Sign in to use this feature.

Years

Between: -

Subjects

remove_circle_outline
remove_circle_outline
remove_circle_outline
remove_circle_outline
remove_circle_outline
remove_circle_outline
remove_circle_outline
remove_circle_outline
remove_circle_outline

Journals

remove_circle_outline
remove_circle_outline
remove_circle_outline
remove_circle_outline
remove_circle_outline
remove_circle_outline
remove_circle_outline
remove_circle_outline
remove_circle_outline
remove_circle_outline
remove_circle_outline
remove_circle_outline
remove_circle_outline
remove_circle_outline
remove_circle_outline
remove_circle_outline
remove_circle_outline

Article Types

Countries / Regions

remove_circle_outline
remove_circle_outline
remove_circle_outline
remove_circle_outline
remove_circle_outline

Search Results (1,627)

Search Parameters:
Keywords = thermal field optimization

Order results
Result details
Results per page
Select all
Export citation of selected articles as:
32 pages, 6390 KB  
Article
Reproducing Cold-Chain Conditions in Real Time Using a Controlled Peltier-Based Climate System
by Javier M. Garrido-López, Alfonso P. Ramallo-González, Manuel Jiménez-Buendía, Ana Toledo-Moreo and Roque Torres-Sánchez
Sensors 2025, 25(21), 6689; https://doi.org/10.3390/s25216689 (registering DOI) - 1 Nov 2025
Abstract
Temperature excursions during refrigerated transport strongly affect the quality and shelf life of perishable food, yet reproducing realistic, time-varying cold-chain temperature histories in the laboratory remains challenging. In this study, we present a compact, portable climate chamber driven by Peltier modules and an [...] Read more.
Temperature excursions during refrigerated transport strongly affect the quality and shelf life of perishable food, yet reproducing realistic, time-varying cold-chain temperature histories in the laboratory remains challenging. In this study, we present a compact, portable climate chamber driven by Peltier modules and an identification-guided control architecture designed to reproduce real refrigerated-truck temperature histories with high fidelity. Control is implemented as a cascaded regulator: an outer two-degree-of-freedom PID for air-temperature tracking and faster inner PID loops for module-face regulation, enhanced with derivative filtering, anti-windup back-calculation, a Smith predictor, and hysteresis-based bumpless switching to manage dead time and polarity reversals. The system integrates distributed temperature and humidity sensors to provide real-time feedback for precise thermal control, enabling accurate reproduction of cold-chain conditions. Validation comprised two independent 36-day reproductions of field traces and a focused 24-h comparison against traditional control baselines. Over the long trials, the chamber achieved very low long-run errors (MAE0.19 °C, MedAE0.10 °C, RMSE0.33 °C, R2=0.9985). The 24-h test demonstrated that our optimized controller tracked the reference, improving both transient and steady-state behaviour. The system tolerated realistic humidity transients without loss of closed-loop performance. This portable platform functions as a reproducible physical twin for cold-chain experiments and a reliable data source for training predictive shelf-life and digital-twin models to reduce food waste. Full article
(This article belongs to the Section Physical Sensors)
Show Figures

Figure 1

14 pages, 3259 KB  
Article
Macroscopic Temperature Field Modeling and Simulation of Nickel-Based Cladding Layers in Laser Cladding
by Shaoping Hu, Longfeng Sun, Yanchong Gao, Chao Zhang and Tianbiao Yu
Appl. Sci. 2025, 15(21), 11675; https://doi.org/10.3390/app152111675 (registering DOI) - 31 Oct 2025
Abstract
During the laser cladding process, the distribution of the temperature field directly influences the morphology, microstructure, and residual stress state of the cladding layer. However, the process involves transient characteristics of rapid heating and cooling, making it challenging to study temperature field variations [...] Read more.
During the laser cladding process, the distribution of the temperature field directly influences the morphology, microstructure, and residual stress state of the cladding layer. However, the process involves transient characteristics of rapid heating and cooling, making it challenging to study temperature field variations directly through experimental methods. Therefore, numerical simulation has become a crucial tool for gaining a deeper understanding of the laser cladding mechanism, providing theoretical basis and guidance for optimizing process parameters. This study systematically integrates COMSOL Multiphysics coupling simulation with Jmatpro material thermal property data to perform simulations of temperature field evolution, melt pool flow behavior, and Marangoni effects during laser cladding of nickel-based alloy (IN718) onto an EA4T steel substrate. It highlights the influence patterns of different process parameters (e.g., laser power, scanning speed) on the temperature gradient and flow characteristics of the molten pool, providing an in-depth theoretical basis for understanding the formation mechanism of the molten pool and microstructure control. Full article
Show Figures

Figure 1

26 pages, 3984 KB  
Article
Effects of Operational Parameters on Heat Extraction Efficiency in Medium-Deep Geothermal Systems: THM Coupling Numerical Simulation
by Wenrui Wang, Zhiwei Yang, Chenglu Gao, Zhiyuan Liu, Zongqing Zhou and Huaqing Ma
Energies 2025, 18(21), 5727; https://doi.org/10.3390/en18215727 - 30 Oct 2025
Viewed by 163
Abstract
Amid the global energy transition, geothermal energy, as a clean, stable, and renewable energy source, serves as a core direction for energy structure optimization. The development of medium-deep geothermal reservoirs is dominated by thermo–hydro–mechanical (THM) multi-physics coupling effects, yet the quantitative regulation laws [...] Read more.
Amid the global energy transition, geothermal energy, as a clean, stable, and renewable energy source, serves as a core direction for energy structure optimization. The development of medium-deep geothermal reservoirs is dominated by thermo–hydro–mechanical (THM) multi-physics coupling effects, yet the quantitative regulation laws of their operational parameters remain unclear. In this study, a numerical model for geothermal extraction considering THM multi-physics coupling was established. Using the single-factor variable method, simulations were conducted within the set parameter ranges of injection–production pressure difference, well spacing, and injection temperature. The spatiotemporal evolution characteristics of the temperature field, the dynamic temperature–pressure responses at the midpoint of injection–production wells and production wells, and efficiency indicators, such as instantaneous heat extraction power and cumulative heat extraction, were analyzed and quantified. The results show that a larger pressure difference accelerates the expansion of the cold zone in the reservoir, which improves short-term heat extraction efficiency but increases the risk of long-term thermal depletion; a smaller well spacing leads to higher initial heat production power but results in lower long-term cumulative heat extraction due to rapid heat consumption; within the normal temperature range of 16–24 °C, the injection temperature has a negligible impact on heat extraction efficiency. This study clarifies the regulatory laws of operational parameters and provides theoretical support for well pattern design and injection–production process optimization in medium-deep geothermal development. Full article
Show Figures

Figure 1

20 pages, 6399 KB  
Article
A Multi-Field Coupling Model for Municipal Solid Waste Degradation in Landfills: Integrating Microbial, Chemical, Thermal, and Hydraulic Processes
by Angran Tian, Hengliang Tang, Wei Chen, Xiangcai Pan, Fanfei Wu and Qiang Tang
Sustainability 2025, 17(21), 9691; https://doi.org/10.3390/su17219691 (registering DOI) - 30 Oct 2025
Viewed by 118
Abstract
The degradation of municipal solid waste (MSW) in landfills involves complex physical, chemical, and biological interactions that span multiple spatial and temporal scales. To better understand these dynamics, this study develops a comprehensive model that couples microbial, chemical, thermal, and hydraulic fields. The [...] Read more.
The degradation of municipal solid waste (MSW) in landfills involves complex physical, chemical, and biological interactions that span multiple spatial and temporal scales. To better understand these dynamics, this study develops a comprehensive model that couples microbial, chemical, thermal, and hydraulic fields. The model captures bidirectional feedback mechanisms, such as heat and acid production from microbial metabolism, which in turn influence microbial activity and reaction pathways. A simplified one-dimensional formulation was solved using the finite difference method and validated against historical temperature data from real landfills. Simulation results indicate that temperature peaks at approximately 45 °C around the fifth year, followed by a gradual decline. pH and substrate concentration decrease over time but exhibit minimal variation with depth. The degradation rate reaches its maximum within two years and subsequently declines. These trends highlight the critical roles of temperature in initiating rapid degradation and substrate concentration in determining the endpoint of the reaction. This model provides a theoretical foundation for interpreting energy and mass transformation processes in landfills and offers practical insights for optimizing landfill management, reducing pollution, facilitating resource recovery and providing a theoretical model and prediction tool for sustainable waste management. Full article
Show Figures

Figure 1

17 pages, 4709 KB  
Article
Multi-Field Coupled Numerical Simulation of Geothermal Extraction and Reinjection in the Sandstone Reservoir
by Zhizheng Liu, Xiao Dong, Huafeng Liu, Yunhua He, Shuang Li, Chao Jia, Peng Qin, Bo Li and Pengpeng Ding
Sustainability 2025, 17(21), 9646; https://doi.org/10.3390/su17219646 - 30 Oct 2025
Viewed by 97
Abstract
The sustainable exploitation of geothermal energy is often challenged by issues such as groundwater level decline and thermal attenuation. This study focuses on the sandstone thermal reservoir in Linqing City, Shandong Province. A three-dimensional thermo-hydro-mechanical (THM) multi-field coupling numerical model is developed to [...] Read more.
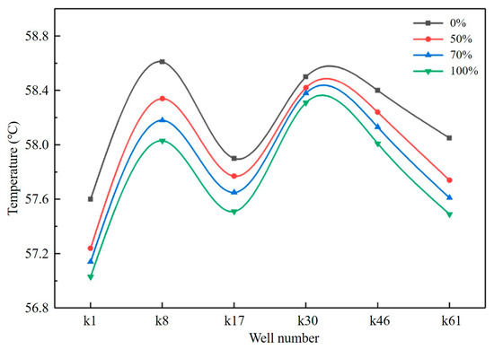
The sustainable exploitation of geothermal energy is often challenged by issues such as groundwater level decline and thermal attenuation. This study focuses on the sandstone thermal reservoir in Linqing City, Shandong Province. A three-dimensional thermo-hydro-mechanical (THM) multi-field coupling numerical model is developed to simulate the evolution of geothermal water levels and temperature fields under varying reinjection rates. The model was validated against observed water level and temperature data, showing maximum deviations of 1.62 m and 0.6 °C. Simulation results indicate that increasing the reinjection rate mitigates water-level decline but accelerates thermal breakthrough, expanding the low-temperature zone. At a 100% reinjection rate, the minimum temperature at the bottom of the thermal reservoir decreases to 63.6 °C, and the low-temperature area extends to 11.61 km2. Moderate reinjection rates help to slow thermal energy loss while maintaining reservoir pressure and stabilizing water levels. This study reveals the dual effects of reinjection rate on the balance of geothermal system and puts forward suggestions on optimizing well spacing according to the simulated advance rate of cold waterfront, so as to ensure sustainable thermal recovery. It provides theoretical basis and numerical simulation support for reinjection strategy optimization and well spacing design of similar geothermal fields in Linqing and North China Plain. Full article
(This article belongs to the Section Energy Sustainability)
Show Figures

Figure 1

17 pages, 1778 KB  
Article
Experimental and Field Assessment of Mineral–Cement–Emulsion Mixtures Containing Recycled Components
by Elżbieta Szafranko, Magdalena Czyż and Maciej Lis
Materials 2025, 18(21), 4955; https://doi.org/10.3390/ma18214955 - 30 Oct 2025
Viewed by 205
Abstract
This study investigates the performance of mineral–cement–emulsion (MCE) mixtures produced with reclaimed asphalt pavement (RAP) and recycled mineral aggregates for use in road base layers. The aim was to evaluate the mechanical properties, field performance, and key factors influencing the cracking behavior of [...] Read more.
This study investigates the performance of mineral–cement–emulsion (MCE) mixtures produced with reclaimed asphalt pavement (RAP) and recycled mineral aggregates for use in road base layers. The aim was to evaluate the mechanical properties, field performance, and key factors influencing the cracking behavior of these sustainable cold-recycled mixtures. Approximately 160 laboratory tests were performed to determine indirect tensile strength (ITS), stiffness modulus (IT-CY), bulk density, and air-void content. The MCE mixture achieved an average ITS of 1.09 MPa and stiffness modulus of 5873 MPa after 28 days of curing, confirming compliance with design requirements. The field investigation of a test section showed good structural integrity and compaction, although several transverse cracks developed during the first year of service. The mechanistic interpretation attributed these cracks to combined cement hydration shrinkage and thermal contraction effects. The results indicate that MCE mixtures made with recycled materials can meet technical specifications while reducing environmental impact, provided that binder proportions and curing conditions are carefully optimized. Full article
Show Figures

Figure 1

16 pages, 7038 KB  
Article
Effect of Stainless Steel Mesh Structural Parameters on the Temperature Field and Joint Tensile-Shear Performance in CF/PC Resistance Welding
by Zhanyi Geng, Shiyuan Wang, Yiwen Li, Sansan Ao and Yang Li
Polymers 2025, 17(21), 2899; https://doi.org/10.3390/polym17212899 - 30 Oct 2025
Viewed by 207
Abstract
This study employs 304 stainless steel perforated mesh (SS mesh) as the heating element for the resistance welding of continuous carbon fiber-reinforced polycarbonate (CCF/PC) sheets. An electro-thermal coupled finite element model is developed to investigate the effect of SS mesh structural parameters (aperture [...] Read more.
This study employs 304 stainless steel perforated mesh (SS mesh) as the heating element for the resistance welding of continuous carbon fiber-reinforced polycarbonate (CCF/PC) sheets. An electro-thermal coupled finite element model is developed to investigate the effect of SS mesh structural parameters (aperture shape, aperture area, mesh thickness) and clamping distance on the welding temperature field. The model accurately predicts peak temperatures, with errors of 1–4% compared with experiments. Under identical aperture area, the SS mesh with longer effective current path length and smaller effective cross-sectional area has higher resistance. In addition, the resistance increases significantly with decreasing mesh thickness and increasing aperture size. Reducing the clamping distance effectively improves temperature uniformity across the weld zone and mitigates edge overheating. A novel mesh structure—featuring larger aperture in the welding region and smaller aperture in non-welding region, is designed to improve the temperature uniformity and joint quality. Under optimized welding parameters (14 A, 40 s welding/holding, 0.3 MPa), the joint achieves a maximum tensile shear force of 9.851 kN, a 13.1% improvement over conventional uniform-aperture mesh (8.713 kN). Full article
(This article belongs to the Section Polymer Applications)
Show Figures

Graphical abstract

21 pages, 2349 KB  
Review
Scaling Up Non-Thermal Plasma Technology for Water and Wastewater Treatment: Opportunities and Challenges
by Benjamin Morenas, Sidra Saqib, Ahmad Mukhtar, Jonathan Stromberg and Sarah Wu
Energies 2025, 18(21), 5692; https://doi.org/10.3390/en18215692 - 29 Oct 2025
Viewed by 219
Abstract
Emerging contaminants such as per- and polyfluoroalkyl substances (PFASs) pose significant challenges for conventional wastewater treatment technologies. Non-thermal plasma (NTP) has gained attention as a promising advanced oxidation process capable of degrading persistent pollutants via hydrated electrons and reactive oxygen/nitrogen species under ambient [...] Read more.
Emerging contaminants such as per- and polyfluoroalkyl substances (PFASs) pose significant challenges for conventional wastewater treatment technologies. Non-thermal plasma (NTP) has gained attention as a promising advanced oxidation process capable of degrading persistent pollutants via hydrated electrons and reactive oxygen/nitrogen species under ambient conditions. This review summarizes recent progress in the application and scale-up of NTP for water treatment, with a focus on reactor configurations, degradation mechanisms, and energy efficiency. Key plasma reactor types—including dielectric barrier discharge, corona discharge, plasma jets, and gliding arc discharge—are evaluated for their suitability in large-scale applications. Pilot-scale studies addressing pharmaceuticals, dyes, and PFASs are reviewed to assess scalability, cost, and operational viability. Although NTP systems consistently achieve >80% contaminant removal, optimizing energy use and maintaining performance across complex water matrices remain critical challenges. Hybrid systems integrating NTP with ozonation, ultrafiltration, or cavitation show potential to improve treatment efficacy and reduce energy demands. Future research priorities include reactor design optimization, contaminant-specific plasma tuning, and technoeconomic analysis to support the translation of NTP technologies from lab-scale innovation to field-scale implementation. Full article
(This article belongs to the Special Issue Advances in Wastewater Treatment, 2nd Edition)
Show Figures

Figure 1

23 pages, 2635 KB  
Article
Investigation on Non-Isothermal Crystallization Kinetics of Polyethylene Terephthalate-Polyethylene Naphthalate Blends
by Qianqian Liang, Kexin Wang, Yong Jiang, Guilin Li, Feng Yang, Ya Cao and Ming Xiang
Polymers 2025, 17(21), 2893; https://doi.org/10.3390/polym17212893 - 29 Oct 2025
Viewed by 209
Abstract
This study aimed to solve two problems of polyethylene terephthalate (PET) films, namely, their slow crystallization rate and insufficient thermal stability, by using polyethylene naphthalate (PEN) as a modifier to prepare PET-PEN blends with varying PEN contents (0%, 0.9%, 1.8%, and 9%). Fourier-transform [...] Read more.
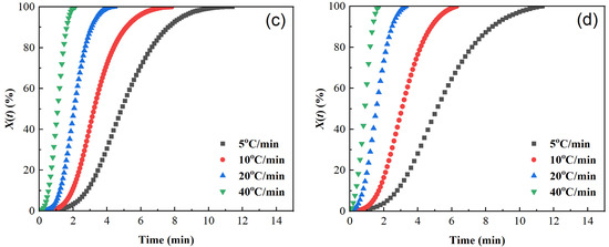
This study aimed to solve two problems of polyethylene terephthalate (PET) films, namely, their slow crystallization rate and insufficient thermal stability, by using polyethylene naphthalate (PEN) as a modifier to prepare PET-PEN blends with varying PEN contents (0%, 0.9%, 1.8%, and 9%). Fourier-transform infrared spectroscopy (FTIR), differential scanning calorimetry (DSC), and other methods were used to systematically investigate the effects of the PEN content and cooling rate (5–40 °C/min) on the non-isothermal crystallization behavior and kinetics of the blends. The results indicate that PET and PEN exhibit excellent compatibility. As the PEN content increases, the glass transition temperature (Tg) of the blend increases, while the melting point (Tm) and relative crystallinity decrease. PEN exerts an effect on the crystallization temperature (Tc)—“heterogeneous nucleation—diffusion control—steric hindrance effect”. The cold crystallization behavior depends on the PEN content and cooling rate. Samples with PEN content did not exhibit cold crystallization at low cooling rates. The observed non-isothermal crystallization kinetics show that PEN transforms the growth dimension of PET crystals from three-dimensional to two-dimensional, significantly reducing the absolute values of the crystallization rate constant (Zc) and crystallization activation energy (ΔE). ΔE tends to stabilize when the PEN content reaches or exceeds 1.8%. In summary, PEN achieves precise control of PET non-isothermal crystallization through the mechanism of “heterogeneous nucleation—diffusion control—steric hindrance effect”. The research results provide theoretical support for the optimization of processing technology for PET-PEN blend films in high-end fields such as food packaging and electronic insulation. Full article
(This article belongs to the Section Polymer Analysis and Characterization)
Show Figures

Figure 1

15 pages, 1288 KB  
Article
Magnetic Field Effects on Energy Coupling in Scaled Laser-Driven Magnetized Liner Inertial Fusion
by Xuming Feng, Guozhuang Li, Hua Zhang, Shijia Chen, Liangwen Chen, Yong Sun, Rui Cheng, Jie Yang, Lei Yang and Zhiyu Sun
Electronics 2025, 14(21), 4226; https://doi.org/10.3390/electronics14214226 - 29 Oct 2025
Viewed by 155
Abstract
In scaled laser-driven magnetized liner inertial fusion (MagLIF), externally applied magnetic fields improve energy coupling by suppressing electron thermal conduction, enhancing Joule heating, and increasing α-particle energy deposition. However, confinement can be significantly degraded by magnetic flux transport, dominated by resistive diffusion, [...] Read more.
In scaled laser-driven magnetized liner inertial fusion (MagLIF), externally applied magnetic fields improve energy coupling by suppressing electron thermal conduction, enhancing Joule heating, and increasing α-particle energy deposition. However, confinement can be significantly degraded by magnetic flux transport, dominated by resistive diffusion, and more critically, the Nernst effect. One-dimensional magnetohydrodynamic simulations demonstrate that increasing the applied field generally enhances neutron yield, but when the Nernst effect is included, the benefit of stronger magnetization diminishes. Stagnation is achieved at 2.72 ns, yielding a peak temperature of 2.17 keV and a neutron production of 1.2×1012. When the Nernst effect is taken into account, the neutron yield decreases by 57.3% compared with the case without it under an initial magnetic field of 10 T. During the implosion, the magnetic field in the fuel gradually diffuses outward into the outer liner. By stagnation, the magnetic flux of fuel has decreased by 33.8%. Based on the characteristics of the Nernst effect, an optimized initial magnetic field of approximately 6 T is identified, which yields an about 2.5 times higher neutron yield than the unmagnetized case. These findings emphasize the key role of magnetic–energy coupling in target performance and provide guidance for the design and scaling of magnetized targets. Full article
(This article belongs to the Special Issue Emerging Trends in Ultra-Stable Semiconductor Lasers)
Show Figures

Figure 1

15 pages, 2428 KB  
Article
Simulation Study on the Effect of Growth Pressure on Growth Rate of GaN
by Tian Qin, Huidong Yu, Qingbin Liu, Qiubo Li, Zhongxin Wang, Shouzhi Wang, Lihuan Wang, Guodong Wang, Jiaoxian Yu, Zhanguo Qi, Zhengtang Yang and Lei Zhang
Materials 2025, 18(21), 4941; https://doi.org/10.3390/ma18214941 - 29 Oct 2025
Viewed by 232
Abstract
During the preparation of gallium nitride (GaN) single crystals by Hydride Vapor Phase Epitaxy (HVPE), variations in growth pressure within the reaction chamber can easily lead to a mismatch between vapor transport dynamics and surface reaction processes, thereby affecting crystal growth rate and [...] Read more.
During the preparation of gallium nitride (GaN) single crystals by Hydride Vapor Phase Epitaxy (HVPE), variations in growth pressure within the reaction chamber can easily lead to a mismatch between vapor transport dynamics and surface reaction processes, thereby affecting crystal growth rate and uniformity. To address this issue, this study established a multi-physics coupled simulation model based on the HVPE equipment structure. By integrating reaction gas flow, heat transfer, chemical reactions, and mass transport mechanisms, systematic finite element analysis was employed to simulate the flow field distribution, thermal field stability, and precursor concentration field evolution within the reaction chamber under different growth pressures (91–141 kPa). The simulation results indicate that, on one hand, the growth rate exhibits a nearly linear increase trend with rising pressure. At lower pressures (<100 kPa), vapor transport is limited, leading to a significant decrease in growth rate, while at higher pressures (>110 kPa), growth uniformity deteriorates. Optimizing the pressure parameter can enhance both the growth rate and thickness uniformity of GaN single crystals, providing a basis for process control in the preparation of high-performance GaN devices. Full article
Show Figures

Figure 1

17 pages, 3889 KB  
Article
STGAN: A Fusion of Infrared and Visible Images
by Liuhui Gong, Yueping Han and Ruihong Li
Electronics 2025, 14(21), 4219; https://doi.org/10.3390/electronics14214219 - 29 Oct 2025
Viewed by 204
Abstract
The fusion of infrared and visible images provides critical value in computer vision by integrating their complementary information, especially in the field of industrial detection, which provides a more reliable data basis for subsequent defect recognition. This paper presents STGAN, a novel Generative [...] Read more.
The fusion of infrared and visible images provides critical value in computer vision by integrating their complementary information, especially in the field of industrial detection, which provides a more reliable data basis for subsequent defect recognition. This paper presents STGAN, a novel Generative Adversarial Network framework based on a Swin Transformer for high-quality infrared and visible image fusion. Firstly, the generator employs a Swin Transformer as its backbone for feature extraction, which adopts a U-Net architecture, and the improved W-MSA is introduced into the bottleneck layer to enhance local attention and improve the expression ability of cross-modal features. Secondly, the discriminator uses a Markov discriminator to distinguish the difference. Then, the core GAN framework is leveraged to guarantee the retention of both infrared thermal radiation and visible-light texture details in the generated image so as to improve the clarity and contrast of the fused image. Finally, simulation verification showed that six out of seven indicators ranked in the top two, especially in key indicators such as PSNR, VIF, MI, and EN, which achieved optimal or suboptimal values. The experimental results on the general dataset show that this method is superior to the advanced method in terms of subjective vision and objective indicators, and it can effectively enhance the fine structure and thermal anomaly information in the image, which gives it great potential in the application of industrial surface defect detection. Full article
Show Figures

Figure 1

12 pages, 3165 KB  
Article
Unraveling the Intrinsic Mechanisms Controlling the Variations in Density, Sensitivity, and Thermal Decomposition of Typical Nitroguanidine Derivatives
by Pengshan Geng, Songsong Guo, Xiaohong Wang, Chao Xing, Chenxi Qu, Jieyu Luan and Kewei Ding
Molecules 2025, 30(21), 4204; https://doi.org/10.3390/molecules30214204 - 28 Oct 2025
Viewed by 241
Abstract
Nitroguanidine-type energetic materials have broad application prospects in the propellant field, and their derivative structures are numerous, with intricate changes in macro-level properties. However, due to the unclear inherent evolution mechanisms of these macro-level properties, the structural optimization of compounds and the iteration [...] Read more.
Nitroguanidine-type energetic materials have broad application prospects in the propellant field, and their derivative structures are numerous, with intricate changes in macro-level properties. However, due to the unclear inherent evolution mechanisms of these macro-level properties, the structural optimization of compounds and the iteration of application systems face difficulties. This work systematically investigates the variations in density, thermal decomposition, and sensitivity among nitroguanidine (NQ), 1-amino-2-nitroguanidine (ANQ), and 1-amino-2-nitroguanidinium nitrate (ANGN). Hirshfeld surface and bond dissociation energy analyses reveal that strengthened electrostatic and inductive interactions enhance the hydrogen bonding network in ANGN, leading to its higher density compared to NQ. In contrast, weakened electrostatic interactions in ANQ result in a less robust hydrogen bonding network and a correspondingly lower density. The sensitivity trend is consistently explained from both molecular and crystalline perspectives: an increasingly inhomogeneous electrostatic potential distribution, coupled with a higher frequency of O···O contacts, provides a coherent explanation for the experimental observations. Furthermore, the electron-withdrawing -NH3+ group in ANGN weakens the N–NO2 bond, reducing its bond dissociation energy and leading to the most intense NO2 mass spectral signal during thermal decomposition. ANQ exhibits the opposite behavior. A linear correlation (R2 = 0.92) is observed between the N–NO2 BDE and NO2 mass spectral intensity across NQ, ANQ, and ANGN. This study provides unique insights into the intrinsic mechanisms governing variations in the properties of nitroguanidine derivatives. Full article
Show Figures

Figure 1

29 pages, 3015 KB  
Article
Green Optimization of Sesame Seed Oil Extraction via Pulsed Electric Field and Ultrasound Bath: Yield, Antioxidant Activity, Oxidative Stability, and Functional Food Potential
by Vassilis Athanasiadis, Marianna Giannopoulou, Georgia Sarlami, Eleni Bozinou, Panagiotis Varagiannis and Stavros I. Lalas
Foods 2025, 14(21), 3653; https://doi.org/10.3390/foods14213653 - 26 Oct 2025
Viewed by 363
Abstract
Sesame seed oil is a bioactive-rich lipid source, notable for lignans, tocopherols, and unsaturated fatty acids that underpin its antioxidant and cardioprotective properties. This study optimized two innovative, non-thermal extraction techniques—pulsed electric field (PEF) and ultrasound bath-assisted extraction (UBAE)—to maximize yield and preserve [...] Read more.
Sesame seed oil is a bioactive-rich lipid source, notable for lignans, tocopherols, and unsaturated fatty acids that underpin its antioxidant and cardioprotective properties. This study optimized two innovative, non-thermal extraction techniques—pulsed electric field (PEF) and ultrasound bath-assisted extraction (UBAE)—to maximize yield and preserve oil quality for functional food applications. A blocked definitive screening design combined with response surface methodology modeled the effects of energy power (X1, 60–100%), liquid-to-solid ratio (X2, 10–20 mL/g), and extraction time (X3, 10–30 min) on fat content, DPPH antiradical activity, and oxidative stability indices (Conjugated Dienes, CDs/Conjugated Trienes, CTs). UBAE achieved the highest fat yield—59.0% at low energy (60%), high X2 (20 mL/g), and short X3 (10 min)—while PEF maximized DPPH to 36.0 μmol TEAC/kg oil at high energy (100%), moderate X2 (17 mL/g), and short X3 (10 min). CDs were minimized to 19.78 mmol/kg (UBAE, 60%, 10 mL/g, 10 min) and CTs to 3.34 mmol/kg (UBAE, 60%, 12 mL/g, 10 min). Partial least squares analysis identified X2 and X3 as the most influential variables (VIP > 0.8), with energy–time interplay (X1 × X3) being critical for antioxidant capacity. Compared to cold-pressing and Soxhlet extraction, PEF and cold-pressing retained higher antioxidant activity (~19 μmol TEAC/kg) and oxidative stability (TBARS ≤ 0.30 mmol MDAE/kg), while Soxhlet—though yielding 55.65% fat—showed the poorest quality profile (Totox value > 560). Both non-thermal techniques can deliver bioactive-rich sesame oil with lower oxidative degradation, supporting their application in functional foods aimed at improving dietary antioxidant intake and mitigating lipid oxidation burden. PEF at high energy/short time and UBAE at low energy/short time present complementary, scalable options for producing high-value edible oils aligned with human health priorities. As a limitation, we did not directly quantify lignans or tocopherols in this study, and future work will address their measurement and bioaccessibility. Full article
Show Figures

Figure 1

21 pages, 5209 KB  
Article
Development of a Transient Wellbore Heat Transfer Model Validated with Distributed Temperature Sensing Data
by Rion Nakamoto and Smith Leggett
Sensors 2025, 25(21), 6583; https://doi.org/10.3390/s25216583 - 26 Oct 2025
Viewed by 272
Abstract
Distributed temperature sensing (DTS) has long been employed in the oil and gas industry to characterize reservoirs, optimize production, and extend well life. More recently, its application has expanded to geothermal energy development, where DTS provides critical insights into transient wellbore temperature profiles [...] Read more.
Distributed temperature sensing (DTS) has long been employed in the oil and gas industry to characterize reservoirs, optimize production, and extend well life. More recently, its application has expanded to geothermal energy development, where DTS provides critical insights into transient wellbore temperature profiles and flow behavior. A comprehensive understanding of such field measurements can be achieved by systematically comparing and interpreting DTS data in conjunction with robust numerical models. However, many existing wellbore models rely on steady-state heat transfer assumptions that fail to capture transient dynamics, while fully coupled wellbore–reservoir simulations are often computationally demanding and mathematically complex. This study aims to address this gap by developing a transient wellbore heat transfer model validated with DTS data. The model was formulated using a thermal-analogy approach based on the theoretical framework of Eickmeier et al. and implemented with a finite-difference scheme. Validation was performed by comparing thermal slug velocities predicted by the model with those extracted from DTS measurements. The results demonstrated strong agreement between modeled and measured slug velocities, confirming the model’s reliability. In addition, the modeled thermal slug velocity was lower than the corresponding fluid velocity, indicating that thermal front propagates more slowly than the fluid front. Consequently, this computationally efficient approach enhances the interpretation of DTS data and offers a practical tool for improved monitoring and management of geothermal operations. Full article
(This article belongs to the Special Issue Sensors and Sensing Techniques in Petroleum Engineering)
Show Figures

Figure 1

Back to TopTop