Sign in to use this feature.

Years

Between: -

Subjects

remove_circle_outline
remove_circle_outline
remove_circle_outline
remove_circle_outline
remove_circle_outline
remove_circle_outline
remove_circle_outline
remove_circle_outline
remove_circle_outline

Journals

remove_circle_outline
remove_circle_outline
remove_circle_outline
remove_circle_outline
remove_circle_outline
remove_circle_outline
remove_circle_outline
remove_circle_outline
remove_circle_outline
remove_circle_outline
remove_circle_outline
remove_circle_outline

Article Types

Countries / Regions

remove_circle_outline
remove_circle_outline
remove_circle_outline
remove_circle_outline
remove_circle_outline

Search Results (2,486)

Search Parameters:
Keywords = turbulent conditions

Order results
Result details
Results per page
Select all
Export citation of selected articles as:
16 pages, 2200 KB  
Article
Coupling Dynamics and Regulation Mechanisms of Natural Wind, Traffic Wind, and Mechanical Wind in Extra-Long Tunnels
by Yongli Yin, Xiang Lei, Changbin Guo, Kai Kang, Hongbi Li, Jian Wang, Wei Xiang, Bo Guang and Jiaxing Lu
Processes 2025, 13(11), 3512; https://doi.org/10.3390/pr13113512 (registering DOI) - 1 Nov 2025
Abstract
This study systematically investigates the velocity characteristics and coupling mechanisms of tunnel flow fields under the interactions of natural wind, traffic wind, mechanical ventilation, and structural factors (such as transverse passages and relative positions between vehicles and fans). Using CFD simulations combined with [...] Read more.
This study systematically investigates the velocity characteristics and coupling mechanisms of tunnel flow fields under the interactions of natural wind, traffic wind, mechanical ventilation, and structural factors (such as transverse passages and relative positions between vehicles and fans). Using CFD simulations combined with turbulence model analyses, the flow behaviors under different coupling scenarios are explored. The results show that: (1) Under natural wind conditions, transverse passages act as key pressure boundaries, reshaping the longitudinal wind speed distribution into a segmented structure of “disturbance zones (near passages) and stable zones (mid-regions)”, with disturbances near passages showing “amplitude enhancement and range contraction” as natural wind speed increases. (2) The coupling of natural wind and traffic wind (induced by moving vehicles) generates complex turbulent structures; vehicle motion forms typical flow patterns including stagnation zones, high-speed bypass flows, and wake vortices, while natural wind modulates the wake structure through momentum exchange, affecting pollutant dispersion. (3) When natural wind, traffic wind, and mechanical ventilation are coupled, the flow field is dominated by momentum superposition and competition; adjusting fan output can regulate coupling ranges and turbulence intensity, balancing energy efficiency and safety. (4) The relative positions of vehicles and fans significantly affect flow stability: forward positioning leads to synergistic momentum superposition with high stability, while reverse positioning induces strong turbulence, compressing jet effectiveness and increasing energy dissipation. This study reveals the intrinsic laws of tunnel flow field evolution under multi-factor coupling, providing theoretical support for optimizing tunnel ventilation system design and dynamic operation strategies. Full article
(This article belongs to the Section Energy Systems)
Show Figures

Figure 1

17 pages, 8444 KB  
Article
Modeling Study on Key Factors Related to Changes in Sea Fog Formation on the Western Coast of the Korean Peninsula
by Jae-Don Hwang, Chan-Yi Gwak and Eun-Chul Chang
Atmosphere 2025, 16(11), 1253; https://doi.org/10.3390/atmos16111253 (registering DOI) - 31 Oct 2025
Abstract
A notable decline in the frequency of sea fog inflows and an increase in low-cloud ceiling height were observed following the construction of the Saemangeum Seawall west of the Gunsan Airport, an area traditionally prone to frequent sea fog events. To the mechanisms [...] Read more.
A notable decline in the frequency of sea fog inflows and an increase in low-cloud ceiling height were observed following the construction of the Saemangeum Seawall west of the Gunsan Airport, an area traditionally prone to frequent sea fog events. To the mechanisms underlying these changes, a numerical experiment was conducted using the Weather Research and Forecasting model. An 11-m-high seawall was used as a physical barrier, and an elevated sea surface temperature (SST) was established within the enclosed area to simulate realistic post-construction conditions. The model successfully reconstructed sea fog occurrences, and the cloud–water mixing ratio effectively captured the spatial distribution of sea fog. Deviations from the control experiment showed a consistent pattern of reduced cloud–water mixing ratios near the surface and enhanced concentrations at high levels. Decreased buoyancy frequency in the surface layer enhanced atmospheric instability, inducing upward motion and intensified condensation activity. Increases in the turbulence kinetic energy within the planetary boundary layer (TKE within the PBL), vertical wind shear, and temperature further corroborated the reduction in sea fog and enhanced stratus formation. These findings indicate that the increased SST and seawall significantly influence the modification of the sea fog structure and its inflow dynamics. Full article
(This article belongs to the Section Biosphere/Hydrosphere/Land–Atmosphere Interactions)
Show Figures

Figure 1

20 pages, 4788 KB  
Article
Vortex Dynamics Effects on the Development of a Confined Turbulent Wake
by Ioannis D. Kalogirou, Alexandros Romeos, Athanasios Giannadakis, Giouli Mihalakakou and Thrassos Panidis
Fluids 2025, 10(11), 283; https://doi.org/10.3390/fluids10110283 (registering DOI) - 31 Oct 2025
Abstract
In the present work, the turbulent wake of a circular cylinder in a confined flow environment at a blockage ratio of 14% is experimentally investigated in a wind tunnel consisting of a parallel test section followed by a constant-area distorting duct, under subcritical [...] Read more.
In the present work, the turbulent wake of a circular cylinder in a confined flow environment at a blockage ratio of 14% is experimentally investigated in a wind tunnel consisting of a parallel test section followed by a constant-area distorting duct, under subcritical Re inlet conditions. The initial stage of wake development, extending from the bluff body to the end of the parallel section, is analyzed, with the use of hot-wire anemometry and laser-sheet visualization. The near field reveals partial similarity to unbounded wakes, with the principal difference being a modification of the Kármán vortex street topology, attributed to altered vortex dynamics under confinement. Further downstream, the mean and fluctuating velocity distributions of the confined wake gradually evolve toward channel-flow characteristics. To elucidate this transition, wake measurements are systematically compared with channel flow data obtained in the same configuration under identical inlet conditions and with reference channel-flow datasets from the literature. Experimental results show that a vortex-transportation mechanism exists due to confinement effect, resulting in the progressive crossing and realignment of counter-rotating vortices toward the tunnel centerline. Although wake flow characteristics are preserved, suppression of classical periodic shedding is clearly depicted. Furthermore, it is shown that the confined near-wake spectral peak persists up to x1/d~60 as in the free case and then vanishes as the spectra broadens. Coincidentally, the confined wake exhibits a narrower halfwidth than its free wake counterpart, while a centerline shift of the shed vortices is observed. Farfield wake-flow maintains strong anisotropy, while a weaker downstream growth of the streamwise integral scale is observed when compared to channel flow. Together, these findings explain how confinement reforms the nearfield topology and reorganizes momentum transport as the flow evolves to channel-like flow. Full article
(This article belongs to the Special Issue Industrial CFD and Fluid Modelling in Engineering, 3rd Edition)
Show Figures

Figure 1

18 pages, 10336 KB  
Article
Numerical Simulation Study on Hydraulic Characteristics of Asymmetric and Symmetric Triangular Labyrinth Weirs: A Comparative Analysis
by Ke Xu, Weifei Qu, Yu Zhou, Weitong Xu, Libin Jiang, Wufeng Xu, Siwei Jia and Zixuan Ye
Water 2025, 17(21), 3114; https://doi.org/10.3390/w17213114 - 30 Oct 2025
Abstract
This study employed Computational Fluid Dynamics (CFD) simulations using FLOW-3D v11.2 software to systematically investigate the hydraulic characteristics of Asymmetric Triangular Labyrinth Weirs (ATLWs), with a comparative analysis against conventional Symmetric Triangular Labyrinth Weirs (STLWs). The Volume of Fluid (VOF) method and the [...] Read more.
This study employed Computational Fluid Dynamics (CFD) simulations using FLOW-3D v11.2 software to systematically investigate the hydraulic characteristics of Asymmetric Triangular Labyrinth Weirs (ATLWs), with a comparative analysis against conventional Symmetric Triangular Labyrinth Weirs (STLWs). The Volume of Fluid (VOF) method and the Renormalization Group (RNG) k-ε turbulence model were adopted to accurately capture the free-surface and turbulence behaviors. The results demonstrate that ATLWs induce significant flow deflection, leading to the formation of distinctive local cavities and a unique flow regime characterized by the coexistence of fully aerated nappe flow and local submergence. Compared to STLWs, this asymmetric configuration generates more complex three-dimensional flow structures and altered pressure distribution patterns. Under low headwater conditions, the hydraulic performance (Cd and Q/Qn) of both weir types is similar; however, under high headwater conditions, the Cd of STLWs is approximately 5.4–14.3% higher than that of ATLWs. A noteworthy finding is that increasing the cycle number (n) significantly enhances the discharge capacity of ATLWs, whereas this effect is not pronounced in STLWs. Based on comprehensive parametric analysis, this study developed a generalized empirical formula with exceptionally high predictive accuracy for estimating Cd, providing a practical tool for optimizing ATLW designs in engineering applications. Full article
(This article belongs to the Section Hydraulics and Hydrodynamics)
Show Figures

Figure 1

30 pages, 5162 KB  
Article
Dynamic Modeling and Active Stabilization of a Strake-Fin Hose–Drogue Aerial Refueling System
by Chenao Han, Xueqiang Liu and Guiyun Zou
Aerospace 2025, 12(11), 966; https://doi.org/10.3390/aerospace12110966 - 29 Oct 2025
Viewed by 69
Abstract
Aerial refueling with hose–drogue systems provides operational flexibility but is highly susceptible to disturbances from tanker wakes, receiver bow waves, and atmospheric turbulence, which induce drogue oscillations and reduce docking success. To address these challenges, this study develops a dynamic model and introduces [...] Read more.
Aerial refueling with hose–drogue systems provides operational flexibility but is highly susceptible to disturbances from tanker wakes, receiver bow waves, and atmospheric turbulence, which induce drogue oscillations and reduce docking success. To address these challenges, this study develops a dynamic model and introduces a strake-fin-based actively stabilized drogue. The hose is represented as a chain of rigid segments with aerodynamic drag estimated using Hoerner’s empirical correlations, while the drogue’s aerodynamic characteristics are obtained from CFD simulations. An efficient neighbor-cell search algorithm is implemented to map the hose–drogue configuration onto the CFD flow field, and atmospheric turbulence is modeled using the Dryden model. The drogue is equipped with two pairs of strake-type control fins, whose relative deflections are regulated by a linear quadratic regulator (LQR) to generate corrective aerodynamic forces. Simulation results under tanker wake, bow-wave, and severe turbulence conditions show that the proposed system effectively suppresses drogue oscillations, reducing displacement amplitudes by over 80% and maintaining positional deviations within 0.1 m. These results confirm the robustness of the modeling framework and demonstrate the potential of the strake-fin-based active stabilization strategy to ensure safe and reliable aerial refueling operations. Full article
(This article belongs to the Section Aeronautics)
Show Figures

Figure 1

19 pages, 3319 KB  
Article
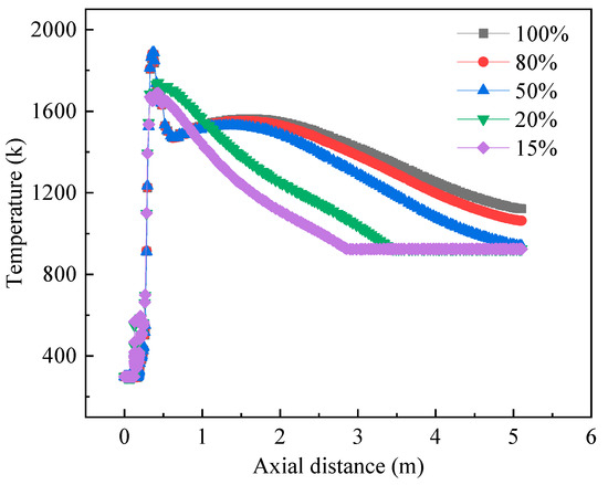
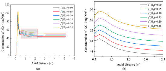
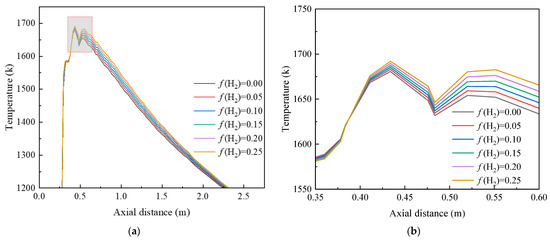
Effects of Operating Parameters on Combustion Characteristics of Hydrogen-Doped Natural Gas
by Pengtao Wang, Nana Feng, Wei Zheng, Wenlin Li, Yanghui Lu, Zhining Wang, Chen Sun, Yangxin Zhang, Liangliang Lv and Meng Xu
Processes 2025, 13(11), 3477; https://doi.org/10.3390/pr13113477 - 29 Oct 2025
Viewed by 150
Abstract
The operational optimization of industrial boilers utilizing hydrogen-enriched natural gas is constrained by two critical gaps: insufficient understanding of the coupled effects of hydrogen blending ratio, equivalence ratio, and boiler load on combustion performance—compounded by unresolved challenges of combustion instability, flashback, and elevated [...] Read more.
The operational optimization of industrial boilers utilizing hydrogen-enriched natural gas is constrained by two critical gaps: insufficient understanding of the coupled effects of hydrogen blending ratio, equivalence ratio, and boiler load on combustion performance—compounded by unresolved challenges of combustion instability, flashback, and elevated NOx emissions—and a lack of systematic investigations combining these parameters in industrial-scale systems (prior studies often focus on single variables like hydrogen fraction). To address this, a comprehensive computational fluid dynamics (CFD) analysis was conducted on a 2.1 MW industrial boiler, employing the Steady Laminar Flamelet Model (SLFM) with a modified k-ε turbulence model and the GRI-Mech 3.0 mechanism. Simulations covered hydrogen fractions (f(H2) = 0–25%), equivalence ratios (Φ = 0.8–1.2), and load conditions (15–100%). All NOx emissions reported herein are normalized to 3.5% O2 (mg/Nm3) for regulatory comparison. Results show that increasing the hydrogen content raises the flame temperature and NOx emissions while reducing CO and unburned hydrocarbons; a higher equivalence ratio elevates temperature and NOx, with Φ = 0.8 balancing efficiency and emission control; and reducing load significantly lowers furnace temperature and NO emissions. Notably, the boiler’s unique staged-combustion configuration (81% fuel supply to the central rich-combustion nozzle, 19% to the concentric lean-combustion nozzle) was found to mitigate NOx formation by 15–20% compared to single-inlet burner designs, and its integrated cyclone blades (generating maximum swirling velocity of 14.2 m/s at full load) enhanced fuel–air mixing, which became particularly critical for maintaining combustion stability at low loads (≤20%) and high hydrogen blending ratios (≥20%). This study provides quantitative trade-off insights between combustion efficiency and pollutant formation, offering actionable guidance for the safe, efficient operation of hydrogen-enriched natural gas in industrial boilers. Full article
(This article belongs to the Section Chemical Processes and Systems)
Show Figures

Figure 1

10 pages, 955 KB  
Proceeding Paper
Enhancing Parabolic Trough Collector Performance Through Surface Treatment: A Comparative Experimental Analysis
by Abdullah Rahman, Nawaf Mehmood Malik and Muhammad Irfan
Eng. Proc. 2025, 111(1), 30; https://doi.org/10.3390/engproc2025111030 - 28 Oct 2025
Viewed by 96
Abstract
Parabolic trough collectors (PTCs) are effective solar thermal systems, but their performance can be significantly enhanced through surface treatments. This research investigates the enhancement of thermal performance in parabolic trough collectors (PTCs) by experimentally evaluating the results of surface coating on the absorber [...] Read more.
Parabolic trough collectors (PTCs) are effective solar thermal systems, but their performance can be significantly enhanced through surface treatments. This research investigates the enhancement of thermal performance in parabolic trough collectors (PTCs) by experimentally evaluating the results of surface coating on the absorber tube surface. To achieve this objective, a closed-loop PTC system was fabricated to conduct an experimental comparison between a conventional simple copper tube and a black-painted copper tube. The experimental setup was placed in Islamabad, Pakistan, operated under both laminar and turbulent flow conditions to measure key performance metrics, of temperature difference (ΔT) between the inlet and outlet. The results demonstrate a significant performance advantage for the black-painted tube. In laminar flow, the black-painted tube achieved an average ΔT of 3.54 °C, compared to 2.11 °C for the simple copper tube. Similarly, in turbulent flow, the black-painted tube’s ΔT was 2.1 °C, surpassing the simple copper tube’s 1.57 °C. This superior performance is primarily attributed to the black surface’s high solar absorptivity, which more effectively captures and converts solar radiation into thermal energy. The findings highlight the critical role of surface treatment in optimizing PTC efficiency and provide a practical method for improving solar thermal energy systems. Full article
Show Figures

Figure 1

18 pages, 3299 KB  
Article
Assessment of the Use of a Passive Pre-Chamber in a Marine Engine Fueled with Ammonia–Hydrogen Mixtures
by Gabriele D’Antuono, Enzo Galloni, Davide Lanni, Gianpaolo D’Andrea and Gustavo Fontana
Energies 2025, 18(21), 5664; https://doi.org/10.3390/en18215664 - 28 Oct 2025
Viewed by 105
Abstract
This study investigates the combustion process in a marine spark-ignition engine fueled with an ammonia–hydrogen blend (15% hydrogen by volume) using a passive pre-chamber. A 3D-CFD model, supported by a 1D engine model, was employed to analyze equivalence ratios between 0.7 and 0.9 [...] Read more.
This study investigates the combustion process in a marine spark-ignition engine fueled with an ammonia–hydrogen blend (15% hydrogen by volume) using a passive pre-chamber. A 3D-CFD model, supported by a 1D engine model, was employed to analyze equivalence ratios between 0.7 and 0.9 and pre-chamber nozzle diameters from 7 to 3 mm. Results indicate that combustion is consistently initiated by turbulent jets, but at an equivalence ratio of 0.7, the charge combustion is incomplete. For lean mixtures, reducing nozzle size improves flame propagation, although not sufficiently to ensure stable operation. At an equivalence ratio of 0.8, reducing the nozzle diameter from 7 to 5 mm advances CA50 by about 6 CAD, while further reduction causes minor variations. At richer conditions, nozzle diameter plays a negligible role. Optimal performance was achieved with a 7 mm nozzle at equivalence ratio 0.8, delivering about 43% efficiency and 1.17 MW per cylinder. Full article
Show Figures

Figure 1

32 pages, 3130 KB  
Review
Marine Hydrogen Pressure Reducing Valves: A Review on Multi-Physics Coupling, Flow Dynamics, and Structural Optimization for Ship-Borne Storage Systems
by Heng Xu, Hui-Na Yang, Rui Wang, Yi-Ming Dai, Zi-Lin Su, Ji-Chao Li and Ji-Qiang Li
J. Mar. Sci. Eng. 2025, 13(11), 2061; https://doi.org/10.3390/jmse13112061 - 28 Oct 2025
Viewed by 223
Abstract
As a zero-carbon energy carrier, hydrogen is playing an increasingly vital role in the decarbonization of maritime transportation. The hydrogen pressure reducing valve (PRV) is a core component of ship-borne hydrogen storage systems, directly influencing the safety, efficiency, and reliability of hydrogen-powered vessels. [...] Read more.
As a zero-carbon energy carrier, hydrogen is playing an increasingly vital role in the decarbonization of maritime transportation. The hydrogen pressure reducing valve (PRV) is a core component of ship-borne hydrogen storage systems, directly influencing the safety, efficiency, and reliability of hydrogen-powered vessels. However, the marine environment—characterized by persistent vibrations, salt spray corrosion, and temperature fluctuations—poses significant challenges to PRV performance, including material degradation, flow instability, and reduced operational lifespan. This review comprehensively summarizes and analyzes recent advances in the study of high-pressure hydrogen PRVs for marine applications, with a focus on transient flow dynamics, turbulence and compressible flow characteristics, multi-stage throttling strategies, and valve core geometric optimization. Through a systematic review of theoretical modeling, numerical simulations, and experimental studies, we identify key bottlenecks such as multi-physics coupling effects under extreme conditions and the lack of marine-adapted validation frameworks. Finally, we conducted a preliminary discussion on future research directions, covering aspects such as the construction of coupled multi-physics field models, the development of marine environment simulation experimental platforms, the research on new materials resistant to vibration and corrosion, and the establishment of a standardized testing system. This review aims to provide fundamental references and technical development ideas for the research and development of high-performance marine hydrogen pressure reducing valves, with the expectation of facilitating the safe and efficient application and promotion of hydrogen-powered shipping technology worldwide. Full article
(This article belongs to the Special Issue Dynamics and Control of Marine Mechatronics)
Show Figures

Figure 1

28 pages, 7453 KB  
Article
Vortex Stability in the Thermal Quasi-Geostrophic Dynamics
by Xavier Carton, Yan Barabinot and Guillaume Roullet
Fluids 2025, 10(11), 280; https://doi.org/10.3390/fluids10110280 - 28 Oct 2025
Viewed by 92
Abstract
The stability of a circular vortex is studied in the thermal quasi-geostrophic (TQG) model. Several radial distributions of vorticity and buoyancy (temperature) are considered for the mean flow. First, the linear stability of these vortices is addressed. The linear problem is solved exactly [...] Read more.
The stability of a circular vortex is studied in the thermal quasi-geostrophic (TQG) model. Several radial distributions of vorticity and buoyancy (temperature) are considered for the mean flow. First, the linear stability of these vortices is addressed. The linear problem is solved exactly for a simple flow, and two stability criteria are then derived for general mean flows. Then, the growth rate and most unstable wavenumbers of normal-mode perturbations are computed numerically for Gaussian and cubic exponential vortices, both for elliptical and higher mode perturbations. In TQG, contrary to usual QG, short waves can be linearly unstable on shallow vorticity profiles. Linearly, both stratification and bottom topography (under specific conditions) have a stabilizing role. In a second step, we use a numerical model of the nonlinear TQG equations. With a Gaussian vortex, we show the growth of small-scale perturbations during the vortex instability, as predicted by the linear analysis. In particular, for an unstable vortex with an elliptical perturbation, the final tripolar vortices can have a turbulent peripheral structure, when the ratio of mean buoyancy to mean velocity is large enough. The frontogenetic tendency indicates how small-scale features detach from the vortex core towards its periphery, and thus feed the turbulent peripheral vorticity. We confirm that stratification and topography have a stabilizing influence as shown by the linear theory. Then, by varying the vortex and perturbation characteristics, we classify the various possible nonlinear regimes. The numerical simulations show that the influence of the growing small-scale perturbations is to weaken the peripheral vortices formed by the instability, and by this, to stabilize the whole vortex. A finite radius of deformation and/or bottom topography also stabilize the vortex as predicted by linear theory. An extension of this work to stratified flows is finally recommended. Full article
(This article belongs to the Collection Advances in Geophysical Fluid Dynamics)
Show Figures

Figure 1

29 pages, 2947 KB  
Review
A Comparative Review of Vertical Axis Wind Turbine Designs: Savonius Rotor vs. Darrieus Rotor
by Alina Fazylova, Kuanysh Alipbayev, Alisher Aden, Fariza Oraz, Teodor Iliev and Ivaylo Stoyanov
Inventions 2025, 10(6), 95; https://doi.org/10.3390/inventions10060095 - 27 Oct 2025
Viewed by 151
Abstract
This paper reviews and analyzes three types of vertical-axis wind rotors: the classic Savonius, spiral Savonius, and Darrieus designs. Using numerical modeling methods, including computational fluid dynamics (CFD), their aerodynamic characteristics, power output, and efficiency under different operating conditions are examined. Key parameters [...] Read more.
This paper reviews and analyzes three types of vertical-axis wind rotors: the classic Savonius, spiral Savonius, and Darrieus designs. Using numerical modeling methods, including computational fluid dynamics (CFD), their aerodynamic characteristics, power output, and efficiency under different operating conditions are examined. Key parameters such as lift, drag, torque, and power coefficient are compared to identify the strengths and weaknesses of each rotor. Results highlight that the Darrieus rotor demonstrates the highest efficiency at higher wind speeds due to lift-based operation, while the spiral Savonius offers improved stability, smoother torque characteristics, and adaptability in turbulent or low-wind environments. The classic Savonius, though less efficient, remains simple, cost-effective, and suitable for small-scale urban applications where reliability is prioritized over high performance. In addition, the study outlines the importance of blade geometry, tip speed ratio, and advanced materials in enhancing rotor durability and efficiency. The integration of modern optimization approaches, such as CFD-based design improvements and machine learning techniques, is emphasized as a promising pathway for developing more reliable and sustainable vertical-axis wind turbines. Although the primary analysis relies on numerical simulations, the observed performance trends are consistent with findings reported in experimental studies, indicating that the results are practically meaningful for design screening, technology selection, and siting decisions. Unlike prior studies that analyze Savonius and Darrieus rotors in isolation or under heterogeneous setups, this work (i) establishes a harmonized, fully specified CFD configuration (common domain, BCs, turbulence/near-wall treatment, time-stepping) enabling like-for-like comparison; (ii) couples the transient aerodynamic loads p(θ,t) into a dynamic FEA + fatigue pipeline (rainflow + Miner with mean-stress correction), going beyond static loading proxies; (iii) quantifies a prototype-stage materials choice rationale (aluminum) with a validated migration path to orthotropic composites; and (iv) reports reproducible wake/torque metrics that are cross-checked against mature models (DMST/actuator-cylinder), providing design-ready envelopes for small/medium VAWTs. Overall, the work provides recommendations for selecting rotor types under different wind conditions and operational scenarios to maximize energy conversion performance and long-term reliability. Full article
14 pages, 14889 KB  
Article
Canopy-Wind-Induced Pressure Fluctuations Drive Soil CO2 Transport in Forest Ecosystems
by Taolve Chen, Junjie Jiang, Lingxia Feng, Junguo Hu and Yixi Liu
Forests 2025, 16(11), 1637; https://doi.org/10.3390/f16111637 - 26 Oct 2025
Viewed by 224
Abstract
Although accurate quantification of forest soil CO2 emissions is critical for improving global carbon cycle models, traditional chamber and gradient methods often underestimate fluxes under windy conditions. Based on long-term field observations in a subtropical maple forest, we quantified the interaction between [...] Read more.
Although accurate quantification of forest soil CO2 emissions is critical for improving global carbon cycle models, traditional chamber and gradient methods often underestimate fluxes under windy conditions. Based on long-term field observations in a subtropical maple forest, we quantified the interaction between canopy-level winds and soil pore air pressure fluctuations in regulating vertical CO2 profiles. The results demonstrate that canopy winds, rather than subcanopy airflow, dominate deep soil CO2 dynamics, with stronger explanatory power for concentration variability. The observed “wind-pumping effect” operates through soil pressure fluctuations rather than direct wind speed, thereby enhancing advective CO2 transport. Soil pore air pressure accounted for 33%–48% of CO2 variation, far exceeding the influence of near-surface winds. These findings highlight that, even in dense forests with negligible understory airflow, canopy turbulence significantly alters soil–atmosphere carbon exchange. We conclude that integrating soil pore air pressure into flux calculation models is essential for reducing underestimation bias and improving the accuracy of forest carbon cycle assessments. Full article
(This article belongs to the Section Forest Meteorology and Climate Change)
Show Figures

Figure 1

23 pages, 509 KB  
Article
Management of Sustainable Development Goals as Indicators of Ecological Awareness: An Insight Through the 2030 Agenda
by Predrag Tončev, Vladimir Tomašević, Jelena Raut and Luka Latinović
Sustainability 2025, 17(21), 9520; https://doi.org/10.3390/su17219520 - 26 Oct 2025
Viewed by 244
Abstract
This study investigates how enterprises in the service (tertiary) sector in Vojvodina, Serbia, integrate and prioritize Sustainable Development Goals (SDGs), with a focus on ecological sustainability, under crisis conditions. Based on a questionnaire survey and factor analysis of 150 respondents, which identified four [...] Read more.
This study investigates how enterprises in the service (tertiary) sector in Vojvodina, Serbia, integrate and prioritize Sustainable Development Goals (SDGs), with a focus on ecological sustainability, under crisis conditions. Based on a questionnaire survey and factor analysis of 150 respondents, which identified four key sustainability dimensions explained 59.75% of total variance, were identified: Education and Energy (including SDG4—Quality Education and SDG7—Affordable and Clean Energy), Health and Social Well-being (including SDG3—Good Health and Well-being and SDG2—Zero Hunger), Ecological Sustainability and Nature Protection (including SDG6—Clean Water and Sanitation and SDG14—Life Below Water), and Economy and Climate Change (including SDG8—Decent Work and Economic Growth, SDG13—Climate Action, and SDG17—Partnerships for the Goals). The findings emphasize the multidimensional and interconnected nature of these dimensions and their role in enhancing organizational resilience. By linking crisis management strategies with SDG integration, the study provides both theoretical contributions and practical insights for managers aiming to improve sustainability performance in turbulent environments. Full article
Show Figures

Figure 1

24 pages, 9449 KB  
Article
Assessing the Hydraulic Parameters of an Open Channel Spillway Through Numerical and Experimental Approaches
by Elaheh Motahari Moghadam, Ali Saeidi, Javier Patarroyo, Alain Rouleau and Meghdad Payan
Water 2025, 17(21), 3059; https://doi.org/10.3390/w17213059 - 25 Oct 2025
Viewed by 309
Abstract
The effective design and operation of hydraulic structures, particularly open channel spillways, are crucial for water resource management and flood risk reduction in dams. A clear understanding of flow properties, such as velocity fluctuations and discharge, across various depths is essential for optimizing [...] Read more.
The effective design and operation of hydraulic structures, particularly open channel spillways, are crucial for water resource management and flood risk reduction in dams. A clear understanding of flow properties, such as velocity fluctuations and discharge, across various depths is essential for optimizing performance. In this study, experimental analysis and numerical simulation using FLOW-3D were combined to investigate the hydraulic parameters of a scaled model of the Romaine IV spillway located in Quebec, Canada. Measurements focused on flow properties, including velocity fluctuations at various discharge rates in specific flow depths, at selected points along the spillway. The numerical model was assessed by reproducing experimental geometry, initial water levels, and boundary conditions, and through sensitivity analyses to ensure accurate flow representation. Comparisons of flow rates of 180, 240, and 340 L/s showed that while simulations with the renormalized group (RNG) turbulence model reliably predicted average velocities, they underestimated maximum values and overestimated minimum values, especially at higher discharges. The results highlight the difficulty of accurately capturing velocity extremes in turbulent flows and the need for further model refinement. This was evident from the 60% discrepancy in minimum velocities observed at the channel center. Despite these discrepancies, the study advances our understanding of spillway performance and identifies avenues to improve the accuracy of numerical modeling in hydraulic engineering. Full article
(This article belongs to the Special Issue Hydrodynamics Science Experiments and Simulations, 2nd Edition)
Show Figures

Figure 1

19 pages, 3850 KB  
Article
Structural Characteristics of Wind Turbines with Different Blade Materials Under Yaw Condition
by Huanran Guo, Liru Zhang, Jing Jia, Ding Du, Anhao Wei and Tianhao Liu
Energies 2025, 18(21), 5558; https://doi.org/10.3390/en18215558 - 22 Oct 2025
Viewed by 195
Abstract
The uneven distribution of airflow on the blade surface of a yaw wind turbine triggers a complex non-constant flow, resulting in turbine flow field operation disorder, which, in turn, affects the structural field. In view of the different degrees of influence of different [...] Read more.
The uneven distribution of airflow on the blade surface of a yaw wind turbine triggers a complex non-constant flow, resulting in turbine flow field operation disorder, which, in turn, affects the structural field. In view of the different degrees of influence of different blade materials on the structural characteristics of a wind turbine, a numerical simulation of the flow field and structural field of the horizontal-axis wind turbine under different yaw conditions is carried out by using the fluid–solid coupling method to quantitatively analyse the degree of influence of the material on the structural characteristics of the wind turbine. The results show that the average velocity of the wake cross-section shows a trend of decreasing, then increasing, and then stabilising at all yaw angles. The larger the yaw angle, the wider is the vortex structure dispersion. As the wake develops downstream, the turbulence intensity is shown to decrease and then increase, and the yaw perturbation exacerbates the turbulence disorder in the wake flow field. Along the wind turbine blade spreading direction, the blade deformation phenomenon is significant. The yaw angle increases, the wind turbine blade deformation increases, and the maximum blade stress first increases and then decreases. At a 15° yaw angle, the airflow on the blade surface is more easily separated, and vortices are formed in the vicinity, which impede the airflow in the boundary layer and lead to a reduction in the velocity in the boundary layer in this region. The minimum deformation and maximum stress of the three materials under a 15° yaw angle indicate that the blades are more capable of resisting external deformation under this condition, so 15° yaw is the best operating condition for the wind turbine. This paper employs different materials to quantitatively analyse the extent to which structural characteristics influence wind turbine performance. The findings from this research can provide valuable insights for optimising wind turbine designs. Full article
Show Figures

Figure 1

Back to TopTop