Sign in to use this feature.

Years

Between: -

Subjects

remove_circle_outline
remove_circle_outline
remove_circle_outline
remove_circle_outline
remove_circle_outline
remove_circle_outline

Journals

Article Types

Countries / Regions

Search Results (5)

Search Parameters:
Keywords = spoiled silage

Order results
Result details
Results per page
Select all
Export citation of selected articles as:
14 pages, 1904 KB  
Article
Mixed Strains of Bacillus velezensis PBS-17, Lactiplantibacillus plantarum J-135, and Saccharomyces cerevisiae DAE-4 Increase the Storage Capacity of Fermented Feed and Silage
by Eun-Jae Park, Moon Joo Kim, Bori Lee, Hyun-Jae Jang and Seung Woong Lee
Fermentation 2024, 10(12), 621; https://doi.org/10.3390/fermentation10120621 - 5 Dec 2024
Cited by 1 | Viewed by 1434
Abstract
In this study, we investigated whether three microbial strains, Lactiplantibacillus plantarum J-135, Saccharomyces cerevisiae DAE-4, and Bacillus velezensis PBS-17, could be used to reduce mold growth and spoilage during the production of fermented feed. These microorganisms were isolated and characterized via an evaluation [...] Read more.
In this study, we investigated whether three microbial strains, Lactiplantibacillus plantarum J-135, Saccharomyces cerevisiae DAE-4, and Bacillus velezensis PBS-17, could be used to reduce mold growth and spoilage during the production of fermented feed. These microorganisms were isolated and characterized via an evaluation of their antibacterial activity, enzymatic activity, bile acid resistance, and acid tolerance. L. plantarum J-135 and S. cerevisiae DAE-4 demonstrated excellent acid tolerance and bile acid resistance, and L. plantarum J-135 exhibited antibacterial activity against Salmonella species. B. velezensis PBS-17 showed the greatest protease, cellulase, α-amylase, and phytase enzymatic activities, and displayed antibacterial activity against Fusarium solani, Aspergillus flavus, Penicillium sp., and Fusarium oxysporum. The three isolated strains were diluted to the same concentration (1:1:1) to create a culture solution, which was added to a standard feed (experimental group) to prepare fermented feed. This was compared with feed treated with a commercially available single probiotic preparation (control group 1) or a mixed microbial preparation that was composed of multiple strains, including B. subtilis. The feed treated with the single probiotic preparation spoiled after 21 days due to insufficient lactic acid bacteria growth, whereas the feed treated with the mixed microbial preparation exhibited mold growth after 14 days. The bacteria and fungi that cause spoilage during fermented feed production were effectively controlled in feed treated with L. plantarum J-135, S. cerevisiae DAE-4, and B. velezensis PBS-17. Therefore, the mixture of these three microbial strains may reduce the risk of spoilage during fermented silage and feed processing, thereby improving storage properties and stability. Full article
(This article belongs to the Section Industrial Fermentation)
Show Figures

Figure 1

15 pages, 4268 KB  
Article
Research on Silage Corn Forage Quality Grading Based on Hyperspectroscopy
by Min Hao, Mengyu Zhang, Haiqing Tian and Jianying Sun
Agriculture 2024, 14(9), 1484; https://doi.org/10.3390/agriculture14091484 - 1 Sep 2024
Cited by 5 | Viewed by 1927
Abstract
Corn silage is the main feed in the diet of dairy cows and other ruminant livestock. Silage corn feed is very susceptible to spoilage and corruption due to the influence of aerobic secondary fermentation during the silage process. At present, silage quality testing [...] Read more.
Corn silage is the main feed in the diet of dairy cows and other ruminant livestock. Silage corn feed is very susceptible to spoilage and corruption due to the influence of aerobic secondary fermentation during the silage process. At present, silage quality testing of corn feed mainly relies on the combination of sensory evaluation and laboratory measurement. The sensory review method is difficult to achieve precision and objectivity, while the laboratory determination method has problems such as cumbersome testing procedures, time-consuming, high cost, and damage to samples. In this study, the external sensory quality grading model for different qualities of silage corn feed was established using hyperspectral data. To explore the feasibility of using hyperspectral data for external sensory quality grading of corn silage, a hyperspectral system was used to collect spectral data of 200 corn silage samples in the 380–1004 nm band, and the samples were classified into four grades: excellent, fair, medium, and spoiled according to the German Agricultural Association (DLG) standard for sensory evaluation of silage samples. Three algorithms were used to preprocess the fodder hyperspectral data, including multiplicative scatter correction (MSC), standard normal variate (SNV), and S–G convolutional smoothing. To reduce the redundancy of the spectral data, variable combination population analysis (VCPA) and competitive adaptive reweighted sampling (CARS) were used for feature wavelength selection, and linear discriminant analysis (LDA) algorithm was used for data dimensionality reduction, constructing random forest classification (RFC), convolutional neural networks (CNN) and support vector machines (SVM) models. The best classification model was derived based on the comparison of the model results. The results show that SNV-LDA-SVM is the optimal algorithm combination, where the accuracy of the calibration set is 99.375% and the accuracy of the prediction set is 100%. In summary, combined with hyperspectral technology, the constructed model can realize the accurate discrimination of the external sensory quality of silage corn feed, which provides a reliable and effective new non-destructive testing method for silage corn feed quality detection. Full article
(This article belongs to the Section Artificial Intelligence and Digital Agriculture)
Show Figures

Figure 1

20 pages, 3944 KB  
Article
Anaerobic Digestion of Spoiled Maize, Lucerne and Barley Silage Mixture with and without Cow Manure: Methane Yields and Kinetic Studies
by Shubham Dilip Sarode, Deepak Kumar, Divya Mathias, David McNeill and Prasad Kaparaju
Energies 2023, 16(17), 6179; https://doi.org/10.3390/en16176179 - 25 Aug 2023
Cited by 3 | Viewed by 2352
Abstract
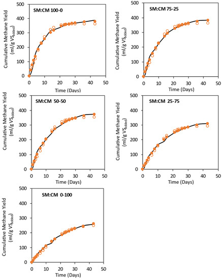
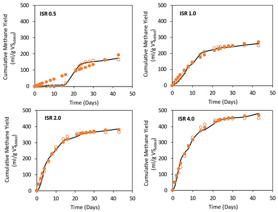
The effect of different inoculum-to-substrate ratios (ISRs) and feed mix (FM) ratios on the kinetics of methane production and yields during anaerobic digestion of spoiled silage mixture (SM) alone or co-digestion with cow manure (CM) was investigated in batch experiments at 37 °C. [...] Read more.
The effect of different inoculum-to-substrate ratios (ISRs) and feed mix (FM) ratios on the kinetics of methane production and yields during anaerobic digestion of spoiled silage mixture (SM) alone or co-digestion with cow manure (CM) was investigated in batch experiments at 37 °C. The silage mixture was prepared from spoiled silages of maize, lucerne and barley in equal proportions of 33% by wet weight. The effect of ISRs of 0.5, 1, 2 and 4 showed that methane yields increased with an increased ISR ratio. At ISRs of 1, 2 and 4, methane yields of 262.18 ± 14.96, 387.77 ± 14.43 and 482.23 ± 38.47 NmL CH4/gVSadded were obtained, respectively. Incubation at ISR 0.5 resulted in low methane yields (174.49 ± 9.29 NmL CH4/gVSadded) due to build-up of volatile fatty acids (VFAs). Further, co-digestion of spoiled SM with CM showed that the highest methane yields of 387.77 and 382.86 NmL CH4/gVSadded were obtained at SM:CM feed mix ratios of 100–0 and 75–25, respectively. The corresponding volatile solids (VS) removal rates were 72.80% and 70.82%, respectively. However, the best synergistic effect was noticed at a SM:CM = 50–50 feed mix ratio. Thus, this study shows that anaerobic digestion of spoiled silages is feasible and co-digestion of spoiled silage mixed with cow manure at a SM:CM feed mix ratio of 75–25 is recommended. Full article
(This article belongs to the Section A4: Bio-Energy)
Show Figures

Figure 1

13 pages, 280 KB  
Article
Strategic Addition of Different Additives to Improve Silage Fermentation, Aerobic Stability and In Vitro Digestibility of Napier Grasses at Late Maturity Stage
by Chatchai Kaewpila, Waroon Khota, Pongsatorn Gunun, Piyawit Kesorn and Anusorn Cherdthong
Agriculture 2020, 10(7), 262; https://doi.org/10.3390/agriculture10070262 - 3 Jul 2020
Cited by 28 | Viewed by 5696
Abstract
Napier cultivars are widespread in the tropics. To effectively prepare two Napier grasses at the late maturity stageas silage for ruminant feedstock, the silage fermentation characteristics, aerobic stability, in vitro digestibility, and gas kinetics were studied. Napier Pakchong grass (NP) and sweet grass [...] Read more.
Napier cultivars are widespread in the tropics. To effectively prepare two Napier grasses at the late maturity stageas silage for ruminant feedstock, the silage fermentation characteristics, aerobic stability, in vitro digestibility, and gas kinetics were studied. Napier Pakchong grass (NP) and sweet grass (SG) were harvested at 120 dof regrowth and untreated (control) or treated with normal or a double dose of cellulase, urea, and formic acid. After 30 d of ensiling, the pH values of silages (ranging from 3.91 to 7.79) were affected (p < 0.05) by additives and lower in control and cellulase-treated silages than in urea- and formic acid-treated silages. Adding cellulase resulted in greater lactic acid concentrations in SG silage. Adding urea boosted acetic acid, propionic acid, butyric acid, and ammonia nitrogen levels of silages. Adding formic acid spoiled silages and shortened the aerobic stability of NP silage. Compared with the control, the addition of cellulase at a double dose enhanced in vitrodry matter digestibility, and the gas production kinetics parameters of silages. Taking silage fermentation quality and in vitro dry matter digestibility into consideration, adding cellulase (0.2 g/kg fresh matter) to Napier grasses at the late maturity stage could be a better option compared with the other additives. Full article
(This article belongs to the Section Farm Animal Production)
8 pages, 223 KB  
Article
Performic Acid Controls Better Clostridium tyrobutyricum Related Bacteria than Peracetic Acid
by Maximilian Mora, Anna-Maria Veijalainen and Helvi Heinonen-Tanski
Sustainability 2018, 10(11), 4116; https://doi.org/10.3390/su10114116 - 9 Nov 2018
Cited by 9 | Viewed by 3740
Abstract
Clostridia are anaerobic spore-forming bacteria, which degrade carbohydrates to butyric acid, carbon dioxide, hydrogen and other compounds. These bacteria are commonly found in feces of ruminants, from where they can enter to udders and milk via manure or fodder. This study was done [...] Read more.
Clostridia are anaerobic spore-forming bacteria, which degrade carbohydrates to butyric acid, carbon dioxide, hydrogen and other compounds. These bacteria are commonly found in feces of ruminants, from where they can enter to udders and milk via manure or fodder. This study was done to find a sustainable sanitation method to control the resistant clostridial spores as they are difficult to control in the food processing industry. Clostridia spoil cheeses and other dairy products, and thereby increase the carbon footprint of products and cause economical losses in the dairy industry. The efficacy of two organic peroxides; peracetic acid (PAA) and performic acid (PFA) was tested against 30 clostridia strains isolated from cattle slurry, silage, or spoiled cheeses. PAA, at a concentration of 220 mg L−1, only eliminated 6/30 clostridia strains, whereas PFA totally eliminated 26/30 clostridia strains at a concentration of 120 mg L−1. PFA therefore seems to be a more potent disinfectant than the more commonly used PAA. PFA is an effective disinfectant against Clostridium tyrobutyricum and other resistant clostridia at 120 mg L−1 for 5–10 min contact time at room temperature. Full article
(This article belongs to the Section Environmental Sustainability and Applications)
Back to TopTop