Sign in to use this feature.

Years

Between: -

Subjects

remove_circle_outline
remove_circle_outline
remove_circle_outline
remove_circle_outline
remove_circle_outline
remove_circle_outline
remove_circle_outline
remove_circle_outline
remove_circle_outline

Journals

remove_circle_outline
remove_circle_outline
remove_circle_outline
remove_circle_outline
remove_circle_outline
remove_circle_outline
remove_circle_outline
remove_circle_outline

Article Types

Countries / Regions

remove_circle_outline
remove_circle_outline
remove_circle_outline
remove_circle_outline
remove_circle_outline

Search Results (1,014)

Search Parameters:
Keywords = strength of stainless steels

Order results
Result details
Results per page
Select all
Export citation of selected articles as:
24 pages, 13008 KB  
Article
Seismic Performance of T-Shaped Aluminum Alloy Beam–Column Bolted Connections: Parametric Analysis and Design Implications Based on a Mixed Hardening Model
by Bangzheng Rao, Zhongmin Wang, Weiguo Rao, Zhongping Que, Fengzeng Li, Jin Wang and Wenyuan Gao
Buildings 2025, 15(23), 4324; https://doi.org/10.3390/buildings15234324 - 28 Nov 2025
Viewed by 71
Abstract
The seismic design of aluminum alloy structures requires specific attention due to the material’s distinct mechanical properties compared to steel, which renders direct application of steel joint design methods inappropriate. This study investigates the seismic behavior of T-shaped aluminum alloy beam–column bolted connections, [...] Read more.
The seismic design of aluminum alloy structures requires specific attention due to the material’s distinct mechanical properties compared to steel, which renders direct application of steel joint design methods inappropriate. This study investigates the seismic behavior of T-shaped aluminum alloy beam–column bolted connections, which consist of 6061-T6 aluminum alloy beams and columns connected by S304 stainless steel connectors via high-strength bolts. A finite element model, incorporating a mixed hardening constitutive model for accurate cyclic response, is established and validated against low-cycle cyclic loading tests. Parametric analyses evaluated the influence of L-shaped connector dimensions on hysteresis response, skeleton curves, stiffness degradation, energy dissipation, and ductility. Results demonstrate that increasing the thickness of the short leg of the L-shaped connector between the beam flange and column flange significantly enhances the ultimate bending moment, with an increase of up to 36.7% per 2 mm increment, alongside improved energy dissipation and ductility. Stiffness degradation follows a natural exponential decay, with residual stiffness between 23.85% and 32.57% at ultimate deformation. An efficiency analysis identifies the most cost-effective measures for seismic design. The primary novelty of this work lies in the successful application and validation of a mixed hardening model for simulating the complex cyclic behavior of T-shaped aluminum alloy connections, coupled with a systematic efficiency-oriented parametric study. The findings offer practical, quantitative guidelines for designing aluminum alloy bolted connections in seismic-prone regions. Full article
(This article belongs to the Section Building Structures)
Show Figures

Figure 1

16 pages, 7278 KB  
Article
Study on Cold Cracking in 430Cb Ferritic Stainless Steel Castings Based on Multiscale Characterization and Simulation Analysis
by Siyu Qiu, Jun Xiao and Aimin Zhao
Metals 2025, 15(12), 1310; https://doi.org/10.3390/met15121310 - 28 Nov 2025
Viewed by 111
Abstract
Cracks were found at the gate of the 430Cb ferritic stainless steel exhaust system jet base produced by investment casting. In this paper, the cracks of failed stainless steel castings were comprehensively analyzed by means of macroscopic inspection, laser confocal microscopy, field emission [...] Read more.
Cracks were found at the gate of the 430Cb ferritic stainless steel exhaust system jet base produced by investment casting. In this paper, the cracks of failed stainless steel castings were comprehensively analyzed by means of macroscopic inspection, laser confocal microscopy, field emission scanning electron microscopy, electron backscatter diffraction, X-ray diffractometer, ProCAST (version 2018, ESI Group, Paris, France) simulation and Thermo-Calc (TCFE10 database, 2022a, Thermo-Calc Software AB, Solna, Sweden) thermodynamic calculation. It can be concluded that all the cracks originate from the gate on the surface of the casting, and the fracture surface shows brittle intergranular characteristics, which can be determined as cold cracks. The formation of cold cracks can be attributed to the fact that the local stress generated during cooling after the casting solidifies exceeds the strength limit of the material itself. As the gate is the final solidification zone, shrinkage is limited and stress is concentrated. The grains are coarse, and the microstructure defects such as shrinkage porosity, pores and needle-like NbC further weaken the plasticity of the grain boundaries, promoting the crack to propagate along the direction of the maximum principal stress. The uneven cooling rate and shell constraint during the investment casting process make it difficult to release stress, and the existence of microstructure defects are the fundamental causes of crack generation. Full article
(This article belongs to the Special Issue Innovations in Heat Treatment of Metallic Materials)
Show Figures

Figure 1

23 pages, 10189 KB  
Article
Mechanical Behavior and Ductility of Reinforcing Steel Under High-Temperature Exposure with Different Cooling Methods
by Alberto Leal Matilla, Daniel Ferrández, María Isabel Prieto Barrio and Fernando Israel Olmedo Zazo
Fire 2025, 8(12), 460; https://doi.org/10.3390/fire8120460 (registering DOI) - 27 Nov 2025
Viewed by 71
Abstract
The study of the behaviour of steel reinforcement in high temperatures is essential to understanding the performance of structural concrete after a fire. A special case is presented by steel reinforcements that are exposed to high temperatures after losing all or part of [...] Read more.
The study of the behaviour of steel reinforcement in high temperatures is essential to understanding the performance of structural concrete after a fire. A special case is presented by steel reinforcements that are exposed to high temperatures after losing all or part of the nominal coating that protects them. In this work, detailed research has been carried out to understand the behaviour of two types of steel, B500SD (carbon) and EN 1.4301 (stainless), exposed to high temperatures. For this purpose, different heating temperatures (450, 800 and 1150 °C) and two types of cooling (rapid in water and slow at room temperature) were used. Mass loss and tensile strength were evaluated, and the ductility indices of these steels were analysed in detail, accompanied by a discussion with a statistical analysis and fractography. The results indicate that stainless steel performs better than carbon steel in a fire. The B500SD reinforcement exhibited a decrease in yield strength of up to 239 MPa (↓ 55%) compared to the reference specimen when heated to 1150 °C. Additionally, it has been observed that rapid cooling results in a more pronounced decrease in ductility in B500SD steel. However, slow cooling led to an increase in ductility in the three indices studied (Cosenza, Creazza and Ortega), with the presence of micro-void coalescence in the fractography corroborating the results. Thus, this research holds great practical interest in decision-making for the selection of structural materials, as it assesses the physical–mechanical behaviour of reinforced concrete after exposure to high temperatures. Full article
(This article belongs to the Special Issue Sustainable Flame-Retardant Polymeric Materials)
Show Figures

Figure 1

17 pages, 2615 KB  
Article
Temperature Based Fatigue Damage Entropy for Assessment of High-Cycle Fatigue in Laser-Welded Joints
by Yang Liu, Yang Sun and Xinhua Yang
Metals 2025, 15(12), 1306; https://doi.org/10.3390/met15121306 - 27 Nov 2025
Viewed by 63
Abstract
To quickly predict the fatigue strength of welded joints in high-cycle fatigue tests and fit the S-N curve, this paper proposes a new model based on infrared thermal imaging technology. High-cycle fatigue tests were conducted on laser-welded joints of weathering steel Q450NQR1 and [...] Read more.
To quickly predict the fatigue strength of welded joints in high-cycle fatigue tests and fit the S-N curve, this paper proposes a new model based on infrared thermal imaging technology. High-cycle fatigue tests were conducted on laser-welded joints of weathering steel Q450NQR1 and separately, on joints made of stainless steel T4003, while local temperature variations in the joints were monitored. Based on the experimentally observed temperature drop behavior, a novel Temperature-Drop-Curve-Based Fatigue Damage Entropy (TDC-FDE) model was developed to rapidly estimate the fatigue life and fatigue limit of welded joints. The model quantifies the entropy generated during fatigue damage evolution based on the temperature-decrease slope and establishes a direct relationship between entropy and the fatigue performance of the joint using this slope as the linking parameter. Experimental results indicate that a material’s specific heat capacity, density, elastic modulus, and applied stress level directly influence fatigue damage entropy generation. The entropy increase associated with purely elastic deformation does not contribute to fatigue damage in high-cycle fatigue; therefore, this portion should be excluded from the fatigue damage entropy calculation. The fatigue damage entropy of a given weld joint tends to remain nearly constant under different stress levels and loading frequencies. Finally, traditional fatigue tests demonstrated that the maximum deviation between the fatigue strength predicted by the proposed model and the experimentally measured values does not exceed 3.4%, thereby verifying the model’s accuracy and effectiveness in evaluating fatigue performance. Full article
Show Figures

Figure 1

15 pages, 12859 KB  
Article
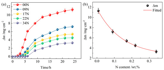
Effect of Nitrogen Content on the Cavitation Erosion Resistance of 316LN Stainless Steel
by Yong Wang, Wei Wang, Qingrui Xiao, Jinxu Yu, Yingping Ji and Kewei Deng
Metals 2025, 15(11), 1270; https://doi.org/10.3390/met15111270 - 20 Nov 2025
Viewed by 209
Abstract
Cavitation erosion is a predominant failure mode of austenitic stainless steels in corrosive fluid environments, severely limiting their durability in nuclear piping and hydraulic components. In this study, five 316LN steels with 0.008–0.34 wt.% nitrogen content were fabricated, and both short-term (2 h) [...] Read more.
Cavitation erosion is a predominant failure mode of austenitic stainless steels in corrosive fluid environments, severely limiting their durability in nuclear piping and hydraulic components. In this study, five 316LN steels with 0.008–0.34 wt.% nitrogen content were fabricated, and both short-term (2 h) and long-term (24 h) cavitation tests were performed to elucidate the effect and mechanism of nitrogen. Increasing nitrogen markedly enhanced cavitation resistance: after 24 h, the cumulative mass loss decreased by 36%, 52%, 60%, and 71% for 09N, 17N, 22N, and 34N relative to 00N, accompanied by lower surface roughness, shallower pit depth, and a prolonged incubation stage. SEM revealed a progressive damage process from twin/high-angle grain boundaries to intragranular deformation bands and finally to spalling at slip intersections, whereas high-N steels exhibited only slight local detachment. TEM demonstrated that nitrogen transformed dislocations from random networks into dense slip bands and planar arrays with stacking faults, raising hardness from ~140 HV to ~260 HV. EBSD further confirmed strain-induced martensite transformation under severe deformation, providing additional strengthening. These results reveal that nitrogen improves cavitation resistance by tailoring dislocation structures and enhancing strength–plasticity compatibility, offering guidance for the design of high-performance austenitic stainless steels in cavitation environments. Full article
(This article belongs to the Special Issue Erosion–Corrosion Behaviour and Mechanisms of Metallic Materials)
Show Figures

Figure 1

23 pages, 3088 KB  
Article
Influence of Perforation on Elastic Modulus and Shear Modulus of Lightweight Thin-Walled Cylindrical Shells
by Inga Lasenko, Viktors Mironovs, Pavel Akishin, Marija Osipova, Anastasija Sirotkina and Andris Skromulis
Metals 2025, 15(11), 1263; https://doi.org/10.3390/met15111263 - 19 Nov 2025
Viewed by 287
Abstract
Perforated cylindrical shaped metal plates are used with high efficiency in the manufacture of deflectors, components of cooling systems, wind tunnels, climatic chambers, filters, and cylindrical implants. This is particularly important for lightweight cylindrical structures, where even minor changes in stiffness can affect [...] Read more.
Perforated cylindrical shaped metal plates are used with high efficiency in the manufacture of deflectors, components of cooling systems, wind tunnels, climatic chambers, filters, and cylindrical implants. This is particularly important for lightweight cylindrical structures, where even minor changes in stiffness can affect structural strength. One of the most important parameters determining the mechanical behavior of such structures is the effective elastic modulus of the perforated element which characterizes its resistance to deformation. The research involves plates made of stainless steel 304 alloy, where perforations were created using the laser-cutting method. The cylindrical shape of the samples with height 50 mm, thickness 1 mm, and diameter 48 mm of each specimen was obtained using metal rolling and welding techniques. To determine the effective elastic modulus, a non-destructive material property evaluation method was applied by solving an inverse problem. In this research, resonance frequencies were determined using a laser vibrometer and a full factorial experimental plan was developed. Physical samples were digitized into 3D models using 3D scanning technology. To evaluate the accuracy of the applied finite element numerical model, its convergence analysis was performed. Numerical results were approximated using the least-squares method, while the effective elastic modulus was calculated by formulating and minimizing the error functional between experimental and numerical eigenfrequencies. The results indicate that increasing the relative perforation area from 0% to 50.24% leads to a decrease in the effective elastic modulus from 184.76 GPa to 50.69 GPa, confirming that increasing the perforation area in a stainless steel 304 cylinder reduces its elastic properties. The observed reduction in resonance frequencies and elastic properties is primarily due to the stiffness decrease caused by the higher perforation volume. Full article
Show Figures

Graphical abstract

13 pages, 5693 KB  
Article
Effect of a Single-Sided Magnetic Field on Microstructure and Properties of Resistance Spot Weld Nuggets in H1000/DP590 Dissimilar Steels
by Qiaobo Feng, Jiale Li, Detian Xie and Yongbing Li
Metals 2025, 15(11), 1259; https://doi.org/10.3390/met15111259 - 18 Nov 2025
Viewed by 224
Abstract
H1000 stainless steel is defined as a nickel-saving austenitic stainless steel, characterized by high strength and high elongation. DP590 steel is widely used in the manufacturing of vehicle bodies. DP590 dual-phase steel is classified as a high-strength low-alloy steel, known for its high [...] Read more.
H1000 stainless steel is defined as a nickel-saving austenitic stainless steel, characterized by high strength and high elongation. DP590 steel is widely used in the manufacturing of vehicle bodies. DP590 dual-phase steel is classified as a high-strength low-alloy steel, known for its high strength and good formability. To address issues such as nugget deviation, inhomogeneous mixing of the internal nugget microstructure, and interfacial fracture during tensile-shear testing in resistance spot-welded joints of these dissimilar materials, a unilateral magnetic-assisted resistance spot-welding process was proposed. The influence of the external magnetic field on various properties of the joint was systematically investigated. The results indicate that the application of an external magnetic field significantly enhances the strength of H1000/DP590 dissimilar spot-welded joints, with joint strength increasing by approximately 14% and energy absorption capacity improving by about 30%. These improvements are attributed to the electromagnetic stirring effect induced by the magnetic field, through which the effective nugget diameter was enlarged, the microstructure was homogenized, and the macroscopic morphology of the nugget was modified. As a result, the bonding area between the nugget and the base metal is expanded, and the fracture mode of the joint is shifted from interfacial failure to partial button failure, thereby enhancing the mechanical properties of the joint. Full article
(This article belongs to the Special Issue Welding and Joining Technology of Dissimilar Metal Materials)
Show Figures

Figure 1

28 pages, 8862 KB  
Article
Experimental and Numerical Study on Fire Resistance and Residual Strength of Prefabricated Utility Tunnels
by Hongbo Li, Binlin Zhang, Zigen Li and Qi Yuan
Buildings 2025, 15(22), 4062; https://doi.org/10.3390/buildings15224062 - 11 Nov 2025
Viewed by 285
Abstract
Fire hazard presents a critical challenge to the structural reliability of underground modular infrastructure. This study examines the fire resistance performance of prefabricated monolithic utility tunnels featuring longitudinal threaded connections. A series of fire exposure tests was conducted on assembled utility tunnel specimens [...] Read more.
Fire hazard presents a critical challenge to the structural reliability of underground modular infrastructure. This study examines the fire resistance performance of prefabricated monolithic utility tunnels featuring longitudinal threaded connections. A series of fire exposure tests was conducted on assembled utility tunnel specimens using different bolt materials and thermal conditions, enabling evaluation of fire behavior, deformation behavior, and residual capacity. The observed thermal properties revealed significant temperature gradients across tunnel sections, with the peak internal–external differential reaching 536.8 °C. Post-fire mechanical degradation was evident in reduced stiffness and ductility, and the residual load-bearing capacity declined by up to 12.28% compared to unexposed specimens. Specimens using high-strength threaded bolts demonstrated superior performance compared to stainless steel bolt specimens, exhibiting a 4.67% higher residual capacity and 13.87% less residual deformation. A sequential thermal–mechanical finite element model was developed and calibrated based on experimental results, offering a reliable simulation framework for investigating fire-induced damage and residual strength in modular utility tunnel systems. These findings provide a quantitative basis for fire safety assessment. Full article
(This article belongs to the Special Issue Fire Science and Safety of Building Structure)
Show Figures

Figure 1

16 pages, 4415 KB  
Article
Hydrogen–Dislocation Interactions at Cryogenic Temperatures: Serrated Yielding and Embrittlement Resistance in High-Strength Austenitic Alloys
by Nina Damm, Marina Lukas, Jan Platl, Andreas Drexler, Matthias Eichinger, Magdalena Eskinja, Gregor Mori, Zoltán Simon, Michael Scheerer, Stefan Marsoner and Vsevolod I. Razumovskiy
Materials 2025, 18(22), 5109; https://doi.org/10.3390/ma18225109 - 10 Nov 2025
Viewed by 579
Abstract
Comprehensive studies of hydrogen embrittlement in high-strength austenitic alloys under cryogenic conditions are scarce, leaving the combined effect of hydrogen charging and extreme temperatures largely unexplored. Given the demands of cryogenic applications such as hydrogen storage and transport, understanding material behavior under these [...] Read more.
Comprehensive studies of hydrogen embrittlement in high-strength austenitic alloys under cryogenic conditions are scarce, leaving the combined effect of hydrogen charging and extreme temperatures largely unexplored. Given the demands of cryogenic applications such as hydrogen storage and transport, understanding material behavior under these conditions is crucial. Here, we present the first systematic study of hydrogen’s effect at liquid helium temperature (4.2 K) on the mechanical properties of precipitation hardened austenitic alloys, specifically the nickel-based Alloy 718 and austenitic stainless steel A286. Both materials were subjected to pressurized hydrogen charging at 473 K followed by slow strain rate tensile testing at room temperature and at 4.2 K. Hydrogen charging caused significant ductility loss at room temperature in both alloys. In contrast, testing at 4.2 K resulted in increased strength and no evidence of hydrogen embrittlement. Notably, materials pre-charged with hydrogen and tested at 4.2 K exhibited higher stress drop amplitudes and increased strain accumulation during serration events, suggesting persistent hydrogen–dislocation interactions and possible enhanced dislocation pinning by obstacles such as Lomer–Cottrell locks. These results indicate that while hydrogen influences plasticity mechanisms at cryogenic temperatures, embrittlement is suppressed, providing new insight into the safe development of austenitic alloys in cryogenic hydrogen environments. Full article
(This article belongs to the Special Issue Corrosion and Tribological Behaviour of Materials)
Show Figures

Figure 1

23 pages, 4593 KB  
Article
Finite Element and Parametric Study on the Shear Capacity of FRP and Stainless-Steel Bolted Connectors in GFRP–Concrete Composite Beams
by Abdalla Zidan, Hesham Fawzy Shaaban and Ayman El-Zohairy
J. Compos. Sci. 2025, 9(11), 622; https://doi.org/10.3390/jcs9110622 - 10 Nov 2025
Viewed by 484
Abstract
Fiber-reinforced polymer (FRP) composites, particularly glass fiber-reinforced polymer (GFRP), are increasingly utilized in civil engineering due to their high strength-to-weight ratio, corrosion resistance, and environmental sustainability compared to steel. Shear connectors in FRP–concrete hybrid beams are critical for effective load transfer, yet their [...] Read more.
Fiber-reinforced polymer (FRP) composites, particularly glass fiber-reinforced polymer (GFRP), are increasingly utilized in civil engineering due to their high strength-to-weight ratio, corrosion resistance, and environmental sustainability compared to steel. Shear connectors in FRP–concrete hybrid beams are critical for effective load transfer, yet their behavior under static loads remains underexplored. This study aims to investigate the shear strength, stiffness, and failure modes of GFRP, CFRP, AFRP, and stainless-steel shear connectors in FRP–concrete hybrid beams through a comprehensive parametric analysis, addressing gaps in material optimization, bolt configuration, and design guidelines. A validated finite element model in Abaqus was employed to simulate push-out tests based on experimental data. The parameters analyzed included shear connector material (GFRP, CFRP, AFRP, and stainless steel), bolt diameter (16–30 mm), number of bolts (1–6), longitudinal spacing (60–120 mm), embedment length (40–70 mm), and concrete compressive strength (30–70 MPa). Shear load–slip (P-S) curves, ultimate shear load (P), secant stiffness (K1), and failure modes were evaluated. CFRP bolts exhibited the highest shear capacity, 26.50% greater than stainless steel, with failure dominated by flange bearing, like AFRP and stainless steel, while GFRP bolts failed by shear failure of bolt shanks. Shear capacity increased by 90.60%, with bolt diameter from 16 mm to 30 mm, shifting failure from bolt shank to concrete splitting. Multi-bolt configurations reduced per-bolt shear capacity by up to 15.00% due to uneven load distribution. Larger bolt spacing improved per-bolt shear capacity by 9.48% from 60 mm (3d) to 120 mm (6d). However, in beams, larger spacing reduced the total number of bolts, decreasing overall shear resistance and the degree of shear connection. Higher embedment lengths (he/d ≥ 3.0) mitigated pry-out failure, with shear capacity increasing by 33.59% from 40 mm to 70 mm embedment. Increasing concrete strength from 30 MPa to 70 MPa enhanced shear capacity by 22.07%, shifting the failure mode from concrete splitting to bolt shank shear. The study highlights the critical influence of bolt material, diameter, number, spacing, embedment length, and concrete strength on shear behavior. These findings support the development of FRP-specific design models, enhancing the reliability and sustainability of FRP–concrete hybrid systems. Full article
(This article belongs to the Special Issue Polymer Composites and Fibers, 3rd Edition)
Show Figures

Figure 1

20 pages, 7051 KB  
Article
Using Coatings Based on the ZrN System to Improve the Corrosion Resistance of Stainless Steel Products
by Sergey Grigoriev, Marina Volosova, Valery Zhylinski, Catherine Sotova, Filipp Milovich, Alexander Kalinichenko, Abdelhafed Taleb, Elena Eganova, Tatyana Borovik and Alexey Vereschaka
J. Manuf. Mater. Process. 2025, 9(11), 369; https://doi.org/10.3390/jmmp9110369 - 10 Nov 2025
Viewed by 487
Abstract
This article investigates the anticorrosive properties of Zr-ZrN coatings, including Zr-(Zr,Hf)N, Zr-(Zr,Ti)N, Zr,Hf-(Zr,Hf,Nb)N, and Zr,Nb-(Zr,Nb)N, deposited on AISI 321 stainless steel substrates. The hardness and elasticity modulus of these coatings, as well as their scratch test strength, were measured. Corrosion current densities were [...] Read more.
This article investigates the anticorrosive properties of Zr-ZrN coatings, including Zr-(Zr,Hf)N, Zr-(Zr,Ti)N, Zr,Hf-(Zr,Hf,Nb)N, and Zr,Nb-(Zr,Nb)N, deposited on AISI 321 stainless steel substrates. The hardness and elasticity modulus of these coatings, as well as their scratch test strength, were measured. Corrosion current densities were calculated using the polarisation resistance method and by extrapolating the linear sections of the cathodic and anodic curves under electrode polarisation. The structure and composition of the sample surfaces were analysed by transmission electron microscopy. Notably, the nitride coatings reduced the corrosion current density in a 3% aqueous NaCl solution at 25 °C by more than 10 times, from 6.96 for the uncoated substrate to 0.17 μA/cm2 for the Zr-(Zr,Ti)N-coated sample. The addition of Ti nitride to Zr-ZrN led to the most significant decrease in the corrosion current density. However, the introduction of Nb caused an increase in the corrosion rate and a decrease in the polarisation resistance, and Hf did not affect the corrosion-protective properties of the studied nitride coatings. Full article
Show Figures

Figure 1

13 pages, 15087 KB  
Article
Investigation on High-Temperature Tensile and Wear Properties in an L-PBF-Fabricated TiB2-Reinforced Austenitic Steel
by Minghao Huang and Yutong Chen
Metals 2025, 15(11), 1233; https://doi.org/10.3390/met15111233 - 9 Nov 2025
Viewed by 463
Abstract
316L austenitic stainless steel is an ideal candidate for high-temperature applications. However, the relatively low strength and poor wear resistance at high temperatures significantly limit its application in high-temperature environments. In this study, we address this challenge by tracing TiB2 microalloying austenitic [...] Read more.
316L austenitic stainless steel is an ideal candidate for high-temperature applications. However, the relatively low strength and poor wear resistance at high temperatures significantly limit its application in high-temperature environments. In this study, we address this challenge by tracing TiB2 microalloying austenitic steel via L-PBF (laser powder bed fusion), a micro-melting pool metallurgy method. The results show that adding 2.5 wt.% TiB2 significantly refines the austenite grain size from ~19 μm to ~1 μm. The austenite grain size characterizes thermal stability at 300 °C and 600 °C. The fabricated TiB2-reinforced steel shows extraordinarily high-temperature tensile strength, achieving 740 MPa and 636 MPa at 300 °C and 600 °C, respectively. The high tensile strength under high temperature is attributed to the TiB2 phase strengthening and ultrafine austenite grain sizes. Regarding the high-temperature wear friction coefficient of 0.69 at 300 °C and 0.47 at 600 °C, the predominant wear mechanism is abrasive wear, accompanied by adhesive and oxidative wear mechanisms. The present study provides new insight for the development of L-PBF austenitic steels that combine high-temperature strength with superior wear resistance. Full article
(This article belongs to the Special Issue Additive Manufactured Metal Structural Materials)
Show Figures

Figure 1

22 pages, 28424 KB  
Article
Effect of Water Ring Flow Rate Ratio on Preparation of Yttrium Oxide Coatings by Suspension Plasma Spray
by Aolong Deng, Fuhu Liu, Peng Zhao, Hailong Zhu and Chuanwen Geng
Coatings 2025, 15(11), 1304; https://doi.org/10.3390/coatings15111304 - 7 Nov 2025
Viewed by 329
Abstract
Yttrium oxide (Y2O3) is a crucial protective material for the inner walls of semiconductor etching chambers. This study employed Suspension Plasma Spray (SPS) technology to deposit Y2O3 coatings on AISI 304 stainless steel substrates. A water [...] Read more.
Yttrium oxide (Y2O3) is a crucial protective material for the inner walls of semiconductor etching chambers. This study employed Suspension Plasma Spray (SPS) technology to deposit Y2O3 coatings on AISI 304 stainless steel substrates. A water ring guide cover, which injects deionized water toward the center of the plasma flame at the torch outlet, was installed. The critical parameter ratio between the water ring flow rate and the suspension feed rate was investigated, with a specific focus on its influence on the coating’s microstructure and mechanical properties. The findings reveal that this parameter exhibits a significant positive correlation with porosity, with the coefficient of determination R2 for their linear fit reaching 0.91236. When the water ring flow rate ratio was reduced to 79.66%, the porosity decreased to 0.946%, while the primary composition of the coating remained unchanged. Bond strength tests demonstrated that the adhesion strength of the coating exhibits an upward trend with increasing proportion of water ring flow. The adhesion strength reached its maximum value of 27.02 MPa when the water ring flow rate proportion was increased to 85.45%. Roughness exhibits a non-monotonic variation trend within the ratio range, attaining its optimal minimum value at the lower end of the ratio, indicating complex interrelationships among process characteristics. This work concludes that a low water ring flow rate ratio is essential for fabricating dense, well-adhered, and smooth Y2O3 coatings via SPS, providing a critical guideline for process optimization for applications such as semiconductor protection. Full article
(This article belongs to the Section Plasma Coatings, Surfaces & Interfaces)
Show Figures

Figure 1

23 pages, 1650 KB  
Review
Development of Cryogenic Structural Steels for Magnetic Confinement Fusion
by Jingjing Dai and Chuanjun Huang
Cryo 2025, 1(4), 13; https://doi.org/10.3390/cryo1040013 - 30 Oct 2025
Viewed by 320
Abstract
With the growth in global energy demand and increasing concern over the environmental issues associated with fossil fuels, magnetic confinement fusion (MCF) has gained widespread attention as a clean and sustainable energy solution. The superconducting magnet systems in MCF devices operate under liquid [...] Read more.
With the growth in global energy demand and increasing concern over the environmental issues associated with fossil fuels, magnetic confinement fusion (MCF) has gained widespread attention as a clean and sustainable energy solution. The superconducting magnet systems in MCF devices operate under liquid helium temperature of 4.2 K and strong magnetic fields, requiring structural materials to possess exceptional high strength, high toughness, and non-magnetic properties. This paper reviews recent research advances in cryogenic high-strength and high-toughness austenitic stainless steels (ASSs) for MCF devices, focusing on modified grades like 316LN and JK2LB used in the International Thermonuclear Experimental Reactor (ITER) project, as well as China’s CHN01 steel developed for the China Fusion Engineering Test Reactor (CFETR) project. The mechanical properties at 4.2 K (including yield strength (Rp0.2), fracture toughness (K(J)Ic), and Elongation (e)), microstructural evolutions, weldability, and manufacturing challenges of these materials are systematically analyzed. Finally, the different technical approaches and achievements in material development among Japan, the United States, and China are compared, the current limitations of these materials in terms of weld integrity and manufacturability are discussed, and future research directions are outlined. Full article
Show Figures

Figure 1

15 pages, 5582 KB  
Article
Design of an Energy-Efficient Pilot-Scale Pyrolysis Reactor Using Low-Cost Insulating Materials
by José Alfredo Torres Tovar, Hermelinda Servín-Campuzano, Mauricio González-Avilés, Hugo Sobral, Francisco Javier Sánchez-Ruiz and Saúl Leonardo Hernández Trujillo
Recycling 2025, 10(6), 199; https://doi.org/10.3390/recycling10060199 - 28 Oct 2025
Viewed by 922
Abstract
A pilot-scale reactor prototype was designed to produce hydrocarbons through the catalytic pyrolysis process of low-density polyethylene, thereby extending its life cycle and contributing to energy efficiency and sustainability. The reactor consists of a stainless-steel tank encased in a ceramic jacket with refractory [...] Read more.
A pilot-scale reactor prototype was designed to produce hydrocarbons through the catalytic pyrolysis process of low-density polyethylene, thereby extending its life cycle and contributing to energy efficiency and sustainability. The reactor consists of a stainless-steel tank encased in a ceramic jacket with refractory cement and clay bricks. The tank, made of 304 stainless steel, ensures mechanical strength and efficient heat transfer to the reactor core. A spiral condenser was incorporated into a water tank to cool the vapors and recover the liquid oil. The insulating materials, ceramic, refractory cement and clay brick, demonstrated a high combined thermal resistance of 0.159 m2·K/W. Simulations and energy flow calculations demonstrated that heat is efficiently directed to the reactor core, reaching 350 °C with only 3000–3800 W, while the outside of the jacket remained close to 32 °C. These results confirm that the proposed design improves thermal efficiency and optimizes energy use for catalytic pyrolysis. The novelty of this design lies in its energy-efficient configuration, which can be replicated in rural regions worldwide due to the accessibility of its construction materials. This reactor was developed based on a smaller-scale model that previously yielded excellent results. Full article
Show Figures

Figure 1

Back to TopTop