Numerical Analysis on the Radiation-Convection Coupled Heat Transfer in an Open-Cell Foam Filled Annulus
Abstract
:1. Introduction
2. Problem Statement
3. Governing Equations
4. Numerical Solution and Validation
5. Results and Discussion
5.1. Effect of Thermal Radiation on the Heat Transfer Performance
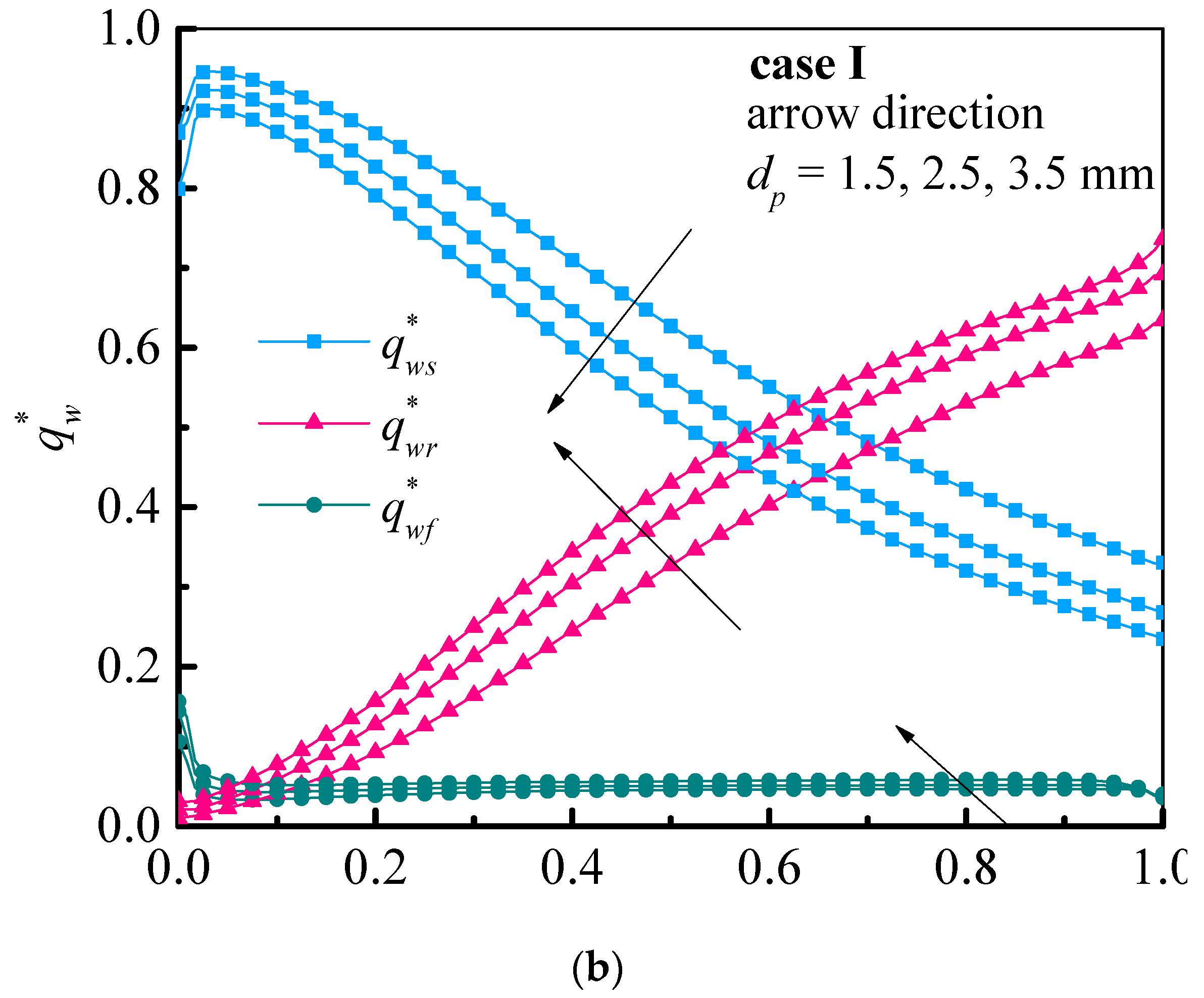
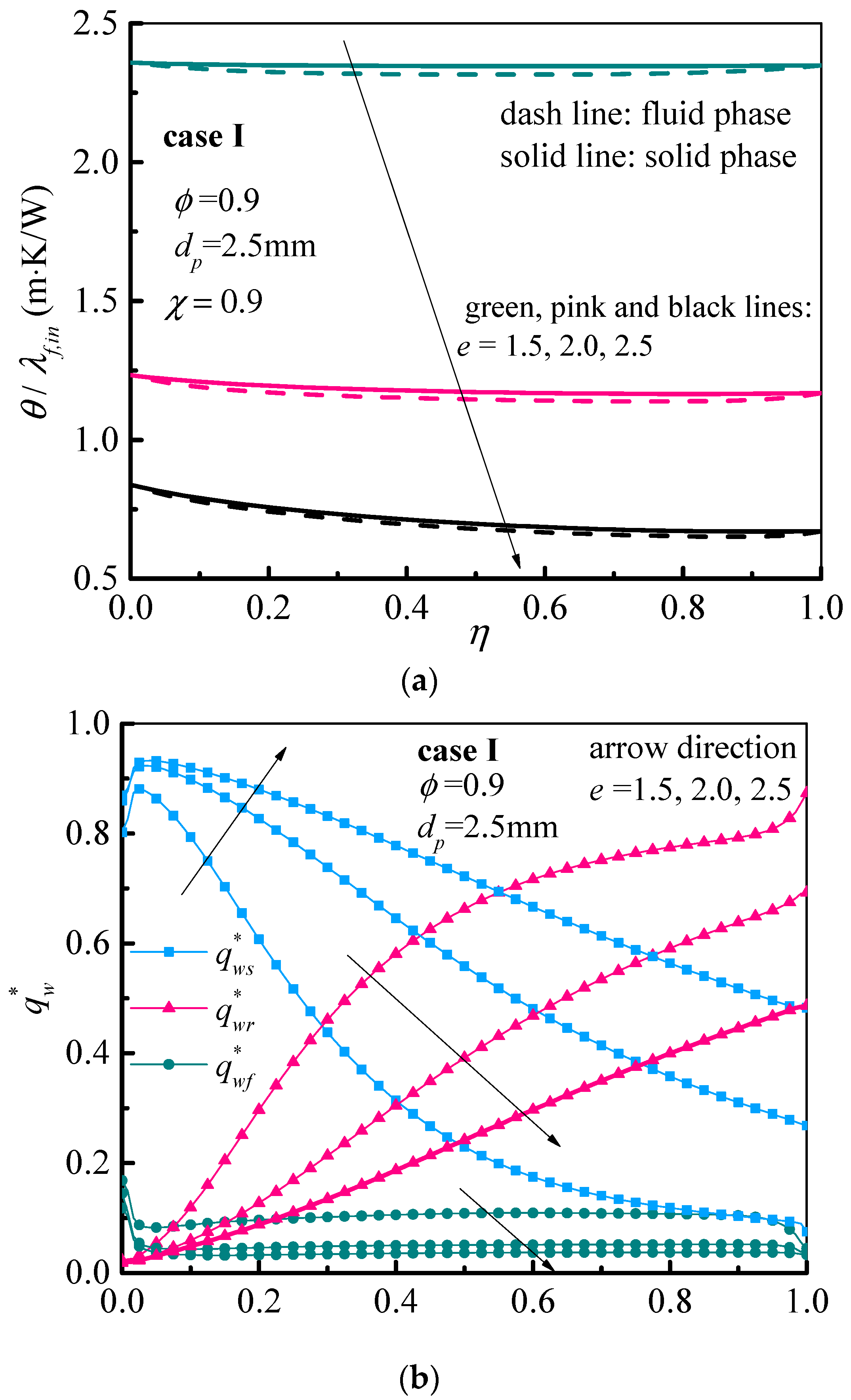
5.2. Parametric Analysis of the Heat Transfer
6. Conclusions
- (1)
- Thermal radiation strongly affected high-temperature energy transport in a foam filled annulus. Ignoring the thermal radiation led to a significant deviation in predicting the temperature and local Nusselt number, nearly 20% and 400% were found.
- (2)
- Limiting interactions between radiation transport and solid conduction were observed, while radiation became predominant by increasing the porosity and pore diameter and decreasing the radii ratio of the annulus.
- (3)
- The porosity and annulus radii ratio had a great effect on the distribution of the local Nusselt number along the flow direction, while the effect of pore diameter was not conspicuous. The average Nusselt number gradually decreased as the porosity increased, whereas it presented a non-monotonic variation with pore diameter and radii ratio.
- (4)
- The difference in the average Nusselt number for the two cases increased as the pore diameter increased, with a maximum of 40.5%, while no great change with the porosity and radii ratio was observed. However, the average Nusselt number was always higher for case I, which presented a better performance under the same operating conditions.
Author Contributions
Funding
Conflicts of Interest
Nomenclature
| cp | specific heat, J·kg−1·K−1 |
| CF | inertial coefficient |
| dp | pore diameter, m |
| e | radii ratio |
| G | incident radiation, W·m−2 |
| hlx | local total heat transfer coefficient, W·m−2·K−1 |
| hv | volumetric heat transfer coefficient, W·m−3·K−1 |
| I | radiation intensity, W·m−2·sr−1 |
| K | permeability, m2 |
| L | length of annulus, m |
| Nulx | local Nusselt number |
| average Nusselt number | |
| p | pressure, Pa |
| Pr | Prandtl number |
| q | heat flux, W·m−2 |
| Red | Reynolds number based on the pore diameter |
| R1, R2 | radius of annulus, m |
| S | source term |
| T | temperature, K |
| u | velocity vector, m·s−1 |
| u | velocity in x direction, m·s−1 |
| U | dimensionless velocity |
| x, r | coordinates in flow region, m |
| Greek symbols | |
| μf | dynamic viscosity, kg·m−1·s−1 |
| ρ | density, kg m−3 |
| ϕ | porosity |
| σ | Stefan-Boltzmann constant, W·m−2·K−4 |
| λ | thermal conductivity, W·m−1·K−1 |
| θ | dimensionless temperature |
| ε | emissivity |
| β | extinction coefficient, m−1 |
| η | dimensionless r coordinate |
| κ | absorption coefficient, m−1 |
| χ | dimensionless x coordinate |
| Subscripts | |
| e | effective |
| f | fluid |
| in | inlet |
| out | outlet |
| r | radiation |
| s | solid |
| w | wall |
References
- Liu, D.; Li, Q.; Xuan, Y.M. Reticulated porous volumetric solar receiver designs guided by normal absorptance and hemispherical volumetric emittance investigations. Int. J. Heat Mass Transf. 2017, 114, 1067–1071. [Google Scholar] [CrossRef]
- Chen, X.; Wang, F.Q.; Han, Y.F.; Yu, R.T.; Cheng, Z.M. Thermochemical storage analysis of the dry reforming of methane in foam solar reactor. Energy Convers. Manag. 2018, 158, 489–498. [Google Scholar] [CrossRef]
- Gao, H.B.; Feng, X.B.; Qu, Z.G. Combustion in a hybrid porous burner packed with alumina pellets and silicon carbide foams with a gap. J. Energy Eng. ASCE 2017, 143, 04017032. [Google Scholar] [CrossRef]
- Akbarnejad, S.; Saffari Pour, M.; Jonsson, L.T.I.; Jönsson, P.G. Effect of fluid bypassing on the experimentally obtained Darcy and Non-Darcy permeability parameters of ceramic foam filters. Metall. Mater. Trans. B Proc. Metall. Mater. Proc. Sci. 2017, 48, 197–207. [Google Scholar] [CrossRef]
- Iasiello, M.; Cunsolo, S.; Oliviero, M.; Harris, W.M.; Bianco, N.; Chiu, W.K.S.; Naso, V. Numerical analysis of heat transfer and pressure drop in metal foams for different morphological models. J. Heat Transf. Trans. ASME 2014, 136, 112601. [Google Scholar] [CrossRef]
- Vafai, K. Handbook of Porous Media; CRC Press: Boca Raton, FL, USA, 2005. [Google Scholar]
- Yang, K.; Vafai, K. Transient aspects of heat flux bifurcation in porous media: An exact solution. J. Heat Transf. Trans. ASME 2011, 133, 052602. [Google Scholar] [CrossRef]
- Mahmoudi, Y. Effect of thermal radiation on temperature differential in a porous medium under local thermal non-equilibrium condition. Int. J. Heat Mass Transf. 2014, 76, 105–121. [Google Scholar] [CrossRef]
- Dehghan, M.; Valipour, M.S.; Keshmiri, A.; Saedodin, S.; Shokri, N. On the thermally developing forced convection through a porous material under the local thermal non-equilibrium condition: An analytical study. Int. J. Heat Mass Transf. 2016, 92, 815–823. [Google Scholar] [CrossRef]
- Chen, X.; Xia, X.L.; Sun, C.; Yan, X.W. Transient thermal analysis of the coupled radiative and convective heat transfer in a porous filled tube exchanger at high temperatures. Int. J. Heat Mass Transf. 2017, 108, 2472–2480. [Google Scholar] [CrossRef]
- Wang, H.; Guo, L. Experimental investigation on pressure drop and heat transfer in metal foam filled tubes under convective boundary condition. Chem. Eng. Sci. 2016, 155, 438–448. [Google Scholar] [CrossRef]
- Xu, Z.G.; Qin, J.; Zhou, X.; Xu, H.J. Forced convective heat transfer of tubes sintered with partially-filled gradient metal foams (GMFs) considering local thermal non-equilibrium effect. Appl. Therm. Eng. 2018, 137, 101–111. [Google Scholar] [CrossRef]
- Chumpia, A.; Hooman, K. Performance evaluation of single tubular aluminium foam heat exchangers. Appl. Therm. Eng. 2014, 66, 266–273. [Google Scholar] [CrossRef]
- Dixit, T.; Ghosh, I. Geometric mean of fin efficiency and effectiveness: A parameter to determine optimum length of open-cell metal foam used as extended heat transfer surface. J. Heat Transf. Trans. ASME 2017, 139, 072003. [Google Scholar] [CrossRef]
- Ahmed, H.E.; Ahmed, M.I. Thermal performance of annulus with its applications: A review. Renew. Sustain. Energy Rev. 2017, 71, 170–190. [Google Scholar] [CrossRef]
- Li, S.; Chen, Y.; Sun, Z. Numerical simulation and optimization of the melting process of phase change material inside horizontal annulus. Energies 2017, 10, 1249. [Google Scholar]
- Cheng, P.; Hsu, C.T. Fully-developed, forced convective flow through an annular packed-sphere bed with wall effects. Int. J. Heat Mass Transf. 1986, 29, 1843–1853. [Google Scholar] [CrossRef]
- Chikh, S.; Boumedien, A.; Bouhadef, K.; Lauriat, G. Analytical solution of non-Darcian forced convection in an annular duct partially filled with a porous medium. Int. J. Heat Mass Transf. 1995, 38, 1543–1551. [Google Scholar] [CrossRef]
- Noh, J.S.; Lee, K.B.; Lee, C.G. Pressure loss and forced convective heat transfer in an annulus filled with aluminum foam. Int. Commun. Heat Mass Transf. 2006, 33, 434–444. [Google Scholar] [CrossRef]
- Chikh, S.; Allouache, N. Optimal performance of an annular heat exchanger with a porous insert for a turbulent flow. Appl. Therm. Eng. 2016, 104, 222–230. [Google Scholar] [CrossRef]
- Benmerkhi, M.; Afrid, M.; Groulx, D. Thermally developing forced convection in a metal foam-filled elliptic annulus. Int. J. Heat Mass Transf. 2016, 97, 253–269. [Google Scholar] [CrossRef]
- Milani Shirvan, K.; Mirzakhanlari, S.; Kalogirou, S.A.; Öztop, H.F.; Mamourian, M. Heat transfer and sensitivity analysis in a double pipe heat exchanger filled with porous medium. Int. J. Therm. Sci. 2017, 121, 124–137. [Google Scholar] [CrossRef]
- Kuznetsov, A.V. Analysis of a non-thermal equilibrium fluid flow in a concentric tube annulus filled with a porous medium. Int. Commun. Heat Mass Transf. 1996, 23, 929–938. [Google Scholar] [CrossRef]
- Zhao, C.Y.; Lu, W.; Tassou, S.A. Thermal analysis on metal-foam filled heat exchangers. Part II: Tube heat exchangers. Int. J. Heat Mass Transf. 2006, 49, 2762–2770. [Google Scholar] [CrossRef]
- Yang, C.; Kuwahara, F.; Liu, W.; Nakayama, A. Thermal non-equilibrium forced convective flow in an annulus filled with a porous medium. Open Transp. Phenom. J. 2011, 3, 31–39. [Google Scholar] [CrossRef]
- Qu, Z.G.; Xu, H.J.; Tao, W.Q. Fully developed forced convective heat transfer in an annulus partially filled with metallic foams: An analytical solution. Int. J. Heat Mass Transf. 2012, 55, 7508–7519. [Google Scholar] [CrossRef]
- Wang, K.; Tavakkoli, F.; Vafai, K. Analysis of gaseous slip flow in a porous micro-annulus under local thermal non-equilibrium condition—An exact solution. Int. J. Heat Mass Transf. 2015, 89, 1331–1341. [Google Scholar] [CrossRef]
- Xu, H.J.; Zhao, C.Y.; Vafai, K. Analytical study of flow and heat transfer in an annular porous medium subject to asymmetrical heat fluxes. Heat Mass Transf. 2017, 53, 2663–2676. [Google Scholar] [CrossRef]
- Xu, H.J. Convective heat transfer in a porous-medium micro-annulus with effects of the boundary slip and the heat-flux asymmetry: An exact solution. Int. J. Therm. Sci. 2017, 120, 337–353. [Google Scholar] [CrossRef]
- Orihuela, M.P.; Anuarb, F.S.; Abdib, I.A.; Odabaee, M.; Hooman, K. Thermohydraulics of a metal foam-filled annulus. Int. J. Heat Mass Transf. 2018, 117, 95–106. [Google Scholar] [CrossRef]
- Chen, X.; Xia, X.L.; Meng, X.L.; Dong, X.H. Thermal performance analysis on a volumetric solar receiver with double-layer ceramic foam. Energy Convers. Manag. 2015, 97, 282–289. [Google Scholar] [CrossRef]
- Hansen, G.; Nass, E.; Kristjansson, K. Analysis of a vertical flat heat pipe using potassium working fluid and a wick of compressed nickel foam. Energies 2016, 9, 170. [Google Scholar] [CrossRef]
- Banerjee, A.; Bala Chandran, R.; Davidson, J.H. Experimental investigation of a reticulated porous alumina heat exchanger for high temperature gas heat recovery. Appl. Therm. Eng. 2015, 75, 889–895. [Google Scholar] [CrossRef] [Green Version]
- Schuetz, M.A.; Glicksman, L.R. A basic study of heat transfer through foam insulation. J. Cell. Plast. 1984, 20, 114–121. [Google Scholar] [CrossRef]
- Hischier, I.; Hess, D.; Lipiński, W.; Modest, M.; Steinfeld, A. Heat transfer analysis of a novel pressurized air receiver for concentrated solar power via combined cycles. J. Therm. Sci. Eng. Appl. 2009, 1, 041002. [Google Scholar] [CrossRef]
- Tseng, C.C.; Sikorski, R.L.; Viskanta, R.; Chen, M.Y. Effect of foam properties on heat transfer in high temperature open-cell foam inserts. J. Am. Ceram. Soc. 2012, 95, 2015–2021. [Google Scholar] [CrossRef]
- Modest, M.F. Radiative Heat Transfer, 3rd ed.; Academic Press: San Diego, CA, USA, 2013. [Google Scholar]
- Wang, P.; Vafai, K.; Liu, D.Y.; Xu, C. Analysis of collimated irradiation under local thermal non-equilibrium condition in a packed bed. Int. J. Heat Mass Transf. 2015, 80, 789–801. [Google Scholar] [CrossRef]
- Wu, Z.; Caliot, C.; Flamant, G.; Wang, Z.F. Coupled radiation and flow modeling in ceramic foam volumetric solar air receivers. Sol. Energy 2011, 85, 2374–2385. [Google Scholar] [CrossRef]
- Hischier, I.; Leumann, P.; Steinfeld, A. Experimental and numerical analyses of a pressurized air receiver for solar-driven gas turbines. J. Sol. Energy Eng. Trans. ASME 2012, 134, 021003. [Google Scholar] [CrossRef]
- Calmidi, V.V.; Mahajan, R.L. Forced convection in high porosity metal foams. J. Heat Transf. Trans. ASME 2000, 122, 557–565. [Google Scholar] [CrossRef]
- Talukdar, P.; Mishra, S.C.; Trimis, D.; Durst, F. Combined radiation and convection heat transfer in a porous channel bounded by isothermal parallel plates. Int. J. Heat Mass Transf. 2004, 47, 1001–1013. [Google Scholar] [CrossRef]



















© 2018 by the authors. Licensee MDPI, Basel, Switzerland. This article is an open access article distributed under the terms and conditions of the Creative Commons Attribution (CC BY) license (http://creativecommons.org/licenses/by/4.0/).
Share and Cite
Chen, X.; Sun, C.; Xia, X.; Liu, R. Numerical Analysis on the Radiation-Convection Coupled Heat Transfer in an Open-Cell Foam Filled Annulus. Energies 2018, 11, 2713. https://doi.org/10.3390/en11102713
Chen X, Sun C, Xia X, Liu R. Numerical Analysis on the Radiation-Convection Coupled Heat Transfer in an Open-Cell Foam Filled Annulus. Energies. 2018; 11(10):2713. https://doi.org/10.3390/en11102713
Chicago/Turabian StyleChen, Xue, Chuang Sun, Xinlin Xia, and Rongqiang Liu. 2018. "Numerical Analysis on the Radiation-Convection Coupled Heat Transfer in an Open-Cell Foam Filled Annulus" Energies 11, no. 10: 2713. https://doi.org/10.3390/en11102713
APA StyleChen, X., Sun, C., Xia, X., & Liu, R. (2018). Numerical Analysis on the Radiation-Convection Coupled Heat Transfer in an Open-Cell Foam Filled Annulus. Energies, 11(10), 2713. https://doi.org/10.3390/en11102713
