Effects of Different Film Types on Cotton Growth and Yield under Drip Irrigation
Abstract
1. Introduction
2. Materials and Methods
2.1. Experimental Site
2.2. Experimental Materials
2.3. Experimental Design
2.4. Experimental Method
2.4.1. Soil Water Content and Soil Temperature
2.4.2. Root Length Density and Root Weight Density
2.4.3. Photosynthetic Properties
2.4.4. Yield and Water Use
2.5. Data Analysis
3. Results
3.1. Soil Hydrothermal Environment
3.1.1. Soil Water Content
3.1.2. Soil Temperature
3.2. Cotton Growth
3.2.1. Plant Height
3.2.2. Leaf Area
3.2.3. Root Length Density and Root Weight Density
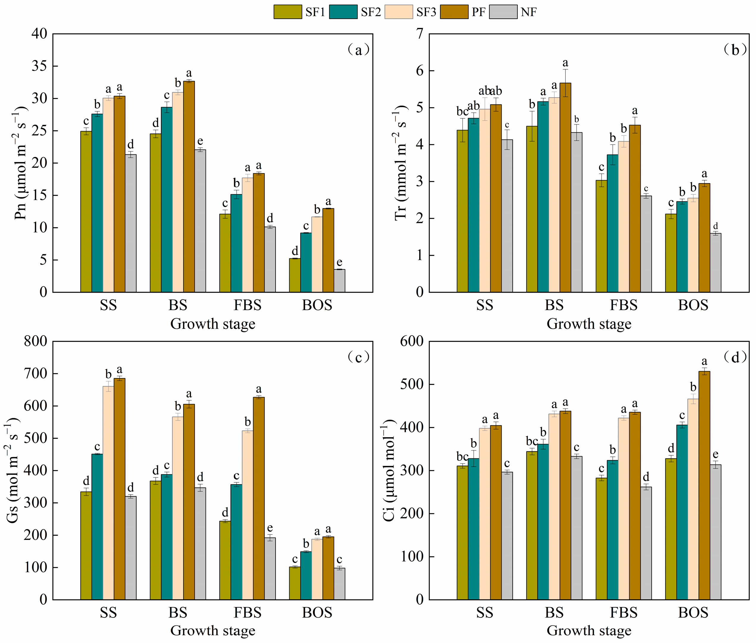
3.3. Photosynthetic Properties
3.4. Seed Cotton Yield and Water Use
3.5. The Relationship between Seed Cotton Yield and Growth Indicators
4. Discussion
5. Conclusions
Supplementary Materials
Author Contributions
Funding
Data Availability Statement
Conflicts of Interest
References
- McKenzie, F.C.; Williams, J. Sustainable food production: Constraints, challenges and choices by 2050. Food Secur. 2015, 7, 221–233. [Google Scholar] [CrossRef]
- Yunusa, I.A.M.; Zerihun, A.; Gibberd, M.R. Analysis of the nexus between population, water resources and Global Food Security highlights significance of governance and research investments and policy priorities. J. Sci. Food Agric. 2018, 98, 5764–5775. [Google Scholar] [CrossRef] [PubMed]
- Chan, E.; Griffiths, S. The implication of water on public health: The case of China. Perspect. Public Health 2010, 130, 209–210. [Google Scholar] [CrossRef] [PubMed]
- Liu, J.; Yang, W. Water sustainability for China and beyond. Science 2012, 337, 649–650. [Google Scholar] [CrossRef] [PubMed]
- Liu, J.; Jin, J.M.; Niu, G.Y. Effects of irrigation on seasonal and annual temperature and precipitation over China simulated by the WRF model. J. Geophys. Res. Atmos. 2021, 126, e2020JD034222. [Google Scholar] [CrossRef]
- Zhang, Q.; Singh, V.P.; Li, J.; Jiang, F.; Bai, Y. Spatio-temporal variations of precipitation extremes in Xinjiang, China. J. Hydrol. 2012, 434, 7–18. [Google Scholar] [CrossRef]
- Zhang, Q.; Li, J.; Singh, V.P.; Bai, Y. SPI-based evaluation of drought events in Xinjiang, China. Nat. Hazards 2012, 64, 481–492. [Google Scholar] [CrossRef]
- Han, S.; Yang, Z. Cooling effect of agricultural irrigation over Xinjiang, Northwest China from 1959 to 2006. Environ. Res. Lett. 2013, 8, 024039. [Google Scholar] [CrossRef]
- Ali, M.H.; Talukder, M.S.U. Increasing water productivity in crop production-A synthesis. Agric. Water Manag. 2008, 95, 1201–1213. [Google Scholar] [CrossRef]
- Camp, C.R. Subsurface drip irrigation: A review. Trans. ASAE 1998, 41, 1353–1367. [Google Scholar] [CrossRef]
- Lian, Z.; Gu, X.; Liu, L.; Zhao, X. Diffuse phthalate acid esters losses induced from large amount of agricultural plastic film residues caused low risks for water quality in China during 1991–2017. J. Hazard. Mater. 2022, 431, 128644. [Google Scholar] [CrossRef] [PubMed]
- Zhang, D.; Liu, H.; Hu, W.; Qin, X.; Ma, X.; Yan, C.; Wang, H. The status and distribution characteristics of residual mulching film in Xinjiang, China. J. Integr. Agric. 2016, 15, 2639–2646. [Google Scholar] [CrossRef]
- Gao, H.; Yan, C.; Liu, Q.; Ding, W.; Chen, B.; Li, Z. Effects of plasticmulching and plastic residue on agricultural production: A meta-analysis. Sci. Total Environ. 2019, 651, 484–492. [Google Scholar] [CrossRef] [PubMed]
- Dong, H.; Liu, T.; Han, Z.; Sun, Q.; Li, R. Determining time limits of continuous film mulching and examining residual effects on cotton yield and soil properties. J. Environ. Biol. 2015, 36, 677–684. [Google Scholar]
- Qian, H.; Zhang, M.; Liu, G.; Lu, T.; Qu, Q.; Du, B.; Pan, X. Effects of soil residual plastic film on soil microbial community structure and fertility. Water Air Soil Pollut. 2018, 229, 261. [Google Scholar] [CrossRef]
- Hu, C.; Wang, X.; Wang, S.; Lu, B.; Guo, W.; Liu, C.; Tang, X. Impact of agricultural residual plastic film on the growth and yield of drip-irrigated cotton in arid region of Xinjiang, China. Int. J. Agric. Biol. Eng. 2020, 13, 160–169. [Google Scholar] [CrossRef]
- Li, Y.; Zhao, C.; Yan, C.; Mao, L.; Liu, Q.; Li, Z.; He, W. Effects of agricultural plastic film residues on transportation and distribution of water and nitrate in soil. Chemosphere 2020, 242, 125131. [Google Scholar] [CrossRef]
- Wang, X.; Qiao, D.; Chen, Y.; Zou, G.; Liu, B.; Zhang, J.; Liu, B. Effects of long-term film mulching on the characteristics of soil residual film in topsoil layer of maize planted in northern China. Fresenius Environ. Bull. 2022, 31, 2881–2888. [Google Scholar]
- Zhao, Q. Analysis and countermeasure of plastic film mulching to Soil pollution. In Proceedings of the 6th International Conference on Mechatronics, Materials, Biotechnology and Environment (ICMMBE), Yinchuan, China, 13–14 August 2016. [Google Scholar]
- Lakhiar, I.A.; Yan, H.; Zhang, J.; Wang, G.; Deng, S.; Bao, R.; Zhang, C.; Syed, T.N.; Wang, B.; Zhou, R.; et al. Plastic Pollution in Agriculture as a Threat to Food Security, the Ecosystem, and the Environment: An Overview. Agronomy 2024, 14, 548. [Google Scholar] [CrossRef]
- Serrano-Ruiz, H.; Martin-Closas, L.; Pelacho, A.M. Biodegradable plastic mulches: Impact on the agricultural biotic environment. Sci. Total Environ. 2021, 750, 141228. [Google Scholar] [CrossRef]
- Kasirajan, S.; Ngouajio, M. Polyethylene and biodegradable mulches for agricultural applications: A review. Agron. Sustain. Dev. 2012, 32, 501–529. [Google Scholar] [CrossRef]
- Adhikari, R.; Bristow, K.L.; Casey, P.S.; Freischmidt, G.; Hornbuckle, J.W.; Adhikari, B. Preformed and sprayable polymeric mulch film to improve agricultural water use efficiency. Agric. Water Manag. 2016, 169, 1–13. [Google Scholar] [CrossRef]
- Su, J.; Ning, X.; Lin, H.; Deng, F.; Li, J.; Liu, P.; Li, L.; Feng, X. Effects of uncovering plastic film on soil temperature of cotton cropland, cotton yield and environment protection. Acta Agric. Boreali-Occident. Sin. 2011, 20, 90–94. [Google Scholar] [CrossRef]
- Adhikari, R.; Mingtarja, H.; Freischmidt, G.; Bristow, K.L.; Casey, P.S.; Johnston, P.; Sangwan, P. Effect of viscosity modifiers on soil wicking and physico-mechanical properties of a polyurethane based sprayable biodegradable polymer membrane. Agric. Water Manag. 2019, 222, 346–353. [Google Scholar] [CrossRef]
- Braunack, M.V.; Zaja, A.; Tam, K.; Filipovic, L.; Filipovic, V.; Wang, Y.; Bristow, K.L. A Sprayable Biodegradable Polymer Membrane (SBPM) technology: Effect of band width and application rate on water conservation and seedling emergence. Agric. Water Manag. 2020, 230, 105900. [Google Scholar] [CrossRef]
- Braunack, M.V.; Filipovic, V.; Adhikari, R.; Freischmidt, G.; Johnston, P.; Casey, P.S.; Wang, Y.; Simunek, J.; Filipovic, L.; Bristow, K.L. Evaluation of a sprayable biodegradable polymer membrane (SBPM) technology for soil water conservation in tomato and watermelon production systems. Agric. Water Manag. 2021, 243, 106446. [Google Scholar] [CrossRef]
- Borrowman, C.K.; Johnston, P.; Adhikari, R.; Saito, K.; Patti, A.F. Environmental degradation and efficacy of a sprayable, biodegradable polymeric mulch. Polym. Degrad. Stab. 2020, 175, 109126. [Google Scholar] [CrossRef]
- Braunack, M.V.; Adhikari, R.; Freischmidt, G.; Johnston, P.; Casey, P.S.; Wang, Y.; Bristow, K.L.; Filipovic, L.; Filipovic, V. Initial experimental experience with a sprayable biodegradable polymer membrane (SBPM) technology in cotton. Agronomy 2020, 10, 584. [Google Scholar] [CrossRef]
- Zong, R.; Wang, Z.; Zhang, J.; Li, W. The response of photosynthetic capacity and yield of cotton to various mulching practices under drip irrigation in Northwest China. Agric. Water Manag. 2021, 249, 106814. [Google Scholar] [CrossRef]
- Chen, J.; Li, F.; Wang, C.; Sun, Y. Prediction of agricultural plastic agricultural plastic film use based on combined prediction model. In Proceedings of the 5th International Conference on Advances in Energy, Environment and Chemical Engineering (AEECE), Shanghai, China, 16–18 August 2019. [Google Scholar]
- Li, W.; Chen, Y.; Zhang, S. Hydrolysis of abandoned bovine hair by pulping spent liquor and preparation of degradable keratin-based sprayable mulch film. Bioresources 2020, 15, 5058–5071. [Google Scholar] [CrossRef]
- Chen, W.; Jin, M.; Ferre, T.P.A.; Liu, Y.; Huang, J.; Xian, Y. Soil conditions affect cotton root distribution and cotton yield under mulched drip irrigation. Field Crops Res. 2020, 249, 107743. [Google Scholar] [CrossRef]
- Min, W.; Guo, H.; Zhou, G.; Zhang, W.; Ma, L.; Ye, J.; Hou, Z. Root distribution and growth of cotton as affected by drip irrigation with saline water. Field Crops Res. 2014, 169, 1–10. [Google Scholar] [CrossRef]
- Zhang, X.; Chen, S.; Sun, H.; Wang, Y.; Shao, L. Root size, distribution and soil water depletion as affected by cultivars and environmental factors. Field Crops Res. 2009, 114, 75–83. [Google Scholar] [CrossRef]
- Zhang, X.; Zhang, X.; Liu, X.; Shao, L.; Sun, H.; Chen, S. Incorporating root distribution factor to evaluate soil water status for winter wheat. Agric. Water Manag. 2015, 153, 32–41. [Google Scholar] [CrossRef]
- Anifantis, A.; Canzio, G.; Cristiano, G.; De Lucia, B.; Russo, G.; Vecchietti, L.; Immirzi, B.; Malinconico, M.; Santagata, G. Influence of the use of drip irrigation systems and different mulching materials on ornamental sunflowers in greenhouse cultivation. In Proceedings of the International Symposium on Advanced Technologies and Management towards Sustainable Greenhouse Ecosystems—Greensys, Athens, Greece, 1 June 2012. [Google Scholar]
- Kutemeyer, C.; Froeck, M.; Werlein, H.D.; Watkinson, B.M. The influence of salts and temperature on enzymatic activity of microbial transglutaminase. Food Control 2005, 16, 735–737. [Google Scholar] [CrossRef]
- Santana, M.M.; Gonzalez, J.M. High temperature microbial activity in upper soil layers. FEMS Microbiol. Lett. 2015, 362, fnv182. [Google Scholar] [CrossRef] [PubMed]
- Kleemola, J.; Teittinen, M.; Karvonen, T. Modelling crop growth and biomass partitioning to shoots and roots in relation to nitrogen and water availability, using a maximization principle. II. Simulation of crop nitrogen balance. Eur. J. Agron. 1998, 8, 191–204. [Google Scholar] [CrossRef]
- Mishra, A.; Salokhe, V.M. Rice root growth and physiological responses to SRI water management and implications for crop productivity. Paddy Water Environ. 2011, 9, 41–52. [Google Scholar] [CrossRef]
- Zhang, Z.; Dong, X.; Wang, S.; Pu, X. Benefits of organic manure combined with biochar amendments to cotton root growth and yield under continuous cropping systems in Xinjiang, China. Sci. Rep. 2020, 10, 4718. [Google Scholar] [CrossRef]
- Fort, S.B.; Shaw, D.V. Genetic analysis of strawberry root system traits in fumigated and nonfumigated soils II. Relationships among root system and above-ground traits of strawberry seedlings. J. Am. Soc. Hortic. Sci. 2000, 125, 324–329. [Google Scholar] [CrossRef]
- Kristensen, H.L.; Thorup-Kristensen, K. Root growth and nitrate uptake of three different catch crops in deep soil layers. Soil Sci. Soc. Am. J. 2004, 68, 529–537. [Google Scholar] [CrossRef]
- Osaki, M.; Shinano, T.; Matsumoto, M.; Ushiki, J.; Shinano, M.M.; Urayama, M.; Tadano, T. Productivity of high-yielding crops. 5. root-growth and specific absorption rate of nitrogen. Soil Sci. Plant Nutr. 1995, 41, 635–647. [Google Scholar] [CrossRef]
- Song, G.C.; Sim, H.-J.; Kim, S.-G.; Ryu, C.-M. Root-mediated signal transmission of systemic acquired resistance against above-ground and below-ground pathogens. Ann. Bot. 2016, 118, 821–831. [Google Scholar] [CrossRef]
- Yang, H.; Han, J.; He, D.; Liu, H. Study on high-yielding mechanism of liquid film mulching on cotton. Sci. Agric. Sin. 2008, 41, 2520–2527. [Google Scholar]
- Wang, F.; Wang, Z.; Zhang, J.; Li, W. Combined Effect of Different Amounts of Irrigation and Mulch Films on Physiological Indexes and Yield of Drip-Irrigated Maize (Zea mays L.). Water 2019, 11, 472. [Google Scholar] [CrossRef]
- Stage, F.K.; Carter, H.C.; Nora, A. Path analysis: An introduction and analysis of a decade of research. J. Educ. Res. 2004, 98, 5–12. [Google Scholar] [CrossRef]
- Liu, L.; Zhang, R.; Zuo, Z. The Relationship between Soil Moisture and LAI in Different Types of Soil in Central Eastern China. J. Hydrometeorol. 2016, 17, 2733–2742. [Google Scholar] [CrossRef]
- Zhang, X.; Yang, L.; Xue, X.; Kamran, M.; Ahmad, I.; Dong, Z.; Liu, T.; Jia, Z.; Zhang, P.; Han, Q. Plastic film mulching stimulates soil wet-dry alternation and stomatal behavior to improve maize yield and resource use efficiency in a semi-arid region. Field Crops Res. 2019, 233, 101–113. [Google Scholar] [CrossRef]
- Yang, H.; He, D.; Liu, H. Effect of liquid film mulching on cotton yield and soil environment. Trans. Chin. Soc. Agric. Eng. 2005, 21, 133–136. [Google Scholar]







| Treatments | Day after Sowing (d) | |||||
|---|---|---|---|---|---|---|
| 3 | 5 | 12 | 19 | 28 | 35 | |
| SF1 | 34.1 ± 0.3 c | 29.2 ± 0.4 c | 30.3 ± 0.2 d | 29.7 ± 0.6 bc | 28.3 ± 0.3 d | 21.2 ± 0.4 d |
| SF2 | 34.7 ± 0.4 c | 30.1 ± 0.5 b | 31.2 ± 0.4 c | 30.0 ± 0.4 bc | 29.2 ± 0.5 c | 22.0 ± 0.4 c |
| SF3 | 35.5 ± 0.5 b | 30.3 ± 0.2 b | 33.5 ± 0.4 b | 30.5 ± 0.5 b | 30.5 ± 0.4 b | 23.1 ± 0.4 b |
| PF | 36.6 ± 0.4 a | 31.5 ± 0.4 a | 35.5 ± 0.4 a | 31.5 ± 0.3 a | 31.9 ± 0.3 a | 24.8 ± 0.4 a |
| NF | 32.2 ± 0.4 d | 28.4 ± 0.3 d | 28.7 ± 0.5 e | 29.5 ± 0.5 c | 27.9 ± 0.6 d | 20.8 ± 0.2 d |
| Treatments | Yield (kg ha−1) | ET (mm) | WUE (kg m−3) |
|---|---|---|---|
| SF1 | 4980 c | 425.64 bc | 1.17 c |
| SF2 | 5196 b | 436.64 b | 1.19 bc |
| SF3 | 5317 a | 425.36 bc | 1.25 ab |
| PF | 5345 a | 417.58 c | 1.28 a |
| NF | 4648 d | 484.17 a | 0.96 d |
| Indicators | Linear Fitting | Pearson Correlation | R2 |
|---|---|---|---|
| Leaf area (X3) | y = 3.07X3 + 521.88 | 0.979 | 0.98 |
| Plant height (X4) | y = 0.070X4 + 30.90 | 0.848 | 0.72 |
| Yield (X5) | y = 6.13X5 + 4138.47 | 0.879 | 0.77 |
| Independent Variable | Simple Correlation Coefficient | Direct Path Coefficient | Indirect Path Coefficient | ||||
|---|---|---|---|---|---|---|---|
| X1 | X2 | X3 | X4 | Total | |||
| Root length density (X1) | 0.974 | 0.190 | — | −0.278 | 1.053 | 0.007 | 0.784 |
| Root weight density (X2) | 0.964 | −0.279 | 0.189 | — | 1.047 | 0.007 | 1.243 |
| Leaf area (X3) | 1.913 | 1.060 | 0.189 | −0.275 | — | 0.939 | 0.853 |
| Plant height (X4) | −0.058 | 0.009 | 0.161 | −0.236 | 0.008 | — | −0.067 |
Disclaimer/Publisher’s Note: The statements, opinions and data contained in all publications are solely those of the individual author(s) and contributor(s) and not of MDPI and/or the editor(s). MDPI and/or the editor(s) disclaim responsibility for any injury to people or property resulting from any ideas, methods, instructions or products referred to in the content. |
© 2024 by the authors. Licensee MDPI, Basel, Switzerland. This article is an open access article distributed under the terms and conditions of the Creative Commons Attribution (CC BY) license (https://creativecommons.org/licenses/by/4.0/).
Share and Cite
Ma, Z.; Liu, J.; Wen, Y.; Li, W.; Zhu, Y.; Song, L.; Li, Y.; Liang, Y.; Wang, Z. Effects of Different Film Types on Cotton Growth and Yield under Drip Irrigation. Sustainability 2024, 16, 4173. https://doi.org/10.3390/su16104173
Ma Z, Liu J, Wen Y, Li W, Zhu Y, Song L, Li Y, Liang Y, Wang Z. Effects of Different Film Types on Cotton Growth and Yield under Drip Irrigation. Sustainability. 2024; 16(10):4173. https://doi.org/10.3390/su16104173
Chicago/Turabian StyleMa, Zhanli, Jian Liu, Yue Wen, Wenhao Li, Yan Zhu, Libing Song, Yunguang Li, Yonghui Liang, and Zhenhua Wang. 2024. "Effects of Different Film Types on Cotton Growth and Yield under Drip Irrigation" Sustainability 16, no. 10: 4173. https://doi.org/10.3390/su16104173
APA StyleMa, Z., Liu, J., Wen, Y., Li, W., Zhu, Y., Song, L., Li, Y., Liang, Y., & Wang, Z. (2024). Effects of Different Film Types on Cotton Growth and Yield under Drip Irrigation. Sustainability, 16(10), 4173. https://doi.org/10.3390/su16104173

