Sign in to use this feature.

Years

Between: -

Subjects

remove_circle_outline
remove_circle_outline
remove_circle_outline
remove_circle_outline
remove_circle_outline
remove_circle_outline
remove_circle_outline
remove_circle_outline
remove_circle_outline

Journals

Article Types

Countries / Regions

remove_circle_outline
remove_circle_outline
remove_circle_outline

Search Results (169)

Search Parameters:
Keywords = spinel metal oxides

Order results
Result details
Results per page
Select all
Export citation of selected articles as:
14 pages, 6496 KB  
Article
Thermodynamic and Experimental Analysis of the Selective Reduction of Iron by Hydrogen from the Kergetas Iron–Manganese Ore
by Nurlybai Kosdauletov, Bakyt Suleimen, Galymzhan Adilov, Assylbek Nurumgaliyev, Bauyrzhan Kelamanov, Yerbol Kuatbay, Talgat Zhunuskaliyev, Gulzat Bulekova, Semen Salikhov and Assylbek Abdirashit
Metals 2025, 15(12), 1330; https://doi.org/10.3390/met15121330 - 2 Dec 2025
Viewed by 88
Abstract
Thermodynamic modeling combined with experimental reduction tests was conducted to investigate the selective reduction behavior of iron-manganese ore using hydrogen gas at 800–900 °C. The results reveal that hydrogen reduction at a flow rate of 0.5 L/min promotes the stepwise transformation of iron [...] Read more.
Thermodynamic modeling combined with experimental reduction tests was conducted to investigate the selective reduction behavior of iron-manganese ore using hydrogen gas at 800–900 °C. The results reveal that hydrogen reduction at a flow rate of 0.5 L/min promotes the stepwise transformation of iron oxides (Fe2O3 → Fe3O4 → FeO → Fe), accompanied by the decomposition of the intermediate spinel phase Fe2MnO4, resulting in the formation of metallic iron. In contrast, the reduction of MnO to metallic manganese is thermodynamically unfavorable (ΔG > 0), limiting the extent of manganese reduction. Experimental findings confirm the formation of metallic iron inclusions enriched in Fe, while manganese predominantly remains in the form of MnO and silicate-associated oxides. X-ray diffraction analysis of reduced samples shows a decrease in Fe3O4 and Fe2MnO4 phases with increasing reduction degree and indicates the growth of metallic Fe particles with rising temperature. These results demonstrate that hydrogen enables controlled and selective reduction of iron with minimal manganese conversion, providing a promising route for subsequent efficient magnetic separation of metallic and oxide phases following reduction roasting. Full article
Show Figures

Figure 1

26 pages, 8880 KB  
Article
Structure, Ecotoxicity, Redox and Bactericidal Activity of Cu-Containing Nanocrystalline Ferrites
by Todor R. Karadimov, Elena P. Nenova, Elitsa L. Pavlova, Iliana A. Ivanova, Milena T. Georgieva and Peter A. Georgiev
Molecules 2025, 30(22), 4454; https://doi.org/10.3390/molecules30224454 - 19 Nov 2025
Viewed by 369
Abstract
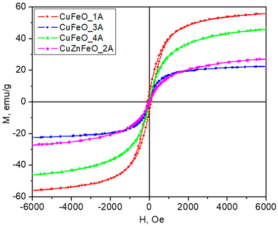
Cu-modified ferrites, prepared by solvothermal syntheses, at up to 200 °C, show the presence of copper metal particles, embedded in ferrite nanocrystalline particle agglomerates. Notably, these metallic copper micron-sized crystallites were dramatically reduced in size, down to a few tens of nanometers, when [...] Read more.
Cu-modified ferrites, prepared by solvothermal syntheses, at up to 200 °C, show the presence of copper metal particles, embedded in ferrite nanocrystalline particle agglomerates. Notably, these metallic copper micron-sized crystallites were dramatically reduced in size, down to a few tens of nanometers, when part of the copper dopant was replaced by zinc. All materials were magnetic due to the presence of the cubic spinel phase, being ferrimagnetic, measured with external fields up to 6000 Oe, showing a narrow hysteresis of 89 Oe for the largest particle size copper ferrite material of 15 nm. Superparamagnetic behavior was observed for the smallest size, e.g., 11 nm, Cu-doped and the zinc-doped, 9–10 nm average particle size ferrites. The redox activity of the materials was studied in free-radical oxidation reactions (pH 7.4, physiological and pH 8.5, optimal) by the chemiluminescent method with (i) Fenton’s reagent (·OH, ·OOH); (ii) H2O2; and (iii) O2·− radicals. All materials presented extremely strong inhibitory activities (converted to prooxidant only at pH 7.4 in system iii, excluding the largest isolated copper-particle-containing material, which remained inhibitory). The materials’ antimicrobial potential was checked on Gram-positive and Gram-negative bacteria, Escherichia coli ATCC 25922, and Staphylococcus aureus ATCC 25923 via two classical methods, namely the spot and well diffusion tests in agar medium. The above tests included a nanocrystalline CuO, tenorite, as a reference material too. The Daphnia magna ecotoxicity test showed that all of the investigated materials are rather toxic, and since daphnia is a key component in freshwater ecosystems, the toxicity even at low concentrations may have significant consequences for the ecological balance. This requires careful monitoring and assessment of the possible use or disposal of these nanomaterials in the environment. Full article
Show Figures

Figure 1

16 pages, 1757 KB  
Article
Synergistic Remediation of Cr(VI) and P-Nitrophenol Co-Contaminated Soil Using Metal-/Non-Metal-Doped nZVI Catalysts with High Dispersion in the Presence of Persulfate
by Yin Wang, Siqi Xu, Yixin Yang, Yule Gao, Linlang Lu, Hu Jiang and Xiaodong Zhang
Catalysts 2025, 15(11), 1077; https://doi.org/10.3390/catal15111077 - 13 Nov 2025
Viewed by 482
Abstract
In this work, two novel nanoscale zero-valent iron (nZVI) composites (nanoscale zero-valent iron and copper-intercalated montmorillonite (MMT-nFe0/Cu0) and carbon microsphere-supported sulfurized nanoscale zero-valent iron (CMS@S-nFe0)) were used to treat soil contaminated with both Cr(VI) and p-nitrophenol (PNP), [...] Read more.
In this work, two novel nanoscale zero-valent iron (nZVI) composites (nanoscale zero-valent iron and copper-intercalated montmorillonite (MMT-nFe0/Cu0) and carbon microsphere-supported sulfurized nanoscale zero-valent iron (CMS@S-nFe0)) were used to treat soil contaminated with both Cr(VI) and p-nitrophenol (PNP), and added persulfate (PMS). Experiments found that the pollutant removal effect has a great relationship with the ratio of water to soil, the amount of catalyst, the amount of PMS, and the pH value. When the conditions are adjusted to the best (water–soil = 2:1, catalyst 30 g/kg, PMS 15 g/kg, pH 7–9), both materials fix Cr(VI) well and decompose PNP. The removal rates of Cr(VI) and PNP by the MMT-nFe0/Cu0 system are 90.4% and 72.6%, respectively, while the CMS@ S-nFe0 system is even more severe, reaching 94.8% and 81.3%. Soil column leaching experiments also proved that the fixation effect of Cr can last for a long time and PNP can be effectively decomposed. Through detection methods such as X-ray diffraction (XRD), Fourier transform infrared spectroscopy (FT-IR) and X-ray photoelectron spectroscopy (XPS), we found that Cr(VI) was effectively reduced to Cr(III) by Fe0 and Fe2+ ions and subsequently transformed into stable FeCr2O4 spinel oxides, and the groups produced after the decomposition of PNP could also help fix the metal. This work provides a way to simultaneously treat Cr(VI) and PNP pollution, and also allows the use of multifunctional nZVI composites in complex soil environments. Full article
(This article belongs to the Special Issue Porous Catalytic Materials for Environmental Purification)
Show Figures

Graphical abstract

24 pages, 4939 KB  
Article
Engineering Rare Earth-Assisted Cobalt Oxide Gels Toward Superior Energy Storage in Asymmetric Supercapacitors
by Pritam J. Morankar, Rutuja U. Amate, Aviraj M. Teli, Aditya A. Patil, Sonali A. Beknalkar and Chan-Wook Jeon
Gels 2025, 11(11), 867; https://doi.org/10.3390/gels11110867 - 29 Oct 2025
Cited by 1 | Viewed by 491
Abstract
The rational design of transition metal oxides with tailored electronic structures and defect chemistries is critical for advancing high-performance supercapacitors. Herein, we report the engineering of cobalt oxide (Co3O4) gels through controlled sol–gel synthesis and rare earth (RE) incorporation [...] Read more.
The rational design of transition metal oxides with tailored electronic structures and defect chemistries is critical for advancing high-performance supercapacitors. Herein, we report the engineering of cobalt oxide (Co3O4) gels through controlled sol–gel synthesis and rare earth (RE) incorporation using neodymium (Nd), gadolinium (Gd), and dual neodymium/gadolinium (Nd/Gd) doping. X-ray diffraction (XRD) confirmed the preservation of the cubic spinel structure with systematic peak shifts and broadening, evidencing lattice strain, oxygen vacancy generation, and defect enrichment. Field-emission scanning electron microscopy (FE-SEM) analyses revealed distinct morphological evolution from compact nanoparticle assemblies in pristine Co3O4 to highly porous, interconnected frameworks in Nd/Gd–Co3O4 (Nd/Gd-Co). X-ray photoelectron spectroscopy (XPS) verified the stable incorporation of RE ions, accompanied by electronic interaction with the Co–O matrix and enhanced oxygen defect states. Electrochemical measurements demonstrated that the Nd/Gd–Co electrode achieved a remarkable areal capacitance of 25 F/cm2 at 8 mA/cm2, superior ionic diffusion coefficients, and the lowest equivalent series resistance (0.26 Ω) among all samples. Long-term cycling confirmed 84.35% capacitance retention with 94.46% coulombic efficiency after 12,000 cycles. Furthermore, the asymmetric pouch-type supercapacitor (APSD) constructed with Nd/Gd–Co as the positive electrode and activated carbon as the negative electrode delivered a wide operational window of 1.5 V, an areal capacitance of 140 mF/cm2, an energy density of 0.044 mWh/cm2, and 89.44% retention after 7000 cycles. These findings establish Nd/Gd-Co gels as robust and scalable electrode materials and demonstrate that RE co-doping is an effective strategy for bridging high energy density with long-term electrochemical stability in asymmetric supercapacitors. Full article
(This article belongs to the Special Issue Gel-Based Materials for Energy Storage)
Show Figures

Figure 1

18 pages, 1471 KB  
Article
The Leaching of Valuable Metals (Li, Co, Ni, Mn, Cu) from Black Mass from Spent Lithium-Ion Batteries
by Rorie Gilligan, Glen P. O’Malley and Aleksandar N. Nikoloski
Metals 2025, 15(10), 1155; https://doi.org/10.3390/met15101155 - 19 Oct 2025
Viewed by 2050
Abstract
Near-complete (>99%) dissolution of lithium and cobalt was achieved by the leaching of black mass from spent (end-of-life) lithium-ion batteries (LiBs) using 4 M H2SO4 or HCl at 60 °C. Raising the temperature to 90 °C did not increase the [...] Read more.
Near-complete (>99%) dissolution of lithium and cobalt was achieved by the leaching of black mass from spent (end-of-life) lithium-ion batteries (LiBs) using 4 M H2SO4 or HCl at 60 °C. Raising the temperature to 90 °C did not increase the overall extraction of lithium or cobalt, but it increased the rate of extraction. At 60 °C, 2 M H2SO4 or 2 M HCl performed similarly to the 4 M H2SO4/HCl solution, although extractions were lower using 1 M H2SO4 or HCl (~95% and 98%, respectively). High extractions were also observed by leaching in low pulp density (15 g/L) at 60 °C with 2 M CH2ClCOOH. Leaching was much slower with hydrogen peroxide reductant concentrations below 0.5 mol/L, with cobalt extractions of 90–95% after 3 h. Pulp densities of up to 250 g/L were tested when leaching with 4 M H2SO4 or HCl, with the stoichiometric limit estimated for each test based on the metal content of the black mass. Extractions were consistently high, above 95% for Li/Ni/Mn/Cu with a pulp density of 150 g/L, dropping sharply above this point because of insufficient remaining acid in the solution in the later stages of leaching. The final component of the test work used leaching parameters identified in the previous experiments as producing the largest extractions, and just sulphuric acid. A seven-stage semi-continuous sulphuric acid leach at 60 °C of black mass from LiBs that had undergone an oxidising roast (2h in a tube furnace at 500 °C under flowing air) to remove binder material resulted in high (93%) extraction of cobalt and near total (98–100%) extractions of lithium, nickel, manganese, and copper. Higher cobalt extraction (>98%) was expected, but a refractory spinel-type cobalt oxide, Co3O4, was generated during the oxidising roast as a result of inefficient aeration, which reduced the extraction efficiency. Full article
Show Figures

Figure 1

13 pages, 2047 KB  
Article
Study of the Relationship Between Microstructure, Phase Composition and Strength Characteristics in Composite Ceramics Based on ZrO2-Al2O3 System
by Rafael I. Shakirzyanov, Yuriy A. Garanin, Malik E. Kaliyekperov, Sofiya A. Maznykh and Dilnaz K. Zhamikhanova
J. Compos. Sci. 2025, 9(10), 519; https://doi.org/10.3390/jcs9100519 - 29 Sep 2025
Viewed by 705
Abstract
ZrO2-MgO-Al2O3 ceramics, despite a long history of research, still attract the attention of researchers due to the high potential of their applications as refractories and matrices for metal ceramics. A unique composition combining high strength and temperature stability [...] Read more.
ZrO2-MgO-Al2O3 ceramics, despite a long history of research, still attract the attention of researchers due to the high potential of their applications as refractories and matrices for metal ceramics. A unique composition combining high strength and temperature stability is particularly in demand. In this paper, a comprehensive study of ceramics of the composition (90−x)·ZrO2-10·MgO-x·Al2O3 (x = 10–80 wt.%) obtained by solid-phase sintering with preliminary annealing is carried out. Preliminary annealing was used for the possible formation of metastable phases with outstanding mechanical properties. Using the X-ray diffraction method, it was found that most of the samples consist of monoclinic zirconium oxide, magnesium–aluminum spinel, and corundum phases. The exception is the sample with x = 10 wt.%, in which the main phase was a cubic modification of zirconium oxide. By formation this type of ZrO2 polymorph in the composition hardness and flexural strength significantly increased from 400 to 1380 and 50 to 210 MPa, respectively. The total porosity of ceramics under study lies in the range 6–28%. Using the scanning electron microscopy method, it was found that the phase composition significantly affects the morphology of the microstructure of the sintered bodies. Thus, for sintered ceramics with a high corundum content, the microstructure is characterized by high porosity and a large grain size. For the first time, by applying preliminary annealing, a new type of ternary ceramic ZrO2-MgO-Al2O3 was sintered with potentially outstanding mechanical properties. The presence of a stabilized zirconium oxide phase, stresses in the crystal lattice of the matrix phase, and the formation of cracks in the microstructure are the main factors influencing shrinkage, porosity, microhardness, and biaxial flexural strength. Full article
Show Figures

Graphical abstract

20 pages, 5707 KB  
Article
Fabrication of Spinel Magnesium Aluminate Doped with Divalent-First-Row Transition-Metal Oxides as Efficient Sorbents for Pharmaceutical Contaminants
by Mutaz Salih, Tarig G. Ibrahim, Rasha S. Ramadan, Naif Alarifi and Babiker Y. Abdulkhair
Processes 2025, 13(10), 3095; https://doi.org/10.3390/pr13103095 - 27 Sep 2025
Viewed by 403
Abstract
Herein, nanoscale MgAl2O4 (MOA), 10%CuO@MgAl2O4 (10Cu@MOA), 10%NiO@MgAl2O4 (10Ni@MOA), and 10%CoO@MgAl2O4 (10Co@MOA) were synthesized employing butylated hydroxytoluene (the food additive BHT) as a capping agent. The SEM images illustrated average sizes of [...] Read more.
Herein, nanoscale MgAl2O4 (MOA), 10%CuO@MgAl2O4 (10Cu@MOA), 10%NiO@MgAl2O4 (10Ni@MOA), and 10%CoO@MgAl2O4 (10Co@MOA) were synthesized employing butylated hydroxytoluene (the food additive BHT) as a capping agent. The SEM images illustrated average sizes of 38.8, 30.0, 40.8, and 32.7 nm for MOA, 10Cu@MOA, 10Ni@MOA, and 10Co@MOA, respectively, and their BET surface area were 84.4, 141.8, 126.7, and 105.3, respectively. Doxycycline DXC removal was studied employing the MOA, 10Cu@MOA, 10Ni@MOA, and 10Co@MOA, which resulted in qt values of 57.3, 106.1, 97.7, and 73.9 mg g−1, respectively. The pseudo-second order model best described the DXC sorption onto MOA, 10Cu@MOA, 10Ni@MOA, and 10Co@MOA, and both film diffusion models influenced the DXC sorptions onto the sorbents. The DXC sorption onto the 10Cu@MOA fitted the Freundlich model. The thermodynamics implied endothermic-spontaneous DXC sorption onto the10Cu@MOA. The pH study exposed that the DXC removal by 10Cu@MOA was more effective in a mildly acidic medium (pH = 6.0). Furthermore, the 10Cu@MOA effectiveness in treating surface water contaminated by 5.0 and 10.0 mg L−1 DXC was 99.9% and 98.1%, respectively, while it was 94.7% and 92.5% in treating the concentrations above in seawater, respectively. The reusability study showed a 10% reduction in the 10Cu@MOA’s removal efficiency at the fourth cycle, which is encouraging for real-life applications. Full article
Show Figures

Figure 1

17 pages, 7186 KB  
Article
Tuning High-Entropy Oxides for Oxygen Evolution Reaction Through Electrocatalytic Water Splitting: Effects of (MnFeNiCoX)3O4 (X = Cr, Cu, Zn, and Cd) on Electrocatalytic Performance
by Milad Zehtab Salmasi, Amir Narimani, Ali Omidkar and Hua Song
Catalysts 2025, 15(9), 827; https://doi.org/10.3390/catal15090827 - 1 Sep 2025
Cited by 1 | Viewed by 1558
Abstract
This research presents the development of spinel-type high-entropy oxide (HEO) catalysts with the general composition (MnFeNiCoX)3O4, where X represents Cr, Cu, Zn, and Cd, synthesized through a solution combustion method. The impact of the fifth metal element on the [...] Read more.
This research presents the development of spinel-type high-entropy oxide (HEO) catalysts with the general composition (MnFeNiCoX)3O4, where X represents Cr, Cu, Zn, and Cd, synthesized through a solution combustion method. The impact of the fifth metal element on the oxygen evolution reaction (OER) was systematically explored using structural, morphological, and electrochemical characterization techniques. Among the various compositions, the Cr-containing catalyst, (MnFeNiCoCr)3O4, displayed outstanding electrocatalytic behavior, delivering a notably low overpotential of 323 mV at a current density of 10 mA/cm2 in 1.0 M KOH—surpassing the performance of benchmark RuO2. Additionally, this material exhibited the smallest Tafel slope (56 mV/dec), the greatest double-layer capacitance (3.35 mF/cm2), and the most extensive electrochemically active surface area, all indicating enhanced charge transfer capability and high catalytic proficiency. The findings highlight the potential of element tailoring in HEOs as a promising strategy for optimizing water oxidation catalysis. Full article
Show Figures

Graphical abstract

11 pages, 1053 KB  
Article
Antibacterial Potential of Nanocrystalline Zinc–Cobalt Ferrite
by Riya Panja, Tapas Kumar Bhattacharyya, Aditya Paul, Saibal Ray, Ahmed Abd El Wahed, Arianna Ceruti and Siddhartha Narayan Joardar
Nanomaterials 2025, 15(17), 1318; https://doi.org/10.3390/nano15171318 - 28 Aug 2025
Viewed by 912
Abstract
Purpose: The synthesis of nanoscale particles with antibacterial properties has garnered significant attention in pharmaceutical research, driven by the escalating threat of antibiotic-resistant bacteria. This study investigates the antibacterial efficacy of Zn–Co ferrite nanoparticles against virulent, antibiotic-resistant, and biofilm-forming strains of Escherichia coli. [...] Read more.
Purpose: The synthesis of nanoscale particles with antibacterial properties has garnered significant attention in pharmaceutical research, driven by the escalating threat of antibiotic-resistant bacteria. This study investigates the antibacterial efficacy of Zn–Co ferrite nanoparticles against virulent, antibiotic-resistant, and biofilm-forming strains of Escherichia coli. Methods: Three nanoparticle variants—S1 (Zn0.7Co0.3Fe2O4), S2 (Zn0.5Co0.5Fe2O4), and S3 (Zn0.3Co0.7Fe2O4)—were synthesized using the solution combustion method by systematically varying the Zn:Co molar ratio. The Scanning Electron Micrograph, X-ray diffraction analysis, Complementary Fourier-transform infrared, Minimum Inhibitory Concentration, and Minimum Bactericidal Concentration were performed. Results: The SEM spectroscopy study revealed distinct morphological differences as a function of the cobalt substitution level within the spinel ferrite matrix. At the highest level of cobalt substitution (Zn0.3Co0.7Fe2O4), the microstructure displayed significant irregularities, with enhanced agglomeration and a notably broader particle size distribution. X-ray diffraction analysis confirmed the formation of crystalline structures, with an average crystallite size of 12.65 nm. Complementary Fourier-transform infrared spectroscopy revealed characteristic absorption bands in the 400–600 cm−1 range, indicative of the cubic spinel structure of the ferrite nanoparticles. The higher-frequency band was associated with metal–oxide stretching in the tetrahedral sites, while the lower-frequency band corresponded to stretching in the octahedral sites. The Minimum Inhibitory Concentration and Minimum Bactericidal Concentration assays revealed that Zn–Co ferrite nanoparticles possess potent antibacterial activity against virulent, antibiotic-resistant, and biofilm-forming strains of E. coli. Conclusion: Increasing the molar ratio of Zn to Co enhances the antibacterial activity of the nanoparticles. These findings suggest that Zn–Co ferrite nanoparticles could serve as a promising alternative to conventional antibacterial agents for combating multidrug-resistant pathogenic bacteria in the future. Full article
Show Figures

Figure 1

19 pages, 7059 KB  
Article
Chromium in Slag from SOEL Interconnects Remelting: Characterization and Recycling Potential
by Shine-Od Mongoljiibuu, Jeraldine Lastam, Ralf Ditscherlein, Doreen Ebert, Michael Müller and Urs A. Peuker
Minerals 2025, 15(9), 904; https://doi.org/10.3390/min15090904 - 26 Aug 2025
Viewed by 876
Abstract
The recycling of interconnects from solid oxide electrolyzer (SOEL) stacks is essential for closing material loops in green hydrogen systems. Since it is mostly made of high-quality stainless steel, remelting is the most practical recovery route, but it inevitably generates slag, where strategic [...] Read more.
The recycling of interconnects from solid oxide electrolyzer (SOEL) stacks is essential for closing material loops in green hydrogen systems. Since it is mostly made of high-quality stainless steel, remelting is the most practical recovery route, but it inevitably generates slag, where strategic elements like chromium (Cr) are retained. This study investigates the mineralogical and grain characteristics of slag from SOEL interconnect remelting, with an emphasis on Cr distribution and its recovery potential. A correlative approach was applied using X-ray diffraction (XRD), scanning electron microscopy-based mineral liberation Analysis (MLA), and X-ray computed tomography (XCT). Cr was primarily found in magnesiochromite Mg(Al,Cr)2O4 (~54 wt.% Cr), constituting only ~5 wt.% of the slag, while lower concentrations were also detected in monticellite and åkermanite. XCT revealed the macroscopic heterogeneity of the slag system, with metallic inclusions and pores concentrated near the metal–slag interface, indicating density-driven settling. Cr-rich spinels were fine-grained (x50,2 ≈ 55 µm), irregular in shape, and partially intergrown, presenting challenges for mechanical liberation and physical recovery. These features, combined with their compositional selectivity, suggest that Cr-rich spinels are promising candidates for future Engineered Artificial Mineral (EnAM) strategies aimed at enhancing selective recovery from slag. Full article
(This article belongs to the Special Issue Characterization and Reuse of Slag)
Show Figures

Figure 1

13 pages, 2184 KB  
Article
A Comparative Study on the High-Temperature Oxidation Behavior and Mechanisms of Micro/Nanoparticle Composite-Modified Chromium Carbide Metal Ceramic Coatings
by Linwen Wang, Jiawei Wang, Haiyang Lu, Jiyu Du, Xiaoxia Qi, Laixiao Lu and Ziwu Liu
Coatings 2025, 15(7), 826; https://doi.org/10.3390/coatings15070826 - 15 Jul 2025
Cited by 2 | Viewed by 678
Abstract
To enhance the high-temperature oxidation resistance of chromium carbide metal ceramic coatings, micro/nanoparticle modification was applied to the alloy binder phase of the typical Cr3C2-NiCr coating. This led to the development of Cr3C2-NiCrCoMo and Cr [...] Read more.
To enhance the high-temperature oxidation resistance of chromium carbide metal ceramic coatings, micro/nanoparticle modification was applied to the alloy binder phase of the typical Cr3C2-NiCr coating. This led to the development of Cr3C2-NiCrCoMo and Cr3C2-NiCrCoMo/nano-CeO2 coatings with superior high-temperature oxidation performance. This study compares the high-temperature oxidation behavior of these coating samples and explores their respective oxidation mechanisms. The results indicate that the addition of CoCrMo improves the compatibility between the oxide film and the coating, enhancing the microstructure and integrity of the oxide film. Compared to Cr3C2-NiCrCoMo coatings, the incorporation of nano-CeO2 promotes the reaction between oxides in the Cr3C2-NiCrCoMo/nano-CeO2 coating, increasing the content of binary spinel phases, reducing thermal stress at the oxide–coating interface, and improving the adhesion strength of the oxide film. As a result, the oxidation rate of the coating is reduced, and its oxidation resistance is improved. Full article
(This article belongs to the Special Issue Ceramic-Based Coatings for High-Performance Applications)
Show Figures

Figure 1

20 pages, 4689 KB  
Article
Novel Core–Shell Metal Oxide Nanofibers with Advanced Optical and Magnetic Properties Deposited by Co-Axial Electrospinning
by Roman Viter, Viktor Zabolotnii, Martin Sahul, Mária Čaplovičová, Iryna Tepliakova, Viesturs Sints and Ambra Fioravanti
Nanomaterials 2025, 15(13), 1026; https://doi.org/10.3390/nano15131026 - 2 Jul 2025
Viewed by 1529
Abstract
Co-axial electrospinning is one of the facile methods for the fabrication of core–shell metal oxides for environmental applications. Indeed, core–shell architectures featuring a magnetic core and a photocatalytic shell represent a novel approach to catalytic nanostructures in applications such as water treatment and [...] Read more.
Co-axial electrospinning is one of the facile methods for the fabrication of core–shell metal oxides for environmental applications. Indeed, core–shell architectures featuring a magnetic core and a photocatalytic shell represent a novel approach to catalytic nanostructures in applications such as water treatment and pollutant removal via magnetic separation. This study focuses on the fabrication of novel Fe3O4-Fe2NiO4/NiO core–shell nanofibers with enhanced optical and magnetic properties using co-axial electrospinning. The aim is to optimize the fabrication parameters, particularly the amount of metal precursor in the starting solutions, to achieve well-defined core and shell structures (rather than single-phase spinels), and to investigate phase transitions, structural characteristics, as well as the optical and magnetic properties of the resulting nanofibers. Raman, XRD, and XPS results show several phases and high defect concentration in the NiO shell. The Fe3O4-Fe2NiO4/NiO core–shell nanofibers exhibit strong visible-light absorption and significant magnetization. These advanced properties highlight their potential in photocatalytic applications. Full article
(This article belongs to the Special Issue Nanomaterials for Advanced Fibers and Textiles)
Show Figures

Graphical abstract

19 pages, 7336 KB  
Article
Impacts of Structural Impurities and Solution pH on Hausmannite Transformation to Birnessite: Environmental Implications for Metal Solubility and Sequestration
by Boyoung Song, Mohammad M. Rashid, Evert J. Elzinga and Bojeong Kim
Minerals 2025, 15(7), 697; https://doi.org/10.3390/min15070697 - 29 Jun 2025
Viewed by 1173
Abstract
Spinel-structured hausmannite (Mn(II)Mn(III)2O4) is a vital intermediate in Mn mineralogy and a key player in redox chemistry in the environment. Its transformation into other Mn oxides is a critical factor in controlling its environmental occurrence and reactivity. Yet structural [...] Read more.
Spinel-structured hausmannite (Mn(II)Mn(III)2O4) is a vital intermediate in Mn mineralogy and a key player in redox chemistry in the environment. Its transformation into other Mn oxides is a critical factor in controlling its environmental occurrence and reactivity. Yet structural impurities and solution pH, as well as the fate of impurities during transformation, which influence hausmannite transformation processes and products, remain largely unknown. In the present work, we address this knowledge gap by investigating pristine and metal-substituted hausmannite, specifically nickel (Ni) or cobalt (Co), equilibrated at two time periods (8 h and 30 days) and three different pH levels (4, 5, and 7). Solution chemistry data revealed that both the equilibration period and pH had a significant impact on hausmannite dissolution rates and the concomitant repartitioning of Ni or Co. Hausmannite with Ni or Co substitution exhibited lower dissolution rates than pristine mineral under acidic conditions. Mineralogy and crystal chemistry data indicated that hausmannite was the major host phase after 30-day equilibration, followed by minor transformed products, including birnessite and manganite. Although minor, birnessite became more abundant than manganite at low pHs. Analytical high-resolution transmission electron microscopy (HRTEM) analyses revealed a poorly crystalline, nano-scaled MnO2 formed from hausmannite and the majority of metal impurities remaining in the host hausmannite. Yet Co was associated with both hausmannite and the newly formed birnessite, whereas Ni was only found with hausmannite, indicating the strong sequestration of Co by Mn(II/III) and Mn(IV) mineral phases. This study highlights the significant impacts of metal impurities and pH on the stability of hausmannite and its transformation into birnessite, as well as the control of Mn-oxide minerals on the solubility and sequestration of transition metals in the environment. Full article
(This article belongs to the Special Issue Characterization of Geological Material at Nano- and Micro-scales)
Show Figures

Figure 1

21 pages, 3361 KB  
Article
Alternative Supports for Electrocatalysis of the Oxygen Evolution Reaction in Alkaline Media
by Gwénaëlle Kéranguéven, Ivan Filimonenkov, Thierry Dintzer and Matthieu Picher
Electrochem 2025, 6(3), 23; https://doi.org/10.3390/electrochem6030023 - 25 Jun 2025
Viewed by 1284
Abstract
The anodic stability of tungsten carbide (WC) and iron oxide with a spinel structure (Fe3O4) were compared against similar data for nanostructured, boron-doped diamond (BDD), and the benchmark Vulcan XC72 carbon, in view of their eventual application as alternative [...] Read more.
The anodic stability of tungsten carbide (WC) and iron oxide with a spinel structure (Fe3O4) were compared against similar data for nanostructured, boron-doped diamond (BDD), and the benchmark Vulcan XC72 carbon, in view of their eventual application as alternative supports for the anion exchange membrane electrolyzer anode. To this end, metal oxide composites were prepared by the in situ autocombustion (ISAC) method, and the anodic behavior of materials (composites as well as supports alone) was investigated in 1 M NaOH electrolyte by the rotating ring–disc electrode method, which enables the separation oxygen evolution reaction and materials’ degradation currents. Among all supports, BDD has proven to be the most stable, while Vulcan XC72 is the least stable under the anodic polarization, with Fe3O4 and WC demonstrating intermediate behavior. The Co3O4-BDD, -Fe3O4, -WC, and -Vulcan composites prepared by the ISAC method were then tested as catalysts of the oxygen evolution reaction. The Co3O4-BDD and Co3O4-Fe3O4 composites appear to be competitive electrocatalysts for the OER in alkaline medium, showing activity comparable to the literature and higher support stability towards oxidation, either in cyclic voltammetry or chronoamperometry stability tests. On the contrary, WC- and Vulcan-based composites are prone to degradation. Full article
(This article belongs to the Topic Electrocatalytic Advances for Sustainable Energy)
Show Figures

Graphical abstract

40 pages, 5193 KB  
Review
A Comprehensive Review of the Development of Perovskite Oxide Anodes for Fossil Fuel-Based Solid Oxide Fuel Cells (SOFCs): Prospects and Challenges
by Arash Yahyazadeh
Physchem 2025, 5(3), 25; https://doi.org/10.3390/physchem5030025 - 23 Jun 2025
Cited by 1 | Viewed by 3364
Abstract
Solid oxide fuel cells (SOFCs) represent a pivotal technology in renewable energy due to their clean and efficient power generation capabilities. Their role in potential carbon mitigation enhances their viability. SOFCs can operate via a variety of alternative fuels, including hydrocarbons, alcohols, solid [...] Read more.
Solid oxide fuel cells (SOFCs) represent a pivotal technology in renewable energy due to their clean and efficient power generation capabilities. Their role in potential carbon mitigation enhances their viability. SOFCs can operate via a variety of alternative fuels, including hydrocarbons, alcohols, solid carbon, and ammonia. However, several solutions have been proposed to overcome various technical issues and to allow for stable operation in dry methane, without coking in the anode layer. To avoid coke formation thermodynamically, methane is typically reformed, contributing to an increased degradation rate through the addition of oxygen-containing gases into the fuel gas to increase the O/C ratio. The performance achieved by reforming catalytic materials, comprising active sites, supports, and electrochemical testing, significantly influences catalyst performance, showing relatively high open-circuit voltages and coking-resistance of the CH4 reforming catalysts. In the next step, the operating principles and thermodynamics of methane reforming are explored, including their traditional catalyst materials and their accompanying challenges. This work explores the components and functions of SOFCs, particularly focusing on anode materials such as perovskites, Ruddlesden–Popper oxides, and spinels, along with their structure–property relationships, including their ionic and electronic conductivity, thermal expansion coefficients, and acidity/basicity. Mechanistic and kinetic studies of common reforming processes, including steam reforming, partial oxidation, CO2 reforming, and the mixed steam and dry reforming of methane, are analyzed. Furthermore, this review examines catalyst deactivation mechanisms, specifically carbon and metal sulfide formation, and the performance of methane reforming and partial oxidation catalysts in SOFCs. Single-cell performance, including that of various perovskite and related oxides, activity/stability enhancement by infiltration, and the simulation and modeling of electrochemical performance, is discussed. This review also addresses research challenges in regards to methane reforming and partial oxidation within SOFCs, such as gas composition changes and large thermal gradients in stack systems. Finally, this review investigates the modeling of catalytic and non-catalytic processes using different dimension and segment simulations of steam methane reforming, presenting new engineering designs, material developments, and the latest knowledge to guide the development of and the driving force behind an oxygen concentration gradient through the external circuit to the cathode. Full article
(This article belongs to the Section Electrochemistry)
Show Figures

Figure 1

Back to TopTop