Sign in to use this feature.

Years

Between: -

Subjects

remove_circle_outline
remove_circle_outline
remove_circle_outline
remove_circle_outline
remove_circle_outline
remove_circle_outline
remove_circle_outline
remove_circle_outline
remove_circle_outline

Journals

remove_circle_outline
remove_circle_outline
remove_circle_outline
remove_circle_outline

Article Types

Countries / Regions

remove_circle_outline
remove_circle_outline
remove_circle_outline
remove_circle_outline

Search Results (251)

Search Parameters:
Keywords = well inclination angle

Order results
Result details
Results per page
Select all
Export citation of selected articles as:
20 pages, 4218 KB  
Article
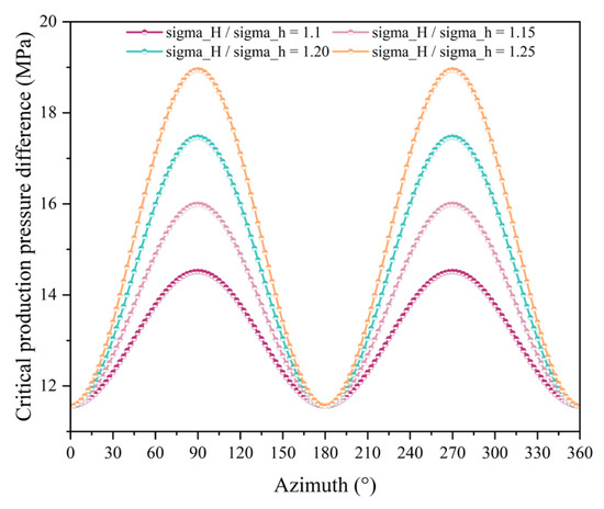
A New Predictive Model for Open-Hole Wellbore Stability During the Production Phase of Ultra-Deep Extended-Reach Wells Based on Critical Production Pressure Difference Constraints
by Junrui Ge, Gengchen Li, Yanfei Li, Bin Cai, Xuyue Chen, Jin Yang, Tianwei Chen and Jun Zeng
Processes 2025, 13(10), 3373; https://doi.org/10.3390/pr13103373 - 21 Oct 2025
Viewed by 217
Abstract
This study investigates wellbore stability in ultra-deep extended-reach wells (ERWs) in the East China Sea, where perforated pipes (a type of screen completion) are commonly used to support wellbore walls and prevent collapse. Cost constraints sometimes lead to the omission of this support, [...] Read more.
This study investigates wellbore stability in ultra-deep extended-reach wells (ERWs) in the East China Sea, where perforated pipes (a type of screen completion) are commonly used to support wellbore walls and prevent collapse. Cost constraints sometimes lead to the omission of this support, yet significant wellbore collapse is rarely observed. The instability is primarily attributed to variations in production pressure differences. A predictive model for critical pressure difference was developed based on immersion experiments and single-triaxial rock mechanics tests. The results from immersion tests revealed that, in water-bearing strata, the critical pressure difference decreased significantly, drop-ping by 20.07% after two days of rock core immersion and by 28.35% after seven days. Key factors influencing this difference, such as well inclination, rock cohesion, internal friction angle, Poisson’s ratio, and Biot coefficient, were identified. As production continues, pore pressure depletion reduces this difference, particularly when pore pressure falls below 23.5 MPa, leading to wellbore instability. On-site validation in three ultra-deep ERWs showed that the model’s predictions aligned well with actual conditions, with a confidence interval analysis further validating the model’s accuracy. The proposed model provides valuable guidance for future ultra-deep well development in the East China Sea. Full article
(This article belongs to the Section Energy Systems)
Show Figures

Figure 1

14 pages, 1480 KB  
Article
Evaluation of MRI-Based Measurements for Patellar Dislocation: Reliability and Reproducibility
by Ivan Brumini, Tamara Pranjkovic and Danijela Veljkovic Vujaklija
Diagnostics 2025, 15(20), 2647; https://doi.org/10.3390/diagnostics15202647 - 20 Oct 2025
Viewed by 422
Abstract
Background/Objectives: The aim of our study was to identify the most reliable MRI measurements associated with patellar dislocation. Methods: MRI scans from 86 knees (48 controls and 38 with a history of patellar dislocation) were retrospectively analyzed. The following parameters were measured: lateral [...] Read more.
Background/Objectives: The aim of our study was to identify the most reliable MRI measurements associated with patellar dislocation. Methods: MRI scans from 86 knees (48 controls and 38 with a history of patellar dislocation) were retrospectively analyzed. The following parameters were measured: lateral trochlear inclination (LTI) and its modified version, sulcus angle (SA), trochlear depth (TD), tibial tubercle–trochlear groove distance (TT–TG), patellar tendon–lateral trochlear ridge distance (PT–LTR), and PT–LTR horizontal, a novel modification. Inter-rater reliability was assessed using intraclass correlation coefficients (ICCs), and diagnostic accuracy was evaluated using ROC analysis. Results: All measurements significantly differed between the groups (p < 0.05). SA and TD were highly discriminative (AUC > 0.8) but demonstrated lower inter-rater agreement. PT-LTR horizontal strongly correlated with PT-LTR and was equally sensitive and specific for patellar dislocation as PT-LTR (81.6% and 87.5%, respectively) when in line or extending more laterally than the lateral trochlear ridge (AUC = 0.896, p < 0.001). LTI demonstrated the highest diagnostic performance with a sensitivity of 89.5% and a specificity of 97.9% for a cut-off ≤12.85° (AUC = 0.981), with excellent inter-rater agreement. LTI modified also performed well (AUC = 0.937), with a sensitivity and specificity of 81.6% and 93.7%, respectively. Conclusions: LTI, PT–LTR, and their modified versions demonstrated the highest reliability and diagnostic performance among the MRI measurements evaluated. Given their reproducibility and ease of application, these parameters may be useful in the imaging assessment of patellar dislocation. Further prospective studies are recommended to confirm their clinical utility in broader populations. Full article
Show Figures

Figure 1

21 pages, 1953 KB  
Article
Pressure Force in the Upper Ankle Joint
by Jacek Marek Dygut and Monika Weronika Piwowar
Appl. Sci. 2025, 15(20), 11230; https://doi.org/10.3390/app152011230 - 20 Oct 2025
Viewed by 291
Abstract
Background: This paper concerns the study of forces acting on the upper ankle joint of a human in static and quasi-dynamic positions. This paper aimed to determine the pressure forces on the axis of the upper ankle joint in the position of the [...] Read more.
Background: This paper concerns the study of forces acting on the upper ankle joint of a human in static and quasi-dynamic positions. This paper aimed to determine the pressure forces on the axis of the upper ankle joint in the position of the body tilting forward and backward, as well as in a neutral position. Methods: A model with designated centres of gravity (including and excluding the weight of the platform imitating the foot) and the point of gravity imitating the proximal insertion of the triceps surae and tibialis anterior muscles was developed for this study. The forces and the weight of the tilted object were measured using dynamometers. A method for determining the arms of gravitational forces and the angle of inclination of an object is presented. The function describing the distribution of gravitational loading along its tilting part was described. Next, all measurements and calculations were referred to the human body. Results: Measurements of muscle force, body gravity, the arms of these forces, and the angles of the object’s inclination on the axis of rotation are presented. A methodology for determining the pressure force on the human upper ankle joint axis is presented. The distribution of the value of the pressure force and its components from the maximal forward, through the vertical body position, up to the maximal backward position of the body tilt, is provided. Conclusions: The ankle joint pressure force is the vector sum of the force of gravity and the force of the muscle counteracting the body tilt. This force is the smallest in the vertical body position and increases with the body tilt. It reaches 5.23 times the weight of the tilting part of the body when the body is tilted to its maximum forward position, and 3.57 times the weight when the body tilts backward. Regardless of the direction of the body tilt, the joint pressure vector always runs through the axis of the upper ankle joint. Full article
Show Figures

Figure 1

30 pages, 14674 KB  
Article
Modulation of Typical Three-Dimensional Targets on the Echo Waveform Using Analytical Formula
by Yongxiang Wang, Xinyuan Zhang, Shilong Xu, Fei Han, Yuhao Xia, Jiajie Fang and Yihua Hu
Remote Sens. 2025, 17(20), 3419; https://doi.org/10.3390/rs17203419 - 13 Oct 2025
Viewed by 267
Abstract
Despite the wide applications of full-waveform light detection and ranging (FW-LiDAR) on target detection and recognizing, topographical mapping, and ecological management, etc., the mapping between the echo waveform and the properties of the targets, even for typical three-dimensional (3D) targets, has not been [...] Read more.
Despite the wide applications of full-waveform light detection and ranging (FW-LiDAR) on target detection and recognizing, topographical mapping, and ecological management, etc., the mapping between the echo waveform and the properties of the targets, even for typical three-dimensional (3D) targets, has not been established. The mechanics of the modulation of targets on the echo waveform is thus ambiguous, constraining the retrieval of target properties in FW-LiDAR. This paper derived the formula of echo waveform modulated by typical 3D targets, namely, a rectangular prism, a regular hexagonal prism, and a cone. The modulation of shape, size, position, and attitude of 3D targets on the echo waveform has been investigated extensively. The results showed that, for prisms, variations in the echo waveforms under various factors essentially arise from changes in the inclination angles of their reflective surfaces and their positions relative to the laser spot. For cones, their echo waveforms can be approximated and analyzed using isosceles triangular micro-facets. The work in this paper is helpful in probing the modulation of 3D targets on echo waveform, as well as extracting the properties of 3D targets in FW-LiDAR domains, which are significant in areas ranging from topographical mapping to space debris monitoring. Full article
Show Figures

Figure 1

25 pages, 6701 KB  
Article
Experimental Study on Bearing Characteristics of Pile-Anchor Foundations for Floating Offshore Wind Turbines Under Inclined Loading
by Yuxuan Wang, Pingyu Liu, Bo Liu, Jiaqing Shu, Huiyuan Deng, Mingxing Zhu, Xiaojuan Li, Jie Chen and Haoran Ouyang
J. Mar. Sci. Eng. 2025, 13(10), 1890; https://doi.org/10.3390/jmse13101890 - 2 Oct 2025
Viewed by 354
Abstract
Pile-anchor foundations, serving as one of the anchoring solutions to ensure the safety and stability of floating offshore wind turbines, are primarily subjected to inclined loading induced by anchor chain forces, resulting in significantly different bearing behavior compared to conventional vertically loaded pile [...] Read more.
Pile-anchor foundations, serving as one of the anchoring solutions to ensure the safety and stability of floating offshore wind turbines, are primarily subjected to inclined loading induced by anchor chain forces, resulting in significantly different bearing behavior compared to conventional vertically loaded pile foundations. However, experimental research on the inclined pullout performance of anchor piles remains insufficient. To address this gap, this study employs a self-developed servo-controlled loading system to investigate the pullout bearing characteristics of anchor piles in dry and saturated sand, considering factors such as pullout angle and loading point depth. The research results show that from the load–displacement curve of the model pile, it can be found that with the increase in displacement, the load it bears first gradually increases to the peak, then decreases, and then gradually stabilizes. The loading angle has a significant impact on the bearing performance of pile-anchor foundations. As the loading angle increases, the failure mode shows pullout failure. When the loading angle increases from 30° to 60°, the bearing performance of the pile foundation decreases by approximately 63%. When the depth of the loading point increases from 0.22 times the pile length to 0.78 times the pile length, the diagonal anchor tensile bearing capacity of the model pile increases by approximately 45%. When the depth of the loading point is the same, the distribution patterns of bending moment and shear force are basically similar. However, the smaller the loading angle, the larger the value. This is because the horizontal load component plays a dominant role. The compression of the piles above and below the loading point, as well as the bending moment, shear force and axial force under saturated sand conditions, are similar to those in dry sand, but their values are reduced by about 50%. It can be seen that the soil conditions have an influence on the bearing characteristics of pile foundations. Full article
(This article belongs to the Section Coastal Engineering)
Show Figures

Figure 1

19 pages, 1850 KB  
Article
Investigating the Frost Cracking Mechanisms of Water-Saturated Fissured Rock Slopes Based on a Meshless Model
by Chunhui Guo, Feixiang Zeng, Han Shao, Wenbing Zhang, Bufan Zhang, Wei Li and Shuyang Yu
Water 2025, 17(19), 2858; https://doi.org/10.3390/w17192858 - 30 Sep 2025
Viewed by 266
Abstract
In global cold regions and seasonal frozen soil areas, frost heave failure of rock slopes severely endangers infrastructure safety, particularly along China’s Sichuan–Tibet and Qinghai–Tibet Railways. To address this, a meshless numerical model based on the smoothed particle hydrodynamics (SPH) method was developed [...] Read more.
In global cold regions and seasonal frozen soil areas, frost heave failure of rock slopes severely endangers infrastructure safety, particularly along China’s Sichuan–Tibet and Qinghai–Tibet Railways. To address this, a meshless numerical model based on the smoothed particle hydrodynamics (SPH) method was developed to simulate progressive frost heave and fracture of water-saturated fissured rock masses—its novelty lies in avoiding grid distortion and artificial crack path assumptions of FEM as well as complex parameter calibration of DEM by integrating the maximum tensile stress criterion (with a binary fracture marker for particle failure), thermodynamic phase change theory (classifying fissure water into water, ice-water mixed, and ice particles), and the equivalent thermal expansion coefficient method to quantify frost heave force. Systematic simulations of fissure parameters (inclination angle, length, number, and row number) revealed that these factors significantly shape failure modes: longer fissures and more rows shift failure from strip-like to tree-like/network-like, more fissures accelerate crack coalescence, and larger inclination angles converge stress to fissure tips. This study clarifies key mechanisms and provides a theoretical/numerical reference for cold region rock slope stability control. Full article
Show Figures

Figure 1

20 pages, 10015 KB  
Article
Simulation and Optimization of Highly Efficient Sound-Absorbing and -Insulating Materials
by Xiao Liu, Chengyuan Wu, Haopeng Wang, Wangqiang Xiao and Zhiqin Cai
Processes 2025, 13(9), 2947; https://doi.org/10.3390/pr13092947 - 16 Sep 2025
Viewed by 543
Abstract
Although crucial transport equipment in coal mining enterprises, tubular belt conveyors cause serious noise pollution. In this paper, the sound absorption and isolation performance of three kinds of highly efficient sound-absorbing and -insulating materials were studied by finite element multiphysics field software COMSOL [...] Read more.
Although crucial transport equipment in coal mining enterprises, tubular belt conveyors cause serious noise pollution. In this paper, the sound absorption and isolation performance of three kinds of highly efficient sound-absorbing and -insulating materials were studied by finite element multiphysics field software COMSOL and acoustic tests, and the structure of highly efficient sound-absorbing and -insulating materials was optimized and designed. The results show that the acoustic superstructure plate has an excellent sound insulation effect of 36 dB, and achieves an excellent sound absorption coefficient of 0.95 at 210 Hz on the acoustic simulation test. The simulated weighted sound insulation of acoustic metamaterial plate is 37 dB, and the simulated weighted sound insulation of acoustic metamaterial plate filled with particle material is 42 dB, which improves the sound insulation effect by 4~7 dB after filling with particle material, and the comprehensive absorption coefficient of the high-frequency noise of more than 800 Hz reaches 0.94, and it can effectively absorb and block the low-frequency noise as well; rock wool acoustic panels in the 500 Hz to achieve a better acoustic capacity, the absorption coefficient of 0.8 or more, but the low-frequency noise acoustic capacity is still lacking, and can not be a good solution to the full-frequency band of the acoustic problem. It can be seen that the acoustic metamaterial plate has the best sound absorption and insulation effect. At the same time, the acoustic metamaterials based on the honeycomb structure are optimized, and the sound absorption and insulation structure with the angle of 60° of the inclined plate and the length of 693 mm of the inclined plate is the optimal structure. It provides a solution to the noise pollution caused by tubular belt conveyors. Full article
Show Figures

Figure 1

15 pages, 1622 KB  
Article
Finite Element Investigation of Patellofemoral Contact Mechanics: Influence of Tibial Tuberosity Lateralisation and Trochlear Dysplasia on Extensor Mechanism Stability
by Georgian Iacobescu, Antonio-Daniel Corlatescu, Loredana Iacobescu, Bogdan Serban and Catalin Cirstoiu
Life 2025, 15(9), 1442; https://doi.org/10.3390/life15091442 - 15 Sep 2025
Viewed by 534
Abstract
Background: Patellofemoral instability arises from the interplay between trochlear morphology and malalignment of the extensor vector. Although each factor is individually well described, their combined mechanical effects have not been quantified within a single finite element framework. Objective: To investigate how lateral trochlear [...] Read more.
Background: Patellofemoral instability arises from the interplay between trochlear morphology and malalignment of the extensor vector. Although each factor is individually well described, their combined mechanical effects have not been quantified within a single finite element framework. Objective: To investigate how lateral trochlear inclination (LTI) and tibial tuberosity position interact to influence patellofemoral contact mechanics and stability across clinically relevant knee flexion angles. Methods: A subject-specific finite element model of the femur–patella–tibia complex was reconstructed from high-resolution CT data. Cortical and cancellous bone, patellar cartilage, the MPFL, and patellar tendon were included. Three trochlear morphologies were simulated (LTI = 15°, 10°, 5°) under native alignment (Case A) and after 10 mm lateral tibial tuberosity translation (Case B). Flexion at 30°, 60°, and 90° was imposed via solver-applied tibial displacement. Primary outcomes were contact pressure, contact area, MPFL stress, and lateral patellar translation. Instability was defined as >5 mm lateral translation or >50% reduction in contact area, consistent with the biomechanical literature. Model convergence (<5% variation) and validation against cadaveric pressure data were performed; a sensitivity analysis tested material property variation (±15%). Results: The native model reproduced peak pressures (3.6 MPa at 60°) within 9% of experimental benchmarks. Decreasing LTI enlarged the contact patch and lowered mean pressures (−18%) but increased MPFL stress (+37%). Tibial tuberosity lateralisation reduced mean pressures further (−25%), yet, when combined with shallow trochlear slopes (≤8°), produced >5 mm lateral patellar translation and near-complete loss of cartilage contact by 60°, simulating lateral dislocation. Sensitivity testing confirmed robustness to material property uncertainty. Conclusions: Shallow trochlear inclination dissipates articular load but destabilises the patella, an effect magnified by tibial tuberosity lateralisation. While these findings highlight thresholds at which stability may be compromised, they derive from a single-subject model and should be interpreted as hypothesis-generating rather than prescriptive. Broader validation across multiple geometries and loading conditions is required before clinical translation. Full article
Show Figures

Figure 1

25 pages, 8253 KB  
Article
Experimental and Theoretical Studies on Shear Performance of Corrugated Steel–Concrete Composite Arches Considering the Shear–Compression Ratio
by Xiangfei Xia, Tianyu Li, Bowen Chen, Jinsheng Yang, Xinhao Han, Zhan Yu, Chenyang Wei and Hongwei Zhao
Buildings 2025, 15(18), 3316; https://doi.org/10.3390/buildings15183316 - 13 Sep 2025
Viewed by 547
Abstract
Corrugated steel–concrete (CSC) composite arches, an innovative structural system with simplified construction and enhanced stiffness, are widely used in bridge and tunnel modular engineering. However, insufficient research on their shear performance limits prefabricated applications. Similarly to beams, their shear behavior is significantly affected [...] Read more.
Corrugated steel–concrete (CSC) composite arches, an innovative structural system with simplified construction and enhanced stiffness, are widely used in bridge and tunnel modular engineering. However, insufficient research on their shear performance limits prefabricated applications. Similarly to beams, their shear behavior is significantly affected by loading location. Specifically, as a parameter significantly affected by the loading location, the shear–compression ratio exerts a notable influence on the shear bearing capacity of CSC arches by altering the development pattern of cracks and the inclination angle of shear cracks. To investigate the influence mechanism of the loading location, this study is the first to systematically link shear–compression ratio variation to load location in CSC arches. In this context, shear performance tests were conducted on two CSC specimens with different loading locations (mid-span and quarter-point) to investigate the influence of loading locations on the shear behavior of CSC arches. To further investigate the impact of key parameters on the shear bearing capacity of CSC arches, a validated finite element model was employed to support the parametric analysis. The parameters involved include the span-to-rise ratio, shear connector spacing, strength and thickness of corrugated steel, as well as strength and thickness of concrete. Theoretical calculations for internal forces under varying rise-to-span ratios and loading methods are conducted, proposing an analytical solution method. Validation using 2 experiments and 96 finite element results show that a modified method is applicable, with a mean value of 1.066, corresponding to a standard deviation of 0.071, and all relative errors within 15%. By introducing the shear–compression ratio, this study extends existing methods to make them applicable under single-point loading, thereby enabling their use for guiding engineering. Similarly, the internal force analysis method proposed herein can serve as a theoretical foundation, providing a valuable reference for future research on shear capacity calculation methods for CSC arches with varying cross-sectional configurations and those where bending moments play a more significant role. Full article
(This article belongs to the Section Building Structures)
Show Figures

Figure 1

24 pages, 5245 KB  
Article
Analysis of Mechanical Properties and Energy Evolution of Through-Double-Joint Sandy Slate Under Three-Axis Loading and Unloading Conditions
by Yang Wang, Chuanxin Rong, Hao Shi, Zhensen Wang, Yanzhe Li and Runze Zhang
Appl. Sci. 2025, 15(17), 9570; https://doi.org/10.3390/app15179570 - 30 Aug 2025
Viewed by 480
Abstract
In the mining of deep mineral resources and tunnel engineering, the degradation of mechanical properties and the evolution of energy of through-double-joint sandy slate under triaxial loading and unloading conditions are key scientific issues affecting the stability design of the project. The existing [...] Read more.
In the mining of deep mineral resources and tunnel engineering, the degradation of mechanical properties and the evolution of energy of through-double-joint sandy slate under triaxial loading and unloading conditions are key scientific issues affecting the stability design of the project. The existing research has insufficiently explored the joint inclination angle effect, damage evolution mechanism, and energy distribution characteristics of this type of rock mass under the path of increasing axial pressure and removing confining pressure. Based on this, in this study, uniaxial compression, conventional triaxial compression and increasing axial pressure, and removing confining pressure tests were conducted on four types of rock-like materials with prefabricated 0°, 30°, 60°, and 90° through-double-joint inclinations under different confining pressures. The axial stress/strain curve, failure characteristics, and energy evolution law were comprehensively analyzed, and damage variables based on dissipated energy were proposed. The test results show that the joint inclination angle significantly affects the bearing capacity of the specimen, and the peak strength shows a trend of first increasing and then decreasing with the increase in the inclination angle. In terms of failure modes, the specimens under conventional triaxial compression exhibit progressive compression/shear failure (accompanied by rock bridge fracture zones), while under increased axial compression and relief of confining pressure, a combined tensioning and shear failure is induced. Moreover, brittleness is more pronounced under high confining pressure, and the joint inclination angle also has a significant control effect on the failure path. In terms of energy, under the same confining pressure, as the joint inclination angle increases, the dissipated energy and total energy of the cemented filling body at the end of triaxial compression first decrease and then increase. The triaxial compression damage constitutive model of jointed rock mass established based on dissipated energy can divide the damage evolution into three stages: initial damage, damage development, and accelerated damage growth. Verified by experimental data, this model can well describe the damage evolution characteristics of rock masses with different joint inclination angles. Moreover, an increase in the joint inclination angle will lead to varying degrees of damage during the loading process of the rock mass. The research results can provide key theoretical support and design basis for the stability assessment of surrounding rock in deep and high-stress plateau tunnels, the optimization of support parameters for jointed rock masses, and early warning of rockburst disasters. Full article
Show Figures

Figure 1

16 pages, 2578 KB  
Article
Determination of the Solar Angle of Incidence Using an Equivalent Surface and the Possibility of Applying This Approach in Geosciences and Engineering
by Marián Jenčo
ISPRS Int. J. Geo-Inf. 2025, 14(9), 323; https://doi.org/10.3390/ijgi14090323 - 23 Aug 2025
Viewed by 2027
Abstract
The solar angle of incidence is the angle between the sunlight and the normal on the impact surface. The lower the angle of incidence, the more sun radiation the surface can absorb. There are several methods for calculating of this angle. Determining the [...] Read more.
The solar angle of incidence is the angle between the sunlight and the normal on the impact surface. The lower the angle of incidence, the more sun radiation the surface can absorb. There are several methods for calculating of this angle. Determining the geographical location of the equivalent surface is one of the lesser-known options. The equivalent surface is a tangential plane to the Earth that is parallel to a reference inclined surface. The geographical coordinates of the point of tangency are clearly determined by the slope and aspect. Since the equivalent surface is horizontal, basic solar geometry equations apply. Unlike the conventional equations commonly used today, they provide easily interpretable results. The sunrise and sunset times for an inclined surface and the time of an extreme incidence angle can be calculated directly. Approximate calculations are not necessary. In addition, the geographical approach allows for the hour angle to be determined, as well as the tilt for a given azimuth of the solar panel that is perpendicular to direct sunlight. This new procedure sets the time for regular changes in the horizontal direction of the sun-tracker. The renaissance of the geographical approach for calculating the temporal characteristics, which allows for the use of simple equations and the interpretation of their results, can also benefit agriculture, forestry, land management, botany, architecture, and other sectors and sciences. Full article
Show Figures

Figure 1

21 pages, 4392 KB  
Article
Visualization of Kinetic Parameters of a Droplet Nucleation Boiling on Smooth and Micro-Pillar Surfaces with Inclined Angles
by Yi-Nan Zhang, Guo-Qing Huang, Lu-Ming Zhao and Hong-Xia Chen
Energies 2025, 18(15), 4152; https://doi.org/10.3390/en18154152 - 5 Aug 2025
Viewed by 495
Abstract
The evaporation dynamics of droplets on smooth and inclined micro-pillar surfaces were experimentally investigated. The surface temperature was increased from 50 °C to 120 °C, with the inclination angles being 0°, 30°, 45°, and 60° respectively. The dynamic parameters, including contact area, nucleation [...] Read more.
The evaporation dynamics of droplets on smooth and inclined micro-pillar surfaces were experimentally investigated. The surface temperature was increased from 50 °C to 120 °C, with the inclination angles being 0°, 30°, 45°, and 60° respectively. The dynamic parameters, including contact area, nucleation density, bubble stable diameter, and droplet asymmetry, were recorded using two high-speed video cameras, and the corresponding evaporation performance was analyzed. Experimental results showed that the inclination angle had a significant influence on the evaporation of micro-pillar surfaces than smooth surfaces as well as a positive correlation between the enhancement performance of the micro-pillars and increasing inclination angles. This angular dependence arises from surface inclination-induced tail elongation and the corresponding asymmetry of droplets. With definition of the one-dimensional asymmetry factor (ε) and volume asymmetry factor (γ), it was proven that although the asymmetric thickness of the droplets reduces the nucleation density and bubble stable diameter, the droplet asymmetry significantly increased the heat exchange area, resulting in a 37% improvement in the evaporation rate of micro-pillar surfaces and about a 15% increase in its enhancement performance to smooth surfaces when the inclination angle increased from 0°to 60°. These results indicate that asymmetry causes changes in heat transfer conditions, specifically, a significant increase in the wetted area and deformation of the liquid film, which are the direct enhancement mechanisms of inclined micro-pillar surfaces. Full article
(This article belongs to the Special Issue Advancements in Heat Transfer and Fluid Flow for Energy Applications)
Show Figures

Figure 1

14 pages, 4473 KB  
Article
Constant Flow Rate Pouring of the Steel Ladle: Analytical Model, Simulation Model, and Experimental Verification
by Yali Chen, Weibing Yang, Chao Qin, Zhanshu He, Guangfeng Zhang and Hua Chai
Processes 2025, 13(8), 2327; https://doi.org/10.3390/pr13082327 - 22 Jul 2025
Viewed by 405
Abstract
To realize accurate ladle pouring, an analytical model of the constant flow rate pouring was established. By integrating a user-defined function (UDF), a CFD simulation model of the constant flow rate pouring was established to investigate the liquid steel pouring behavior under different [...] Read more.
To realize accurate ladle pouring, an analytical model of the constant flow rate pouring was established. By integrating a user-defined function (UDF), a CFD simulation model of the constant flow rate pouring was established to investigate the liquid steel pouring behavior under different inner wall inclination angle α, initial liquid volume Vc, and target flow rate q. Finally, the accuracy of the analytical model and the simulation model was verified through experiments. The results show that the experimental results agree well with the theoretical and simulation results, which verify the accuracy of the analytical model and the simulation model. Moreover, the simulation results indicate that increasing both α and Vc leads to an increase in the pouring flow rate. To achieve a stable pouring process and a constant flow rate value, a proper α, Vc and qt should be selected. In this study α = 7.5° Vc = 70% Vcapacity and q in the range of 0.10–0.12 m3/s are proper. To realize constant flow rate pouring, a time-variant ladle angular velocity is obtained and it can be adjusted by the motor speed. Therefore, different constant flow rates could be acquired by adjusting the motor speed, which provide guidance to the casting technology. Full article
Show Figures

Figure 1

15 pages, 4349 KB  
Article
The Roles of Leaflet Geometry in the Structural Deterioration of Bioprosthetic Aortic Valves
by Yaghoub Dabiri and Kishan Narine
Prosthesis 2025, 7(4), 86; https://doi.org/10.3390/prosthesis7040086 - 18 Jul 2025
Viewed by 765
Abstract
Objectives: Our goal was to assess the role of leaflet geometry on the structural deterioration of bioprosthetic aortic valves (BAVs) in a closed configuration. Methods: With a Fung-type orthotropic model, finite element modeling was used to create ten cases with parabolic, circular and [...] Read more.
Objectives: Our goal was to assess the role of leaflet geometry on the structural deterioration of bioprosthetic aortic valves (BAVs) in a closed configuration. Methods: With a Fung-type orthotropic model, finite element modeling was used to create ten cases with parabolic, circular and spline leaflet curvatures and six leaflet angles. Results: A circular circumferential curvature led to lower von Mises and compressive stresses in both the coaptation and load-bearing areas, reduced tensile stresses in the coaptation regions, and increased tensile stresses in the load-bearing areas. A parabolic radial curvature reduced von Mises stresses in the coaptation, as well as the load-bearing regions, reduced compressive stresses in the coaptation, and reduced tensile stresses in the load-bearing regions, leading to a slight increase in the minimized tensile stress in the coaptation regions (1.794 vs. 1.765 MPa) and the minimized compressive stress in the load-bearing regions (0.772 vs. 0.768 MPa). Within a range of downward inclination of the leaflets, all stresses in the coaptation regions decreased. A parabolic circumferential curvature, a linear radial curvature, and, for most cases, upward leaflet inclinations were associated with larger contact pressures between the leaflets. Conclusions: A parabolic radial curvature and downward leaflet inclination likely lead to the longer durability of BAVs. Full article
Show Figures

Figure 1

15 pages, 4942 KB  
Article
Study on Multiphase Flow in Horizontal Wells Based on Distributed Acoustic Sensing Monitoring
by Rui Zheng, Li Fang, Dong Yang and Qiao Deng
Processes 2025, 13(7), 2280; https://doi.org/10.3390/pr13072280 - 17 Jul 2025
Viewed by 929
Abstract
This study focuses on the multiphase flow in horizontal wells based on distributed acoustic sensing (DAS) monitoring. Through laboratory experiments and field data analysis, it was found that the micro-seismic differences in flow patterns can be clearly observed in the fiber optic micro-seismic [...] Read more.
This study focuses on the multiphase flow in horizontal wells based on distributed acoustic sensing (DAS) monitoring. Through laboratory experiments and field data analysis, it was found that the micro-seismic differences in flow patterns can be clearly observed in the fiber optic micro-seismic waterfall chart. In the case of slug flow, the DAS acoustic energy decreases when the inclination angle increases. The performance of annular flow is similar to that of bubble flow, with the DAS energy increasing as the inclination angle increases. Overall, the order of DAS acoustic energy from the strongest to weakest is slug flow, followed by annular flow, and then bubble flow. The research shows that fiber optic DAS monitoring signals can effectively identify differences in gas volume, well inclination, and flow pattern, which provides an important technical basis and research foundation for the monitoring and analysis of multiphase flow in horizontal wells. Full article
Show Figures

Figure 1

Back to TopTop