An Improved Ångström-Type Model for Estimating Solar Radiation over the Tibetan Plateau
Abstract
:1. Introduction
2. Results
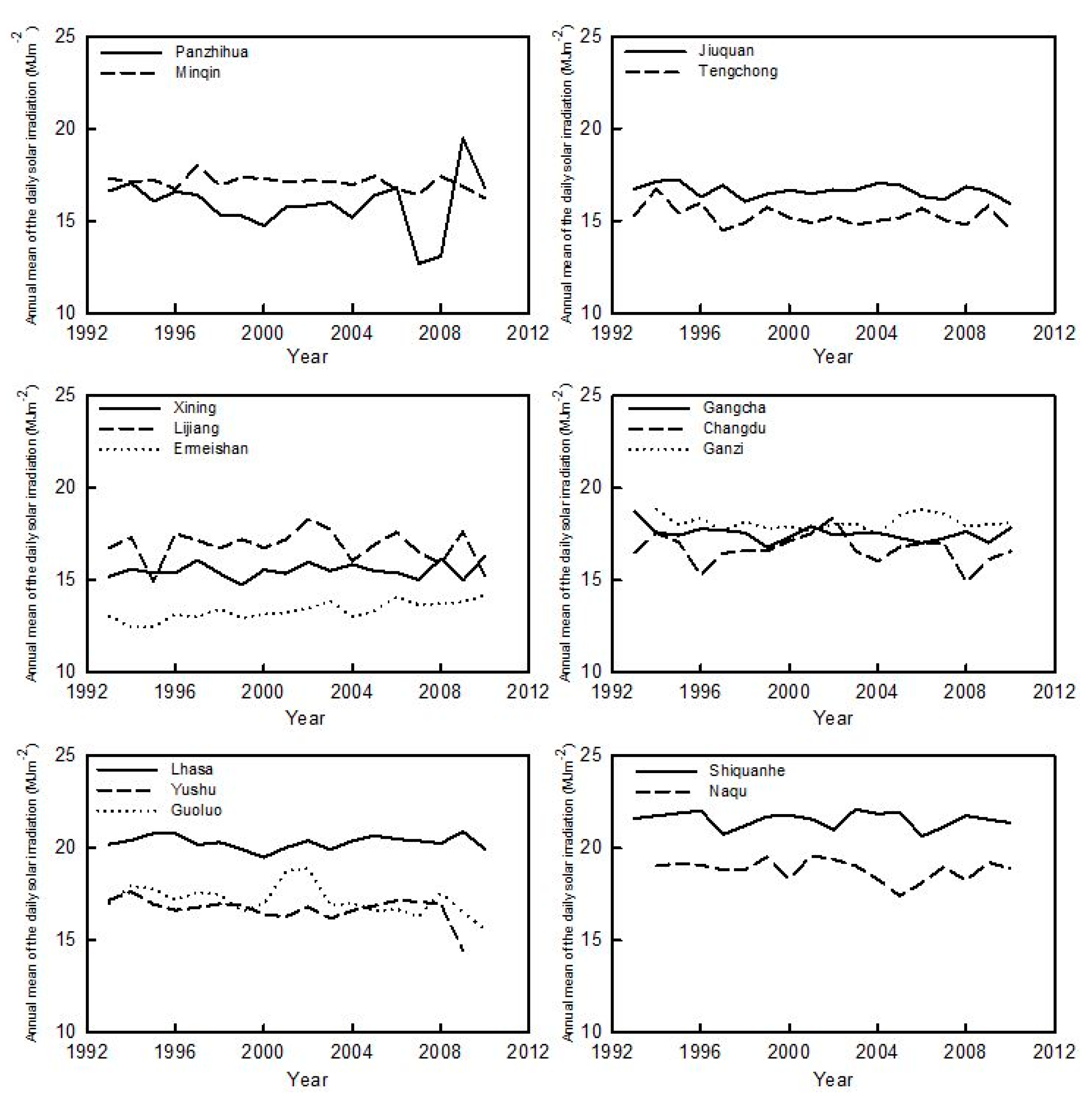
2.1. Spatial and Temporal Pattern of Observed Annual Mean of Solar Irradiation
2.2. Comparison of the Performances of Different Methods on Estimation of Daily Solar Irradiation
2.2.1. Site-Dependent Models
2.2.2. Average Models
2.2.3. Geographical Models
2.2.4. Improved Ångström-Type Model
2.3. Estimation of the Spatial Distribution of the Annual Mean of Daily Solar Irradiation with the Improved Ångström-Type Model
3. Discussion
3.1. Variation in the Coefficients of the Site-Dependent Models on the Tibetan Plateau
3.2. Comparison of the Performance between Different Kinds of Methods
3.3. Limitation of the Improved Ångström-Type Model
3.4. Spatial Distribution of the Annual Mean of Solar Irradiation on the Tibetan Plateau
4. Materials and Methods
4.1. Study Area and Data Collection
4.2. Model Description
4.2.1. Site-Dependent Model
4.2.2. Average Model
4.2.3. Geographical Model
4.2.4. Improved Ångström-Type Model
4.3. Model Evaluation
4.4. Australia National University SPLINe (ANUSPLIN) Interpolation Method
5. Conclusions
Acknowledgments
Author Contributions
Conflicts of Interest
References
- Yaghoubi, M.A.; Sabzevari, A. Further data on solar radiation in Shiraz, Iran. Renew. Energy 1996, 7, 393–399. [Google Scholar] [CrossRef]
- Colak, I.; Sagiroglu, S.; Demirtas, M.; Yesilbudak, M. A data mining approach: Analyzing wind speed and insolation period data in Turkey for installations of wind and solar power plants. Energy Convers. Manag. 2013, 65, 185–197. [Google Scholar] [CrossRef]
- Wong, L.T.; Chow, W.K. Solar radiation model. Appl. Energy 2001, 69, 191–224. [Google Scholar] [CrossRef]
- Yue, C.D.; Huang, G.R. An evaluation of domestic solar energy potential in Taiwan incorporating land use analysis. Energy Policy 2011, 39, 7988–8002. [Google Scholar] [CrossRef]
- Abraha, M.G.; Savage, M.J. Comparison of estimates of daily solar radiation from air temperature range for application in crop simulations. Agric. For. Meteorol. 2008, 148, 401–416. [Google Scholar] [CrossRef]
- Hunt, L.A.; Kuchar, L.S.; Swanton, C.J. Estimation of solar radiation for use in crop modeling. Agric. For. Meteorol. 1998, 91, 293–300. [Google Scholar] [CrossRef]
- Cristea, N.C.; Kampf, S.K.; Burges, S.J. Linear models for estimating annual and growing season reference evapotranspiration using averages of weather variables. Int. J. Climatol. 2013, 33, 376–387. [Google Scholar] [CrossRef]
- Kang, M.S.; Park, S.W.; Lee, J.J.; Yoo, K.H. Applying SWAT for TMDL programs to a small watershed containing rice paddy fields. Agric. Water Manag. 2006, 79, 72–92. [Google Scholar] [CrossRef]
- Allen, R.G.; Pereira, L.S.; Raes, D.; Smith, M. Crop Evapotranspiration-Guidelines for Computing Crop Water Requirements; FAO Irrigation and Drainage Paper 56; Food and Agriculture Organization of the United Nations: Rome, Italy, 1998; Volume 300, p. D05109. [Google Scholar]
- Weiss, A.; Hays, C.J. Simulation of daily solar irradiance. Agric. For. Meteorol. 2004, 123, 187–199. [Google Scholar] [CrossRef]
- Morcrette, J.J.; Mozdzynski, G.; Leutbecher, M. A reduced radiation grid for the ECMWF integrated forecasting system. Mon. Weather Rev. 2008, 136, 4760–4772. [Google Scholar] [CrossRef]
- Manners, J.; Thelen, J.C.; Petch, J.; Hill, P.; Edwards, J.M. Two fast radiative transfer methods to improve the temporal sampling of clouds in numerical weather prediction and climate models. Q. J. R. Meteorol. Soc. 2009, 135, 457–468. [Google Scholar] [CrossRef]
- Tymvios, F.S.; Jacovides, C.P.; Michaelides, S.C.; Scouteli, C. Comparative study of Angstrom’s and artificial neural network’s methodologies in estimating global solar radiation. Sol. Energy 2005, 70, 752–762. [Google Scholar] [CrossRef]
- Jacovides, C.P.; Tymvios, F.S.; Boland, J.; Tsitouri, M. Artificial Neural Network models for estimating daily solar global UV, PAR and broadband radiant fluxes in an eastern Mediterranean site. Atmos. Res. 2015, 152, 138–145. [Google Scholar] [CrossRef]
- Fadare, D.A. Modelling of solar energy potential in Nigeria using an artificial neural network model. Appl. Energy 2009, 86, 1410–1422. [Google Scholar] [CrossRef]
- Şenkal, O.; Kuleli, T. Estimation of solar radiation over Turkey using artificial neural network and satellite data. Appl. Energy 2009, 86, 1222–1228. [Google Scholar] [CrossRef]
- Mihalakakou, G.; Santamouris, M.; Asimakopoulos, D.N. The total solar radiation time series simulation in Athens, using neural networks. Theor. Appl. Climatol. 2000, 66, 185–197. [Google Scholar] [CrossRef]
- Qin, J.; Chen, Z.; Yang, K.; Liang, S.; Tang, W. Estimation of monthly-mean daily global solar radiation based on MODIS and TRMM products. Appl. Energy 2011, 88, 2480–2489. [Google Scholar] [CrossRef]
- Janjai, S.; Pankaew, P.; Laksanaboonsong, J. A model for calculating hourly global solar radiation from satellite data in the tropics. Appl. Energy 2009, 86, 1450–1457. [Google Scholar] [CrossRef]
- Hinkelman, L.M.; Stackhouse, P.W., Jr.; Wielicki, B.A.; Zhang, T.; Wilson, S.R. Surface insolation trends from satellite and ground measurements: Comparisons and challenges. J. Geophys. Res. Atmos. 2009, 114, 4427–4433. [Google Scholar] [CrossRef]
- Pinker, R.T.; Frouin, R.; Li, Z. A review of satellite methods to derive surface shortwave irradiance. Remote Sens. Environ. 1995, 51, 108–124. [Google Scholar] [CrossRef]
- Boilley, A.; Wald, L. Comparison between meteorological re-analyses from ERA-Interim and MERRA and measurements of daily solar irradiation at surface. Renew. Energy 2015, 75, 135–143. [Google Scholar] [CrossRef]
- Ångström, A. Solar and terrestrial radiation. Q. J. R. Met. Soc. 1924, 50, 121–125. [Google Scholar]
- Prescott, J. Evaporation from a water surface in relation to solar radiation. Trans. R. Soc. S. Aust. 1940, 64, 114–118. [Google Scholar]
- Ögelman, H.; Ecevit, A.; Tasdemiroǧlu, E. A new method for estimating solar radiation from bright sunshine data. Sol. Energy 1984, 33, 619–625. [Google Scholar] [CrossRef]
- Bahel, V.; Bakhsh, H.; Srinivasan, R. A correlation for estimation of global solar radiation. Energy 1987, 12, 131–135. [Google Scholar] [CrossRef]
- Ampratwum, D.B.; Dorvlo, A.S.S. Estimation of solar radiation from the number of sunshine hours. Appl. Energy 1999, 63, 161–167. [Google Scholar] [CrossRef]
- Bristow, K.L.; Campbell, G.S. On the relationship between incoming solar radiation and daily maximum and minimum temperature. Agric. For. Meteorol. 1984, 31, 159–166. [Google Scholar] [CrossRef]
- Hargreaves, G.L.; Hargreaves, G.H.; Riley, J.P. Irrigation water requirements for Senegal River Basin. J. Irrig. Drain. Eng. 1985, 111, 265–275. [Google Scholar] [CrossRef]
- Chen, R.; Kang, E.; Yang, J.; Lu, S.; Zhao, W. Validation of five global radiation models with measured daily data in China. Energy Convers. Manag. 2004, 45, 1759–1769. [Google Scholar] [CrossRef]
- Meza, F.; Varas, E. Estimation of mean monthly solar global radiation as a function of temperature. Agric. For. Meteorol. 2000, 100, 231–241. [Google Scholar] [CrossRef]
- Goodin, D.G.; Hutchinson, J.M.S.; Vanderlip, R.L.; Knapp, M.C. Estimating solar irradiance for crop modeling using daily air temperature data. Agron. J. 1999, 91, 845–851. [Google Scholar] [CrossRef]
- Weiss, A.; Hays, C.J.; Hu, Q.; Easterling, W.E. Incorporating bias error in calculating solar irradiance: Implications for crop yield simulations. Agron. J. 2001, 93, 1321–1326. [Google Scholar] [CrossRef]
- Liu, D.L.; Scott, B.J. Estimation of solar radiation in Australia from rainfall and temperature observations. Agric. For. Meteorol. 2001, 106, 41–59. [Google Scholar] [CrossRef]
- Mccaskill, M.R. Prediction of solar radiation from rainday information using regionally stable coefficients. Agric. For. Meteorol. 1990, 51, 247–255. [Google Scholar] [CrossRef]
- Wu, G.; Liu, Y.; Wang, T. Methods and strategy for modeling daily global solar radiation with measured meteorological data—A case study in Nanchang station, China. Energy Convers. Manag. 2007, 48, 2447–2452. [Google Scholar] [CrossRef]
- Podestá, G.P.; Núñez, L.; Villanueva, C.A.; Skansi, M.A.A. Estimating daily solar radiation in the Argentine Pampas. Agric. For. Meteorol. 2004, 123, 41–53. [Google Scholar] [CrossRef]
- Liu, J.; Liu, J.; Linderholm, H.W.; Chen, D.; Yu, Q.; Wu, D.; Haginoya, S. Observation and calculation of the solar radiation on the Tibetan Plateau. Energy Convers. Manag. 2012, 57, 23–32. [Google Scholar] [CrossRef]
- Moradi, I.; Mueller, R.; Perez, R. Retrieving daily global solar radiation from routine climate variables. Theor. Appl. Climatol. 2014, 116, 661–669. [Google Scholar] [CrossRef]
- Liu, X.; Xu, Y.; Zhong, X.; Zhang, W.; Porter, J.R.; Liu, W. Assessing models for parameters of the Ångström-Prescott formula in China. Appl. Energy 2012, 327–338. [Google Scholar] [CrossRef]
- Liu, X.; Mei, X.; Li, Y.; Wang, Q.; Jensraunsø, J.; Zhang, Y.; Johnroy, P. Evaluation of temperature-based global solar radiation models in China. Agric. For. Meteorol. 2009, 149, 1433–1446. [Google Scholar] [CrossRef]
- Liu, X.; Mei, X.; Li, Y.; Porter, J.R.; Wang, Q.; Zhang, Y. Choice of the Ångström–Prescott coefficients: Are time-dependent ones better than fixed ones in modeling global solar irradiance? Energy Convers. Manag. 2010, 51, 2565–2574. [Google Scholar] [CrossRef]
- Wu, D.; Qiang, Y.; Lu, C.; Hengsdijk, H. Quantifying production potentials of winter wheat in the North China Plain. Eur. J. Agron. 2006, 24, 226–235. [Google Scholar] [CrossRef]
- Wu, Z.; Du, H.; Zhao, D.; Ming, L. Estimating daily global solar radiation during the growing season in Northeast China using the Ångström–Prescott model. Theor. Appl. Climatol. 2012, 108, 495–503. [Google Scholar] [CrossRef]
- Von Storch, H.; Zwiers, F.W. Statistical Analysis in Climate Research; Cambridge University Press: Cambridge, UK, 2001; pp. 3–10. [Google Scholar]
- Chen, R.; Lu, S.; Kang, E.; Yang, J.; Ji, X. Estimating daily global radiation using two types of revised models in China. Energy Convers. Manag. 2006, 47, 865–878. [Google Scholar]
- Zhou, J.; Wu, Y.; Gang, Y. General formula for estimation of monthly average daily global solar radiation in China. Energy Convers. Manag. 2005, 46, 257–268. [Google Scholar]
- Wu, W.; Liu, H.B. Assessment of monthly solar radiation estimates using support vector machines and air temperatures. Int. J. Climatol. 2012, 32, 274–285. [Google Scholar] [CrossRef]
- Li, M.F.; Tang, X.P.; Wu, W.; Liu, H.B. General models for estimating daily global solar radiation for different solar radiation zones in Mainland China. Energy Convers. Manag. 2013, 70, 139–148. [Google Scholar] [CrossRef]
- Li, M.F.; Fan, L.; Liu, H.B.; Guo, P.T.; Wu, W. A general model for estimation of daily global solar radiation using air temperatures and site geographic parameters in Southwest China. J. Atmos. Sol. Terr. Phys. 2013, 92, 145–150. [Google Scholar] [CrossRef]
- Wang, Q.; Qiu, H.N. Situation and outlook of solar energy utilization in Tibet, China. Renew. Sustain. Energy Rev. 2009, 13, 2181–2186. [Google Scholar] [CrossRef]
- Pan, T.; Wu, S.; Dai, E.; Liu, Y. Estimating the daily global solar radiation spatial distribution from diurnal temperature ranges over the Tibetan Plateau in China. Appl. Energy 2013, 107, 384–393. [Google Scholar] [CrossRef]
- Li, H.; Ma, W.; Lian, Y.; Wang, X.; Zhao, L. Global solar radiation estimation with sunshine duration in Tibet, China. Renew. Energy 2011, 36, 3141–3145. [Google Scholar] [CrossRef]
- Liou, K. An introduction to Atmospheric Radiation, 2nd ed.; Elsevier Science: San Diego, CA, USA, 2002. [Google Scholar]
- Dai, J. The Climate over the Tibetan Plateau; Meteorological Press: Beijing, China, 1990. (In Chinese) [Google Scholar]
- Liu, J.; Sun, Z.; Liang, H.; Xu, X.; Wu, P. Precipitable water vapor on the Tibetan Plateau estimated by GPS, water vapor radiometer, radiosonde, and numerical weather prediction analysis and its impact on the radiation budget. J. Geophys. Res. Atmos. 2005, 110. [Google Scholar] [CrossRef]
- Yang, K.; Huang, G.W.; Tamai, N. A hybrid model for estimating global solar radiation. Sol. Energy 2001, 70, 13–22. [Google Scholar] [CrossRef]
- Streets, D.G.; Yu, C.; Wu, Y.; Chin, M.; Zhao, Z.; Hayasaka, T.; Shi, G. Aerosol trends over China, 1980–2000. Atmos. Res. 2008, 88, 174–182. [Google Scholar] [CrossRef]
- Zhou, X.; Luo, C. Ozone valley over Tibetan Plateau. Acta Meteorol. Sin. 1994, 8, 505–506. [Google Scholar]
- Yu, Q.; Liu, Y.; Liu, J.; Wang, T. Simulation of leaf photosynthesis of winter wheat on Tibetan Plateau and in North China plain. Ecol. Model. 2002, 155, 205–216. [Google Scholar] [CrossRef]
- Arya, S. Introduction to Micrometeorology; Academic Press: San Diego, CA, USA, 2001. [Google Scholar]
- Domrös, M.; Peng, G. The Climate of China; Springer: Berlin/Heidelberg, Germany, 1988; pp. 258–278. [Google Scholar]
- Yang, K.; Ding, B.; Qin, J.; Tang, W.; Lu, N.; Lin, C. Can aerosol loading explain the solar dimming over the Tibetan Plateau? Geophys. Res. Lett. 2012, 39. [Google Scholar] [CrossRef]
- Wang, B.; Zhang, G.; Li, L. Thesis on Wind and Solar Energy in China; Meteorological Press: Beijing, China, 2008. (In Chinese) [Google Scholar]
- Wang, Y.; Yang, Y.; Han, S.; Wang, Q.; Zhang, J. Sunshine dimming and brightening in Chinese cities (1955–2011) was driven by air pollution rather than clouds. Clim. Res. 2013, 56, 11–20. [Google Scholar] [CrossRef]
- Zhao, N.; Zeng, X.; Han, S. Solar radiation estimation using sunshine hour and air pollution index in China. Energy Convers. Manag. 2013, 76, 846–851. [Google Scholar] [CrossRef]
- Hutchinson, M.F. ANUSPLIN Version 4.36 User Guide; The Australia Nationaluniversity, Center for Resource and Environment Studies: Canberra, Australia, 2006. [Google Scholar]
- Price, D.T.; Mckenney, D.W.; Nalder, I.A.; Hutchinson, M.F.; Kesteven, J.L. A comparison of two statistical methods for spatial interpolation of Canadian monthly mean climate data. Agric. For. Meteorol. 2000, 101, 81–94. [Google Scholar] [CrossRef]
- Hijmans, R.J.; Cameron, S.E.; Parra, J.L.; Jones, P.G.; Jarvis, A. Very high resolution interpolated climate surfaces for global land areas. Int. J. Climatol. 2005, 25, 1965–1978. [Google Scholar] [CrossRef]
- Wu, J.; Gao, X. A gridded daily observation dataset over China region and comparison with the other datasets. Chin. J. Geophys. 2013, 56, 1102–1111. (In Chinese) [Google Scholar]
- Lefèvre, M.; Oumbe, A.; Blanc, P.; Espinar, B.; Gschwind, B.; Qu, Z.; Wald, L.; Schroedter-Homscheidt, M.; Hoyer-Klick, C.; Arola, A.; et al. McClear: A new model estimating downwelling solar radiation at ground level in clear-sky condition. Atmos. Meas. Tech. 2013, 6, 2403–2418. [Google Scholar] [CrossRef]
- Zhang, Y.; Liu, C.; Tang, Y.; Yang, Y. Trends in pan evaporation and reference and actual evapotranspiration across the Tibetan Plateau. J. Geophys. Res. Atmos. 2007, 112, 113–120. [Google Scholar] [CrossRef]
- Persaud, N.; Lesolle, D.; Ouattara, M. Coefficients of the Ångström-Prescott equation for estimating global irradiance from hours of bright sunshine in Botswana and Niger. Agric. For. Meteorol. 1997, 88, 27–35. [Google Scholar] [CrossRef]
- Willmott, C.T.; Matsuura, K. Advantages of the mean absolute error (MAE) over the root mean square error (RMSE) in assessing average model performance. Clim. Res. 2005, 30, 79–82. [Google Scholar] [CrossRef]
- Stone, R.J. Improved statistical procedure for the evaluation of solar radiation estimation models. Sol. Energy 1993, 51, 289–291. [Google Scholar] [CrossRef]
- Jacovides, C.P.; Kontoyiannis, H. Statistical procedures for the evaluation of evapotranspiration computing models. Agric. Water Manag. 1995, 27, 365–371. [Google Scholar] [CrossRef]









| Sunshine-Based Models | Station | a | b | c | d | NSE | MAPE | RRMSE | Slope | Inter | n |
| Angstrom | Jiuquan | 0.219 | 0.514 | - | - | 0.948 | 8.629 | 10.004 | 0.901 | 1.547 | 5469 |
| Minqin | 0.193 | 0.541 | - | - | 0.951 | 7.647 | 9.333 | 0.930 | 1.161 | 5466 | |
| Gangcha | 0.198 | 0.603 | - | - | 0.915 | 8.530 | 11.022 | 0.941 | 1.129 | 5430 | |
| Xining | 0.215 | 0.530 | - | - | 0.936 | 9.681 | 11.301 | 0.904 | 1.463 | 5458 | |
| Shiquanhe | 0.229 | 0.616 | - | - | 0.856 | 8.138 | 11.448 | 0.890 | 2.578 | 5433 | |
| Naqu | 0.271 | 0.574 | - | - | 0.818 | 9.706 | 13.095 | 0.897 | 2.103 | 5294 | |
| Lhasa | 0.283 | 0.530 | - | - | 0.885 | 6.856 | 8.958 | 0.883 | 2.371 | 5283 | |
| Yushu | 0.229 | 0.560 | - | - | 0.913 | 9.103 | 10.837 | 0.919 | 1.397 | 5473 | |
| Guoluo | 0.247 | 0.563 | - | - | 0.888 | 9.506 | 12.107 | 0.917 | 1.546 | 5456 | |
| Changdu | 0.218 | 0.592 | - | - | 0.871 | 9.386 | 11.828 | 0.883 | 1.973 | 5468 | |
| Ganzi | 0.291 | 0.511 | - | - | 0.884 | 8.630 | 11.070 | 0.872 | 2.318 | 5068 | |
| Ermeishan | 0.234 | 0.565 | - | - | 0.826 | 18.275 | 21.327 | 0.887 | 1.659 | 5472 | |
| Lijiang | 0.222 | 0.538 | - | - | 0.891 | 9.991 | 11.303 | 0.870 | 2.170 | 5440 | |
| Panzhihua | 0.173 | 0.498 | - | - | 0.883 | 11.287 | 13.218 | 0.857 | 2.201 | 5475 | |
| Tengchong | 0.215 | 0.506 | - | - | 0.810 | 13.127 | 15.534 | 0.827 | 2.648 | 5471 | |
| Average | 0.229 | 0.549 | - | - | 0.885 | 9.899 | 12.159 | 0.892 | 1.184 | 5410 | |
| Ogelman | Jiuquan | 0.227 | 0.468 | 0.044 | - | 0.948 | 8.541 | 10.010 | 0.900 | 1.562 | 5469 |
| Minqin | 0.203 | 0.482 | 0.056 | - | 0.951 | 7.619 | 9.333 | 0.929 | 1.196 | 5466 | |
| Gangcha | 0.199 | 0.596 | 0.007 | - | 0.915 | 8.527 | 11.022 | 0.941 | 1.132 | 5430 | |
| Xining | 0.203 | 0.628 | −0.110 | - | 0.938 | 9.709 | 11.115 | 0.906 | 1.423 | 5458 | |
| Shiquanhe | 0.271 | 0.459 | 0.124 | - | 0.856 | 8.168 | 11.421 | 0.888 | 2.641 | 5433 | |
| Naqu | 0.286 | 0.504 | 0.064 | - | 0.818 | 9.682 | 13.091 | 0.894 | 2.175 | 5294 | |
| Lhasa | 0.272 | 0.575 | −0.038 | - | 0.885 | 6.841 | 8.949 | 0.887 | 2.309 | 5283 | |
| Yushu | 0.255 | 0.423 | 0.137 | - | 0.914 | 8.980 | 10.741 | 0.924 | 1.315 | 5473 | |
| Guoluo | 0.261 | 0.475 | 0.088 | - | 0.888 | 9.502 | 12.071 | 0.912 | 1.630 | 5456 | |
| Changdu | 0.255 | 0.386 | 0.217 | - | 0.874 | 9.219 | 11.689 | 0.878 | 2.067 | 5468 | |
| Ganzi | 0.281 | 0.568 | −0.057 | - | 0.885 | 8.635 | 11.028 | 0.876 | 2.240 | 5068 | |
| Ermeishan | 0.234 | 0.574 | −0.010 | - | 0.826 | 18.277 | 21.351 | 0.888 | 1.664 | 5472 | |
| Lijiang | 0.217 | 0.573 | −0.035 | - | 0.892 | 10.059 | 11.275 | 0.875 | 2.098 | 5440 | |
| Panzhihua | 0.167 | 0.544 | −0.048 | - | 0.883 | 11.307 | 13.176 | 0.858 | 2.180 | 5475 | |
| Tengchong | 0.216 | 0.497 | 0.010 | - | 0.810 | 13.106 | 15.538 | 0.826 | 2.662 | 5471 | |
| Average | 0.236 | 0.517 | 0.030 | - | 0.886 | 9.878 | 12.121 | 0.892 | 1.886 | 5410 | |
| Bahell | Jiuquan | 0.220 | 0.593 | −0.281 | 0.218 | 0.948 | 8.616 | 10.003 | 0.900 | 1.549 | 5469 |
| Minqin | 0.194 | 0.642 | −0.348 | 0.263 | 0.951 | 7.616 | 9.325 | 0.928 | 1.192 | 5466 | |
| Gangcha | 0.188 | 0.766 | −0.409 | 0.269 | 0.916 | 8.490 | 10.971 | 0.941 | 1.143 | 5430 | |
| Xining | 0.192 | 0.923 | −0.968 | 0.629 | 0.940 | 9.645 | 10.965 | 0.911 | 1.346 | 5458 | |
| Shiquanhe | 0.236 | 0.827 | −0.670 | 0.473 | 0.858 | 8.191 | 11.365 | 0.887 | 2.679 | 5433 | |
| Naqu | 0.281 | 0.554 | −0.052 | 0.074 | 0.818 | 9.674 | 13.082 | 0.893 | 2.195 | 5294 | |
| Lhasa | 0.263 | 0.651 | −0.206 | 0.105 | 0.885 | 6.837 | 8.945 | 0.885 | 2.318 | 5283 | |
| Yushu | 0.253 | 0.454 | 0.061 | 0.053 | 0.914 | 9.000 | 10.744 | 0.926 | 1.306 | 5473 | |
| Guoluo | 0.251 | 0.649 | −0.373 | 0.316 | 0.889 | 9.429 | 12.001 | 0.911 | 1.635 | 5456 | |
| Changdu | 0.233 | 0.683 | −0.603 | 0.614 | 0.876 | 9.122 | 11.606 | 0.882 | 2.016 | 5468 | |
| Ganzi | 0.272 | 0.698 | −0.395 | 0.233 | 0.886 | 8.667 | 10.993 | 0.877 | 2.241 | 5068 | |
| Ermeishan | 0.230 | 0.775 | −0.650 | 0.469 | 0.828 | 18.236 | 21.186 | 0.887 | 1.677 | 5472 | |
| Lijiang | 0.202 | 0.827 | −0.726 | 0.477 | 0.894 | 9.984 | 11.144 | 0.871 | 2.126 | 5440 | |
| Panzhihua | 0.150 | 0.954 | −1.193 | 0.805 | 0.888 | 11.065 | 12.912 | 0.870 | 1.991 | 5475 | |
| Tengchong | 0.203 | 0.787 | −0.834 | 0.604 | 0.816 | 13.124 | 15.294 | 0.824 | 2.669 | 5471 | |
| Average | 0.225 | 0.719 | −0.510 | 0.373 | 0.887 | 9.846 | 12.036 | 0.893 | 1.872 | 5410 | |
| Temperature-Based Models | Station | a | b | c | d | NSE | MAPE | RRMSE | Slope | Inter | n |
| Bristow | Jiuquan | 0.758 | 0.036 | 1.423 | - | 0.755 | 14.467 | 21.719 | 0.804 | 3.527 | 5469 |
| Minqin | 0.713 | 0.025 | 1.650 | - | 0.705 | 14.155 | 22.778 | 0.777 | 4.159 | 5466 | |
| Gangcha | 0.741 | 0.005 | 2.340 | - | 0.661 | 15.109 | 21.989 | 0.719 | 4.965 | 5429 | |
| Xining | 0.690 | 0.022 | 1.607 | - | 0.749 | 14.345 | 22.441 | 0.738 | 4.166 | 5458 | |
| Shiquanhe | 0.856 | 0.027 | 1.610 | - | 0.723 | 11.593 | 15.877 | 0.774 | 5.351 | 5433 | |
| Naqu | 0.903 | 0.045 | 1.245 | - | 0.519 | 16.620 | 21.285 | 0.620 | 7.452 | 5294 | |
| Lhasa | 0.769 | 0.012 | 1.974 | - | 0.661 | 11.639 | 15.377 | 0.740 | 5.581 | 5283 | |
| Yushu | 0.722 | 0.028 | 1.496 | - | 0.701 | 16.111 | 20.049 | 0.662 | 5.741 | 5473 | |
| Guoluo | 0.735 | 0.025 | 1.560 | - | 0.655 | 16.937 | 21.211 | 0.676 | 5.801 | 5456 | |
| Changdu | 1.005 | 0.030 | 1.181 | - | 0.686 | 14.739 | 18.464 | 0.688 | 5.164 | 5468 | |
| Ganzi | 0.785 | 0.026 | 1.512 | - | 0.723 | 13.688 | 17.092 | 0.752 | 4.709 | 5068 | |
| Ermeishan | 0.816 | 0.041 | 1.531 | - | 0.583 | 23.508 | 33.029 | 0.671 | 4.568 | 5472 | |
| Lijiang | 0.760 | 0.014 | 1.878 | - | 0.679 | 16.130 | 19.395 | 0.733 | 4.449 | 5440 | |
| Panzhihua | 0.601 | 0.010 | 2.123 | - | 0.664 | 16.205 | 22.377 | 0.642 | 5.693 | 5475 | |
| Tengchong | 0.917 | 0.057 | 1.118 | - | 0.619 | 18.363 | 21.991 | 0.699 | 4.725 | 5471 | |
| Average | 0.785 | 0.027 | 1.617 | - | 0.672 | 15.574 | 21.005 | 0.713 | 5.070 | 5410 | |
| Hargreaves | Jiuquan | 0.184 | −0.102 | - | - | 0.776 | 14.499 | 20.742 | 0.824 | 3.179 | 5469 |
| Minqin | 0.172 | −0.050 | - | - | 0.722 | 14.737 | 22.113 | 0.782 | 4.040 | 5466 | |
| Gangcha | 0.242 | −0.251 | - | - | 0.692 | 14.909 | 20.958 | 0.739 | 4.832 | 5429 | |
| Xining | 0.175 | −0.136 | - | - | 0.759 | 14.747 | 21.996 | 0.734 | 4.126 | 5458 | |
| Shiquanhe | 0.163 | 0.106 | - | - | 0.711 | 12.082 | 16.192 | 0.758 | 5.680 | 5433 | |
| Naqu | 0.175 | −0.032 | - | - | 0.504 | 17.410 | 21.627 | 0.624 | 7.465 | 5294 | |
| Lhasa | 0.188 | −0.047 | - | - | 0.651 | 12.350 | 15.621 | 0.708 | 6.054 | 5283 | |
| Yushu | 0.155 | −0.038 | - | - | 0.686 | 16.832 | 20.554 | 0.653 | 5.917 | 5473 | |
| Guoluo | 0.151 | −0.010 | - | - | 0.619 | 18.226 | 22.268 | 0.631 | 6.559 | 5456 | |
| Changdu | 0.182 | −0.175 | - | - | 0.673 | 15.143 | 18.824 | 0.696 | 5.248 | 5468 | |
| Ganzi | 0.185 | −0.115 | - | - | 0.712 | 14.173 | 17.425 | 0.740 | 4.864 | 5068 | |
| Ermeishan | 0.282 | −0.306 | - | - | 0.622 | 23.526 | 31.451 | 0.680 | 4.437 | 5472 | |
| Lijiang | 0.258 | −0.321 | - | - | 0.662 | 16.777 | 19.916 | 0.695 | 5.339 | 5440 | |
| Panzhihua | 0.214 | −0.257 | - | - | 0.649 | 16.585 | 22.858 | 0.598 | 6.247 | 5475 | |
| Tengchong | 0.212 | −0.192 | - | - | 0.625 | 18.203 | 21.811 | 0.703 | 4.662 | 5471 | |
| Average | 0.193 | −0.128 | - | - | 0.671 | 16.013 | 20.957 | 0.704 | 5.243 | 5410 | |
| Chen | Jiuquan | 0.312 | −0.231 | - | - | 0.777 | 14.492 | 20.717 | 0.821 | 3.218 | 5469 |
| Minqin | 0.300 | −0.191 | - | - | 0.728 | 14.397 | 21.889 | 0.788 | 3.924 | 5466 | |
| Gangcha | 0.406 | −0.409 | - | - | 0.700 | 14.690 | 20.672 | 0.763 | 4.469 | 5429 | |
| Xining | 0.302 | −0.263 | - | - | 0.764 | 14.320 | 21.773 | 0.751 | 3.975 | 5458 | |
| Shiquanhe | 0.301 | −0.072 | - | - | 0.714 | 12.058 | 16.127 | 0.770 | 5.463 | 5433 | |
| Naqu | 0.319 | −0.211 | - | - | 0.508 | 17.359 | 21.538 | 0.638 | 7.199 | 5294 | |
| Lhasa | 0.345 | −0.248 | - | - | 0.659 | 12.157 | 15.440 | 0.725 | 5.735 | 5283 | |
| Yushu | 0.282 | −0.195 | - | - | 0.689 | 16.663 | 20.432 | 0.663 | 5.747 | 5473 | |
| Guoluo | 0.281 | −0.174 | - | - | 0.635 | 17.623 | 21.813 | 0.661 | 6.022 | 5456 | |
| Changdu | 0.337 | −0.374 | - | - | 0.673 | 15.279 | 18.837 | 0.708 | 5.039 | 5468 | |
| Ganzi | 0.335 | −0.296 | - | - | 0.720 | 13.879 | 17.206 | 0.758 | 4.581 | 5068 | |
| Ermeishan | 0.357 | −0.233 | - | - | 0.596 | 24.940 | 32.491 | 0.683 | 4.501 | 5472 | |
| Lijiang | 0.393 | −0.397 | - | - | 0.662 | 16.699 | 19.920 | 0.717 | 4.924 | 5440 | |
| Panzhihua | 0.332 | −0.330 | - | - | 0.657 | 16.159 | 22.616 | 0.620 | 5.957 | 5475 | |
| Tengchong | 0.293 | −0.179 | - | - | 0.607 | 19.147 | 22.317 | 0.714 | 4.504 | 5471 | |
| Average | 0.326 | −0.254 | - | - | 0.673 | 15.991 | 20.919 | 0.719 | 5.017 | 5410 |
| Sunshine-Based Models | Station | NSE | MAPE | RRMSE | Slope | Inter | n |
| Angtrom | Jiuquan | 0.949 | 9.886 | 10.474 | 0.918 | 1.640 | 1095 |
| Minqin | 0.958 | 8.603 | 9.101 | 0.925 | 1.490 | 1096 | |
| Gangcha | 0.935 | 7.937 | 9.211 | 0.996 | −0.123 | 1096 | |
| Xining | 0.926 | 9.919 | 11.615 | 0.908 | 1.414 | 1095 | |
| Shiquanhe | 0.900 | 6.956 | 8.896 | 0.972 | 0.336 | 1090 | |
| Naqu | 0.872 | 8.723 | 10.344 | 0.940 | 1.387 | 1094 | |
| Lhasa | 0.891 | 6.772 | 8.510 | 0.919 | 2.174 | 1094 | |
| Yushu | 0.815 | 15.476 | 16.710 | 0.879 | 2.871 | 731 | |
| Guoluo | 0.813 | 10.895 | 15.672 | 0.889 | 2.401 | 1095 | |
| Changdu | 0.801 | 14.128 | 15.551 | 0.872 | 3.115 | 1094 | |
| Ganzi | 0.914 | 8.226 | 9.582 | 0.878 | 2.208 | 1096 | |
| Ermeishan | 0.876 | 16.952 | 17.767 | 0.890 | 1.679 | 1096 | |
| Lijiang | 0.838 | 11.840 | 13.555 | 0.890 | 2.074 | 1096 | |
| Panzhihua | 0.700 | 20.535 | 22.453 | 0.702 | 4.236 | 1096 | |
| Tengchong | 0.781 | 14.395 | 15.943 | 0.885 | 3.037 | 1096 | |
| Average | 0.865 | 11.416 | 13.026 | 0.898 | 1.996 | 1070 | |
| Ogelman | Jiuquan | 0.949 | 9.825 | 10.414 | 0.919 | 1.651 | 1095 |
| Minqin | 0.958 | 8.355 | 9.084 | 0.925 | 1.499 | 1096 | |
| Gangcha | 0.935 | 7.935 | 9.212 | 0.995 | −0.117 | 1096 | |
| Xining | 0.927 | 10.143 | 11.512 | 0.908 | 1.359 | 1095 | |
| Shiquanhe | 0.902 | 6.863 | 8.827 | 0.967 | 0.477 | 1090 | |
| Naqu | 0.872 | 8.741 | 10.346 | 0.936 | 1.471 | 1094 | |
| Lhasa | 0.890 | 6.795 | 8.537 | 0.921 | 2.142 | 1094 | |
| Yushu | 0.818 | 15.418 | 16.593 | 0.882 | 2.833 | 731 | |
| Guoluo | 0.814 | 10.952 | 15.628 | 0.880 | 2.531 | 1095 | |
| Changdu | 0.801 | 14.063 | 15.550 | 0.864 | 3.245 | 1094 | |
| Ganzi | 0.914 | 8.134 | 9.532 | 0.884 | 2.100 | 1096 | |
| Ermeishan | 0.875 | 16.975 | 17.799 | 0.891 | 1.685 | 1096 | |
| Lijiang | 0.836 | 12.131 | 13.627 | 0.896 | 1.982 | 1096 | |
| Panzhihua | 0.699 | 20.475 | 22.483 | 0.702 | 4.233 | 1096 | |
| Tengchong | 0.781 | 14.382 | 15.918 | 0.885 | 3.035 | 1096 | |
| Average | 0.865 | 11.412 | 13.004 | 0.897 | 2.008 | 1070 | |
| Bahell | Jiuquan | 0.949 | 9.924 | 10.415 | 0.921 | 1.612 | 1095 |
| Minqin | 0.959 | 8.564 | 9.038 | 0.925 | 1.492 | 1096 | |
| Gangcha | 0.936 | 7.900 | 9.178 | 0.996 | −0.118 | 1096 | |
| Xining | 0.930 | 9.778 | 11.289 | 0.916 | 1.269 | 1095 | |
| Shiquanhe | 0.903 | 6.861 | 8.778 | 0.963 | 0.577 | 1090 | |
| Naqu | 0.872 | 8.736 | 10.338 | 0.934 | 1.501 | 1094 | |
| Lhasa | 0.891 | 6.859 | 8.501 | 0.919 | 2.165 | 1094 | |
| Yushu | 0.816 | 15.483 | 16.683 | 0.885 | 2.827 | 731 | |
| Guoluo | 0.813 | 10.940 | 15.637 | 0.877 | 2.592 | 1095 | |
| Changdu | 0.801 | 14.199 | 15.551 | 0.868 | 3.215 | 1094 | |
| Ganzi | 0.915 | 8.095 | 9.501 | 0.884 | 2.110 | 1096 | |
| Ermeishan | 0.878 | 16.722 | 17.617 | 0.885 | 1.754 | 1096 | |
| Lijiang | 0.842 | 12.016 | 13.379 | 0.897 | 1.951 | 1096 | |
| Panzhihua | 0.701 | 20.488 | 22.407 | 0.712 | 4.074 | 1096 | |
| Tengchong | 0.788 | 14.425 | 15.675 | 0.874 | 3.173 | 1096 | |
| Average | 0.866 | 11.399 | 12.932 | 0.897 | 2.013 | 1070 | |
| Temperature-Based Models | Station | NSE | MAPE | RRMSE | Slope | Inter | n |
| Bristow | Jiuquan | 0.770 | 14.855 | 22.153 | 0.817 | 3.348 | 1095 |
| Minqin | 0.717 | 14.707 | 23.708 | 0.778 | 4.224 | 1096 | |
| Gangcha | 0.695 | 15.157 | 19.997 | 0.776 | 4.072 | 1096 | |
| Xining | 0.753 | 13.420 | 21.190 | 0.756 | 4.077 | 1095 | |
| Shiquanhe | 0.766 | 10.497 | 13.621 | 0.825 | 4.154 | 1090 | |
| Naqu | 0.575 | 15.823 | 18.860 | 0.667 | 6.465 | 1094 | |
| Lhasa | 0.694 | 10.964 | 14.229 | 0.753 | 5.398 | 1094 | |
| Yushu | 0.657 | 20.469 | 22.767 | 0.644 | 6.141 | 731 | |
| Guoluo | 0.566 | 18.112 | 23.834 | 0.660 | 6.283 | 1095 | |
| Changdu | 0.684 | 17.803 | 19.600 | 0.695 | 5.533 | 1094 | |
| Ganzi | 0.746 | 13.516 | 16.429 | 0.755 | 4.505 | 1096 | |
| Ermeishan | 0.648 | 22.507 | 29.902 | 0.675 | 4.416 | 1096 | |
| Lijiang | 0.575 | 18.449 | 21.923 | 0.736 | 5.345 | 1096 | |
| Panzhihua | 0.476 | 22.951 | 29.656 | 0.489 | 8.016 | 1096 | |
| Tengchong | 0.591 | 18.538 | 21.779 | 0.744 | 4.344 | 1096 | |
| Average | 0.661 | 16.518 | 21.310 | 0.718 | 5.088 | 1070 | |
| Hargreaves | Jiuquan | 0.797 | 14.732 | 20.811 | 0.837 | 3.050 | 1095 |
| Minqin | 0.730 | 14.999 | 23.129 | 0.774 | 4.230 | 1096 | |
| Gangcha | 0.725 | 15.089 | 18.977 | 0.792 | 4.018 | 1096 | |
| Xining | 0.759 | 13.944 | 20.907 | 0.752 | 4.054 | 1095 | |
| Shiquanhe | 0.735 | 11.177 | 14.485 | 0.804 | 4.646 | 1090 | |
| Naqu | 0.544 | 16.754 | 19.546 | 0.663 | 6.619 | 1094 | |
| Lhasa | 0.684 | 11.631 | 14.472 | 0.714 | 5.999 | 1094 | |
| Yushu | 0.628 | 21.701 | 23.705 | 0.620 | 6.619 | 731 | |
| Guoluo | 0.532 | 19.659 | 24.756 | 0.613 | 7.099 | 1095 | |
| Changdu | 0.666 | 18.483 | 20.152 | 0.712 | 5.496 | 1094 | |
| Ganzi | 0.752 | 13.904 | 16.225 | 0.747 | 4.609 | 1096 | |
| Ermeishan | 0.677 | 22.551 | 28.612 | 0.688 | 4.197 | 1096 | |
| Lijiang | 0.492 | 20.909 | 23.983 | 0.706 | 6.213 | 1096 | |
| Panzhihua | 0.486 | 22.959 | 29.388 | 0.473 | 8.143 | 1096 | |
| Tengchong | 0.601 | 18.056 | 21.514 | 0.753 | 4.222 | 1096 | |
| Average | 0.654 | 17.103 | 21.377 | 0.710 | 5.281 | 1070 | |
| Chen | Jiuquan | 0.797 | 14.521 | 20.787 | 0.836 | 3.004 | 1095 |
| Minqin | 0.734 | 14.715 | 22.976 | 0.784 | 4.069 | 1096 | |
| Gangcha | 0.732 | 14.787 | 18.721 | 0.816 | 3.667 | 1096 | |
| Xining | 0.762 | 13.723 | 20.789 | 0.767 | 3.884 | 1095 | |
| Shiquanhe | 0.738 | 11.070 | 14.417 | 0.818 | 4.342 | 1090 | |
| Naqu | 0.545 | 16.725 | 19.531 | 0.683 | 6.254 | 1094 | |
| Lhasa | 0.691 | 11.553 | 14.307 | 0.733 | 5.645 | 1094 | |
| Yushu | 0.632 | 21.368 | 23.572 | 0.636 | 6.374 | 731 | |
| Guoluo | 0.544 | 18.873 | 24.430 | 0.643 | 6.596 | 1095 | |
| Changdu | 0.663 | 18.460 | 20.236 | 0.733 | 5.171 | 1094 | |
| Ganzi | 0.763 | 13.301 | 15.854 | 0.772 | 4.204 | 1096 | |
| Ermeishan | 0.655 | 23.907 | 29.607 | 0.688 | 4.261 | 1096 | |
| Lijiang | 0.502 | 20.275 | 23.736 | 0.714 | 5.946 | 1096 | |
| Panzhihua | 0.488 | 22.858 | 29.311 | 0.481 | 8.050 | 1096 | |
| Tengchong | 0.569 | 19.433 | 22.354 | 0.764 | 4.033 | 1096 | |
| Average | 0.654 | 17.038 | 21.375 | 0.725 | 5.033 | 1070 |
| (A) | ||||||||||||
| Station | Angstrom-Based Model | Bristow-Based Model | ||||||||||
| NSE | MAPE | RRMSE | Slope | Inter | n | NSE | MAPE | RRMSE | Slope | Inter | n | |
| Jiuquan | 0.922 | 12.707 | 12.874 | 0.976 | 1.692 | 1095 | 0.656 | 17.055 | 27.051 | 0.902 | 3.917 | 1095 |
| Minqin | 0.923 | 11.950 | 12.368 | 0.971 | 1.938 | 1096 | 0.618 | 16.603 | 27.514 | 0.852 | 4.681 | 1096 |
| Gangcha | 0.935 | 8.319 | 9.221 | 0.950 | 0.581 | 1096 | 0.667 | 15.822 | 20.872 | 0.736 | 5.283 | 1096 |
| Xining | 0.914 | 10.315 | 12.476 | 0.946 | 1.570 | 1095 | 0.381 | 23.436 | 33.553 | 0.881 | 5.700 | 1095 |
| Shiquanhe | 0.813 | 10.635 | 12.165 | 0.891 | 0.524 | 1090 | 0.704 | 13.217 | 15.323 | 0.760 | 3.841 | 1090 |
| Naqu | 0.803 | 11.043 | 12.850 | 0.876 | 0.811 | 1094 | 0.512 | 17.045 | 20.216 | 0.702 | 6.729 | 1094 |
| Lhasa | 0.873 | 7.226 | 9.158 | 0.887 | 1.515 | 1094 | 0.697 | 11.031 | 14.165 | 0.726 | 5.765 | 1094 |
| Yushu | 0.825 | 15.188 | 16.279 | 0.865 | 2.896 | 731 | 0.241 | 29.879 | 33.854 | 0.755 | 7.800 | 731 |
| Guoluo | 0.823 | 10.975 | 15.224 | 0.859 | 2.113 | 1095 | 0.254 | 23.070 | 31.258 | 0.734 | 7.618 | 1095 |
| Changdu | 0.829 | 13.335 | 14.398 | 0.833 | 3.365 | 1094 | −0.340 | 35.835 | 40.364 | 0.844 | 7.929 | 1094 |
| Ganzi | 0.852 | 10.014 | 12.526 | 0.875 | 0.940 | 1096 | 0.574 | 17.311 | 21.276 | 0.812 | 5.682 | 1096 |
| Ermeishan | 0.875 | 16.921 | 17.825 | 0.865 | 1.679 | 1096 | 0.532 | 27.520 | 34.454 | 0.628 | 2.670 | 1096 |
| Lijiang | 0.821 | 12.766 | 14.228 | 0.909 | 2.192 | 1096 | 0.463 | 20.612 | 24.653 | 0.691 | 7.032 | 1096 |
| Panzhihua | 0.596 | 21.462 | 26.031 | 0.787 | 5.722 | 1096 | 0.278 | 22.468 | 34.809 | 0.555 | 10.352 | 1096 |
| Tengchong | 0.586 | 20.136 | 21.910 | 0.960 | 3.153 | 1096 | 0.421 | 21.466 | 25.898 | 0.913 | 2.689 | 1096 |
| Average | 0.826 | 12.866 | 14.636 | 0.897 | 2.046 | 1070 | 0.444 | 20.825 | 27.017 | 0.766 | 5.846 | 1070 |
| (B) | ||||||||||||
| Station | Angstrom-Based Model | Bristow-Based Model | ||||||||||
| NSE | MAPE | RRMSE | Slope | Inter | n | NSE | MAPE | RRMSE | Slope | Inter | n | |
| Jiuquan | 0.921 | 12.791 | 12.954 | 0.977 | 1.690 | 1095 | 0.755 | 14.536 | 22.848 | 0.821 | 3.726 | 1095 |
| Minqin | 0.922 | 12.051 | 12.456 | 0.972 | 1.936 | 1096 | 0.712 | 14.461 | 23.882 | 0.775 | 4.441 | 1096 |
| Gangcha | 0.935 | 8.289 | 9.201 | 0.951 | 0.576 | 1096 | 0.653 | 17.301 | 21.314 | 0.661 | 5.147 | 1096 |
| Xining | 0.914 | 10.365 | 12.519 | 0.947 | 1.566 | 1095 | 0.605 | 16.586 | 26.807 | 0.799 | 5.517 | 1095 |
| Shiquanhe | 0.816 | 10.557 | 12.086 | 0.892 | 0.522 | 1090 | 0.483 | 17.777 | 20.253 | 0.690 | 3.713 | 1090 |
| Naqu | 0.805 | 10.986 | 12.787 | 0.877 | 0.805 | 1094 | 0.554 | 16.502 | 19.333 | 0.631 | 6.466 | 1094 |
| Lhasa | 0.875 | 7.182 | 9.112 | 0.888 | 1.514 | 1094 | 0.602 | 12.814 | 16.229 | 0.655 | 5.526 | 1094 |
| Yushu | 0.824 | 15.212 | 16.314 | 0.867 | 2.894 | 731 | 0.510 | 24.994 | 27.207 | 0.682 | 7.381 | 731 |
| Guoluo | 0.823 | 10.962 | 15.218 | 0.860 | 2.108 | 1095 | 0.478 | 20.002 | 26.138 | 0.661 | 7.376 | 1095 |
| Changdu | 0.829 | 13.367 | 14.433 | 0.834 | 3.363 | 1094 | 0.204 | 27.992 | 31.115 | 0.767 | 7.475 | 1094 |
| Ganzi | 0.853 | 9.965 | 12.472 | 0.877 | 0.934 | 1096 | 0.716 | 14.602 | 17.374 | 0.731 | 5.540 | 1096 |
| Ermeishan | 0.875 | 16.904 | 17.809 | 0.866 | 1.670 | 1096 | 0.469 | 27.786 | 36.721 | 0.542 | 3.555 | 1096 |
| Lijiang | 0.820 | 12.814 | 14.271 | 0.911 | 2.183 | 1096 | 0.575 | 18.558 | 21.942 | 0.593 | 7.316 | 1096 |
| Panzhihua | 0.594 | 21.437 | 26.101 | 0.788 | 5.721 | 1096 | 0.428 | 21972 | 30.982 | 0.485 | 9.995 | 1096 |
| Tengchong | 0.582 | 20.240 | 22.011 | 0.961 | 3.144 | 1096 | 0.582 | 18.985 | 22.013 | 0.781 | 3.655 | 1096 |
| Average | 0.826 | 12.875 | 14.650 | 0.898 | 2.042 | 1070 | 0.555 | 18.991 | 24.277 | 0.685 | 5.789 | 1070 |
| Model | Coefficient | Multiple Linear Model | R2 |
|---|---|---|---|
| Angstrom | a | 0.136561 + 0.000578 × Lon − 0.000821 × Lat + 2.155 × 10−5 × Alt | 0.473 |
| b | 0.504951 − 0.000858 × Lon + 0.002200 × Lat + 1.968 × 10−5 × Alt | 0.548 | |
| Bristow | a | 1.216623 − 0.003490 × Lon − 0.005194 × Lat + 2.641 × 10−5 × Alt | 0.264 |
| b | 0.058410 − 0.000149 × Lon − 0.000519 × Lat − 8.278 × 10−8 × Alt | 0.033 | |
| c | 1.237263 + 0.002983 × Lon + 0.005364 × Lat − 2.933 × 10−5 × Alt | 0.024 |
| Model | Station | a | b | c | NSE | MAPE | RRMSE | Slope | Inter | n |
|---|---|---|---|---|---|---|---|---|---|---|
| Angstrom | Jiuquan | 0.193 | 0.538 | - | 0.930 | 11.863 | 12.228 | 0.992 | 1.174 | 1095 |
| Minqin | 0.195 | 0.529 | - | 0.958 | 8.316 | 9.153 | 0.910 | 1.538 | 1096 | |
| Gangcha | 0.236 | 0.567 | - | 0.934 | 7.971 | 9.305 | 0.981 | 0.593 | 1096 | |
| Xining | 0.216 | 0.544 | - | 0.923 | 10.270 | 11.857 | 0.941 | 1.331 | 1095 | |
| Shiquanhe | 0.250 | 0.593 | - | 0.871 | 8.624 | 10.107 | 0.917 | 0.703 | 1090 | |
| Naqu | 0.270 | 0.591 | - | 0.863 | 8.952 | 10.708 | 0.961 | 1.274 | 1094 | |
| Lhasa | 0.245 | 0.565 | - | 0.895 | 6.617 | 8.328 | 0.929 | 1.657 | 1094 | |
| Yushu | 0.247 | 0.568 | - | 0.752 | 17.591 | 19.335 | 0.909 | 3.230 | 731 | |
| Guoluo | 0.248 | 0.569 | - | 0.807 | 11.027 | 15.911 | 0.897 | 2.395 | 1095 | |
| 0.996 | ||||||||||
| 0.851 | ||||||||||
| Changdu | 0.240 | 0.556 | - | 0.802 | 14.410 | 15.508 | 0.851 | 3.551 | 1094 | |
| Ganzi | 0.243 | 0.557 | - | 0.777 | 12.591 | 15.381 | 0.864 | 0.451 | 1096 | |
| Ermeishan | 0.239 | 0.542 | - | 0.802 | 20.055 | 22.424 | 0.867 | 3.521 | 1096 | |
| Lijiang | 0.225 | 0.526 | - | 0.841 | 11.725 | 13.409 | 0.872 | 2.269 | 1096 | |
| Panzhihua | 0.200 | 0.500 | - | 0.468 | 24.083 | 29.885 | 0.745 | 7.451 | 1096 | |
| Tengchong | 0.209 | 0.509 | - | 0.757 | 14.848 | 16.786 | 0.925 | 2.647 | 1096 | |
| Average | 0.230 | 0.550 | - | 0.825 | 12.596 | 14.688 | 0.904 | 2.252 | 1070 | |
| Bristow | Jiuquan | 0.705 | 0.023 | 1.701 | 0.757 | 14.819 | 22.757 | 0.823 | 3.583 | 1095 |
| Minqin | 0.692 | 0.023 | 1.712 | 0.718 | 14.901 | 23.655 | 0.767 | 4.275 | 1096 | |
| Gangcha | 0.759 | 0.024 | 1.640 | 0.684 | 15.991 | 20.345 | 0.702 | 4.860 | 1096 | |
| Xining | 0.730 | 0.024 | 1.671 | 0.578 | 17.405 | 27.684 | 0.828 | 5.258 | 1095 | |
| Shiquanhe | 0.880 | 0.029 | 1.526 | 0.771 | 10.666 | 13.482 | 0.809 | 4.037 | 1090 | |
| Naqu | 0.857 | 0.028 | 1.541 | 0.463 | 17.444 | 21.201 | 0.734 | 6.715 | 1094 | |
| Lhasa | 0.839 | 0.029 | 1.562 | 0.657 | 12.031 | 15.058 | 0.755 | 6.065 | 1094 | |
| Yushu | 0.802 | 0.027 | 1.597 | 0.228 | 30.071 | 34.148 | 0.763 | 7.742 | 731 | |
| Guoluo | 0.784 | 0.025 | 1.613 | 0.356 | 21.858 | 29.041 | 0.727 | 7.192 | 1095 | |
| Changdu | 0.802 | 0.027 | 1.598 | −0.395 | 36.530 | 41.179 | 0.857 | 7.890 | 1094 | |
| Ganzi | 0.792 | 0.027 | 1.607 | 0.574 | 17.403 | 21.271 | 0.816 | 5.628 | 1096 | |
| Ermeishan | 0.782 | 0.027 | 1.615 | 0.524 | 27.790 | 34.743 | 0.624 | 2.651 | 1096 | |
| Lijiang | 0.790 | 0.029 | 1.611 | 0.362 | 22.650 | 26.870 | 0.693 | 7.561 | 1096 | |
| Panzhihua | 0.755 | 0.029 | 1.649 | 0.231 | 23.586 | 35.933 | 0.545 | 10.828 | 1096 | |
| Tengchong | 0.786 | 0.031 | 1.617 | 0.252 | 23.273 | 29.434 | 0.924 | 3.580 | 1096 | |
| Average | 0.784 | 0.027 | 1.617 | 0.451 | 20.428 | 26.453 | 0.758 | 5.858 | 1070 |
| Station | a | b | NSE | MAPE | RRMSE | Slope | Inter | n |
|---|---|---|---|---|---|---|---|---|
| Jiuquan | 0.167 | 0.546 | 0.941 | 9.687 | 11.169 | 0.908 | 0.941 | 1095 |
| Minqin | 0.160 | 0.545 | 0.947 | 8.807 | 10.236 | 0.898 | 1.059 | 1096 |
| Gangcha | 0.226 | 0.571 | 0.937 | 7.931 | 9.091 | 0.977 | 0.431 | 1096 |
| Xining | 0.217 | 0.542 | 0.925 | 10.010 | 11.660 | 0.926 | 1.398 | 1095 |
| Shiquanhe | 0.207 | 0.618 | 0.883 | 7.963 | 9.642 | 0.953 | 0.131 | 1090 |
| Naqu | 0.259 | 0.579 | 0.877 | 8.571 | 10.157 | 0.937 | 1.154 | 1094 |
| Lhasa | 0.256 | 0.553 | 0.898 | 6.538 | 8.225 | 0.919 | 1.817 | 1094 |
| Yushu | 0.250 | 0.559 | 0.771 | 17.150 | 18.600 | 0.895 | 3.255 | 731 |
| Guoluo | 0.243 | 0.567 | 0.814 | 10.836 | 15.608 | 0.891 | 2.307 | 1095 |
| Changdu | 0.254 | 0.544 | 0.784 | 15.196 | 16.212 | 0.849 | 3.814 | 1094 |
| Ganzi | 0.255 | 0.546 | 0.900 | 8.376 | 10.286 | 0.893 | 1.401 | 1096 |
| Ermeishan | 0.256 | 0.534 | 0.861 | 18.039 | 18.753 | 0.848 | 2.618 | 1096 |
| Lijiang | 0.243 | 0.521 | 0.826 | 12.681 | 14.041 | 0.867 | 2.860 | 1096 |
| Panzhihua | 0.181 | 0.509 | 0.710 | 19.882 | 22.084 | 0.719 | 4.444 | 1096 |
| Tengchong | 0.215 | 0.510 | 0.773 | 14.598 | 16.214 | 0.892 | 3.005 | 1096 |
| Average | 0.226 | 0.550 | 0.856 | 11.751 | 13.465 | 0.891 | 2.042 | 1070 |
| Station | Latitude/N° | Longitude/E° | Altitude/m asl |
|---|---|---|---|
| Jiuquan | 39.77 | 98.48 | 1478.6 |
| Minqin | 38.63 | 103.08 | 1368.5 |
| Gangcha | 37.33 | 100.13 | 3302.4 |
| Xining | 36.72 | 101.75 | 2296.2 |
| Shiquanhe | 32.50 | 80.08 | 4279.3 |
| Naqu | 31.48 | 92.07 | 4808.0 |
| Lhasa | 29.67 | 91.13 | 3650.1 |
| Yushu | 33.02 | 97.02 | 3682.2 |
| Guoluo | 34.47 | 100.25 | 3720.5 |
| Changdu | 31.15 | 97.17 | 3307.1 |
| Ganzi | 31.62 | 100.00 | 3394.2 |
| Ermeishan | 29.52 | 103.33 | 3048.6 |
| Lijiang | 26.87 | 100.22 | 2393.9 |
| Panzhihua | 26.58 | 101.72 | 1191.1 |
| Tengchong | 25.02 | 98.50 | 1655.0 |
| Model Type | Model Name | Expression | Source |
|---|---|---|---|
| Sunshine-based | Angstrom | H/H0 = a + bS/S0 | Angstrom et al. [23,24] |
| Ogelman | H/H0 = a + b(S/S0) + c(S/S0)2 | Ogelman et al. [25] | |
| Bahel | H/H0 = a + b(S/S0) + c(S/S0)2 + d(S/S0)3 | Bahel et al. [26] | |
| Temperature-based | Bristow | H/H0 = a(1 − exp(bDc)) | Bristow et al. [28] |
| Hargreaves | H/H0 = a(Tm − Tn)0.5 + b | Hargreaves et al. [29] | |
| Chen | H/H0 = aln(Tm − Tn) + b | Chen et al. [30] |
© 2017 by the authors. Licensee MDPI, Basel, Switzerland. This article is an open access article distributed under the terms and conditions of the Creative Commons Attribution (CC BY) license (http://creativecommons.org/licenses/by/4.0/).
Share and Cite
Liu, J.; Pan, T.; Chen, D.; Zhou, X.; Yu, Q.; Flerchinger, G.N.; Liu, D.L.; Zou, X.; Linderholm, H.W.; Du, J.; et al. An Improved Ångström-Type Model for Estimating Solar Radiation over the Tibetan Plateau. Energies 2017, 10, 892. https://doi.org/10.3390/en10070892
Liu J, Pan T, Chen D, Zhou X, Yu Q, Flerchinger GN, Liu DL, Zou X, Linderholm HW, Du J, et al. An Improved Ångström-Type Model for Estimating Solar Radiation over the Tibetan Plateau. Energies. 2017; 10(7):892. https://doi.org/10.3390/en10070892
Chicago/Turabian StyleLiu, Jiandong, Tao Pan, Deliang Chen, Xiuji Zhou, Qiang Yu, Gerald N. Flerchinger, De Li Liu, Xintong Zou, Hans W. Linderholm, Jun Du, and et al. 2017. "An Improved Ångström-Type Model for Estimating Solar Radiation over the Tibetan Plateau" Energies 10, no. 7: 892. https://doi.org/10.3390/en10070892
APA StyleLiu, J., Pan, T., Chen, D., Zhou, X., Yu, Q., Flerchinger, G. N., Liu, D. L., Zou, X., Linderholm, H. W., Du, J., Wu, D., & Shen, Y. (2017). An Improved Ångström-Type Model for Estimating Solar Radiation over the Tibetan Plateau. Energies, 10(7), 892. https://doi.org/10.3390/en10070892
