Sign in to use this feature.

Years

Between: -

Subjects

remove_circle_outline
remove_circle_outline
remove_circle_outline
remove_circle_outline
remove_circle_outline

Journals

Article Types

Countries / Regions

Search Results (5)

Search Parameters:
Keywords = submerged glider

Order results
Result details
Results per page
Select all
Export citation of selected articles as:
20 pages, 9326 KB  
Article
Vibroacoustic Response of a Disc-Type Underwater Glider During Its Entry into Water
by Zhaocheng Sun, Yanting Yu, Dong Li, Chuanlin He and Yue Zhang
J. Mar. Sci. Eng. 2025, 13(3), 544; https://doi.org/10.3390/jmse13030544 - 12 Mar 2025
Cited by 1 | Viewed by 765
Abstract
Underwater gliders are extensively employed in oceanographic observation and detection. The structural characteristics of thin-wall shells are more susceptible to vibrations from internal mechanical components; this noise emission becomes more complex with the presence of water surfaces. The finite element method (FEM) is [...] Read more.
Underwater gliders are extensively employed in oceanographic observation and detection. The structural characteristics of thin-wall shells are more susceptible to vibrations from internal mechanical components; this noise emission becomes more complex with the presence of water surfaces. The finite element method (FEM) is introduced to discuss the dynamic performance of cylindrical shells with different lengths. The acoustic-structure coupling, together with the effect of the water surface, is validated by comparisons with experimental or analytical solutions under three cases: half-filled, half-submerged, and partially submerged in fluid. Compared to the verification result, the relative error of the eigenfrequency derived from the numerical result is less than 3%, and then the mesh division and boundary conditions are adjusted to calculate the vibroacoustic response of a disc-type glider. During its water entry process, there are six distinct bright curves in frequency–depth spectra of sound pressure radiated from a partially immersed disc-type glider. The first curve is continuous, while the remaining five curves display discontinuities around a region where the geometric curvature changes gradually. As the submerged depth increases, this causes a shift in the resonance frequencies, evidenced by the curves transitioning from higher to lower frequencies. Full article
Show Figures

Figure 1

21 pages, 6452 KB  
Article
CEEMDAN-SVD Motor Noise Reduction Method and Application Based on Underwater Glider Noise Characteristics
by Haotian Zhao and Maofa Wang
Symmetry 2025, 17(3), 378; https://doi.org/10.3390/sym17030378 - 1 Mar 2025
Viewed by 709
Abstract
When utilizing underwater gliders to observe submerged targets, ensuring the quality and reliability of the acquired target characteristic signals is paramount. However, the signal acquisition process is significantly compromised by noise generated from various motors on the platform, which severely contaminates the authentic [...] Read more.
When utilizing underwater gliders to observe submerged targets, ensuring the quality and reliability of the acquired target characteristic signals is paramount. However, the signal acquisition process is significantly compromised by noise generated from various motors on the platform, which severely contaminates the authentic target signal characteristics, thereby complicating subsequent research efforts such as target identification. Given the limited capability of wavelet transforms in processing complex non-stationary signals, and considering the non-stationary and non-linear nature of the signals in question, this study focuses on the denoising of hydroacoustic signals and the characteristics of motor noise. Building upon the traditional CEEMDAN-SVD approach, we propose an adaptive noise reduction method that combines the maximum singular value of motor noise with the differential spectrum of singular values. In particular, this paper delves into the symmetry between the noise subspace and the signal subspace in SVD decomposition. By analyzing the symmetric characteristics of their singular value distributions, the process of separating noise from signals is further optimized. The effectiveness of this denoising method is analyzed and validated through simulations and experiments. The results demonstrate that under a signal-to-noise ratio (SNR) of 3 dB, the improved CEEMDAN-SVD method reduces the mean square error by an average of 22.8% and decreases the absolute value of skewness by 27.8% compared to the traditional CEEMDAN-SVD method. These findings indicate that our proposed method exhibits superior noise reduction capabilities under strong non-stationary motor noise interference, effectively enhancing the SNR and reinforcing signal characteristics. This provides a robust foundation for improving the recognition rate of hydroacoustic targets in subsequent research. Full article
(This article belongs to the Section Engineering and Materials)
Show Figures

Figure 1

16 pages, 4271 KB  
Article
Time-Optimal Path Planning of a Hybrid Autonomous Underwater Vehicle Based on Ocean Current Neural Point Grid
by Chenhua Hua, Nailong Wu, Haodong Yuan, Xinyuan Chen, Yuqin Dong and Xianhui Zeng
J. Mar. Sci. Eng. 2022, 10(7), 977; https://doi.org/10.3390/jmse10070977 - 17 Jul 2022
Cited by 2 | Viewed by 2432
Abstract
Path planning is the precondition for Hybrid Autonomous Underwater Vehicles (HAUV) to enter the submerged area to undertake a mission. The influence of ocean currents on HAUV should be further investigated to obtain a time-optimal path. The improved A* algorithm and the neural [...] Read more.
Path planning is the precondition for Hybrid Autonomous Underwater Vehicles (HAUV) to enter the submerged area to undertake a mission. The influence of ocean currents on HAUV should be further investigated to obtain a time-optimal path. The improved A* algorithm and the neural network model are employed in this paper to plan a time-optimal path for the vehicle. The HAUV in glider mode is capable of traveling forward mainly through the zigzag motion in vertical plane. Since the vehicle can only receive the command orders when it surfaces from the water, the path is expected to include a series of discrete waypoints in the water surface. At the same time, the presence of submerged riverbeds is also taken into account to avoid hazards for HAUVs when it navigates in the water. It can be demonstrated that ocean currents can be used to decrease the operating time. The comparison results of the two methods verify that the size of the map affects the calculation time. In addition, the neural node represented method surpasses the modified A* method, especially when the map is too large. Full article
(This article belongs to the Section Ocean Engineering)
Show Figures

Figure 1

25 pages, 10311 KB  
Article
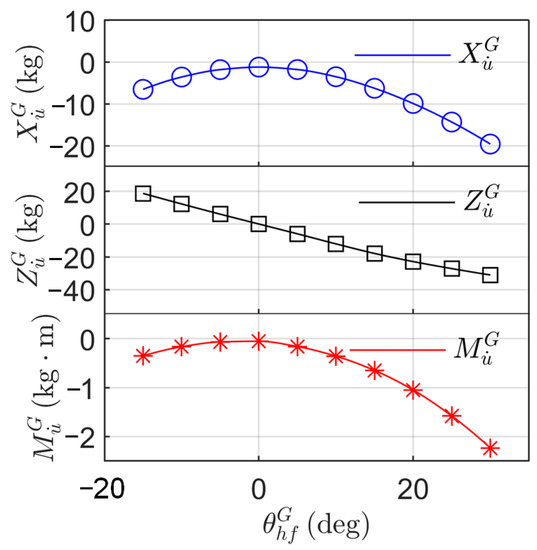
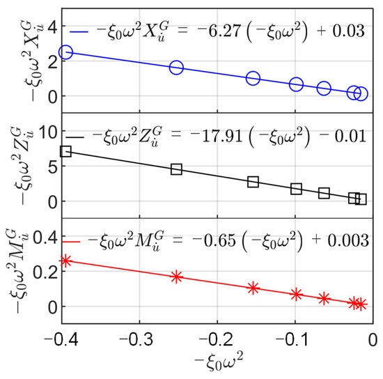
Dynamics Modeling and Hydrodynamic Coefficients Identification of the Wave Glider
by Xiujun Sun, Chenyu Sun, Hongqiang Sang and Can Li
J. Mar. Sci. Eng. 2022, 10(4), 520; https://doi.org/10.3390/jmse10040520 - 8 Apr 2022
Cited by 15 | Viewed by 3526
Abstract
The wave glider is an ocean-wave-propelled autonomous marine vehicle with unique dual-body architecture, which can converse the energy obtained from the ocean wave into the forward thrust. In this paper, the dynamic models of the submerged glider based on dynamic characteristics of tandem [...] Read more.
The wave glider is an ocean-wave-propelled autonomous marine vehicle with unique dual-body architecture, which can converse the energy obtained from the ocean wave into the forward thrust. In this paper, the dynamic models of the submerged glider based on dynamic characteristics of tandem hydrofoils and the surface float were separately established. The pitching angles of the hydrofoils and the submerged glider and the angle of attack between hydrofoils and relative current were considered for dynamic models and hydrodynamic coefficients. The translational hydrodynamic coefficient term for high-angle-of-attack passive motion of the submerged glider was calculated from static test simulations by using Computational Fluid Dynamics (CFD). Moreover, the rotational damping coefficients and added mass coefficients varying with the pitching angle of hydrofoils were analyzed by the simulation of the vertical planar motion mechanism (VPMM) tests. Furthermore, the numerical simulation of longitudinal motion with the computed hydrodynamic coefficients was performed, and the simulation results were compared with the sea trial data. The analysis was performed, and conclusions were drawn, which would provide a theoretical reference for the design of the wave glider. Full article
(This article belongs to the Section Ocean Engineering)
Show Figures

Figure 1

28 pages, 13899 KB  
Article
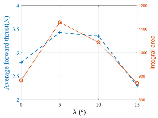
Optimal Design and Dynamic Analysis of Hydrofoil Mechanism of Wave Glider
by Hongqiang Sang, Jin Zhang, Xiujun Sun, Can Li, Lei Wang and Liwei Wang
J. Mar. Sci. Eng. 2022, 10(3), 367; https://doi.org/10.3390/jmse10030367 - 4 Mar 2022
Cited by 7 | Viewed by 3377
Abstract
A wave glider can convert vertical wave motion into its forward propulsion. There are many factors affecting the propulsion performance of a wave glider. The swing amplitude of hydrofoil can affect the efficiency of hydrofoil to capture wave energy, and the pull direction [...] Read more.
A wave glider can convert vertical wave motion into its forward propulsion. There are many factors affecting the propulsion performance of a wave glider. The swing amplitude of hydrofoil can affect the efficiency of hydrofoil to capture wave energy, and the pull direction of an umbilical cable can affect the transmission efficiency of wave energy. In this paper, an optimized hydrofoil mechanism with a self-adjusting lower limit (SALL) was proposed by analyzing the un- synchronized movement between the submerged glider and the surface float. This mechanism was able to transfer the movement of umbilical cable to the hydrofoil swing mechanism through the linkage to control the lower limit of hydrofoil swing (maximum swing angle of hydrofoil in a counterclockwise direction). Firstly, the user-defined function (UDF) was written to control the motion of hydrofoil in the fluid domain. The lower limit swing angle and the heave direction of the hydrofoil were both set in the UDF, and the forward thrust generated by the passive swing of the hydrofoil in the fluid domain was able to be obtained by the simulation. Secondly, the prototype was designed by introducing a parallelogram mechanism on a conventional submerged glider, and a wave simulation test platform was built to verify the propulsive performance of the prototype. The results showed that, in comparison with the conventional submerged glider, the forward thrust of the SALL submerged glider was able to be improved by 1.50%, 17.78%, 7.42%, and 20.70% under the stiffness coefficients of torsion spring set to K = 2, K = 4, K = 6, and K = 8 in the simulation experiment, respectively. The forward thrust of the SALL submerged glider was able to be elevated by 9.99% with torsion spring K = 8 in the tank experiment. The advantage of the SALL mechanism was verified by comparing the results of the simulation and the tank experiment. Finally, the feasibility of the SALL submerged glider was verified in actual sea conditions by a sea trial. Full article
Show Figures

Figure 1

Back to TopTop