Sign in to use this feature.

Years

Between: -

Subjects

remove_circle_outline
remove_circle_outline
remove_circle_outline
remove_circle_outline
remove_circle_outline
remove_circle_outline
remove_circle_outline
remove_circle_outline

Journals

Article Types

Countries / Regions

Search Results (85)

Search Parameters:
Keywords = turbulent kinetic energy production

Order results
Result details
Results per page
Select all
Export citation of selected articles as:
28 pages, 7727 KB  
Article
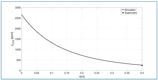
The Use of Metal Oxides (Al2O3 and ZrO2) and Supports (Glass and Kaolin) to Enhance DBD Plasma-Catalytic CO2 Conversion
by Agata Dorosz, Krzysztof Zaraska, Michał Lewak, Artur Małolepszy, Jakub Jaworski and Arkadiusz Moskal
Materials 2025, 18(23), 5411; https://doi.org/10.3390/ma18235411 (registering DOI) - 1 Dec 2025
Abstract
Background: The conversion of carbon dioxide (CO2) into valuable products like carbon monoxide (CO) is an important process facing limitations due to poor energy efficiency. Dielectric barrier discharge (DBD) plasma reactors offer a potential solution through synergistic plasma catalysis, making the [...] Read more.
Background: The conversion of carbon dioxide (CO2) into valuable products like carbon monoxide (CO) is an important process facing limitations due to poor energy efficiency. Dielectric barrier discharge (DBD) plasma reactors offer a potential solution through synergistic plasma catalysis, making the selection of an optimal solid packing material a critical design challenge. Methods: This study investigated the impact of four different packing materials—Al2O3, ZrO2, glass beads, and kaolin pellets—on the CO2 conversion process in a DBD reactor. The materials’ physical and chemical properties (porosity and composition) were analyzed. Experiments were conducted to examine the influence of gas flow rates and bead size on CO2 and CO concentrations. The study utilized optical emission spectroscopy (OES) and kinetic mathematical modeling to characterize the discharge and the reaction. Results: Higher gas flow rates led to a decrease in CO2 conversion due to reduced specific energy input. The addition of solid packing significantly improved system efficiency by promoting filamentary and surface discharges, with smaller beads yielding higher conversion rates. Notably, kaolin demonstrated unique performance characteristics, suggested by its increased plasma brightness, likely due to flow-induced turbulence promoting the reaction. Conclusions: Proper material selection and packing design are crucial for efficient CO2 splitting, concurrently boosting energy efficiency and maintaining high conversion. While Al2O3 (corundum) shows high intrinsic activity, kaolin emerges as a highly competitive and advantageous material when associated costs are considered paramount for large-scale applications. Full article
(This article belongs to the Special Issue Advances in Plasma Treatment of Materials)
Show Figures

Figure 1

41 pages, 2466 KB  
Article
Impact of Reaction System Turbulence on the Dispersity and Activity of Heterogeneous Ziegler–Natta Catalytic Systems for Polydiene Production: Insights from Kinetic and CFD Analyses
by Konstantin A. Tereshchenko, Nikolai V. Ulitin, Rustem T. Ismagilov and Alexander S. Novikov
Compounds 2025, 5(4), 39; https://doi.org/10.3390/compounds5040039 - 29 Sep 2025
Viewed by 417
Abstract
An analysis was conducted to investigate how reaction system turbulence affects the butadiene-isoprene copolymerization in the presence of the TiCl4 + Al(i-Bu)3 catalytic system. A model was developed, which integrates CFD simulations of TiCl4 + Al(i-Bu) [...] Read more.
An analysis was conducted to investigate how reaction system turbulence affects the butadiene-isoprene copolymerization in the presence of the TiCl4 + Al(i-Bu)3 catalytic system. A model was developed, which integrates CFD simulations of TiCl4 + Al(i-Bu)3 particle breakage based on population balance equations with the kinetic modeling of the butadiene-isoprene copolymerization. It was established that an increase in turbulent kinetic energy leads to a reduction in catalyst particle size, an increase in active site concentration, an acceleration of the copolymerization process, and a decrease in the average molecular weights of the copolymer. Furthermore, catalytic activity correlates with both the average and maximum values of turbulent kinetic energy in the reaction system, whereas the effect of the average residence time of catalytic particles under turbulent conditions is insignificant. Based on these results, recommendations were provided for optimizing the impact of reaction system turbulence on TiCl4 + Al(i-Bu)3 particles to enhance the butadiene-isoprene copolymerization rate and achieve precise control over the molecular weight characteristics of the copolymer. The findings of this study can be applied to optimize the synthesis technology of the cis-1,4 butadiene-isoprene copolymer, which is used in the production of frost-resistant rubber. Full article
(This article belongs to the Special Issue Feature Papers in Compounds (2025))
Show Figures

Figure 1

24 pages, 4890 KB  
Article
Turbulent Hybrid Nanofluid Flow in Corrugated Channels with Vortex Generators: A Numerical Study
by Aimen Tanougast, Issa Omle and Krisztián Hriczó
Fluids 2025, 10(10), 249; https://doi.org/10.3390/fluids10100249 - 24 Sep 2025
Viewed by 433
Abstract
Nanofluids are an important technology for enhancing heat transfer in industrial applications by incorporating high thermal conductivity nanoparticles into base fluids. However, they often require higher pumping power and energy consumption. This study employs a two-dimensional (2D) approximation of vortex generators (VGs) in [...] Read more.
Nanofluids are an important technology for enhancing heat transfer in industrial applications by incorporating high thermal conductivity nanoparticles into base fluids. However, they often require higher pumping power and energy consumption. This study employs a two-dimensional (2D) approximation of vortex generators (VGs) in a turbulent trapezoidal channel with nanoparticle concentrations of Al2O3, SiO2, and TiO2. Simulations are performed using ANSYS Fluent 2021 with the Finite Volume Method (FVM) and the k–ε turbulence model to capture turbulence characteristics, eddy viscosity, and turbulent kinetic energy production. The introduction of vortex generators improves fluid mixing and reduces the thermal boundary layer, resulting in enhanced heat transfer, with a performance evaluation criterion (PEC) of 1.08 for water (baseline case without nanofluids). The single nanofluids further optimize heat transfer, increasing the Nusselt number and pressure drop while balancing thermal performance, reaching a PEC of 1.6 for SiO2 at 3% concentration, representing a 48% improvement over the baseline. A hybrid mixture of 1% Al2O3 and 2% SiO2 achieves the same PEC of 1.6 as single SiO2 nanoparticles, but with higher heat transfer and lower pressure drop, demonstrating improved thermal performance. Full article
(This article belongs to the Section Mathematical and Computational Fluid Mechanics)
Show Figures

Figure 1

11 pages, 1653 KB  
Article
Influence of Superhydrophobic Coatings on Turbulence and Vortical Structures in a Submerged Impinging Jet
by Delfino Cornejo-Monroy, Betania Sánchez-Santamaria, David Luviano-Cruz, Manuel Alejandro Lira-Martínez, J. C. García and José Omar Dávalos
Nanomaterials 2025, 15(18), 1407; https://doi.org/10.3390/nano15181407 - 12 Sep 2025
Viewed by 479
Abstract
The impact of liquid jets on solid surfaces is a critical hydrodynamic mechanism in applications like cooling and cleaning. Surface properties, particularly superhydrophobicity, can significantly alter flow development throughout the impingement process. This work uses particle image velocimetry (PIV) to investigate a submerged [...] Read more.
The impact of liquid jets on solid surfaces is a critical hydrodynamic mechanism in applications like cooling and cleaning. Surface properties, particularly superhydrophobicity, can significantly alter flow development throughout the impingement process. This work uses particle image velocimetry (PIV) to investigate a submerged water jet impinging on smooth and superhydrophobic surfaces. The jet, with a 4 mm diameter (D), was operated at a Reynolds number of 4500 and a nozzle-to-surface distance of 10D. Results demonstrate that the superhydrophobic surface (SHS) modifies the flow behavior significantly. Compared to the smooth surface, the peak jet velocity on the SHS increased by 26% in the axial direction and 19% in the radial direction. Furthermore, turbulent kinetic energy (TKE) at the impingement point was substantially higher on the coated surface. These findings are attributed to reduced wall friction on the superhydrophobic surface, which enhances momentum retention and alters turbulent production. Full article
(This article belongs to the Special Issue Functionalized Nanostructures on Surfaces and at Interfaces)
Show Figures

Figure 1

20 pages, 10009 KB  
Article
Analysis of the Impact of Curvature Correction Factor fc on the Flow Past a Two-Dimensional Bluff Body
by Yuan Sun, Yanfang Liu, Shaobo Li, Shuo Li and Zhiqiang Hu
J. Mar. Sci. Eng. 2025, 13(9), 1650; https://doi.org/10.3390/jmse13091650 - 28 Aug 2025
Viewed by 767
Abstract
This paper presents an improved k-ω SST turbulence model to enhance the simulation accuracy of Bluff Body Bypassing Problems (BBBPs) within the Reynolds-Averaged Navier–Stokes (RANS) framework. Although RANS methods are computationally efficient, they are limited in resolving instantaneous turbulent fluctuations, which often results [...] Read more.
This paper presents an improved k-ω SST turbulence model to enhance the simulation accuracy of Bluff Body Bypassing Problems (BBBPs) within the Reynolds-Averaged Navier–Stokes (RANS) framework. Although RANS methods are computationally efficient, they are limited in resolving instantaneous turbulent fluctuations, which often results in significant errors when predicting turbulent kinetic energy variations in complex flows. To address this, a curvature correction factor (fc) is introduced into the production term (Pk) of the turbulent kinetic energy equation. This factor is derived from the local fluid rotational rate, enabling the model to better account for streamline curvature effects and unsteady vortex dynamics. The modified model, along with the baseline k-ω SST formulation, is applied to two-dimensional (2D) square column flow cases. Numerical results show that the corrected model significantly improves predictive accuracy, reducing the error in the time-averaged drag coefficient (CD) from 24% to 8.3%, thereby demonstrating its effectiveness in capturing key flow characteristics around bluff bodies. Full article
(This article belongs to the Special Issue Marine CFD: From Resistance Prediction to Environmental Innovation)
Show Figures

Figure 1

24 pages, 6119 KB  
Article
Dynamic Response of Methane Explosion and Roadway Surrounding Rock in Restricted Space: A Simulation Analysis of Fluid-Solid Coupling
by Qiangyu Zheng, Peijiang Ding, Zhenguo Yan, Yaping Zhu and Jinlong Zhang
Appl. Sci. 2025, 15(17), 9454; https://doi.org/10.3390/app15179454 - 28 Aug 2025
Viewed by 695
Abstract
A methane-air premixed gas explosion is one of the most destructive disasters in the process of coal mining, and the dynamic coupling between the shock wave triggered by the explosion and the surrounding rock of the roadway can lead to the destabilization of [...] Read more.
A methane-air premixed gas explosion is one of the most destructive disasters in the process of coal mining, and the dynamic coupling between the shock wave triggered by the explosion and the surrounding rock of the roadway can lead to the destabilization of the surrounding rock structure, the destruction of equipment, and casualties. The aim of this study is to systematically reveal the propagation characteristics of the blast wave, the spatial and temporal evolution of the wall load, and the damage mechanism of the surrounding rock by establishing a two-way fluid-solid coupling numerical model. Based on the Ansys Fluent fluid solver and Transient Structure module, a framework for the co-simulation of the fluid and solid domains has been constructed by adopting the standard kε turbulence model, finite-rate/eddy-dissipation (FR/ED) reaction model, and nonlinear finite-element theory, and by introducing a dynamic damage threshold criterion based on the Drucker–Prager and Mohr–Coulomb criteria. It is shown that methane concentration significantly affects the kinetic behavior of explosive shock wave propagation. Under chemical equivalence ratio conditions (9.5% methane), an ideal Chapman–Jouguet blast wave structure was formed, exhibiting the highest energy release efficiency. In contrast, lean ignition (7%) and rich ignition (12%) conditions resulted in lower efficiencies due to incomplete combustion or complex combustion patterns. In addition, the pressure time-history evolution of the tunnel enclosure wall after ignition triggering exhibits significant nonlinear dynamics, which can be divided into three phases: the initiation and turbulence development phase, the quasi-steady propagation phase, and the expansion and dissipation phase. Further analysis reveals that the closed end produces significant stress aggregation due to the interference of multiple reflected waves, while the open end increases the stress fluctuation due to turbulence effects. The spatial and temporal evolution of the strain field also follows a three-stage dynamic pattern: an initial strain-induced stage, a strain accumulation propagation stage, and a residual strain stabilization stage and the displacement is characterized by an initial phase of concentration followed by gradual expansion. This study not only deepens the understanding of methane-air premixed gas explosion and its interaction with the roadway’s surrounding rock, but also provides an important scientific basis and technical support for coal mine safety production. Full article
(This article belongs to the Special Issue Advanced Blasting Technology for Mining)
Show Figures

Figure 1

17 pages, 8504 KB  
Article
Numerical Simulation Study on Internal Flow Law and Efficiency of Gas-Liquid Mixed Jet Pump
by Xiongxiong Wang, Shuqiang Shi, Zhengyan Zhao, Yongcai Zhang, Jiaming Cai, Shaokang Lin and Jincheng Mao
Processes 2025, 13(2), 495; https://doi.org/10.3390/pr13020495 - 10 Feb 2025
Viewed by 1141
Abstract
The Sulige Gas Field is a typical low-permeability, low-pressure tight gas field, where pneumatic jetting is crucial for production. However, existing gas jet pumps have low efficiency, limiting field production and overall development. This paper explores the effect of adding water, at specific [...] Read more.
The Sulige Gas Field is a typical low-permeability, low-pressure tight gas field, where pneumatic jetting is crucial for production. However, existing gas jet pumps have low efficiency, limiting field production and overall development. This paper explores the effect of adding water, at specific volume fractions, to the driving gas on pneumatic jet pump performance. Using Volume of Fluid (VOF) and Computational Fluid Dynamics (CFD) simulations, a three-dimensional fluid domain model was developed to analyze the flow field, turbulent kinetic energy, and energy conversion in the pump. Results show that the water volume fraction significantly impacts pump efficiency, with performance improving over natural gas as the driving medium. The optimal performance occurs at a 0.5 water volume fraction, with efficiency exceeding 40% and a dimensionless mass flow ratio of approximately 2.0. As the volumetric fraction of water increases, the optimal working point of the jet pump (the dimensionless mass flow ratio corresponding to the peak pump efficiency) gradually decreases. It drops from 2.0 at water volumetric fractions of 0.1 and 0.5, to 1.8 at 0.8, and further to 1.5 at 1.0. These findings provide valuable insights for optimizing pneumatic jet performance in the Sulige Gas Field. Full article
(This article belongs to the Special Issue Study of Multiphase Flow and Its Application in Petroleum Engineering)
Show Figures

Figure 1

21 pages, 3838 KB  
Article
Computational Fluid Dynamics as a Digital Tool for Enhancing Safety Uptake in Advanced Manufacturing Environments Within a Safe-by-Design Strategy
by Dionysia Maria Voultsou, Stratos Saliakas, Spyridon Damilos and Elias P. Koumoulos
Materials 2025, 18(2), 262; https://doi.org/10.3390/ma18020262 - 9 Jan 2025
Viewed by 1538
Abstract
In modern manufacturing environments, pollution management is critical as exposure to harmful substances can cause serious health issues. This study presents a two-stage computational fluid dynamic (CFD) model to estimate the distribution of pollutants in indoor production spaces. In the first stage, the [...] Read more.
In modern manufacturing environments, pollution management is critical as exposure to harmful substances can cause serious health issues. This study presents a two-stage computational fluid dynamic (CFD) model to estimate the distribution of pollutants in indoor production spaces. In the first stage, the Reynolds-averaged Navier–Stokes (RANS) method was used to simulate airflow and temperature. In the second stage, the Lagrangian method was applied for particle tracing. The model was applied to a theoretical acrylonitrile butadiene styrene (ABS) filament 3D printing process to evaluate the factors affecting the distribution of ultrafine particles (30 nm). Key parameters such as ventilation system effects, the presence of cooling fans and the print bed, and nozzle temperatures were considered. The results show that the highest flow velocities (1.97 × 10−6 m/s to 3.38 m/s) occur near the ventilation system’s inlet and outlet, accompanied by regions of high turbulent kinetic energy (0.66 m2/s2). These conditions promote dynamic airflow, facilitating particulate removal by reducing stagnant zones prone to pollutant buildup. The effect of cooling fans and thermal sources was investigated, showing limited contribution on particle removal. These findings emphasize the importance of digital twins for better worker safety and air quality in 3D printing environments. Full article
Show Figures

Graphical abstract

23 pages, 43085 KB  
Article
Effects of Turbulence Modeling on the Simulation of Wind Flow over Typical Complex Terrains
by Guolin Ma, Linlin Tian, Yilei Song and Ning Zhao
Appl. Sci. 2024, 14(23), 11438; https://doi.org/10.3390/app142311438 - 9 Dec 2024
Cited by 4 | Viewed by 1892
Abstract
The correct prediction of the wind speed and turbulence levels over complex terrain is essential for accurately assessing wind turbine wake recovery, power production, safety, and wind farm design. In this paper, two modified RANS turbulence models are proposed, which are innovative variants [...] Read more.
The correct prediction of the wind speed and turbulence levels over complex terrain is essential for accurately assessing wind turbine wake recovery, power production, safety, and wind farm design. In this paper, two modified RANS turbulence models are proposed, which are innovative variants of the conventional SST k-ω model and the linear Reynolds stress model (RSM) featuring optimized closure constants. Then, these two modified models and their origin models are applied to compare and analyze wind flows from a 3D hill wind tunnel experiment and two field measurements over typical complex terrain, including Askervein hill and Bolund island, with the aim of analyzing the sensitivity of wind flows to different RANS turbulence models. The study focuses on analyzing the effects of different turbulence models on the self-sustainability of wind speed and turbulent kinetic energy upstream of the computational domain and on the accuracy of wind flow prediction over complex terrain. The results show that our modified RSM model shows better agreement with the available experimental data on the upstream and leeward sides of all simulated hills. The wind speed on the leeward slope is particularly sensitive to the turbulence model, with a maximum difference in the relative root mean square error (RRMSE) that can reach 11% among the four models. The accuracy of the turbulent kinetic energy depends on the self-sustainability of the upstream turbulent kinetic energy and the predictive ability of the turbulence model for separated flows, and the maximum difference in the RRMSE of the four models can reach 47%. In addition, the advantages and disadvantages of the tested models are discussed to provide guidance for model selection during wind flow simulations in complex terrain. Full article
(This article belongs to the Special Issue Recent Advances in Wind Engineering and Applied Aerodynamics)
Show Figures

Figure 1

29 pages, 11222 KB  
Article
Computational Study on Flow Characteristics of Shocked Light Backward-Triangular Bubbles in Polyatomic Gas
by Salman Saud Alsaeed and Satyvir Singh
Axioms 2024, 13(12), 843; https://doi.org/10.3390/axioms13120843 - 1 Dec 2024
Cited by 1 | Viewed by 891
Abstract
This study computationally examined the Richtmyer–Meshkov instability (RMI) evolution in a helium backward-triangular bubble immersed in monatomic argon, diatomic nitrogen, and polyatomic methane under planar shock wave interactions. Using high-fidelity numerical simulations based on the compressible Navier–Fourier equations based on the Boltzmann–Curtiss kinetic [...] Read more.
This study computationally examined the Richtmyer–Meshkov instability (RMI) evolution in a helium backward-triangular bubble immersed in monatomic argon, diatomic nitrogen, and polyatomic methane under planar shock wave interactions. Using high-fidelity numerical simulations based on the compressible Navier–Fourier equations based on the Boltzmann–Curtiss kinetic framework and simulated via a modal discontinuous Galerkin scheme, we analyze the complex interplay of shock-bubble dynamics. Key findings reveal distinct thermal non-equilibrium effects, vorticity generation, enstrophy evolution, kinetic energy dissipation, and interface deformation across gases. Methane, with its molecular complexity and higher viscosity, exhibits the highest levels of vorticity production, enstrophy, and kinetic energy, leading to pronounced Kelvin–Helmholtz instabilities and enhanced mixing. Conversely, argon, due to its simpler atomic structure, shows weaker deformation and mixing. Thermal non-equilibrium effects, quantified by the Rayleigh–Onsager dissipation function, are most significant in methane, indicating delayed energy relaxation and intense turbulence. This study highlights the pivotal role of molecular properties, specific heat ratio, and bulk viscosity in shaping RMI dynamics in polyatomic gases, offering insights on uses such as high-speed aerodynamics, inertial confinement fusion, and supersonic mixing. Full article
Show Figures

Figure 1

28 pages, 10112 KB  
Article
Research on Efficiency Improvement Technology of Wide Range Centrifugal Pump Based on Genetic Algorithm and Internal Flow Loss Diagnosis
by Zhenbo Liu, Leilei Ji, Wei Pu, Wei Li, Qiaoyue Yang, Xing Zhang, Yang Yang, Weidong Shi, Fei Tian, Sen Jiang and Ramesh Agarwal
Water 2024, 16(23), 3402; https://doi.org/10.3390/w16233402 - 26 Nov 2024
Cited by 1 | Viewed by 2436
Abstract
Wide-flow centrifugal pumps are widely used in marine, petrochemical, and thermal power plants because of their good hydraulic performance. To enhance the hydraulic performance of wide-flow centrifugal pumps and thereby reduce energy consumption, in this study, an automatic optimization system for rotating machinery [...] Read more.
Wide-flow centrifugal pumps are widely used in marine, petrochemical, and thermal power plants because of their good hydraulic performance. To enhance the hydraulic performance of wide-flow centrifugal pumps and thereby reduce energy consumption, in this study, an automatic optimization system for rotating machinery based on genetic algorithms was employed. Initially, a detailed description of the centrifugal pump model and the optimization system was provided. Subsequently, sensitivity analysis of key parameters was conducted through design of experiments (DOEs), identifying the primary factors influencing the pump performance. This research demonstrated that the blade wrap angle, as well as the leading and trailing vane exit angles of the front and back shrouds, are crucial factors affecting the performance of the centrifugal pump, with the blade wrap angle exerting a particularly significant impact on pump efficiency, contributing up to 83.6%. After optimization, the pump’s head increased by 1.29%, and the efficiency improved by 2.96%. The flow field of the optimized pump was significantly improved, with enhanced fluidity, achieving higher head and efficiency at a lower torque. Additionally, the pumping performance was augmented with an enhanced diffuser capacity in the pump volute, leading to increased exit pressure energy, while the turbulent kinetic energy and entropy production losses were significantly reduced. Under various operating conditions, the entropy production losses at the pump walls were all decreased, and the total mechanical energy within the impeller showed an increasing trend from the inlet to the outlet, resulting in lower energy consumption. In this paper, a reference is provided for further enhancing the hydraulic performance of centrifugal pumps in the future. Full article
(This article belongs to the Special Issue Design and Optimization of Fluid Machinery, 2nd Edition)
Show Figures

Figure 1

18 pages, 4406 KB  
Article
A Baroclinic Fluid Model and Its Application in Investigating the Salinity Transport Process Within the Sediment–Water Interface in an Idealized Estuary
by Jun Zhao, Liangsheng Zhu, Bo Hong and Jianhua Li
J. Mar. Sci. Eng. 2024, 12(11), 2107; https://doi.org/10.3390/jmse12112107 - 20 Nov 2024
Viewed by 1093
Abstract
Understanding the salinity transport process around the sediment–water interface is important for water resources management in the upper reach of an estuary. In this study, we developed a baroclinic fluid dynamic model for investigating the flow and salt transport characteristics within the sediment–water [...] Read more.
Understanding the salinity transport process around the sediment–water interface is important for water resources management in the upper reach of an estuary. In this study, we developed a baroclinic fluid dynamic model for investigating the flow and salt transport characteristics within the sediment–water interface under tidal forcing. The validation showed robust model performance on the salinity transport within the sediment–water interface. The results revealed that the turbulent kinetic energy, dissipation rate, and kinetic energy production rate exhibited periodic variations within the seabed boundary layer. The thickness of the viscous sublayer and the mean flow showed an inverse relationship. Water and salinity exchange within the sediment–water interface occurred predominantly via turbulent diffusion, with extreme turbulent kinetic energy production rates appearing during the tidal reversal, flood, and ebb stages. The sediment acted as a source of salinity release during ebb tides and a sink for salinity absorption during flood tides. As the sediment depth increased, fluctuations in salinity were weakened. These results clearly illustrated that the sediment layer is important in modulating the salinity transport in the upper reach of an estuary. However, such an important process was usually excluded by previous studies. The model developed in this study can be used as a sediment–water interface module that, coupled with other hydrodynamic models, can evaluate the contributions of the sediment layer to the salinity exchange in coastal water. Full article
Show Figures

Figure 1

86 pages, 47604 KB  
Review
A Nonlinear Approach in the Quantification of Numerical Uncertainty by High-Order Methods for Compressible Turbulence with Shocks
by H. C. Yee, P. K. Sweby, Björn Sjögreen and D. V. Kotov
Fluids 2024, 9(11), 250; https://doi.org/10.3390/fluids9110250 - 25 Oct 2024
Cited by 3 | Viewed by 2380
Abstract
This is a comprehensive overview on our research work to link interdisciplinary modeling and simulation techniques to improve the predictability and reliability simulations (PARs) of compressible turbulence with shock waves for general audiences who are not familiar with our nonlinear approach. This focused [...] Read more.
This is a comprehensive overview on our research work to link interdisciplinary modeling and simulation techniques to improve the predictability and reliability simulations (PARs) of compressible turbulence with shock waves for general audiences who are not familiar with our nonlinear approach. This focused nonlinear approach is to integrate our “nonlinear dynamical approach” with our “newly developed high order entropy-conserving, momentum-conserving and kinetic energy-preserving methods” in the quantification of numerical uncertainty in highly nonlinear flow simulations. The central issue is that the solution space of discrete genuinely nonlinear systems is much larger than that of the corresponding genuinely nonlinear continuous systems, thus obtaining numerical solutions that might not be solutions of the continuous systems. Traditional uncertainty quantification (UQ) approaches in numerical simulations commonly employ linearized analysis that might not provide the true behavior of genuinely nonlinear physical fluid flows. Due to the rapid development of high-performance computing, the last two decades have been an era when computation is ahead of analysis and when very large-scale practical computations are increasingly used in poorly understood multiscale data-limited complex nonlinear physical problems and non-traditional fields. This is compounded by the fact that the numerical schemes used in production computational fluid dynamics (CFD) computer codes often do not take into consideration the genuinely nonlinear behavior of numerical methods for more realistic modeling and simulations. Often, the numerical methods used might have been developed for weakly nonlinear flow or different flow types other than the flow being investigated. In addition, some of these methods are not discretely physics-preserving (structure-preserving); this includes but is not limited to entropy-conserving, momentum-conserving and kinetic energy-preserving methods. Employing theories of nonlinear dynamics to guide the construction of more appropriate, stable and accurate numerical methods could help, e.g., (a) delineate solutions of the discretized counterparts but not solutions of the governing equations; (b) prevent numerical chaos or numerical “turbulence” leading to FALSE predication of transition to turbulence; (c) provide more reliable numerical simulations of nonlinear fluid dynamical systems, especially by direct numerical simulations (DNS), large eddy simulations (LES) and implicit large eddy simulations (ILES) simulations; and (d) prevent incorrect computed shock speeds for problems containing stiff nonlinear source terms, if present. For computation intensive turbulent flows, the desirable methods should also be efficient and exhibit scalable parallelism for current high-performance computing. Selected numerical examples to illustrate the genuinely nonlinear behavior of numerical methods and our integrated approach to improve PARs are included. Full article
(This article belongs to the Special Issue Recent Advances in Fluid Mechanics: Feature Papers, 2024)
Show Figures

Figure 1

17 pages, 3635 KB  
Article
Effects of Patch Properties of Submerged Vegetation on Sediment Scouring and Deposition
by Yantun Song, Ruixiang Liu, Qiong Yang, Jiayi Li, Chongfa Cai, Yifan Feng, Guiyun Huang, Rong Hao, Hao Li, Changhua Zhan and Xiwang Wen
Water 2024, 16(15), 2144; https://doi.org/10.3390/w16152144 - 29 Jul 2024
Cited by 1 | Viewed by 1769
Abstract
Vegetation plays a key role in trapping sediments and further controlling pollutants. However, few studies were conducted to clarify the erosion and deposition laws of sediments and the influence factors caused by vegetation patch properties, which is not conducive to the revelation of [...] Read more.
Vegetation plays a key role in trapping sediments and further controlling pollutants. However, few studies were conducted to clarify the erosion and deposition laws of sediments and the influence factors caused by vegetation patch properties, which is not conducive to the revelation of riverbank protection and erosion prevention. Therefore, this study investigated the change in scouring and deposition characteristics around submerged vegetation patches of nine kinds of typical configurations and their influencing factors. Vegetation patches were assembled from three vegetation densities (G/d = 0.83, 1.3, and 1.77, representing dense, medium, and sparse, respectively), and three vegetation patch thicknesses (dn = 170, 400, and 630, representing narrow, usual, and wide, respectively), to measure vegetation patch property influences. Flow velocity, scouring, and deposition characteristics under nine patches were determined by a hydraulic flume experiment, three-dimensional acoustic Doppler velocimetry (ADV), and three-dimensional laser scanner, and then ten geometry and morphology indices were measured and calculated based on the results of laser scanning. Results showed that both vegetation patch density and thickness were positively related to the turbulence kinetic energy (TKE) above the vegetation canopy, and only vegetation patch density was negatively related to the flow velocity above the vegetation canopy. The relation between the product of density and vegetation patch thickness and erosion area in planform (EA) showed a power function (R2 = 0.644). Both density and vegetation patch thickness determined the scouring degree, but deposition location and amount did not rely on each one simply. On average, medium density showed the smallest maximum erosion length (MEL), EA, deposition area in planform (DA), and average deposition length (ADL) and a minimum of the above parameters also occurred at narrow vegetation patch thickness. The shape factor of the erosion volume (SFEV), the shape factor of the deposition volume (SFDV), ADL, and MEL of medium density and narrow thickness vegetation patch (G/d = 1.3, dn = 170) were significantly smaller than that of other types of patches. DA and equivalent prismatic erosion depth on the erosion area (EPED) were significantly linearly related (R2 = 0.766). Consequently, most sediment was deposited close to the vegetation patch edge. It is suggested that vegetation patch thickness and density should be given to control sediment transport. In particular, natural vegetation growth changes vegetation patch density and then alters vegetation patch thickness. Management and repair need to be first considered. The results of this study shed light on riparian zone recovery and vegetation filter strip mechanism. Full article
(This article belongs to the Special Issue Monitoring and Control of Soil and Water Erosion)
Show Figures

Figure 1

31 pages, 15837 KB  
Review
Numerical Simulations of Scalar Transport on Rough Surfaces
by Zvi Hantsis and Ugo Piomelli
Fluids 2024, 9(7), 159; https://doi.org/10.3390/fluids9070159 - 11 Jul 2024
Cited by 5 | Viewed by 2293
Abstract
Numerical simulations provide unfettered access to details of the flow where experimental measurements are difficult to obtain. This paper summarises the progress achieved in the study of passive scalars in flows over rough surfaces thanks to recent numerical simulations. Townsend’s similarity applies to [...] Read more.
Numerical simulations provide unfettered access to details of the flow where experimental measurements are difficult to obtain. This paper summarises the progress achieved in the study of passive scalars in flows over rough surfaces thanks to recent numerical simulations. Townsend’s similarity applies to various scalar statistics, implying the differences due to roughness are limited to the roughness sublayer (RSL). The scalar field exhibits a diffusive sublayer that increasingly conforms to the roughness surface as ks+ or Pr increase. The scalar wall flux is enhanced on the windward slopes of the roughness, where the analogy between momentum and scalar holds well; the momentum and scalar fields, however, have very different behaviours downwind of the roughness elements, due to recirculation, which reduces the scalar wall flux. Roughness causes breakdown of the Reynolds analogy: any increase in St is accompanied by a larger increase in cf. A flattening trend for the scalar roughness function, ΔΘ+, is observed as ks+ increases, suggesting the possibility of a scalar fully rough regime, different from the velocity one. The form-induced (FI) production of scalar fluctuations becomes dominant inside the RSL and is significantly different from the FI production of turbulent kinetic energy, resulting in notable differences between the scalar and velocity fluctuations. Several key questions remain open, in particular regarding the existence of a fully rough scalar regime and its characteristics. With the increase in Re and Pr, various quantities such as scalar roughness function, the dispersive fluxes, FI wall flux, etc., appear to trend towards saturation. However, the limited range of Re and Pr achieved by numerical simulations only allows us to speculate regarding such asymptotic behaviour. Beyond extending the range of Re and Pr, systematic coverage of different roughness types and topologies is needed, as the scalar appears to remain sensitive to the geometrical details. Full article
(This article belongs to the Special Issue Recent Advances in Fluid Mechanics: Feature Papers, 2024)
Show Figures

Figure 1

Back to TopTop