Sign in to use this feature.

Years

Between: -

Subjects

remove_circle_outline
remove_circle_outline
remove_circle_outline
remove_circle_outline
remove_circle_outline
remove_circle_outline
remove_circle_outline

Journals

Article Types

Countries / Regions

Search Results (56)

Search Parameters:
Keywords = sterol-responsive element binding protein SREBP2

Order results
Result details
Results per page
Select all
Export citation of selected articles as:
23 pages, 7565 KB  
Article
Solvent Fractionation Improves the Functional Properties of Sheep Rump Fat: Effects of Different Lipid Fractions on Lipid Metabolism and Gut Health in Mice
by Xin Ma, Junfei Yu, Zequan Xu, Jian Wei, Lingyan Wu, Hongjiao Han, Jianzhong Zhou and Zirong Wang
Foods 2025, 14(21), 3641; https://doi.org/10.3390/foods14213641 - 24 Oct 2025
Viewed by 208
Abstract
To enhance the nutritional value of sheep fat, high-melting-point solid fat (HSO) and low-melting-point liquid oil (LSO) were prepared from Altay sheep rump fat via solvent fractionation. The effects of HSO and LSO on lipid metabolism and intestinal health were evaluated in a [...] Read more.
To enhance the nutritional value of sheep fat, high-melting-point solid fat (HSO) and low-melting-point liquid oil (LSO) were prepared from Altay sheep rump fat via solvent fractionation. The effects of HSO and LSO on lipid metabolism and intestinal health were evaluated in a mouse model. Results showed that HSO, rich in saturated fatty acids (SFA), induced obesity, dyslipidemia, and colonic inflammation in mice. These adverse effects were associated with the upregulation of hepatic lipid synthesis genes such as Sterol regulatory element-binding protein 1c (SREBP-1c) and Fatty acid synthase (FAS), as well as increased expression of pro-inflammatory cytokines including Tumor necrosis factor-alpha (TNF-α) and Interleukin-6 (IL-6) in the colon. In contrast, LSO, which was predominantly composed of unsaturated fatty acids (UFA), did not cause significant metabolic disorders. Instead, it promoted the upregulation of fatty acid oxidation-related genes such as Peroxisome proliferator-activated receptor alpha (PPARα) and Acyl-CoA oxidase 1 (Acox1), helped maintain intestinal microbial balance, and enhanced the production of beneficial short-chain fatty acids (SCFAs), particularly butyrate and propionate. In conclusion, solvent fractionation effectively modulates the fatty acid composition of sheep fat, thereby influencing lipid metabolism and inflammatory responses through the regulation of key gene expression and modulation of the gut microenvironment. Full article
(This article belongs to the Section Food Nutrition)
Show Figures

Graphical abstract

15 pages, 3568 KB  
Article
Bisphenol S Induces Lipid Metabolism Disorders in HepG2 and SK-Hep-1 Cells via Oxidative Stress
by Kai-Xing Lin, Zi-Yao Wu, Mei-Lin Qin and Huai-Cai Zeng
Toxics 2025, 13(1), 44; https://doi.org/10.3390/toxics13010044 - 8 Jan 2025
Cited by 2 | Viewed by 1714
Abstract
Bisphenol S (BPS) is a typical endocrine disruptor associated with obesity. To observe BPS effects on lipid metabolism in HepG2 and SK-Hep-1 human HCC cells, a CCK-8 assay was used to assess cell proliferation in response to BPS, and the optimal concentration of [...] Read more.
Bisphenol S (BPS) is a typical endocrine disruptor associated with obesity. To observe BPS effects on lipid metabolism in HepG2 and SK-Hep-1 human HCC cells, a CCK-8 assay was used to assess cell proliferation in response to BPS, and the optimal concentration of BPS was selected. Biochemical indices such as triglyceride (TG) and total cholesterol (T-CHO), and oxidative stress indices such as malondialdehyde (MDA) and catalase (CAT) were measured. ROS and MDA levels were significantly increased after BPS treatment for 24 h and 48 h (p < 0.05), indicating an oxidative stress response. Alanine aminotransferase (ALT), T-CHO, and low-density lipoprotein cholesterol (LDL-C) levels also increased significantly after 24 or 48 h BPS treatments (p < 0.05). RT-PCR and Western blot analyses detected mRNA or protein expression levels of peroxisome proliferator-activated receptor α (PPARα) and sterol regulatory element-binding protein 1c (SREBP1C). The results indicated that BPS could inhibit the mRNA expression of PPARα and carnitine palmitoyl transferase 1B (CPT1B), reduce lipid metabolism, promote mRNA or protein expression of SREBP1C and fatty acid synthase (FASN), and increase lipid synthesis. Increased lipid droplets were observed using morphological Oil Red O staining. Our study demonstrates that BPS may cause lipid accumulation by increasing oxidative stress and perturbing cellular lipid metabolism. Full article
(This article belongs to the Special Issue Drug Metabolism and Toxicological Mechanisms)
Show Figures

Figure 1

14 pages, 1603 KB  
Review
Unveiling the Multifaceted Role of CIDEB: From Apoptosis to Lipid Metabolism and Liver Health
by Louise Wutsdorff, Julienne Mougnekabol, Peter Tang, Anja Reutzel-Selke, Igor M. Sauer and Nils Haep
Livers 2024, 4(3), 406-419; https://doi.org/10.3390/livers4030030 - 27 Aug 2024
Cited by 1 | Viewed by 4533
Abstract
Cell-death-inducing DNA fragmentation factor-alpha (DFFA)-like effector b (CIDEB) was first identified as an apoptosis-inducing protein. Further research revealed a pivotal role in lipid metabolism, regulating very-low-density lipoprotein (VLDL), lipid droplets (LD), sterol response element-binding protein (SREBP), and chylomicrons. Recent studies have uncovered that [...] Read more.
Cell-death-inducing DNA fragmentation factor-alpha (DFFA)-like effector b (CIDEB) was first identified as an apoptosis-inducing protein. Further research revealed a pivotal role in lipid metabolism, regulating very-low-density lipoprotein (VLDL), lipid droplets (LD), sterol response element-binding protein (SREBP), and chylomicrons. Recent studies have uncovered that rare germline variants in CIDEB protect against liver diseases, including MAFLD, cirrhosis, and viral hepatitis. Furthermore, CIDEB influences steps of the hepatitis C virus (HCV) replication cycle. This review summarizes the current knowledge about CIDEB’s roles in apoptosis, lipid metabolism, and viral hepatitis, and highlights its critical role in liver diseases. Full article
Show Figures

Figure 1

13 pages, 1038 KB  
Review
Exercise, mTOR Activation, and Potential Impacts on the Liver in Rodents
by Giuliano Moreto Onaka, Marianna Rabelo de Carvalho, Patricia Kubalaki Onaka, Claudiane Maria Barbosa, Paula Felippe Martinez and Silvio Assis de Oliveira-Junior
Biology 2024, 13(6), 362; https://doi.org/10.3390/biology13060362 - 22 May 2024
Cited by 2 | Viewed by 2797
Abstract
The literature offers a consensus on the association between exercise training (ET) protocols based on the adequate parameters of intensity and frequency, and several adaptive alterations in the liver. Indeed, regular ET can reverse glucose and lipid metabolism disorders, especially from aerobic modalities, [...] Read more.
The literature offers a consensus on the association between exercise training (ET) protocols based on the adequate parameters of intensity and frequency, and several adaptive alterations in the liver. Indeed, regular ET can reverse glucose and lipid metabolism disorders, especially from aerobic modalities, which can decrease intrahepatic fat formation. In terms of molecular mechanisms, the regulation of hepatic fat formation would be directly related to the modulation of the mechanistic target of rapamycin (mTOR), which would be stimulated by insulin signaling and Akt activation, from the following three different primary signaling pathways: (I) growth factor, (II) energy/ATP-sensitive, and (III) amino acid-sensitive signaling pathways, respectively. Hyperactivation of the Akt/mTORC1 pathway induces lipogenesis by regulating the action of sterol regulatory element binding protein-1 (SREBP-1). Exercise training interventions have been associated with multiple metabolic and tissue benefits. However, it is worth highlighting that the mTOR signaling in the liver in response to exercise interventions remains unclear. Hepatic adaptive alterations seem to be most outstanding when sustained by chronic interventions or high-intensity exercise protocols. Full article
(This article belongs to the Section Physiology)
Show Figures

Figure 1

15 pages, 4380 KB  
Article
Ferrous Ion Alleviates Lipid Deposition and Inflammatory Responses Caused by a High Cottonseed Meal Diet by Modulating Hepatic Iron Transport Homeostasis and Controlling Ferroptosis in Juvenile Ctenopharyngodon idellus
by Hengchen Liu, Shiyou Chen, Yan Lin, Wenqiang Jiang, Yongfeng Zhao, Siyue Lu, Linghong Miao and Xianping Ge
Antioxidants 2023, 12(11), 1968; https://doi.org/10.3390/antiox12111968 - 6 Nov 2023
Cited by 5 | Viewed by 3597
Abstract
To investigate the mechanisms through which ferrous ion (Fe2+) addition improves the utilization of a cottonseed meal (CSM) diet, two experimental diets with equal nitrogen and energy content (low-cottonseed meal (LCM) and high-cottonseed meal (HCM) diets, respectively) containing 16.31% and 38.46% [...] Read more.
To investigate the mechanisms through which ferrous ion (Fe2+) addition improves the utilization of a cottonseed meal (CSM) diet, two experimental diets with equal nitrogen and energy content (low-cottonseed meal (LCM) and high-cottonseed meal (HCM) diets, respectively) containing 16.31% and 38.46% CSM were prepared. Additionally, the HCM diet was supplemented with graded levels of FeSO4·7H2O to establish two different Fe2+ supplementation groups (HCM + 0.2%Fe2+ and HCM + 0.4%Fe2+). Juvenile Ctenopharyngodon idellus (grass carps) (5.0 ± 0.5 g) were fed one of these four diets (HCM, LCM, HCM + 0.2%Fe2+ and HCM + 0.4%Fe2+ diets) for eight weeks. Our findings revealed that the HCM diet significantly increased lipid peroxide (LPO) concentration and the expression of lipogenic genes, e.g., sterol regulatory element binding transcription factor 1 (srebp1) and stearoyl-CoA desaturase (scd), leading to excessive lipid droplet deposition in the liver (p < 0.05). However, these effects were significantly reduced in the HCM + 0.2%Fe2+ and HCM + 0.4%Fe2+ groups (p < 0.05). Plasma high-density lipoprotein (HDL) concentration was also significantly lower in the HCM and HCM + 0.2%Fe2+ groups compared to the LCM group (p < 0.05), whereas low-density lipoprotein (LDL) concentration was significantly higher in the HCM + 0.2%Fe2+ and HCM + 0.4%Fe2+ groups than in the LCM group (p < 0.05). Furthermore, the plasma levels of liver functional indices, including alkaline phosphatase (ALP), aspartate aminotransferase (AST), alanine aminotransferase (ALT), and glucose (GLU), were significantly lower in the HCM + 0.4%Fe2+ group (p < 0.05). Regarding the expression of genes related to iron transport regulation, transferrin 2 (tfr2) expression in the HCM group and Fe2+ supplementation groups were significantly suppressed compared to the LCM group (p < 0.05). The addition of 0.4% Fe2+ in the HCM diet activated hepcidin expression and suppressed ferroportin-1 (fpn1) expression (p < 0.05). Compared to the LCM group, the expression of genes associated with ferroptosis and inflammation, including acyl-CoA synthetase long-chain family member 4b (acsl4b), lysophosphatidylcholine acyltransferase 3 (lpcat3), cyclooxygenase (cox), interleukin 1β (il-1β), and nuclear factor kappa b (nfκb), were significantly increased in the HCM group (p < 0.05), whereas Fe2+ supplementation in the HCM diet significantly inhibited their expression (p < 0.05) and significantly suppressed lipoxygenase (lox) expression (p < 0.05). Compared with the HCM group without Fe2+ supplementation, Fe2+ supplementation in the HCM diet significantly upregulated the expression of genes associated with ferroptosis, such as heat shock protein beta-associated protein1 (hspbap1), glutamate cysteine ligase (gcl), and glutathione peroxidase 4a (gpx4a) (p < 0.05), and significantly decreased the expression of the inflammation-related genes interleukin 15/10 (il-15/il-10) (p < 0.05). In conclusion, FeSO4·7H2O supplementation in the HCM diet maintained iron transport and homeostasis in the liver of juvenile grass carps, thus reducing the occurrence of ferroptosis and alleviating hepatic lipid deposition and inflammatory responses caused by high dietary CSM contents. Full article
(This article belongs to the Special Issue Antioxidants Benefits in Aquaculture 2.0)
Show Figures

Figure 1

23 pages, 4657 KB  
Article
α-Tocopherol-13′-Carboxychromanol Induces Cell Cycle Arrest and Cell Death by Inhibiting the SREBP1-SCD1 Axis and Causing Imbalance in Lipid Desaturation
by Sijia Liao, André Gollowitzer, Lisa Börmel, Charlotte Maier, Luisa Gottschalk, Oliver Werz, Maria Wallert, Andreas Koeberle and Stefan Lorkowski
Int. J. Mol. Sci. 2023, 24(11), 9229; https://doi.org/10.3390/ijms24119229 - 25 May 2023
Cited by 6 | Viewed by 2534
Abstract
α-Tocopherol-13′-carboxychromanol (α-T-13′-COOH) is an endogenously formed bioactive α-tocopherol metabolite that limits inflammation and has been proposed to exert lipid metabolism-regulatory, pro-apoptotic, and anti-tumoral properties at micromolar concentrations. The mechanisms underlying these cell stress-associated responses are, however, poorly understood. Here, we show that the [...] Read more.
α-Tocopherol-13′-carboxychromanol (α-T-13′-COOH) is an endogenously formed bioactive α-tocopherol metabolite that limits inflammation and has been proposed to exert lipid metabolism-regulatory, pro-apoptotic, and anti-tumoral properties at micromolar concentrations. The mechanisms underlying these cell stress-associated responses are, however, poorly understood. Here, we show that the induction of G0/G1 cell cycle arrest and apoptosis in macrophages triggered by α-T-13′-COOH is associated with the suppressed proteolytic activation of the lipid anabolic transcription factor sterol regulatory element-binding protein (SREBP)1 and with decreased cellular levels of stearoyl-CoA desaturase (SCD)1. In turn, the fatty acid composition of neutral lipids and phospholipids shifts from monounsaturated to saturated fatty acids, and the concentration of the stress-preventive, pro-survival lipokine 1,2-dioleoyl-sn-glycero-3-phospho-(1′-myo-inositol) [PI(18:1/18:1)] decreases. The selective inhibition of SCD1 mimics the pro-apoptotic and anti-proliferative activity of α-T-13′-COOH, and the provision of the SCD1 product oleic acid (C18:1) prevents α-T-13′-COOH-induced apoptosis. We conclude that micromolar concentrations of α-T-13′-COOH trigger cell death and likely also cell cycle arrest by suppressing the SREBP1-SCD1 axis and depleting cells of monounsaturated fatty acids and PI(18:1/18:1). Full article
Show Figures

Graphical abstract

18 pages, 3093 KB  
Article
Effects of Stocking Density on the Growth Performance, Physiological Parameters, Antioxidant Status and Lipid Metabolism of Pelteobagrus fulvidraco in the Integrated Rice-Fish Farming System
by Weixu Diao, Rui Jia, Yiran Hou, Yin Dong, Bing Li and Jian Zhu
Animals 2023, 13(11), 1721; https://doi.org/10.3390/ani13111721 - 23 May 2023
Cited by 21 | Viewed by 4562
Abstract
Pelteobagrus fulvidraco is a freshwater fish commonly raised in rice fields, yet the optimal stocking density for this species remains unknown. Therefore, this study aimed to investigate the appropriate stocking density of P. fulvidraco in integrated rice–fish farming systems. Three different stocking densities––low [...] Read more.
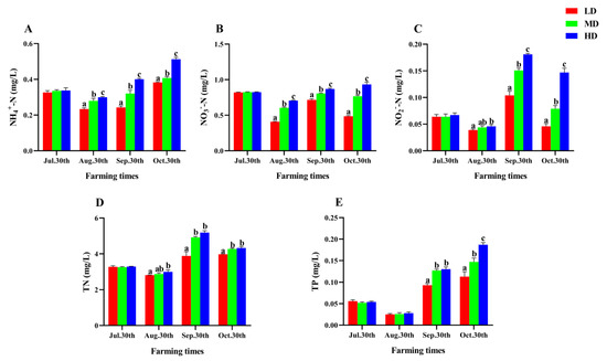
Pelteobagrus fulvidraco is a freshwater fish commonly raised in rice fields, yet the optimal stocking density for this species remains unknown. Therefore, this study aimed to investigate the appropriate stocking density of P. fulvidraco in integrated rice–fish farming systems. Three different stocking densities––low density (LD, 125 g/m2), middle density (MD, 187.5 g/m2), and high density (HD, 250 g/m2)––were set up to evaluate P. fulvidraco’s growth performance, stress indices, immune function, antioxidant status, and lipid metabolism after 90 days of farming. The results indicated that HD treatment had a detrimental effect on P. fulvidraco’s growth parameters. HD treatment led to an increase in cortisol (Cor) and lactate (La) levels, but a decrease in glucose (Glu) content in serum. After 90 days of farming, an immune response accompanied by the increase of complement 3 (C3), C4, and immunoglobulin M (IgM) was observed in the HD group. Meanwhile, HD treatment induced oxidative stress and altered antioxidative status evidenced by the levels of catalase (CAT), glutathione peroxidase (Gpx), glutathione (GSH), malondialdehyde (MDA), superoxide dismutase (SOD), and total antioxidant capacity (T-AOC) in serum or liver. Additionally, the lipid metabolism-related genes including lipoprotein lipase (lpl), peroxisome proliferators-activated receptor (pparα), carnitine palmitoyltransferase-1 (cpt-1), and sterol regulatory element binding protein-1 (srebp-1) were markedly downregulated in the HD and/or MD group after 90 days of farming. In conclusion, this study contributes to a better understanding of P. fulvidraco’s response to different stocking densities in integrated rice–fish farming systems. We suggest that the appropriate stocking density for P. fulvidraco in these farming systems should be below 250 g/m2, considering both fish growth and physiological responses. Full article
(This article belongs to the Section Aquatic Animals)
Show Figures

Figure 1

18 pages, 2612 KB  
Article
Effects of Starvation and Refeeding on Growth, Digestion, Nonspecific Immunity and Lipid-Metabolism-Related Genes in Onychostoma macrolepis
by Nina Gou, Kaifeng Wang, Tiezhi Jin and Bin Yang
Animals 2023, 13(7), 1168; https://doi.org/10.3390/ani13071168 - 25 Mar 2023
Cited by 12 | Viewed by 3336
Abstract
The present research was conducted to assess the influences of starvation and refeeding on growth, nonspecific immunity and lipid metabolic adaptation in Onychostoma macrolepis. To date, there have been no similar reports in O. macrolepis. The fish were randomly assigned into two [...] Read more.
The present research was conducted to assess the influences of starvation and refeeding on growth, nonspecific immunity and lipid metabolic adaptation in Onychostoma macrolepis. To date, there have been no similar reports in O. macrolepis. The fish were randomly assigned into two groups: control group (continuous feeding for six weeks) and starved–refed group (starvation for three weeks and then refeeding for three weeks). After three weeks of starvation, the results showed that the body weight (BW, 1.44 g), condition factor (CF, 1.17%), visceral index (VSI, 3.96%), hepatopancreas index (HSI, 0.93%) and intraperitoneal fat index (IPFI, 0.70%) of fish were significantly lower compared to the control group (BW, 5.72 g; CF, 1.85%; VSI, 6.35%; HSI, 2.04%; IPFI, 1.92%) (p < 0.05). After starvation, the serum triglyceride (TG, 0.83 mmol/L), total cholesterol (T-GHOL, 1.15 mmol/L), high-density lipoprotein (HDL, 1.13 mmol/L) and low-density lipoprotein (LDL, 0.46 mmol/L) concentrations were significantly lower than those in the control group (TG, 1.69 mmol/L; T-GHOL, 1.86 mmol/L; HDL, 1.62 mmol/L; LDL, 0.63 mmol/L) (p < 0.05). The activities of intestinal digestive enzymes (amylase, lipase and protease) in the starved-refed group were significantly lower than those in the control group after three weeks of starvation (p < 0.05). The highest activities of immune enzymes such as lysozyme (LZM), acid phosphate (ACP), alkaline phosphate (ALP), superoxide dismutase (SOD), glutathione peroxidase (GSH-PX) and catalase (CAT) in the hepatopancreas were presented in the starved–refed group at second week, and significantly higher than those in the control group (p < 0.05). Meanwhile, starvation significantly improved intestinal immune enzymes activities (p < 0.05). the lowest TG contents and the highest expression levels of lipolysis genes including hormone-sensitive lipase (HSL) and carnitine palmitoyl transferase 1 isoform A (CPT-1A) appeared in the hepatopancreas, muscle and intraperitoneal fat after starvation, indicating the mobilization of fat reserves in these tissues (p < 0.05). After refeeding, the recovery of TG content might be mediated by the upregulation of the expression levels of lipogenesis genes such as sterol regulatory element binding protein 1 (SREBP1) and fatty acid synthase (FAS). Understanding the duration of physiological and metabolic changes in O. macrolepis and their reversibility or irreversibility to supplementary feeding response could provide valuable reference for the adaptability of O. macrolepis in large-scale culturing, proliferation and release. Full article
(This article belongs to the Section Aquatic Animals)
Show Figures

Figure 1

21 pages, 5776 KB  
Article
Modulation of SREBP Expression and Fatty Acid Levels by Bacteria-Induced ER Stress Is Mediated by Hemocyanin in Penaeid Shrimp
by Zishu Huang, Xiaoyu Zheng, Zeyan Chen, Zhihong Zheng, Defu Yao, Shen Yang, Yueling Zhang and Jude Juventus Aweya
Mar. Drugs 2023, 21(3), 164; https://doi.org/10.3390/md21030164 - 28 Feb 2023
Cited by 6 | Viewed by 3022
Abstract
Many environmental and pathogenic insults induce endoplasmic reticulum (ER) stress in animals, especially in aquatic ecosystems, where these factors are crucial for life. In penaeid shrimp, pathogens and environmental stressors induce hemocyanin expression, but the involvement of hemocyanin in ER stress response is [...] Read more.
Many environmental and pathogenic insults induce endoplasmic reticulum (ER) stress in animals, especially in aquatic ecosystems, where these factors are crucial for life. In penaeid shrimp, pathogens and environmental stressors induce hemocyanin expression, but the involvement of hemocyanin in ER stress response is unknown. We demonstrate that in response to pathogenic bacteria (Vibrio parahaemolyticus and Streptococcus iniae), hemocyanin, ER stress proteins (Bip, Xbp1s, and Chop), and sterol regulatory element binding protein (SREBP) are induced to alter fatty acid levels in Penaeus vannamei. Interestingly, hemocyanin interacts with ER stress proteins to modulate SREBP expression, while ER stress inhibition with 4-Phenylbutyric acid or hemocyanin knockdown attenuates the expression of ER stress proteins, SREBP, and fatty acid levels. Contrarily, hemocyanin knockdown followed by tunicamycin treatment (ER stress activator) increased their expression. Thus, hemocyanin mediates ER stress during pathogen challenge, which consequently modulates SREBP to regulate the expression of downstream lipogenic genes and fatty acid levels. Our findings reveal a novel mechanism employed by penaeid shrimp to counteract pathogen-induced ER stress. Full article
(This article belongs to the Special Issue Chemical Defense in Marine Organisms II)
Show Figures

Graphical abstract

18 pages, 2439 KB  
Review
Sirtuin 6—A Key Regulator of Hepatic Lipid Metabolism and Liver Health
by X. Charlie Dong
Cells 2023, 12(4), 663; https://doi.org/10.3390/cells12040663 - 19 Feb 2023
Cited by 40 | Viewed by 11886
Abstract
Sirtuin 6 (SIRT6) is an NAD-dependent deacetylase/deacylase/mono-ADP ribosyltransferase, a member of the sirtuin protein family. SIRT6 has been implicated in hepatic lipid homeostasis and liver health. Hepatic lipogenesis is driven by several master regulators including liver X receptor (LXR), carbohydrate response element binding [...] Read more.
Sirtuin 6 (SIRT6) is an NAD-dependent deacetylase/deacylase/mono-ADP ribosyltransferase, a member of the sirtuin protein family. SIRT6 has been implicated in hepatic lipid homeostasis and liver health. Hepatic lipogenesis is driven by several master regulators including liver X receptor (LXR), carbohydrate response element binding protein (ChREBP), and sterol regulatory element binding protein 1 (SREBP1). Interestingly, these three transcription factors can be negatively regulated by SIRT6 through direct deacetylation. Fatty acid oxidation is regulated by peroxisome proliferator activated receptor alpha (PPARα) in the liver. SIRT6 can promote fatty acid oxidation by the activation of PPARα or the suppression of miR-122. SIRT6 can also directly modulate acyl-CoA synthetase long chain family member 5 (ACSL5) activity for fatty acid oxidation. SIRT6 also plays a critical role in the regulation of total cholesterol and low-density lipoprotein (LDL)-cholesterol through the regulation of SREBP2 and proprotein convertase subtilisin/kexin type 9 (PCSK9), respectively. Hepatic deficiency of Sirt6 in mice has been shown to cause hepatic steatosis, inflammation, and fibrosis, hallmarks of alcoholic and nonalcoholic steatohepatitis. SIRT6 can dampen hepatic inflammation through the modulation of macrophage polarization from M1 to M2 type. Hepatic stellate cells are a key cell type in hepatic fibrogenesis. SIRT6 plays a strong anti-fibrosis role by the suppression of multiple fibrogenic pathways including the transforming growth factor beta (TGFβ)-SMAD family proteins and Hippo pathways. The role of SIRT6 in liver cancer is quite complicated, as both tumor-suppressive and tumor-promoting activities have been documented in the literature. Overall, SIRT6 has multiple salutary effects on metabolic homeostasis and liver health, and it may serve as a therapeutic target for hepatic metabolic diseases. To date, numerous activators and inhibitors of SIRT6 have been developed for translational research. Full article
(This article belongs to the Special Issue Lipid Metabolism and Metabolic Disorders)
Show Figures

Graphical abstract

14 pages, 3208 KB  
Article
Cholesterol-Lowering Activity of Vitisin A Is Mediated by Inhibiting Cholesterol Biosynthesis and Enhancing LDL Uptake in HepG2 Cells
by Yangbing Yuan, Yuanqin Zhu, Yawen Li, Xusheng Li, Rui Jiao and Weibin Bai
Int. J. Mol. Sci. 2023, 24(4), 3301; https://doi.org/10.3390/ijms24043301 - 7 Feb 2023
Cited by 14 | Viewed by 3564
Abstract
Pyranoanthocyanins have been reported to possess better chemical stability and bioactivities than monomeric anthocyanins in some aspects. The hypocholesterolemic activity of pyranoanthocyanins is unclear. In view of this, this study was conducted to compare the cholesterol-lowering activities of Vitisin A with the anthocyanin [...] Read more.
Pyranoanthocyanins have been reported to possess better chemical stability and bioactivities than monomeric anthocyanins in some aspects. The hypocholesterolemic activity of pyranoanthocyanins is unclear. In view of this, this study was conducted to compare the cholesterol-lowering activities of Vitisin A with the anthocyanin counterpart Cyanidin-3-O-glucoside(C3G) in HepG2 cells and to investigate the interaction of Vitisin A with the expression of genes and proteins associated with cholesterol metabolism. HepG2 cells were incubated with 40 μM cholesterol and 4 μM 25-hydroxycholeterol with various concentrations of Vitisin A or C3G for 24 h. It was found that Vitisin A decreased the cholesterol levels at the concentrations of 100 μM and 200 μM with a dose–response relationship, while C3G exhibited no significant effect on cellular cholesterol. Furthermore, Vitisin A could down-regulate 3-hydroxy-3-methyl-glutaryl coenzyme A reductase (HMGCR) to inhibit cholesterol biosynthesis through a sterol regulatory element-binding protein 2 (SREBP2)-dependent mechanism, and up-regulate low-density lipoprotein receptor (LDLR) and blunt the secretion of proprotein convertase subtilisin/kexin type 9 (PCSK9) protein to promote intracellular LDL uptake without LDLR degradation. In conclusion, Vitisin A demonstrated hypocholesterolemic activity, by inhibiting cholesterol biosynthesis and enhancing LDL uptake in HepG2 cells. Full article
(This article belongs to the Special Issue Liquid Chromatography-Mass Spectrometry in Metabolomics)
Show Figures

Figure 1

15 pages, 3551 KB  
Article
Moderate Treadmill Exercise Alleviates NAFLD by Regulating the Biogenesis and Autophagy of Lipid Droplet
by Yangjun Yang, Xi Li, Zonghan Liu, Xinyu Ruan, Huihui Wang, Qiang Zhang, Lu Cao, Luchen Song, Yinghong Chen and Yi Sun
Nutrients 2022, 14(22), 4910; https://doi.org/10.3390/nu14224910 - 20 Nov 2022
Cited by 35 | Viewed by 5668
Abstract
Lipid droplet is a dynamic organelle that undergoes periods of biogenesis and degradation under environmental stimuli. The excessive accumulation of lipid droplets is the major characteristic of non-alcoholic fatty liver disease (NAFLD). Moderate aerobic exercise is a powerful intervention protecting against the progress [...] Read more.
Lipid droplet is a dynamic organelle that undergoes periods of biogenesis and degradation under environmental stimuli. The excessive accumulation of lipid droplets is the major characteristic of non-alcoholic fatty liver disease (NAFLD). Moderate aerobic exercise is a powerful intervention protecting against the progress of NAFLD. However, its impact on lipid droplet dynamics remains ambiguous. Mice were fed with 15 weeks of high-fat diet in order to induce NAFLD. Meanwhile, the mice performed 15 weeks of treadmill exercise. Our results showed that 15 weeks of regular moderate treadmill exercise alleviated obesity, insulin intolerance, hyperlipidemia, and hyperglycemia induced by HFD. Importantly, exercise improved histological phenotypes of NAFLD, including hepatic steatosis, inflammation, and locular ballooning, as well as prevented liver fat deposition and liver injury induced by HFD. Exercise reduced hepatic lipid droplet size, and moreover, it reduced PLIN2 protein level and increased PLIN3 protein level in the liver of HFD mice. Interestingly, our results showed that exercise did not significantly affect the gene expressions of DGAT1, DGAT2, or SEIPIN, which were involved in TG synthesis. However, it did reduce the expressions of FITM2, CIDEA, and FSP27, which were major involved in lipid droplet growth and budding, and lipid droplet expansion. In addition, exercise reduced ATGL protein level in HFD mice, and regulated lipophagy-related markers, including increasing ATG5, LAMP1, LAMP2, LAL, and CTSD, decreasing LC3II/I and p62, and promoting colocalization of LAMP1 with LDs. In summary, our data suggested that 15 weeks of moderate treadmill exercise was beneficial for regulating liver lipid droplet dynamics in HFD mice by inhibiting abnormal lipid droplets expansion and enhancing clearance of lipid droplets by lysosomes during the lipophagic process, which might provide highly flexible turnover for lipid mobilization and metabolism. Abbreviations: β-actin: actin beta; ATG5: autophagy related 5; LAMP2: lysosomal-associated membrane protein 2; LAMP1: lysosomal-associated membrane protein 1; SQSTM1/p62: sequestosome 1; GAPDH: glyceraldehyde-3-phosphate dehydrogenase; MAP1LC3/LC3: microtubule associated protein 1 light chain 3; ATGL: adipose triglyceride lipase; CSTD: cathepsin D; LAL: lysosomal acid lipase; DGAT1: diacylglycerol-o-acyltransferase 1; DGAT2: diacylglycerol-o-acyltransferase 2; CIDEA: cell death inducing dffa-like effector a; CIDEC/FSP27: cell death inducing dffa-like effector c; FITM2: fat storage-inducing transmembrane protein 2; PLIN2: adipose differentiation related protein; PLN3: tail-interacting protein 47; HSP90: heat shock protein 90; SREBP1c: sterol regulatory element binding protein-1c; chREBP: carbohydrate response element binding protein. Full article
(This article belongs to the Section Nutrition and Obesity)
Show Figures

Figure 1

20 pages, 4618 KB  
Article
Transcriptome Analysis Reveals That SREBP Modulates a Large Repertoire of Genes Involved in Key Cellular Functions in Penaeus vannamei, although the Majority of the Dysregulated Genes Are Unannotated
by Xiaoyu Zheng, Zishu Huang, Zhuoyan Liu, Zhihong Zheng, Yueling Zhang and Jude Juventus Aweya
Genes 2022, 13(11), 2057; https://doi.org/10.3390/genes13112057 - 7 Nov 2022
Cited by 3 | Viewed by 2667
Abstract
Sterol regulatory element-binding proteins (SREBPs) play vital roles in fatty acid metabolism and other metabolic processes in mammals. However, in penaeid shrimp, the repertoire of genes modulated by SREBP is unknown. Here, RNA interference-mediated knockdown followed by transcriptome sequencing on the Illumina Novaseq [...] Read more.
Sterol regulatory element-binding proteins (SREBPs) play vital roles in fatty acid metabolism and other metabolic processes in mammals. However, in penaeid shrimp, the repertoire of genes modulated by SREBP is unknown. Here, RNA interference-mediated knockdown followed by transcriptome sequencing on the Illumina Novaseq 6000 platform was used to explore the genes modulated by SREBP in Penaeus vannamei hepatopancreas. A total of 706 differentially expressed genes (DEGs) were identified, out of which 282 were upregulated and 424 downregulated. Although gene ontology (GO) and Kyoto Encyclopedia of Genes and Genomes (KEGG) analyses revealed that most of the downregulated DEGs were involved in physiological processes related to immunity, metabolism, and cellular signaling pathways, many of the dysregulated genes have uncharacterized functions. While most of the dysregulated genes were annotated in metabolic processes, such as carbohydrate metabolism, lipid metabolism, signal transduction, and immune system, a large number (42.21%) are uncharacterized. Collectively, our current data revealed that SREBP modulates many genes involved in crucial physiological processes, such as energy metabolism, immune response, and cellular signaling pathways, as well as numerous genes with unannotated functions, in penaeid shrimp. These findings indicated that our knowledge of the repertoire of genes modulated by SREBP in shrimp lags behind that of mammals, probably due to limited research or because the complete genome of P. vannamei has just been sequenced. Full article
(This article belongs to the Section Molecular Genetics and Genomics)
Show Figures

Figure 1

10 pages, 1283 KB  
Article
Acetate-Induced Milk Fat Synthesis Is Associated with Activation of the mTOR Signaling Pathway in Bovine Mammary Epithelial Cells
by Miao Lin, Maocheng Jiang, Tianyu Yang, Dejin Tan, Guanghui Hu, Guoqi Zhao and Kang Zhan
Animals 2022, 12(19), 2616; https://doi.org/10.3390/ani12192616 - 29 Sep 2022
Cited by 12 | Viewed by 2618
Abstract
Acetate is a precursor substance for fatty acid synthesis in bovine mammary epithelial cells (BMECs), and the mTOR signaling pathway plays an important role in milk fat synthesis. However, the mechanism of the regulatory effects of acetate on lipogenic genes via the mTOR [...] Read more.
Acetate is a precursor substance for fatty acid synthesis in bovine mammary epithelial cells (BMECs), and the mTOR signaling pathway plays an important role in milk fat synthesis. However, the mechanism of the regulatory effects of acetate on lipogenic genes via the mTOR signaling pathway in BMEC remains unknown. We hypothesized that acetate can enhance the expression of lipogenic genes and triglyceride (TG) production by activating the mTOR signaling pathway in BMECs. Therefore, the aim of this study was to investigate the network of acetate-regulated lipid metabolism by the mTOR signaling pathway in BMECs. These results showed that TG synthesis was elevated (p < 0.01) in BMECs with acetate treatment. The lipid droplets were increased in the acetate-treated groups compared with those in the control group through the Bodipy staining of the lipids. In addition, the fatty acid profile in BMECs treated with acetate was affected, with an elevation in the proportions of C14:0, C16:0, and C18:0. The mRNA levels of the sterol-response-element-binding protein 1 (SREBP1), stearoyl-CoA desaturase 1 (SCD1), and fatty acid synthase (FAS) genes involved in the lipogenesis and transcriptional factors were upregulated (p < 0.05) in BMECs with acetate treatment. Remarkably, the expression of acetyl-CoA carboxylase α (ACCα) and FAS rate-limiting enzymes involved in lipogenesis was upregulated in BMECs with acetate treatment. Moreover, the addition of acetate enhanced the key protein expression of S6K1, which is related to the mTOR signaling pathway. Taken together, our data suggest that TG accumulation and expression of lipogenic genes induced by acetate are associated with the activation of the mTOR signaling pathway, which provides new insights into the understanding of the molecular mechanism in the expression of mTOR-signaling-pathway-regulated lipogenic genes. Full article
Show Figures

Figure 1

13 pages, 3766 KB  
Article
Activation of ADRB2/PKA Signaling Pathway Facilitates Lipid Synthesis in Meibocytes, and Beta-Blocker Glaucoma Drug Impedes PKA-Induced Lipid Synthesis by Inhibiting ADRB2
by Ikhyun Jun, Young Joon Choi, Bo-Rahm Kim, Kyoung Yul Seo and Tae-im Kim
Int. J. Mol. Sci. 2022, 23(16), 9478; https://doi.org/10.3390/ijms23169478 - 22 Aug 2022
Cited by 12 | Viewed by 3624
Abstract
Meibomian gland dysfunction is one of the main causes of dry eye disease and has limited therapeutic options. In this study, we investigated the biological function of the beta 2-adrenergic receptor (ADRB2)/protein kinase A (PKA) pathway in lipid synthesis and its underlying mechanisms [...] Read more.
Meibomian gland dysfunction is one of the main causes of dry eye disease and has limited therapeutic options. In this study, we investigated the biological function of the beta 2-adrenergic receptor (ADRB2)/protein kinase A (PKA) pathway in lipid synthesis and its underlying mechanisms in human meibomian gland epithelial cells (HMGECs). HMGECs were cultured in differentiation media with or without forskolin (an activator of adenylate cyclase), salbutamol (an ADRB2 agonist), or timolol (an ADRB2 antagonist) for up to 4 days. The phosphorylation of the cAMP-response element-binding protein (CREB) and the expression of peroxisome proliferator activator receptor (PPAR)γ and sterol regulatory element-binding protein (SREBP)-1 were measured by immunoblotting and quantitative PCR. Lipid synthesis was examined by LipidTOX immunostaining, AdipoRed assay, and Oil Red O staining. PKA pathway activation enhanced PPARγ expression and lipid synthesis in differentiated HMGECs. When treated with agonists of ADBR2 (upstream of the PKA signaling system), PPARγ expression and lipid synthesis were enhanced in HMGECs. The ADRB2 antagonist timolol showed the opposite effect. The activation of the ADRB2/PKA signaling pathway enhances lipid synthesis in HMGECs. These results provide a potential mechanism and therapeutic target for meibomian gland dysfunction, particularly in cases induced by beta-blocker glaucoma drugs. Full article
(This article belongs to the Special Issue Advances in Ocular Pharmacology and Therapeutics)
Show Figures

Figure 1

Back to TopTop