Optimal Power Flow Using Particle Swarm Optimization of Renewable Hybrid Distributed Generation
Abstract
:1. Introduction
1.1. Particles Swarm Optimization Technique
1.2. Optimal Power Flow Formulation
1.3. Fuel Cost Objective Function
1.4. Wind and Solar Energy Modeling
2. System Description
Validation
3. Results and Discussion
3.1. Total Conventional Generation
3.2. Total Generation Cost
3.3. Transmission Losses
4. Sensitivity Analysis
4.1. Effect of Renewable Energy and Load Changes on Generation Cost
4.2. Effect of Renewable Energy and Load Changes on Transmission Losses
4.3. Effect of Changing Solar PV Efficiency on Total Cost
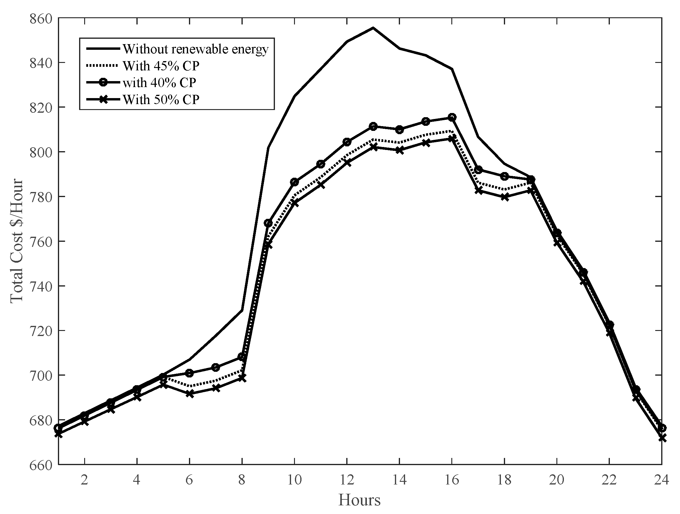
4.4. Effect of Changing Coefficient of Performance on Total Cost
5. Conclusions
Acknowledgments
Author Contributions
Conflicts of Interest
References
- Huneault, M.; Galiana, F.; Bruno, Q. A survey of the optimal power flow literature. IEEE Trans. Power Syst. 1991, 6, 18. [Google Scholar] [CrossRef]
- Zehar, K.; Samir, S. Optimal power flow with environmental constraint using a fast successive linear programming algorithm: Application to the Algerian power system. Energy Convers. Manag. 2008, 49, 3362–3366. [Google Scholar] [CrossRef]
- Shahidehpour, M.; Ramesh, V. Nonlinear Programming Algorithms and Decomposition Strategies for OPF. In IEEE/PES Tutorial on Optimal Power Flow; IEEE: New York, NY, USA, 1996. [Google Scholar]
- Lipowski, J.; Charalambous, C. Solution of optimal load flow problem by modified recursive quadratic-programming method. IEE Proc. Gener. Trans. Distrib. 1981, 5, 288–294. [Google Scholar] [CrossRef]
- Capitanescu, F.; Glavic, M.; Ernst, D.; Wehenkel, L. Interior-point based algorithms for the solution of optimal power flow problems. Electr. Power Syst. Res. 2007, 77, 508–517. [Google Scholar] [CrossRef]
- Sun, D.I.; Ashley, B.; Brewer, B.; Hughes, A.; Tinney, W.F. Optimal power flow by Newton approach. IEEE Trans. Power Appar. Syst. 1984, PAS-103, 2864–2880. [Google Scholar] [CrossRef]
- Bakirtzis, A.G.; Biskas, P.N.; Zoumas, C.E.; Petridis, V. Optimal power flow by enhanced genetic algorithm. IEEE Trans. Power Syst. 2002, 17, 229–236. [Google Scholar] [CrossRef]
- Devaraj, D.; Yegnanarayana, B. Genetic-algorithm-based optimal power flow for security enhancement. IEEE Proc. Gener. Trans. Distrib. 2005, 152, 899–905. [Google Scholar] [CrossRef]
- Sood, Y.R. Evolutionary programming based optimal power flow and its validation for deregulated power system analysis. Int. J. Electr. Power Energy Syst. 2007, 29, 65–75. [Google Scholar] [CrossRef]
- Abido, M. Optimal power flow using particle swarm optimization. Int. J. Electr. Power Energy Syst. 2002, 24, 563–571. [Google Scholar] [CrossRef]
- Mo, N.; Zou, Z.; Chan, K.; Pong, T. Transient stability constrained optimal power flow using particle swarm optimization. IET Gener. Trans. Distrib. 2007, 1, 476–483. [Google Scholar] [CrossRef]
- Jeon, Y.J.; Kim, J.C. Application of simulated annealing and tabu search for loss minimization in distribution systems. Int. J. Electr. Power Energy Syst. 2004, 26, 9–18. [Google Scholar] [CrossRef]
- El Ela, A.A.; Abido, M.; Spea, S. Optimal power flow using differential evolution algorithm. Electr. Power Syst. Res. 2010, 80, 878–885. [Google Scholar] [CrossRef]
- Niknam, T.; Narimani, M.; Jabbari, M.; Malekpour, A.R. A modified shuffle frog leaping algorithm for multi-objective optimal power flow. Energy 2011, 36, 6420–6432. [Google Scholar] [CrossRef]
- Frank, S.; Steponavice, I.; Rebennack, S. Optimal power flow: A bibliographic survey I. Energy Syst. 2012, 3, 221–258. [Google Scholar] [CrossRef]
- Roy, P.; Chakrabarti, A. Modified shuffled frog leaping algorithm with genetic algorithm crossover for solving economic load dispatch problem with valve-point effect. Appl. Soft Comput. 2013, 13, 4244–4252. [Google Scholar] [CrossRef]
- Liu, S.; Hou, Z.; Wang, M. A Hybrid Algorithm for Optimal Power Flow Using the Chaos Optimization and the Linear Interior Point Algorithm. In Proceedings of the PowerCon 2002 International Conference on Power System Technology, Kunming, China, 13–17 October 2002; pp. 793–797. [Google Scholar]
- Saini, A.; Chaturvedi, D.K.; Saxena, A. Optimal power flow solution: A GA-fuzzy system approach. Int. J. Electr. Power Energy Syst. 2006, 5. [Google Scholar] [CrossRef]
- Kumar, S.; Chaturvedi, D. Optimal power flow solution using fuzzy evolutionary and swarm optimization. Int. J. Electr. Power Energy Syst. 2013, 47, 416–423. [Google Scholar] [CrossRef]
- Rajaram, R.; Kumar, K.S.; Rajasekar, N. Power system reconfiguration in a radial distribution network for reducing losses and to improve voltage profile using modified plant growth simulation algorithm with Distributed Generation (DG). Energy Rep. 2015, 1, 116–122. [Google Scholar] [CrossRef]
- Arya, L.; Koshti, A.; Choube, S. Distributed generation planning using differential evolution accounting voltage stability consideration. Int. J. Electr. Power Energy Syst. 2012, 42, 196–207. [Google Scholar] [CrossRef]
- Guerriche, K.R.; Bouktir, T. Optimal allocation and sizing of distributed generation with particle swarm optimization algorithm for loss reduction. Rev. Sci. Technol. 2015, 6, 59–69. [Google Scholar]
- Rao, R.S.; Ravindra, K.; Satish, K.; Narasimham, S. Power loss minimization in distribution system using network reconfiguration in the presence of distributed generation. IEEE Trans. Power Syst. 2013, 28, 317–325. [Google Scholar] [CrossRef]
- Kowsalya, M. Optimal size and siting of multiple distributed generators in distribution system using bacterial foraging optimization. Swarm Evol. Comput. 2014, 15, 58–65. [Google Scholar]
- Eltamaly, A.; Mohamed, M.; Abdulrahman, A. A novel smart grid theory for optimal sizing of hybrid renewable energy systems. Sol. Energy 2016, 124, 26–38. [Google Scholar] [CrossRef]
- Eltamaly, A.; Addoweesh, K.; Bawa, U.; Mohamed, A. Economic modeling of hybrid renewable energy system: A case study in Saudi Arabia. Arab. J. Sci. Eng. 2014, 39, 3827–3839. [Google Scholar] [CrossRef]
- Mohamed, A.; Eltamaly, A.; Alolah, I. Swarm intelligence-based optimization of grid-dependent hybrid renewable energy systems. Renew. Sustain. Energy Rev. 2017, 77, 515–524. [Google Scholar] [CrossRef]
- Eltamaly, A.; Mohamed, A. A novel design and optimization software for autonomous PV/wind/battery hybrid power systems. Math. Probl. Eng. 2014, 2014, 637174. [Google Scholar] [CrossRef]
- Mohamed, A.; Eltamaly, A.; Alolah, I. Sizing and techno-economic analysis of stand-alone hybrid photovoltaic/wind/diesel/battery power generation systems. J. Renew. Sustain. Energy 2015, 7, 063128. [Google Scholar] [CrossRef]
- Žilinskas, A.; Zhigljavsky, A. Stochastic global optimization: A review on the occasion of 25 Years of informatica. Informatica 2016, 27, 229–256. [Google Scholar] [CrossRef]
- Žilinskas, A.; Žilinskas, J. A hybrid global optimization algorithm for non-linear least squares regression. J. Glob. Optim. 2013, 56, 265–277. [Google Scholar] [CrossRef]
- Kennedy, J.; Kennedy, F.; Eberhart, C.; Shi, Y. Swarm Intelligence; Morgan Kaufmann Publishers Inc.: San Francisco, CA, USA, 2001. [Google Scholar]
- Settles, M. An Introduction to Particle Swarm Optimization; Department of Computer Science, University of Idaho: Moscow, ID, USA, 2005; pp. 1–8. [Google Scholar]
- Elbeltagi, E.; Hegazy, T.; Grierson, D. Comparison among five evolutionary-based optimization algorithms. Adv. Eng. Inf. 2005, 19, 43–53. [Google Scholar] [CrossRef]
- Qiu, Z.; Deconinck, G.; Belmans, R. A Literature Survey of Optimal Power Flow Problems in the Electricity Market Context. In Proceedings of the 2009 PSCE ’09 IEEE/PES Power Systems Conference and Exposition, Seattle, WA, USA, 15–18 March 2009; pp. 1845–1850. [Google Scholar]
- Soliman, S.; Mantawy, A. Modern Optimization Techniques with Applications in Electric Power Systems; Springer Science & Business Media: Berlin, Germany, 2011. [Google Scholar]
- Wagner, F. Renewables in Future Power Systems; Springer: Berlin, Germany, 2014. [Google Scholar]
- Jarass, L.; Obermair, G.M.; Voigt, W. Windenergie: Zuverlässige Integration in die Energieversorgung; Springer-Verlag: Berlin, Germany, 2009. [Google Scholar]
- 30-Bus Power Flow Test Case. Available online: https://www2.ee.washington.edu/research/pstca/pf30/pg_tca30bus.htm (accessed on 17 July 2017).
- Asano, H.; Yajima, K.; Kaya, Y. Influence of photovoltaic power generation on required capacity for load frequency control. IEEE Trans. Energy Convers. 1996, 11, 188–193. [Google Scholar] [CrossRef]
- Bebic, J. Power System Planning: Emerging Practices Suitable for Evaluating the Impact of High-Penetration Photovoltaics; National Renewable Energy Laboratory: Golden, CO, USA, 2008. [Google Scholar]
- Doyle, C.; Loomans, L.; Truitt, A.; Lockhart, R.; Golden, M.; Dabbagh, K.; Lawrence, R. Solar Access to Public Capital (SAPC) Working Group: Best Practices in Commercial and Industrial (C&I) Solar Photovoltaic System Installation; Period of Performance. November 28, 2014–September 1, 2015; NREL (National Renewable Energy Laboratory (NREL): Golden, CO, USA, 2015. [Google Scholar]
- Masebinu, S.; Akinlabi, E.; Muzenda, E.; Aboyade, A. Renewable Energy: Deployment and the Roles of Energy Storage. In Proceedings of the World Congress on Engineering, London, UK, 29 June–1 July 2016. [Google Scholar]











| Method | Project Gradient | Tabu Search | GA | RGA | GA OPF | GAF OPF | Proposed Model |
|---|---|---|---|---|---|---|---|
| Total cost ($/h) | 813.74 | 802.29 | 805.94 | 804.02 | 802.38 | 802.0003 | 801.8 |
© 2017 by the authors. Licensee MDPI, Basel, Switzerland. This article is an open access article distributed under the terms and conditions of the Creative Commons Attribution (CC BY) license (http://creativecommons.org/licenses/by/4.0/).
Share and Cite
Khaled, U.; Eltamaly, A.M.; Beroual, A. Optimal Power Flow Using Particle Swarm Optimization of Renewable Hybrid Distributed Generation. Energies 2017, 10, 1013. https://doi.org/10.3390/en10071013
Khaled U, Eltamaly AM, Beroual A. Optimal Power Flow Using Particle Swarm Optimization of Renewable Hybrid Distributed Generation. Energies. 2017; 10(7):1013. https://doi.org/10.3390/en10071013
Chicago/Turabian StyleKhaled, Usama, Ali M. Eltamaly, and Abderrahmane Beroual. 2017. "Optimal Power Flow Using Particle Swarm Optimization of Renewable Hybrid Distributed Generation" Energies 10, no. 7: 1013. https://doi.org/10.3390/en10071013
APA StyleKhaled, U., Eltamaly, A. M., & Beroual, A. (2017). Optimal Power Flow Using Particle Swarm Optimization of Renewable Hybrid Distributed Generation. Energies, 10(7), 1013. https://doi.org/10.3390/en10071013

