Sign in to use this feature.

Years

Between: -

Subjects

remove_circle_outline
remove_circle_outline
remove_circle_outline
remove_circle_outline
remove_circle_outline
remove_circle_outline
remove_circle_outline
remove_circle_outline
remove_circle_outline

Journals

remove_circle_outline
remove_circle_outline
remove_circle_outline
remove_circle_outline

Article Types

Countries / Regions

remove_circle_outline
remove_circle_outline
remove_circle_outline

Search Results (237)

Search Parameters:
Keywords = toxic metals and metalloids

Order results
Result details
Results per page
Select all
Export citation of selected articles as:
14 pages, 1921 KB  
Article
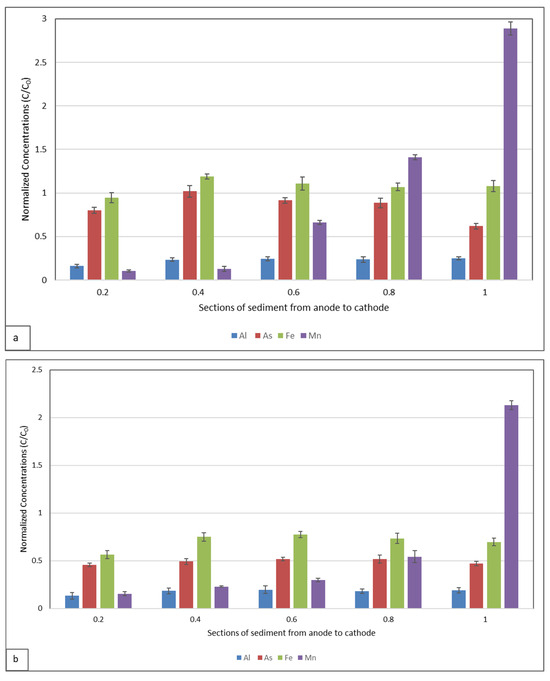
Citric Acid-Assisted Electrokinetic Remediation of Arsenic and Metal-Rich Acidic Mine Pond Sediments
by Oznur Karaca
Toxics 2025, 13(11), 1000; https://doi.org/10.3390/toxics13111000 - 20 Nov 2025
Viewed by 381
Abstract
Mining activities in the study area have led to the formation of irregular depressions where rainwater accumulates, creating acidic mine ponds. The water in these ponds becomes contaminated through contact with mine wastes and bottom sediments, leading to the dispersion of toxic metals [...] Read more.
Mining activities in the study area have led to the formation of irregular depressions where rainwater accumulates, creating acidic mine ponds. The water in these ponds becomes contaminated through contact with mine wastes and bottom sediments, leading to the dispersion of toxic metals and metalloids into the surrounding environment and food chain. This study investigates electrokinetic remediation (EKR) of highly contaminated acidic mine pond sediments and evaluates the role of citric acid (CA) as a biodegradable and environmentally friendly chelating agent. The sediment was highly acidic (pH 3.35) and contained elevated concentrations of Al, Fe, Mn, and As. Laboratory-scale EKR experiments were conducted for 27 days under a constant potential gradient of 1 V/cm, using 0.1 M CA as the electrolyte. The results obtained from this study were compared with those obtained using deionised water (DIW) as the electrolyte. The results demonstrated that CA significantly enhanced metal mobility, leading to higher removal efficiencies for Al (82.4%), As (51.1%), Mn (32.9%), and Fe (29.5%) compared to DIW. The pH near the cathode remained more balanced, and metal precipitation was minimised. Furthermore, total energy consumption decreased by about 53% (from 551 to 262 kWh/m3), indicating improved process efficiency. These results reveal that CA-assisted EKR can be an effective and sustainable method for the remediation of highly acidic mine pond sediments. Full article
(This article belongs to the Section Toxicity Reduction and Environmental Remediation)
Show Figures

Graphical abstract

25 pages, 3145 KB  
Article
Integrated Environmental Conditions Index (IECI) for Assessing Emerging/Legacy Pollutants and Environmental Integrity
by Rubén Rafael Granados-Sánchez, Jacinto Elías Sedeño-Díaz and Eugenia López-López
Environments 2025, 12(11), 442; https://doi.org/10.3390/environments12110442 - 17 Nov 2025
Viewed by 824
Abstract
Current environmental pollution and degradation are problems of global concern. Environmental assessment indices are commonly applied for managing and diagnosing the health of ecosystems. However, most indices are specific to a type or group of pollutants or environmental characteristics. Therefore, this study focused [...] Read more.
Current environmental pollution and degradation are problems of global concern. Environmental assessment indices are commonly applied for managing and diagnosing the health of ecosystems. However, most indices are specific to a type or group of pollutants or environmental characteristics. Therefore, this study focused on the development of a multi-metric index with the potential to integrate the environmental conditions assessed by specific indices. This index was named the Integrated Environmental Conditions Index (IECI). The IECI was applied to assess the environmental condition of rivers (Escanela, Jalpan, Ayutla, and Santa María) in the Sierra Gorda Biosphere Reserve in Mexico during two periods: the rainy and dry seasons. The study of surface water and sediment in riverbeds was addressed. We characterised ten study sites using both environmental indices and pollution indices associated with toxic metals/metalloids and microplastics. The IECI detected spatio-temporal changes. Seasonal variations in the environmental conditions were evident, as well as a reduction in environmental integrity in upstream sites, mainly due to the presence of microplastics and toxic metals/metalloids. The IECI proved effective in assessing environmental integrity and represents a valuable management tool for integrating environmental data and supporting informed decision-making. Full article
(This article belongs to the Special Issue Potentially Toxic Elements in the Environment and Their Ecotoxicology)
Show Figures

Graphical abstract

16 pages, 7447 KB  
Article
Genome-Wide Identification of the OPT Gene Family and Screening of Sb-Responsive Genes in Brassica juncea
by Xianjun Liu, Mingzhe Chen, Yuhui Yuan, Jialin Sheng, Pintian Zhong, Sha Gong, Zhongsong Liu, Guohong Xiang, Junhe Hu, Mingli Yan, Yong Chen and Liang You
Plants 2025, 14(21), 3399; https://doi.org/10.3390/plants14213399 - 6 Nov 2025
Viewed by 348
Abstract
Antimony (Sb), a toxic metalloid, inhibits plant growth and threatens human health. Yellow Stripe-Like (YSL) proteins play crucial roles in metal ion transport and cellular homeostasis. While the OPT gene family has been characterized in some species, its genome-wide organization and functional involvement [...] Read more.
Antimony (Sb), a toxic metalloid, inhibits plant growth and threatens human health. Yellow Stripe-Like (YSL) proteins play crucial roles in metal ion transport and cellular homeostasis. While the OPT gene family has been characterized in some species, its genome-wide organization and functional involvement in Sb stress response remain unexplored in Brassica juncea. Here, we identified 47 high-confidence BjOPT genes and combined transcriptomic approaches to elucidate their regulatory roles under Sb stress. Phylogenetic tree, conserved motifs, and gene structure analyses consistently distinguished the BjOPT and BjYSL subfamilies. Comparative and collinearity analyses indicated that OPT genes in Brassica species (including B. rapa, B. nigra, and B. juncea) expanded independently of whole-genome triplication events. Transcriptomic profiling revealed significant enrichment of differentially expressed genes (DEGs) related to key biological processes (oxidative and toxic stress response, metal ion transport, and auxin efflux) and pathways (glutathione metabolism, MAPK signaling, and phytohormone transduction), highlighting their roles in Sb detoxification and tolerance. Notably, three BjYSL3 (BjA10.YSL3, BjB02.YSL3, and BjB05.YSL3) genes exhibited strong up-regulation under Sb stress. Heterologous expression in yeast demonstrated that both BjA10.YSL3 and BjB02.YSL3 enhance Sb tolerance, suggesting their potential role in transporting Sb–nicotianamine (NA) or phytosiderophore (PS) complexes. These findings advance our understanding of Sb tolerance mechanisms and provide a basis for developing metal-resistant crops and phytoremediation strategies. Full article
(This article belongs to the Special Issue Genetic Improvement of Oilseed Crops)
Show Figures

Figure 1

26 pages, 731 KB  
Article
Investigation and Health Risk Assessment of Potentially Toxic Elements in Hair-Dye Products Sold in Brazil and Paraguay
by Gelson Martins da Silva, Marta Aratuza Pereira Ancel, Regiane Santana da Conceição Ferreira Cabanha, Amanda Lucy Farias de Oliveira, Ana Carla Pinheiro Lima, Andréia Cristina Lopes Corrêa, Marcelo Luiz Brandão Vilela, Diego Azevedo Zoccal Garcia, Omar Dias Lacerda, Elaine Silva de Padua Melo, Ademir da Silva Alves Junior and Valter Aragão do Nascimento
Sci 2025, 7(4), 160; https://doi.org/10.3390/sci7040160 - 5 Nov 2025
Viewed by 1198
Abstract
Hair dyes are widely used cosmetic products that can contain trace metals and metalloids, posing potential health risks through dermal exposure. This study aimed to assess and compare the concentrations of selected metals and metalloids in six brands of commercial hair dyes sold [...] Read more.
Hair dyes are widely used cosmetic products that can contain trace metals and metalloids, posing potential health risks through dermal exposure. This study aimed to assess and compare the concentrations of selected metals and metalloids in six brands of commercial hair dyes sold in Brazil and Paraguay and to evaluate their average daily dermal exposure doses, hazard quotients, hazard indices, and carcinogenic risk. Concentrations of Cr, Cd, Co, Cu, Fe, Mn, Mo, Ni, As, Al, Pb, Ba, Ag, and Zn in hair dye were quantified by standardized analytical methods. The Paraguayan brand showed the highest levels for several elements, including As (4.17 mg/kg), Al (130.276 mg/kg), and Fe (30.033 mg/kg). Estimated dermal exposure doses reached up to 3.35 × 10−6 mg/kg/day for arsenic, 1.68 × 10−3 mg/kg/day for aluminum, and 8.59 × 10−8 mg/kg/day for chromium. Although all hazard indices remained below 1, suggesting low non-carcinogenic risk, the calculated carcinogenic risk for arsenic in the Paraguayan product was 1.23 × 10−5, entering the medium-risk range. These findings highlight relevant differences in raw material control and potential cumulative health risks, especially for frequent users. Continuous quality control, harmonized regulatory standards, clear labeling, and further biomonitoring studies are strongly recommended to minimize long-term exposure to toxic elements in hair dye formulations and to ensure safer consumer products. Full article
Show Figures

Figure 1

27 pages, 1141 KB  
Review
Epigenetic Mechanisms of Plant Adaptation to Cadmium and Heavy Metal Stress
by Eleonora Greco, Emanuela Talarico, Francesco Guarasci, Marina Camoli, Anna Maria Palermo, Alice Zambelli, Adriana Chiappetta, Fabrizio Araniti and Leonardo Bruno
Epigenomes 2025, 9(4), 43; https://doi.org/10.3390/epigenomes9040043 - 2 Nov 2025
Viewed by 553
Abstract
Heavy metal and metalloid stress, particularly from toxic elements like cadmium (Cd), poses a growing threat to plant ecosystems, crop productivity, and global food security. Elevated concentrations of these contaminants can trigger cytotoxic and genotoxic effects in plants, severely impairing growth, development, and [...] Read more.
Heavy metal and metalloid stress, particularly from toxic elements like cadmium (Cd), poses a growing threat to plant ecosystems, crop productivity, and global food security. Elevated concentrations of these contaminants can trigger cytotoxic and genotoxic effects in plants, severely impairing growth, development, and reproduction. In recent years, epigenetic mechanisms have emerged as crucial regulators of plant responses to heavy metal stress, offering novel insights and strategies for enhancing plant resilience in contaminated environments. This review synthesises current advances in the field of plant epigenetics, focusing on key modifications such as DNA methylation, histone acetylation and remodelling, chromatin dynamics, and small RNA-mediated regulation. These processes not only influence gene expression under metal-induced stress but also hold promise for long-term adaptation through transgenerational epigenetic memory. Recent developments in high-throughput sequencing and functional genomics have accelerated the identification of epigenetic markers associated with stress tolerance, enabling the integration of these markers into breeding programs and targeted epigenome editing strategies. Special attention is given to cadmium stress responses, where specific epigenetic traits have been linked to enhanced tolerance. As plant epigenomic research progresses, its application in sustainable agriculture becomes increasingly evident offering environmentally friendly solutions to mitigate the impact of heavy metal pollution. This review provides a foundation for future research aimed at leveraging epigenetic tools to engineer crops capable of thriving under metal stress, thereby contributing to resilient agricultural systems and sustainable food production. Full article
Show Figures

Figure 1

20 pages, 8623 KB  
Article
Revitalization of Trakošćan Lake—Preliminary Analyses of the Sediment with the Possibility of Its Reuse in the Environment
by Saša Zavrtnik, Dijana Oskoruš, Sanja Kapelj and Jelena Loborec
Water 2025, 17(21), 3055; https://doi.org/10.3390/w17213055 - 24 Oct 2025
Viewed by 502
Abstract
Trakošćan Lake is an artificial lake created in the mid-19th century for aesthetic and economic purposes. The area around the lake has been protected as park forest. Recently, the lake has become the most famous example of eutrophication in Croatia, as by 2022, [...] Read more.
Trakošćan Lake is an artificial lake created in the mid-19th century for aesthetic and economic purposes. The area around the lake has been protected as park forest. Recently, the lake has become the most famous example of eutrophication in Croatia, as by 2022, a significant amount of sediment had accumulated in it. Therefore, the lake was drained that same year, followed by mechanical removal of the sediment. The total amount of sediment removed was 204,000 m3. After the removal work, a particularly important question arose of what to do with such a large amount of sediment. The objective of this research was to gain specific insight into the chemical composition of the sediment with the aim of its possible use in agricultural production for increasing the quality of arable land. A comprehensive qualitative geochemical and agrochemical analysis of the sediment composition was carried out for the first time, including indicators of the pH value, amount of organic matter and carbon, total nitrogen, available phosphorus and potassium, amount of carbonates, and the presence of metals, metalloids, and non-metals, of which As, Cd, Hg, and Pb are toxic. Electrochemical, spectrophotometric, and titration methods were used, along with three atomic absorption spectrometry techniques. The results of the analyses were interpreted in comparison with the natural substrate, as well as with the current regulations for agricultural land in the Republic of Croatia. According to this, sediment is not harmful for the environment. Full article
(This article belongs to the Section Water Erosion and Sediment Transport)
Show Figures

Figure 1

13 pages, 3628 KB  
Article
Model Construction and Prediction of Combined Toxicity of Arsenic(V) and Lead(II) on Chlamydomonas reinhardtii
by Zhongquan Jiang, Tianyi Wei, Chunhua Zhang, Xiaosheng Shen, Zhemin Shen, Tao Yuan and Ying Ge
Biology 2025, 14(10), 1395; https://doi.org/10.3390/biology14101395 - 11 Oct 2025
Viewed by 350
Abstract
With the acceleration of industrialization, the impact of the toxic metalloid arsenic (As) and metal lead (Pb) on aquatic ecosystems has garnered widespread concern. However, the specific toxic effects of how these two metals jointly impact aquatic organisms are not yet fully understood. [...] Read more.
With the acceleration of industrialization, the impact of the toxic metalloid arsenic (As) and metal lead (Pb) on aquatic ecosystems has garnered widespread concern. However, the specific toxic effects of how these two metals jointly impact aquatic organisms are not yet fully understood. This study aims to investigate the toxic effects of As and Pb individually and in combination of the mixture on the growth of Chlamydomonas reinhardtii (C. reinhardtii) in a lab setup using the Concentration Addition (CA) model and the Independent Action (IA) model to predict the toxic effects at different concentrations. The results indicated that As and Pb had significant inhibitory effects on the growth of algae, and the toxicity of As was greater than that of Pb (As EC50 = 374.87 μg/L, Pb EC50 = 19,988.75 μg/L), measured by Spectrophotometer. As the metal concentrations increased, both metals demonstrated classic sigmoidal concentration-effect curves. Furthermore, we discovered that in mixtures of As and Pb at varying concentration ratios, the combined toxic effect shifted from additive to synergistic with increasing As concentration, exhibiting a pronounced concentration ratio dependency. Utilizing nonlinear least squares regression, we successfully constructed concentration-response models for both As and Pb, employing Observation-based Confidence Intervals (OCIs) to reflect the uncertainty of the data. By comparing experimental data with model predictions, the EC50 was used as an index to compare the toxicity magnitude of As/Pb mixtures. The toxicity of As and Pb mixtures gradually increases with the increase in their concentration ratios. Scanning and transmission electron microscopic observations revealed that the combination of 200 μg/L As and 2000 μg/L Pb resulted in the greatest synergistic toxic effect, with severe breakage and indentation to C. reinhardtii cells. This study not only provided new insights into the environmental behavior and ecological risks of As and Pb but also held significant implications for effective water pollution management strategies by offering a validated model-based framework for predicting mixture toxicity across different concentration regimes. Full article
(This article belongs to the Section Toxicology)
Show Figures

Figure 1

33 pages, 5369 KB  
Review
Zinc-Mediated Defenses Against Toxic Heavy Metals and Metalloids: Mechanisms, Immunomodulation, and Therapeutic Relevance
by Roopkumar Sangubotla, Shameer Syed, Anthati Mastan, Buddolla Anantha Lakshmi and Jongsung Kim
Int. J. Mol. Sci. 2025, 26(19), 9797; https://doi.org/10.3390/ijms26199797 - 8 Oct 2025
Viewed by 1523
Abstract
Zinc (Zn), a naturally occurring trace element ubiquitous in the Earth’s crust, soil, and water, is indispensable for human health due to its physiological and nutritive benefits. In this scenario, Zn is pivotal for maintaining homeostasis against toxic effects exerted by heavy metals [...] Read more.
Zinc (Zn), a naturally occurring trace element ubiquitous in the Earth’s crust, soil, and water, is indispensable for human health due to its physiological and nutritive benefits. In this scenario, Zn is pivotal for maintaining homeostasis against toxic effects exerted by heavy metals (HMs) through bioaccumulation and metabolic interference. Zinc is an enticing cofactor for miscellaneous biochemical enzymes such as Zn metalloenzymes, which mediate crucial cellular processes, including cell proliferation, protein synthesis, immune modulation, epigenetic regulation, and nucleic acid synthesis. Recently, several research studies have focused on the thorough investigation of Zn supplementation in controlling HM toxicity by competing for binding sites and boosting protective mechanisms in humans. The current article discusses the upper limits for various toxic HMs in staple crop foods, as provided by globally recognized organizations. Clinical studies recommend a daily dose of 11 mg of Zn for healthy men and 8–12 mg for women in healthy and pregnancy conditions. However, during Zn deficiency, therapeutic supplementation is expected to be adjustable, and the dosage is increased from 15 to 30 mg daily. This review discusses the dysregulation of specific Zn importers and transporters (ZIPs/ZnTs) due to their clinical significance in immune system dysfunction as well as the progression of a myriad of cancers, including prostate, breast, and pancreas. Moreover, this review emphasizes indispensable in vitro and in vivo studies, as well as key molecular mechanisms related to Zn supplementation for treating toxicities exacerbated by HMs. Full article
Show Figures

Graphical abstract

25 pages, 2838 KB  
Review
Exposure and Toxicity Factors in Health Risk Assessment of Heavy Metal(loid)s in Water
by Jelena Vesković and Antonije Onjia
Water 2025, 17(19), 2901; https://doi.org/10.3390/w17192901 - 7 Oct 2025
Viewed by 1514
Abstract
Heavy metal(loid) (HM) contamination in water arises from various anthropogenic activities and natural processes, posing risks to human health through ingestion and dermal absorption. Although numerous studies have assessed health risks associated with HMs in water, inconsistencies in the selection of exposure and [...] Read more.
Heavy metal(loid) (HM) contamination in water arises from various anthropogenic activities and natural processes, posing risks to human health through ingestion and dermal absorption. Although numerous studies have assessed health risks associated with HMs in water, inconsistencies in the selection of exposure and toxicity factors limit comparability and reliability across studies. To address this gap, the aim of this review was to provide a comprehensive synthesis of exposure and toxicity factors used in health risk assessment (HRA) of HMs in water. The objectives were to evaluate the variability in ingestion, body weight, exposure duration and frequency, and dermal contact parameters, as well as in reference doses and cancer slope factors and to propose standardized values and statistical distributions for more consistent risk estimation. A systematic search of the Scopus database retrieved 806 studies, from which highly cited articles (≥100 citations) and recent publications (2023–2025) were prioritized for analysis. The findings revealed substantial variability in factors and showed that probabilistic approaches, particularly Monte Carlo simulation, were increasingly applied and provided more reliable estimates than traditional deterministic methods. The highest agreement was observed for exposure frequency for ingestion (365 days/year) and skin surface area (18,000 cm2), each applied in 75.5% of cases. By identifying inconsistencies in current practices and proposing standardized exposure and toxicity values and distributions for water, this review is expected to offer practical recommendations to improve the robustness, reliability, and comparability of HRAs, ultimately informing more effective policy-making and water management practices. Full article
(This article belongs to the Special Issue Groundwater Quality and Human Health Risk, 2nd Edition)
Show Figures

Figure 1

14 pages, 1759 KB  
Review
Lung Deposition of Particulate Matter as a Source of Metal Exposure: A Threat to Humans and Animals
by Joel Henrique Ellwanger, Marina Ziliotto and José Artur Bogo Chies
Toxics 2025, 13(9), 788; https://doi.org/10.3390/toxics13090788 - 17 Sep 2025
Viewed by 896
Abstract
The deposition of particulate matter (PM) in the lungs is a health problem that primarily affects individuals working in mines and other highly polluted environments. People living in large cities also accumulate PM in their lungs throughout their lives due to the high [...] Read more.
The deposition of particulate matter (PM) in the lungs is a health problem that primarily affects individuals working in mines and other highly polluted environments. People living in large cities also accumulate PM in their lungs throughout their lives due to the high levels of air pollution often observed in urban environments. In addition to the direct effects that the physical deposition of PM causes in the lungs, such as increased levels of inflammation and fibrosis, these pollutants can be associated with additional toxic effects, including genotoxicity and other molecular, cellular, and systemic alterations that can lead to the development of multiple diseases. This occurs because PM carries a number of toxic pollutants to the lungs, especially metals and metalloids such as arsenic, lead, cadmium, chromium, and mercury. Although the histopathological effects of occupational (pneumoconiosis) or environmental (anthracosis) deposition of PM in the human lungs are well described, little is discussed about how these morphological alterations can be a proxy for acute and chronic exposure to several toxic metals. Furthermore, the effects of PM–metal complexes on the health of animals, especially those living in urban environments, are often overlooked. In this context, this narrative review aims to discuss the impacts of lung-deposited PM–metal complexes on the health of multiple species, highlighting the broad effects caused by air pollution. Using the One Health approach, this article examines how environmental issues impact the health of both humans and animals. Full article
(This article belongs to the Special Issue Heavy Breathing: Unveiling the Impact of Heavy Metals on Lung Health)
Show Figures

Graphical abstract

1 pages, 142 KB  
Correction
Correction: Bacchi et al. First Report on the Presence of Toxic Metals and Metalloids in East Asian Bullfrog (Hoplobatrachus rugulosus) Legs. Foods 2022, 11, 3009
by Emanuela Bacchi, Gaetano Cammilleri, Marina Tortorici, Francesco Giuseppe Galluzzo, Licia Pantano, Vittorio Calabrese, Mariagrazia Brunone, Antonio Vella, Andrea Macaluso, Gianluigi Maria Lo Dico and Vincenzo Ferrantelli
Foods 2025, 14(18), 3225; https://doi.org/10.3390/foods14183225 - 17 Sep 2025
Viewed by 304
Abstract
In the original publication [...] Full article
20 pages, 1183 KB  
Article
Influence of Pelagic Sargassum spp. On Soil Amelioration for Seed Germination and Seedling Growth of Corn (Zea mays), Scotch Bonnet Pepper (Capsicum chinense), and Tomato (Solanum lycopersicum)
by Dannielle Haye, Carla Botelho Machado, Robyn Young, Dale Webber, Bhaskar Rao Chinthapalli, Thierry Tonon and Mona Webber
Phycology 2025, 5(3), 44; https://doi.org/10.3390/phycology5030044 - 10 Sep 2025
Viewed by 719
Abstract
Pelagic Sargassum impacts the Caribbean and West Africa since 2011, disrupting economies and bringing major environmental, social, and health concerns. Avenues explored to valorise this biomass include the production of liquid biofertilisers and biostimulants. There has been less emphasis on the production of [...] Read more.
Pelagic Sargassum impacts the Caribbean and West Africa since 2011, disrupting economies and bringing major environmental, social, and health concerns. Avenues explored to valorise this biomass include the production of liquid biofertilisers and biostimulants. There has been less emphasis on the production of compost and mulch, and on their impact on plant growth. Therefore, the effects of compost and mulch prepared from rinsed and unrinsed Sargassum on corn, tomato, and pepper were investigated in this study. The elemental composition of soil, compost, mulch, and plant samples was also assessed to investigate the potential transfer of metals and metalloids from the compost and mulch to different parts of the plants (roots, leaves, and fruits). Sargassum-derived composts exhibited less effects on seed germination compared to mulch. Significant differences (p ≤ 0.05) between treatments were observed for seedling growth parameters (height, shoot diameter, and number of leaves). Post-harvest parameters were mixed with the leaf area index and the root-to-shoot ratios varied significantly between treatments but not moisture content. Variations in elemental concentrations were observed between the different parts of the plants and evaluated against established nutritional recommendations and toxicity thresholds. This study provides foundational insights for optimising pelagic Sargassum-based compost and mulch preparation to support plant growth. Full article
(This article belongs to the Collection Sargassum Golden Tides, a Global Problem)
Show Figures

Figure 1

25 pages, 1077 KB  
Review
Heavy Metals in Milk and Dairy Products: Safety and Analysis
by Maria Renata S. Souto, Adriana M. Pimenta, Rita I. L. Catarino, Maria Fernanda C. Leal and Eugénia T. R. Simões
Pollutants 2025, 5(3), 29; https://doi.org/10.3390/pollutants5030029 - 10 Sep 2025
Cited by 1 | Viewed by 3569
Abstract
Milk and dairy products play a key role in the human diet but may also be vehicles for toxic contaminants, particularly heavy metals and metalloids (HMs), such as lead (Pb), cadmium (Cd), mercury (Hg), and arsenic (As). This integrative review examines peer-reviewed studies [...] Read more.
Milk and dairy products play a key role in the human diet but may also be vehicles for toxic contaminants, particularly heavy metals and metalloids (HMs), such as lead (Pb), cadmium (Cd), mercury (Hg), and arsenic (As). This integrative review examines peer-reviewed studies published between 2015 and 2025 to examine sources, occurrence, and health risks associated with HM contamination in milk and dairy products. Key sources include industrial emissions, agricultural runoff, contaminated feed and water, and inadequate packaging. This review highlights regulatory inconsistencies, limited surveillance, and underuse of metal speciation analysis, which hinder accurate toxicity assessment. Advances in trace-level HM detection systems are discussed in terms of sensitivity, accessibility, and feasibility. Studies from diverse geographic regions frequently report high levels of Pb and Cd in samples originating from industrialized areas in low- and middle-income countries. Health risk indicators, such as target hazard quotients (THQs) and margins of exposure (MOEs), often exceed safety thresholds, particularly in children, indicating significant public health risks, especially with prolonged exposure. These findings underscore the urgent need for systematic contaminant monitoring, harmonized regulations, source-focused mitigation policies, and investment in rapid, cost-effective testing technologies to safeguard milk and dairy product safety worldwide. Full article
Show Figures

Graphical abstract

36 pages, 2136 KB  
Review
Valorization of Agro-Industrial Lignin as a Functional Polymer for Sustainable Wastewater Treatment
by Elena Ungureanu, Bogdan-Marian Tofanica, Eugen Ulea, Ovidiu C. Ungureanu, Maria E. Fortună, Răzvan Rotaru, Irina Volf and Valentin I. Popa
Polymers 2025, 17(16), 2263; https://doi.org/10.3390/polym17162263 - 21 Aug 2025
Cited by 1 | Viewed by 1438
Abstract
The rational design of functional and sustainable polymers is central to addressing global environmental challenges. In this context, unmodified lignin derived from Sarkanda grass (Tripidium bengalense), an abundant agro-industrial lignocellulosic byproduct, was systematically investigated as a natural polymeric adsorbent for the [...] Read more.
The rational design of functional and sustainable polymers is central to addressing global environmental challenges. In this context, unmodified lignin derived from Sarkanda grass (Tripidium bengalense), an abundant agro-industrial lignocellulosic byproduct, was systematically investigated as a natural polymeric adsorbent for the remediation of aqueous media contaminated with heavy metals. The study evaluates lignin’s behavior toward nine metal(loid) ions: arsenic, cadmium, chromium, cobalt, copper, iron, nickel, lead, and zinc. Adsorption performance was systematically investigated under static batch conditions, optimizing key parameters, with equilibrium and kinetic data modeled using established isotherms and rate equations. Surface characterization and seed germination bioassays provided supporting evidence. Unmodified Sarkanda grass lignin demonstrated effective adsorption, exhibiting a clear preference for Cu(II) followed by other divalent cations, with lower capacities for As(III) and Cr(VI). Adsorption kinetics consistently followed a pseudo-second-order model, indicating chemisorption as the dominant mechanism. Thermodynamic studies revealed spontaneous and endothermic processes. Bioassays confirmed significant reduction in aqueous toxicity and strong metal sequestration. This work positions unmodified Sarkanda grass lignin as a bio-based, low-cost polymer platform for emerging water treatment technologies, contributing to circular bioeconomy goals and highlighting the potential of natural polymers in sustainable materials design. Full article
(This article belongs to the Special Issue Designing Polymers for Emerging Applications)
Show Figures

Figure 1

53 pages, 4395 KB  
Article
Assessment of Metal(loid)s in Fern Amauropelta rivularioides (Fee), Soil, and River Water in a Peri-Urban Agriculture Area on the Brazil–Paraguay Border
by Paulo Renato Espindola, Elaine Silva de Pádua Melo, Duani A. L. F. Espindola, Diego Azevedo Zoccal Garcia, Marta Aratuza Pereira Ancel, Arnildo Pott and Valter Aragão do Nascimento
Urban Sci. 2025, 9(8), 324; https://doi.org/10.3390/urbansci9080324 - 18 Aug 2025
Cited by 1 | Viewed by 1510
Abstract
This study examined the temporal dynamics of metal(loid) concentrations in agricultural soils, fern Amauropelta rivularioides, and surface waters in a peri-urban region on the Brazil–Paraguay border during 2019–2020. Elevated levels of As, Se, Co, Mn, Cu, and Zn raised concerns about environmental [...] Read more.
This study examined the temporal dynamics of metal(loid) concentrations in agricultural soils, fern Amauropelta rivularioides, and surface waters in a peri-urban region on the Brazil–Paraguay border during 2019–2020. Elevated levels of As, Se, Co, Mn, Cu, and Zn raised concerns about environmental and human health risks, especially when compared to international guidelines. Post-harvest and pre-harvest periods, particularly during corn cultivation, revealed higher concentrations of toxic metals, suggesting cumulative effects of agrochemical use. Principal Component Analysis indicated significant geochemical variation, with particular emphasis on the Collection 1 period (1 June 2019). The fern A. rivularioides demonstrated metal accumulation, especially for As, Pb, Cr, and Ba, reflecting the influence of agrochemical residues and seasonal runoff. Surface waters displayed metal concentrations below detection limits, but phosphorus levels surpassed USEPA thresholds for eutrophication risk. Risk assessments indicated moderate to high contamination in soils, particularly for P, As, Mg, and Se. Hazard Quotient and Hazard Index values suggested chronic health risks, and Incremental Lifetime Cancer Risk values for dermal exposure to As, Pb, and Cr indicated an elevated cancer risk. Full article
Show Figures

Figure 1

Back to TopTop