 3 | a = 0.889 m/s, b = 1.111 m/s, ∆u = 0.222 m/s |
| Case 4 | a = 0.947 m/s, b = 1.053 m/s, ∆u = 0.106 m/s |
| Initial particle velocity (m/s) | up0 = 0 |
| Particle diameter (m) | dp = 5 × 10−4 |
| Particle density (kg/m3) | ρd = 1400 |
| Spring constant (N/m) | 1000 |
| Friction coefficient | 0.4 |
| Particle–particle restitution coefficient | 0.9 |
| Particle–wall restitution coefficient | 0.9 |
| Property(Symbol) | Unit | Value |
|---|---|---|
| density (ρ) | kg/m3 | 1.225 |
| viscosity (μ) | kg/m∙s | 1.7894 × 10−5 |
| nozzle diameter (D) | mm | 20 |
| Grid Model | Turbulence Kinetic Energy of Stagnation Point (m2/s2) | Relative Error of Turbulence Kinetic Energy of Stagnation Point | Turbulence Dissipation Rate of Stagnation Point (m2/s3) | Relative Error of Turbulence Dissipation Rate of Stagnation Point |
|---|---|---|---|---|
| 211,748 | 0.128 | - | 1.501 | - |
| 253,526 | 0.131 | 2.3% | 1.542 | 2.7% |
| 357,716 | 0.132 | 0.75% | 1.540 | 0.12% |
| 425,616 | 0.132 | 0 | 1.540 | 0 |
© 2018 by the authors. Licensee MDPI, Basel, Switzerland. This article is an open access article distributed under the terms and conditions of the Creative Commons Attribution (CC BY) license (http://creativecommons.org/licenses/by/4.0/).
Share and Cite
Liu, X.; Yue, S.; Lu, L.; Gao, W.; Li, J. Numerical Simulations of a Gas–Solid Two-Phase Impinging Stream Reactor with Dynamic Inlet Flow. Energies 2018, 11, 1913. https://doi.org/10.3390/en11071913
Liu X, Yue S, Lu L, Gao W, Li J. Numerical Simulations of a Gas–Solid Two-Phase Impinging Stream Reactor with Dynamic Inlet Flow. Energies. 2018; 11(7):1913. https://doi.org/10.3390/en11071913
Chicago/Turabian StyleLiu, Xueqing, Song Yue, Luyi Lu, Wei Gao, and Jianlan Li. 2018. "Numerical Simulations of a Gas–Solid Two-Phase Impinging Stream Reactor with Dynamic Inlet Flow" Energies 11, no. 7: 1913. https://doi.org/10.3390/en11071913
APA StyleLiu, X., Yue, S., Lu, L., Gao, W., & Li, J. (2018). Numerical Simulations of a Gas–Solid Two-Phase Impinging Stream Reactor with Dynamic Inlet Flow. Energies, 11(7), 1913. https://doi.org/10.3390/en11071913
