Sign in to use this feature.

Years

Between: -

Subjects

remove_circle_outline
remove_circle_outline
remove_circle_outline
remove_circle_outline

Journals

Article Types

Countries / Regions

Search Results (17)

Search Parameters:
Keywords = species-mixed deciduous temperate forest

Order results
Result details
Results per page
Select all
Export citation of selected articles as:
13 pages, 1531 KB  
Article
The Relationship between Trait-Based Functional Niche Hypervolume and Community Phylogenetic Structures of Typical Forests across Different Climatic Zones in China
by Jihong Huang, Ruoyun Yu, Yi Ding, Yue Xu, Jie Yao and Runguo Zang
Forests 2024, 15(6), 954; https://doi.org/10.3390/f15060954 - 30 May 2024
Cited by 4 | Viewed by 1517
Abstract
Functional traits are pivotal for understanding the functional niche within plant communities. Yet, the relationship between the functional niches of typical forest plant communities across different climatic zones, as defined by functional traits, and their association with community and phylogenetic structures remains elusive. [...] Read more.
Functional traits are pivotal for understanding the functional niche within plant communities. Yet, the relationship between the functional niches of typical forest plant communities across different climatic zones, as defined by functional traits, and their association with community and phylogenetic structures remains elusive. In this study, we examined 215 woody species, incorporating 11 functional traits spanning leaf economy, mechanical support, and reproductive phenology, gathered from forests in four climatic zones from tropical, subtropical, warm-temperate to cold-temperate zones in China and supplemented by the literature. We quantified the functional niche hypervolume (FNH), reflecting the multidimensional functional niche variability. We then probed into the correlation between the FNH and community and phylogenetic structures of forests. Our findings reveal that species richness significantly influences the geographic variance of functional niche space in forest vegetation across different climatic zones. Specifically, a community’s species richness correlates positively with the functional niche breadth occupied by the community species. The FNH of woody plants across diverse forest types shows significant associations with both the mean phylogenetic distance (MPD) and the mean nearest phylogenetic taxon distance (MNTD) of the communities. There is a progressive increase in tropical rainforest (TF), subtropical evergreen deciduous broad-leaved mixed forest (SF), and warm-temperate coniferous broad-leaved mixed forest (WF), followed by a decline in the cold-temperate coniferous forest (CF). This pattern suggests potential environmental filtering in CF, which may constrain the spatial extent of plant functional niches. Our research underscores the substantial variability in the FNH across China’s typical forest vegetation, highlighting the complex interplay between functional traits, community richness, and phylogenetic distance. Full article
(This article belongs to the Section Forest Ecology and Management)
Show Figures

Figure 1

15 pages, 3741 KB  
Article
Optimizing China’s Afforestation Strategy: Biophysical Impacts of Afforestation with Five Locally Adapted Forest Types
by Wei Ma and Yue Wang
Forests 2024, 15(1), 182; https://doi.org/10.3390/f15010182 - 17 Jan 2024
Cited by 2 | Viewed by 2049
Abstract
Recent research has mapped potential afforestation land to support China’s goal of achieving “carbon neutrality” and has proposed tree species selection to maximize carbon uptake. However, it overlooked biophysical climatic effects, which have a more significant impact on local temperature than CO2 [...] Read more.
Recent research has mapped potential afforestation land to support China’s goal of achieving “carbon neutrality” and has proposed tree species selection to maximize carbon uptake. However, it overlooked biophysical climatic effects, which have a more significant impact on local temperature than CO2 reduction. This study aims to present a comprehensive understanding of how afforestation in China affects local and regional climates through biophysical processes. It focuses on the latitudinal patterns of land surface temperature differences (ΔLST) between five locally adapted forest types and adjacent grasslands using satellite-based observations. Our key findings are as follows: Firstly, broadleaf forests and mixed forests exhibit a stronger cooling effect than coniferous forests due to differences in canopy structure and distribution. Specifically, the net cooling effects of evergreen broadleaf forests (EBFs), deciduous broadleaf forests (DBFs), and mixed forests (MFs) compared to grasslands are −0.50 ± 0.10 °C (mean ± 95% confidence interval), −0.33 ± 0.05 °C, and −0.36 ± 0.06 °C, respectively, while evergreen needleleaf forests (ENFs) compared to grasslands are −0.22 ± 0.11 °C. Deciduous needleleaf forests (DNFs) exhibit warming effects, with a value of 0.69 ± 0.24 °C. In regions suitable for diverse forest types planting, the selection of broadleaf and mixed forests is advisable due to their enhanced local cooling impact. Secondly, temperate forests have a net cooling effect to the south of 43° N, but they have a net warming effect to the north of 48° N compared to grasslands. We recommend caution when planting DNFs, DBFs, and MFs in northeastern China, due to the potential for local warming. Thirdly, in the mountainous areas of southwestern China, especially when planting ENFs and MFs, tree planting may lead to local warming. Overall, our study provides valuable supplementary insights to China’s existing afforestation roadmap, offering policy support for the country’s climate adaptation and mitigation efforts. Full article
(This article belongs to the Special Issue Forest Microclimate: Predictions, Drivers and Impacts)
Show Figures

Figure 1

24 pages, 7059 KB  
Article
Mapping the Late Miocene Pyrenean Forests of the La Cerdanya Basin, Spain
by Yul Altolaguirre, José Mª Postigo-Mijarra, Manuel Casas-Gallego, Rafael Moreno-Domínguez and Eduardo Barrón
Forests 2023, 14(7), 1471; https://doi.org/10.3390/f14071471 - 18 Jul 2023
Cited by 3 | Viewed by 2492
Abstract
The Late Miocene palaeofloras of the La Cerdanya Basin represent a unique look into the Pyrenean Miocene forested areas of the Iberian Peninsula at a time when the European warm and humid climate was experiencing progressive cooling and aridification. Macrofossils (leaves, seeds, fruits [...] Read more.
The Late Miocene palaeofloras of the La Cerdanya Basin represent a unique look into the Pyrenean Miocene forested areas of the Iberian Peninsula at a time when the European warm and humid climate was experiencing progressive cooling and aridification. Macrofossils (leaves, seeds, fruits and cones) and miospores from several outcrops revealed the composition and abundances of the different plant species present in the area during the Tortonian and early Messinian geological stages (ca. 11.1–5.7 Ma). These fossils were found in the sediment deposits of an ancient lake system situated in the southwestern part of the basin. Previous studies indicated the presence of highly diversified mixed mesophytic forests with broadleaved evergreen and deciduous trees and conifers. However, the spatial structure and distribution of these forest types remains unknown. In the present work, the biomization method was used to infer the different late Miocene vegetation types from the basin. The extent of these vegetation types was calculated using a methodology for mapping vegetation units from fossil and biome data. While previous attempts at mapping Miocene vegetation units had a broad geographical scale, the present work aimed to map the extent of the vegetation units at a small scale, recreating local and specific vegetation changes in an abrupt basin. Results showed similarly high scores between for four biome types, which represent the different types of vegetation that coexisted in the basin during the Tortonian and the early Messinian: warm-temperate evergreen broadleaf and mixed woodlands (WTEM biome), temperate deciduous forests (TEDE) and cool conifer forests (COMX and COEG). Their extent was depicted in two vegetation maps, which account for differences in palaeoaltitude and palaeoclimate. These forests occupied different vegetation belts, which shifted upwards and downwards with climatic variations and the progressive uplift of the Pyrenees during the late Miocene. Azonal riparian forests and wetland vegetation occupied the more humid areas in the centre of the basin. Nonetheless, dry conditions during the early Messinian and decrease in the lake area degraded the wetland environments, which were partially replaced by broadleaved evergreen mixed woodlands. Full article
(This article belongs to the Special Issue Forest Paleoecology)
Show Figures

Figure 1

12 pages, 1935 KB  
Article
Decreased Soil Microbial Biomass and Changed Microbial Community Composition following a Defoliation Event by the Forest Tent Caterpillar
by Éléonore Dansereau-Macias, Emma Despland and Ira Tanya Handa
Forests 2023, 14(4), 792; https://doi.org/10.3390/f14040792 - 12 Apr 2023
Cited by 1 | Viewed by 2860
Abstract
With climate change projected to increase the frequency and severity of episodic insect outbreak events, assessing potential consequences for soil microbial communities and nutrient dynamics is of importance for understanding forest resilience. The forest tent caterpillar (Malacosoma disstria) is an important defoliator [...] Read more.
With climate change projected to increase the frequency and severity of episodic insect outbreak events, assessing potential consequences for soil microbial communities and nutrient dynamics is of importance for understanding forest resilience. The forest tent caterpillar (Malacosoma disstria) is an important defoliator of deciduous tree species in temperate and mixed forests of eastern North America with an invasion cycle every 10–12 years and outbreak events that can last 3–6 years. Following a defoliation episode on trembling aspen (Populus tremuloides) from 2015 to 2017 in Abitibi-Témiscamingue, QC, Canada, we sought to test if defoliation resulted in changes to soil bacterial and fungal communities. We hypothesized an increase in soil microbial biomass due to increased caterpillar frass inputs and potential changes in community structure following the event. Soils were sampled in August 2018, May 2019 and July 2019 from sites that had been subjected to defoliation during the outbreak and from sites where no defoliation had been recorded. We assessed soil microbial biomass and fungal to total microbial activity ratio on all sampling dates, and Community Level Physiological Profiles (CLPPs) for 2018 only using a substrate-induced respiration method. Contrary to our hypothesis, we observed a significant 50% decrease in microbial biomass (μg biomass-C g−1 soil hour−1) in defoliated stands, suggesting tree carbon normally allocated towards root exudates was reallocated towards foliage regeneration. We noted a differentiated carbon-based substrate usage following defoliation, but no change in the fungal to total microbial activity ratio. The observed changes in the two years following the defoliation event suggest that defoliation episodes above-ground could trigger changes in soil chemistry below-ground with effects on soil microbial communities that may, in turn, feedback to influence forest plant dynamics. Full article
(This article belongs to the Special Issue Herbivory as a Driver of Forest Dynamics and Biodiversity)
Show Figures

Graphical abstract

14 pages, 3971 KB  
Article
Mapping the Species Richness of Woody Plants in Republic of Korea
by Junhee Lee, Youngjae Yoo, Raeik Jang and Seongwoo Jeon
Sustainability 2023, 15(7), 5718; https://doi.org/10.3390/su15075718 - 24 Mar 2023
Cited by 1 | Viewed by 2545
Abstract
As climate change continues to impact the planet, the importance of forests is becoming increasingly emphasized. The International Co-operative Program on the Assessment and Monitoring of Air Pollution Effects on Forests (ICP Forests) has been monitoring and assessing forests in 40 countries since [...] Read more.
As climate change continues to impact the planet, the importance of forests is becoming increasingly emphasized. The International Co-operative Program on the Assessment and Monitoring of Air Pollution Effects on Forests (ICP Forests) has been monitoring and assessing forests in 40 countries since 1985. In Republic of Korea, the first Forest Health Management (FHM) survey was a nationwide sample point assessment conducted between 2011 and 2015. However, there are limitations in representing the health of forests that occupy 63.7% of Korea’s land area due to the nature of sample point surveys, which survey a relatively small area. Accordingly, a species richness map was created to promote species diversity in forest health evaluations in Republic of Korea. The map was created using data from the first FHM survey, which examined 28 factors with 12 survey indicators in four categories: tree health, vegetation health, soil health, and atmospheric health. We conducted an ensemble modeling of species distribution for woody plant species that are major habitats in Republic of Korea. To select the species, we used the first FHM survey data and chose those with more than 100 sample points, resulting in a total of 11 species. We then created the species richness map of Republic of Korea by overlaying their distributions. To verify the accuracy of the derived map, an independent verification was conducted using statistical verification and external data from the National Natural Environment Survey. To support forest management that accounts for climate change adaptation, the derived species richness map was validated based on the vegetation climate distribution map of the Korean Peninsula, which was published by the Korea National Arboretum. The map confirmed that species richness is highest around the boundary of the deciduous forest in the central temperate zone and lowest around the evergreen and deciduous mixed forest in the southern temperate zone. By establishing this map, it was possible to confirm the spatial distribution of species by addressing the limitations of direct surveys, which are unable to represent all forests. However, it is important to note that not all factors of the first FHM survey were considered during the spatialization process, and the target area only includes Republic of Korea. Thus, further research is necessary to expand the target area and include additional items. Full article
(This article belongs to the Special Issue Forest Biodiversity, Conservation and Sustainability – Series II)
Show Figures

Figure 1

22 pages, 20782 KB  
Article
Individual Tree Crown Delineation Method Based on Multi-Criteria Graph Using Geometric and Spectral Information: Application to Several Temperate Forest Sites
by Matthieu Deluzet, Thierry Erudel, Xavier Briottet, David Sheeren and Sophie Fabre
Remote Sens. 2022, 14(5), 1083; https://doi.org/10.3390/rs14051083 - 23 Feb 2022
Cited by 10 | Viewed by 4642
Abstract
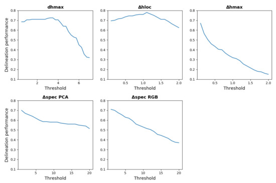
Individual tree crown (ITC) delineation in temperate forests is challenging owing to the presence of broadleaved species with overlapping crowns. Mixed coniferous/deciduous forests with characteristics that differ with the type of tree thus require a flexible method of delineation. The ITC delineation method [...] Read more.
Individual tree crown (ITC) delineation in temperate forests is challenging owing to the presence of broadleaved species with overlapping crowns. Mixed coniferous/deciduous forests with characteristics that differ with the type of tree thus require a flexible method of delineation. The ITC delineation method based on the multi-criteria graph (MCG-Tree) addresses this problem in temperate monospecific or mixed forests by combining geometric and spectral information. The method was used to segment trees in three temperate forest sites with different characteristics (tree types, species distribution, planted or natural forest). Compared with a state-of-the-art watershed segmentation approach, our method increased delineation performance by up to 25%. Our results showed that the main geometric criterion to improve delineation quality is related to the crown radius (performance improvement around 8%). Coniferous/deciduous classification automatically adapts the MCG-Tree criteria to the type of tree. Promising results are then obtained to improve delineation performance for mixed forests. Full article
(This article belongs to the Section Forest Remote Sensing)
Show Figures

Figure 1

20 pages, 3640 KB  
Article
Single Tree Classification Using Multi-Temporal ALS Data and CIR Imagery in Mixed Old-Growth Forest in Poland
by Agnieszka Kamińska, Maciej Lisiewicz and Krzysztof Stereńczak
Remote Sens. 2021, 13(24), 5101; https://doi.org/10.3390/rs13245101 - 15 Dec 2021
Cited by 14 | Viewed by 4859
Abstract
Tree species classification is important for a variety of environmental applications, including biodiversity monitoring, wildfire risk assessment, ecosystem services assessment, and sustainable forest management. In this study we used a fusion of three remote sensing (RM) datasets including ALS (leaf-on and leaf-off) and [...] Read more.
Tree species classification is important for a variety of environmental applications, including biodiversity monitoring, wildfire risk assessment, ecosystem services assessment, and sustainable forest management. In this study we used a fusion of three remote sensing (RM) datasets including ALS (leaf-on and leaf-off) and colour-infrared (CIR) imagery (leaf-on), to classify different coniferous and deciduous tree species, including dead class, in a mixed temperate forest in Poland. We used intensity and structural variables from the ALS data and spectral information derived from aerial imagery for the classification procedure. Additionally, we tested the differences in classification accuracy of all the variants included in the data integration. The random forest classifier was used in the study. The highest accuracies were obtained for classification based on both point clouds and including image spectral information. The mean values for overall accuracy and kappa were 84.3% and 0.82, respectively. Analysis of the leaf-on and leaf-off alone is not sufficient to identify individual tree species due to their different discriminatory power. Leaf-on and leaf-off ALS point cloud features alone gave the lowest accuracies of 72% ≤ OA ≤ 74% and 0.67 ≤ κ ≤ 0.70. Classification based on both point clouds was found to give satisfactory and comparable results to classification based on combined information from all three sources (83% ≤ OA ≤ 84% and 0.81 ≤ κ ≤ 0.82). The classification accuracy varied between species. The classification results for coniferous trees were always better than for deciduous trees independent of the datasets. In the classification based on both point clouds (leaf-on and leaf-off), the intensity features seemed to be more important than the other groups of variables, especially the coefficient of variation, skewness, and percentiles. The NDVI was the most important CIR-based feature. Full article
(This article belongs to the Special Issue Forest Monitoring in a Multi-Sensor Approach)
Show Figures

Graphical abstract

21 pages, 6595 KB  
Article
An Adaptive-Parameter Pixel Unmixing Method for Mapping Evergreen Forest Fractions Based on Time-Series NDVI: A Case Study of Southern China
by Yingying Yang, Taixia Wu, Yuhui Zeng and Shudong Wang
Remote Sens. 2021, 13(22), 4678; https://doi.org/10.3390/rs13224678 - 19 Nov 2021
Cited by 12 | Viewed by 3229
Abstract
Spectral unmixing remains the most popular method for estimating the composition of mixed pixels. However, the spectral-based unmixing method cannot easily distinguish vegetation with similar spectral characteristics (e.g., different forest tree species). Furthermore, in large areas with significant heterogeneity, extracting a large number [...] Read more.
Spectral unmixing remains the most popular method for estimating the composition of mixed pixels. However, the spectral-based unmixing method cannot easily distinguish vegetation with similar spectral characteristics (e.g., different forest tree species). Furthermore, in large areas with significant heterogeneity, extracting a large number of pure endmember samples is challenging. Here, we implement a fractional evergreen forest cover-self-adaptive parameter (FEVC-SAP) approach to measure FEVC at the regional scale from continuous intra-year time-series normalized difference vegetation index (NDVI) values derived from moderate resolution imaging spectroradiometer (MODIS) imagery acquired over southern China, an area with a complex mixture of temperate, subtropical, and tropical climates containing evergreen and deciduous forests. Considering the cover of evergreen forest as a fraction of total forest (evergreen forest plus non-evergreen forest), the dimidiate pixel model combined with an index of evergreen forest phenological characteristics (NDVIann-min: intra-annual minimum NDVI value) was used to distinguish between evergreen and non-evergreen forests within a pixel. Due to spatial heterogeneity, the optimal model parameters differ among regions. By dividing the study area into grids, our method converts image spectral information into gray level information and uses the Otsu threshold segmentation method to simulate the appropriate parameters for each grid for adaptive acquisition of FEVC parameters. Mapping accuracy was assessed at the pixel and sub-pixel scales. At the pixel scale, a confusion matrix was constructed with higher overall accuracy (87.5%) of evergreen forest classification than existing land cover products, including GLC 30 and MOD12. At the sub-pixel scale, a strong linear correlation was found between the cover fraction predicted by our method and the reference cover fraction obtained from GF-1 images (R2 = 0.86). Compared to other methods, the FEVC-SAP had a lower estimation deviation (root mean square error = 8.6%). Moreover, the proposed method had greater estimation accuracy in densely than sparsely forested areas. Our results highlight the utility of the adaptive-parameter linear unmixing model for quantitative evaluation of the coverage of evergreen forest and other vegetation types at large scales. Full article
Show Figures

Figure 1

24 pages, 3501 KB  
Article
Carbon Sequestration in Mixed Deciduous Forests: The Influence of Tree Size and Species Composition Derived from Model Experiments
by Anne Holtmann, Andreas Huth, Felix Pohl, Corinna Rebmann and Rico Fischer
Forests 2021, 12(6), 726; https://doi.org/10.3390/f12060726 - 2 Jun 2021
Cited by 27 | Viewed by 7786
Abstract
Forests play an important role in climate regulation due to carbon sequestration. However, a deeper understanding of forest carbon flux dynamics is often missing due to a lack of information about forest structure and species composition, especially for non-even-aged and species-mixed forests. In [...] Read more.
Forests play an important role in climate regulation due to carbon sequestration. However, a deeper understanding of forest carbon flux dynamics is often missing due to a lack of information about forest structure and species composition, especially for non-even-aged and species-mixed forests. In this study, we integrated field inventory data of a species-mixed deciduous forest in Germany into an individual-based forest model to investigate daily carbon fluxes and to examine the role of tree size and species composition for stand productivity. This approach enables to reproduce daily carbon fluxes derived from eddy covariance measurements (R2 of 0.82 for gross primary productivity and 0.77 for ecosystem respiration). While medium-sized trees (stem diameter 30–60 cm) account for the largest share (66%) of total productivity at the study site, small (0–30 cm) and large trees (>60 cm) contribute less with 8.3% and 25.5% respectively. Simulation experiments indicate that vertical stand structure and shading influence forest productivity more than species composition. Hence, it is important to incorporate small-scale information about forest stand structure into modelling studies to decrease uncertainties of carbon dynamic predictions. Full article
(This article belongs to the Special Issue Simulation Models of the Dynamics of Forest Ecosystems)
Show Figures

Figure 1

17 pages, 7505 KB  
Article
Using U-Net-Like Deep Convolutional Neural Networks for Precise Tree Recognition in Very High Resolution RGB (Red, Green, Blue) Satellite Images
by Kirill A. Korznikov, Dmitry E. Kislov, Jan Altman, Jiří Doležal, Anna S. Vozmishcheva and Pavel V. Krestov
Forests 2021, 12(1), 66; https://doi.org/10.3390/f12010066 - 8 Jan 2021
Cited by 59 | Viewed by 7026
Abstract
Very high resolution satellite imageries provide an excellent foundation for precise mapping of plant communities and even single plants. We aim to perform individual tree recognition on the basis of very high resolution RGB (red, green, blue) satellite images using deep learning approaches [...] Read more.
Very high resolution satellite imageries provide an excellent foundation for precise mapping of plant communities and even single plants. We aim to perform individual tree recognition on the basis of very high resolution RGB (red, green, blue) satellite images using deep learning approaches for northern temperate mixed forests in the Primorsky Region of the Russian Far East. We used a pansharpened satellite RGB image by GeoEye-1 with a spatial resolution of 0.46 m/pixel, obtained in late April 2019. We parametrized the standard U-Net convolutional neural network (CNN) and trained it in manually delineated satellite images to solve the satellite image segmentation problem. For comparison purposes, we also applied standard pixel-based classification algorithms, such as random forest, k-nearest neighbor classifier, naive Bayes classifier, and quadratic discrimination. Pattern-specific features based on grey level co-occurrence matrices (GLCM) were computed to improve the recognition ability of standard machine learning methods. The U-Net-like CNN allowed us to obtain precise recognition of Mongolian poplar (Populus suaveolens Fisch. ex Loudon s.l.) and evergreen coniferous trees (Abies holophylla Maxim., Pinus koraiensis Siebold & Zucc.). We were able to distinguish species belonging to either poplar or coniferous groups but were unable to separate species within the same group (i.e. A. holophylla and P. koraiensis were not distinguishable). The accuracy of recognition was estimated by several metrics and exceeded values obtained for standard machine learning approaches. In contrast to pixel-based recognition algorithms, the U-Net-like CNN does not lead to an increase in false-positive decisions when facing green-colored objects that are similar to trees. By means of U-Net-like CNN, we obtained a mean accuracy score of up to 0.96 in our computational experiments. The U-Net-like CNN recognizes tree crowns not as a set of pixels with known RGB intensities but as spatial objects with a specific geometry and pattern. This CNN’s specific feature excludes misclassifications related to objects of similar colors as objects of interest. We highlight that utilization of satellite images obtained within the suitable phenological season is of high importance for successful tree recognition. The suitability of the phenological season is conceptualized as a group of conditions providing highlighting objects of interest over other components of vegetation cover. In our case, the use of satellite images captured in mid-spring allowed us to recognize evergreen fir and pine trees as the first class of objects (“conifers”) and poplars as the second class, which were in a leafless state among other deciduous tree species. Full article
(This article belongs to the Special Issue Remote Sensing Applications in Forests Inventory and Management)
Show Figures

Figure 1

15 pages, 2563 KB  
Article
An Efficient Tool for the Maintenance of Thermophilous Oak Forest Understory—Sheep or Brush Cutter?
by Bogdan Jaroszewicz, Małgorzata Jankowska-Błaszczuk, Michał Żmihorski and Tomasz Hałatkiewicz
Forests 2020, 11(5), 582; https://doi.org/10.3390/f11050582 - 22 May 2020
Cited by 1 | Viewed by 3136
Abstract
Research Highlights: Thermophilous oak forests are among the most species-rich forest ecosystems in Central Europe. In the temperate zone, they evolved from mixed deciduous forests due to centuries-long livestock grazing. The abandonment of traditional forms of landscape use resulted in a constant decline [...] Read more.
Research Highlights: Thermophilous oak forests are among the most species-rich forest ecosystems in Central Europe. In the temperate zone, they evolved from mixed deciduous forests due to centuries-long livestock grazing. The abandonment of traditional forms of landscape use resulted in a constant decline in the number of patches of these communities, their area and species richness, which has been ongoing for decades and calls for their urgent conservation. The commonly used approaches to the conservation of this community are the reestablishment of grazing or mechanical removal of undergrowth. However, there are a limited number of works comparing their effects on the forest herb layer separately and in combination. Background and Objectives: The purpose of our research was to evaluate the effectiveness of grazing, mechanical brush removal and their combination for the conservation of the oak forest herb layer. Materials and Methods: Our work was based on a fully crossed experimental design set in a 60-year-old oak forest. The individual and combined influences of sheep grazing and brush cutting on forest floor vegetation were compared to control plots. We surveyed plant species twice—before the application of treatments and one year later on 600 one-square-meter subplots selected randomly in the limits of twelve fenced 20 m × 20 m treated and untreated study plots. Results: Both grazing by sheep and mechanical removal served well for total plant species richness and their cover, if applied separately. But these effects were not additive—plant species richness and plant cover on plots with combined treatment did not differ from plots, where just a single treatment was applied. Application of both treatments (but separately) had positive influence on species cover of the target group of plants typical to xerothermic oak forests and non-target species of mixed deciduous forests. Mechanical removal allowed also for successful control of woody species. Active conservation measures resulted also in negative effects—we observed increase in the species richness and cover of ruderal species on grazed plots. Conclusions: Both tested methods can be used for active conservation of open oak forest understorey vegetation. The method of active conservation should be chosen depending on the goal and the species composition of the forest floor and undergrowth found at the beginning of the restoration process, however, combining of these treatments does not bring any extra advantage. In our opinion a monitoring of the reaction of vegetation on treatments is of paramount importance. Full article
(This article belongs to the Section Forest Ecology and Management)
Show Figures

Figure 1

21 pages, 3229 KB  
Article
Tree Species Traits Determine the Success of LiDAR-Based Crown Mapping in a Mixed Temperate Forest
by Jack H. Hastings, Scott V. Ollinger, Andrew P. Ouimette, Rebecca Sanders-DeMott, Michael W. Palace, Mark J. Ducey, Franklin B. Sullivan, David Basler and David A. Orwig
Remote Sens. 2020, 12(2), 309; https://doi.org/10.3390/rs12020309 - 17 Jan 2020
Cited by 56 | Viewed by 9026
Abstract
The ability to automatically delineate individual tree crowns using remote sensing data opens the possibility to collect detailed tree information over large geographic regions. While individual tree crown delineation (ITCD) methods have proven successful in conifer-dominated forests using Light Detection and Ranging (LiDAR) [...] Read more.
The ability to automatically delineate individual tree crowns using remote sensing data opens the possibility to collect detailed tree information over large geographic regions. While individual tree crown delineation (ITCD) methods have proven successful in conifer-dominated forests using Light Detection and Ranging (LiDAR) data, it remains unclear how well these methods can be applied in deciduous broadleaf-dominated forests. We applied five automated LiDAR-based ITCD methods across fifteen plots ranging from conifer- to broadleaf-dominated forest stands at Harvard Forest in Petersham, MA, USA, and assessed accuracy against manual delineation of crowns from unmanned aerial vehicle (UAV) imagery. We then identified tree- and plot-level factors influencing the success of automated delineation techniques. There was relatively little difference in accuracy between automated crown delineation methods (51–59% aggregated plot accuracy) and, despite parameter tuning, none of the methods produced high accuracy across all plots (27—90% range in plot-level accuracy). The accuracy of all methods was significantly higher with increased plot conifer fraction, and individual conifer trees were identified with higher accuracy (mean 64%) than broadleaf trees (42%) across methods. Further, while tree-level factors (e.g., diameter at breast height, height and crown area) strongly influenced the success of crown delineations, the influence of plot-level factors varied. The most important plot-level factor was species evenness, a metric of relative species abundance that is related to both conifer fraction and the degree to which trees can fill canopy space. As species evenness decreased (e.g., high conifer fraction and less efficient filling of canopy space), the probability of successful delineation increased. Overall, our work suggests that the tested LiDAR-based ITCD methods perform equally well in a mixed temperate forest, but that delineation success is driven by forest characteristics like functional group, tree size, diversity, and crown architecture. While LiDAR-based ITCD methods are well suited for stands with distinct canopy structure, we suggest that future work explore the integration of phenology and spectral characteristics with existing LiDAR as an approach to improve crown delineation in broadleaf-dominated stands. Full article
(This article belongs to the Special Issue Remote Sensing to Assess Canopy Structure and Function)
Show Figures

Graphical abstract

16 pages, 2315 KB  
Article
Effects of Disturbance on Understory Vegetation across Slovenian Forest Ecosystems
by Lado Kutnar, Thomas A. Nagel and Janez Kermavnar
Forests 2019, 10(11), 1048; https://doi.org/10.3390/f10111048 - 19 Nov 2019
Cited by 35 | Viewed by 5457
Abstract
The herbaceous understory represents a key component of forest biodiversity across temperate forests of Europe. Here, we quantified changes in the diversity and composition of the forest understory layer in representative Slovenian forest ecosystems between 2004/05 and 2014/15. In total, 60 plots were [...] Read more.
The herbaceous understory represents a key component of forest biodiversity across temperate forests of Europe. Here, we quantified changes in the diversity and composition of the forest understory layer in representative Slovenian forest ecosystems between 2004/05 and 2014/15. In total, 60 plots were placed across 10 different managed forest types, ranging from lowland deciduous and mid-altitude mesic mixed forests to mountain conifer forests. This network is part of an international network of sites launched within the ICP Forests Programme aimed to assess the condition of forests in Europe. To examine how disturbance influenced understory dynamics, we estimated the disturbance impacts considering both natural and/or anthropogenic disturbances that cause significant damage to trees and to ground-surface layers, including ground-vegetation layers and upper-soil layers. Species richness across 10 sites (gamma diversity) significantly decreased from 272 to 243 species during the study period, while mean species richness per site did not significantly change. The mean value of site level Shannon diversity indices and evenness significantly increased. The cover of most common plant species increased during the monitoring period. The mean value of disturbance estimates per site increased from 0.8% in 2004/05 (ranging from 0% to 2.5%) to 16.3% in 2014/15 (ranging from 5.0% to 38.8%), which corresponded to a reduction in total vegetation cover, including tree-layer cover. More disturbed sites showed larger temporal changes in species composition compared to less disturbed sites, suggesting that forest disturbances caused understory compositional shifts during the study period. Rather than observing an increase in plant diversity due to disturbance, our results suggest a short-term decrease in species number, likely driven by replacement of more specialized species with common species. Full article
(This article belongs to the Section Forest Ecology and Management)
Show Figures

Figure 1

23 pages, 9868 KB  
Article
An Operational Workflow of Deciduous-Dominated Forest Species Classification: Crown Delineation, Gap Elimination, and Object-Based Classification
by Yuhong He, Jian Yang, John Caspersen and Trevor Jones
Remote Sens. 2019, 11(18), 2078; https://doi.org/10.3390/rs11182078 - 5 Sep 2019
Cited by 10 | Viewed by 4161
Abstract
Recent advances in remote sensing technology provide sufficient spatial detail to achieve species-level classification over large vegetative ecosystems. In deciduous-dominated forests, however, as tree species diversity and forest structural diversity increase, the frequency of spectral overlap between species also increases and our ability [...] Read more.
Recent advances in remote sensing technology provide sufficient spatial detail to achieve species-level classification over large vegetative ecosystems. In deciduous-dominated forests, however, as tree species diversity and forest structural diversity increase, the frequency of spectral overlap between species also increases and our ability to classify tree species significantly decreases. This study proposes an operational workflow of individual tree-based species classification for a temperate, mixed deciduous forest using three-seasonal WorldView images, involving three steps of individual tree crown (ITC) delineation, non-forest gap elimination, and object-based classification. The process of species classification started with ITC delineation using the spectral angle segmentation algorithm, followed by object-based random forest classifications. A total of 672 trees was located along three triangular transects for training and validation. For single-season images, the late-spring, mid-summer, and early-fall images achieve the overall accuracies of 0.46, 0.42, and 0.35, respectively. Combining the spectral information of the early-spring, mid-summer, and early-fall images increases the overall accuracy of classification to 0.79. However, further adding the late-fall image to separate deciduous and coniferous trees as an extra step was not successful. Compared to traditional four-band (Blue, Green, Red, Near-Infrared) images, the four additional bands of WorldView images (i.e., Coastal, Yellow, Red Edge, and Near-Infrared2) contribute to the species classification greatly (OA: 0.79 vs. 0.53). This study gains insights into the contribution of the additional spectral bands and multi-seasonal images to distinguishing species with seemingly high degrees of spectral overlap. Full article
(This article belongs to the Special Issue Remote Sensing for Terrestrial Ecosystem Health)
Show Figures

Graphical abstract

28 pages, 3157 KB  
Article
UAV Remote Sensing for Biodiversity Monitoring: Are Forest Canopy Gaps Good Covariates?
by Martin B. Bagaram, Diego Giuliarelli, Gherardo Chirici, Francesca Giannetti and Anna Barbati
Remote Sens. 2018, 10(9), 1397; https://doi.org/10.3390/rs10091397 - 2 Sep 2018
Cited by 76 | Viewed by 12578
Abstract
Forest canopy gaps are important to ecosystem dynamics. Depending on tree species, small canopy openings may be associated with intra-crown porosity and with space among crowns. Yet, literature on the relationships between very fine-scaled patterns of canopy openings and biodiversity features is limited. [...] Read more.
Forest canopy gaps are important to ecosystem dynamics. Depending on tree species, small canopy openings may be associated with intra-crown porosity and with space among crowns. Yet, literature on the relationships between very fine-scaled patterns of canopy openings and biodiversity features is limited. This research explores the possibility of: (1) mapping forest canopy gaps from a very high spatial resolution orthomosaic (10 cm), processed from a versatile unmanned aerial vehicle (UAV) imaging platform, and (2) deriving patch metrics that can be tested as covariates of variables of interest for forest biodiversity monitoring. The orthomosaic was imaged from a test area of 240 ha of temperate deciduous forest types in Central Italy, containing 50 forest inventory plots each of 529 m2 in size. Correlation and linear regression techniques were used to explore relationships between patch metrics and understory (density, development, and species diversity) or forest habitat biodiversity variables (density of micro-habitat bearing trees, vertical species profile, and tree species diversity). The results revealed that small openings in the canopy cover (75% smaller than 7 m2) can be faithfully extracted from UAV red, green, and blue bands (RGB) imagery, using the red band and contrast split segmentation. The strongest correlations were observed in the mixed forests (beech and turkey oak) followed by intermediate correlations in turkey oak forests, followed by the weakest correlations in beech forests. Moderate to strong linear relationships were found between gap metrics and understory variables in mixed forest types, with adjusted R2 from linear regression ranging from 0.52 to 0.87. Equally strong correlations in the same forest types were observed for forest habitat biodiversity variables (with adjusted R2 ranging from 0.52 to 0.79), with highest values found for density of trees with microhabitats and vertical species profile. In conclusion, this research highlights that UAV remote sensing can potentially provide covariate surfaces of variables of interest for forest biodiversity monitoring, conventionally collected in forest inventory plots. By integrating the two sources of data, these variables can be mapped over small forest areas with satisfactory levels of accuracy, at a much higher spatial resolution than would be possible by field-based forest inventory solely. Full article
(This article belongs to the Special Issue UAV Applications in Forestry)
Show Figures

Graphical abstract

Back to TopTop