Sign in to use this feature.

Years

Between: -

Subjects

remove_circle_outline
remove_circle_outline
remove_circle_outline
remove_circle_outline
remove_circle_outline
remove_circle_outline
remove_circle_outline
remove_circle_outline
remove_circle_outline

Journals

Article Types

Countries / Regions

remove_circle_outline
remove_circle_outline
remove_circle_outline

Search Results (421)

Search Parameters:
Keywords = soil cement stabilization

Order results
Result details
Results per page
Select all
Export citation of selected articles as:
27 pages, 8044 KB  
Article
Acoustic Emission Characteristic Parameters and Damage Model of Cement-Modified Aeolian Sand Compression Failure
by Wenge Zhang, Ming Liu, Guangying Yuan, Suya Zheng, Linhuan Wei, Panpan Chang and Wei Yang
Appl. Sci. 2025, 15(22), 11860; https://doi.org/10.3390/app152211860 - 7 Nov 2025
Viewed by 116
Abstract
Aeolian sand is widely distributed in desert areas, but it has certain challenges in the application of roadbed engineering due to its loose particles and poor stability. Cement-modified aeolian sand has gradually become the mainstream improvement method of aeolian sand materials due to [...] Read more.
Aeolian sand is widely distributed in desert areas, but it has certain challenges in the application of roadbed engineering due to its loose particles and poor stability. Cement-modified aeolian sand has gradually become the mainstream improvement method of aeolian sand materials due to its good sand fixation performance. However, the mechanical properties and failure modes of cement-modified aeolian sand are still unclear. The effective characterization of the damage evolution process of aeolian sand is crucial to understanding its mechanical mechanism. This study focuses on cement-modified aeolian sand as the research subject. Utilizing an unconfined compression apparatus and an acoustic emission monitoring system, this research simultaneously monitors stress–strain data and acoustic emission signals during the deformation and failure process of cement-modified aeolian sand. This investigation analyzes the influence of cement content on mechanical performance parameters, examines the correlation between acoustic emission time–frequency characteristics and damage evolution processes, and subsequently establishes an acoustic-emission-based damage evolution model. The results show that a strong correlation is observed between the stress–strain curve and the acoustic emission (AE) evolution characteristics of the cement-modified aeolian sand. When the applied stress reaches 80% of the peak stress, the AE signals enter a relatively calm period. This characteristic can be regarded as significant precursor information for the deformation and failure of the material. The damage in the cement-modified aeolian sand follows a Weibull distribution. The shape parameter m attains its maximum value at a cement content of 7%. The material’s homogeneity transitions from being comparable to coal rock at lower cement contents to resembling granite at higher contents. These findings can provide a technical basis for using acoustic emissions to characterize damage and identify risks in cement-modified aeolian soils. Full article
Show Figures

Figure 1

17 pages, 5736 KB  
Article
Investigation of Water-Stability Behaviors in Coastal Mud Multiply Modified by Cement and Coarse-Particle Spoil
by Zipeng Qin, Yan Tian, Xianding Guo, Jiongzhang Chen, Huang Huang, Zongkai Ye, Dongxue Wang, Erjin Xu, Hanwei Huang and Xinxin Chen
J. Mar. Sci. Eng. 2025, 13(11), 2105; https://doi.org/10.3390/jmse13112105 - 5 Nov 2025
Viewed by 200
Abstract
This study investigates the water-stability performance and stabilization mechanism of a hybrid-modified dredged muck sampled from the protection channel of the southern seawall, Cangnan County, China, and explores the feasibility of reusing the modified soil as backfill or non-structural fill behind the dike [...] Read more.
This study investigates the water-stability performance and stabilization mechanism of a hybrid-modified dredged muck sampled from the protection channel of the southern seawall, Cangnan County, China, and explores the feasibility of reusing the modified soil as backfill or non-structural fill behind the dike body. The muck was amended with two industrial by-products: (i) coarse-grained spoil excavated from an adjacent power-plant project, serving as a particle-size modifier, and (ii) ordinary Portland cement, acting as the chemical stabilizer. Unconfined compressive strength (UCS) tests were conducted on specimens cured for 7 d and 28 d under both saturated and unsaturated conditions, complemented by scanning electron microscopy (SEM) to elucidate microstructural evolution. An optimal mix proportion that satisfies the prescribed water-stability criterion while maintaining cost-effectiveness was thereby identified. Experimental results demonstrate that cement content, coarse-spoil fraction and curing age govern the water-stability behavior, with cement dosage exerting the most pronounced influence. A 28 d cured blend containing only 5% cement yielded a low water-stability coefficient (31.8%) and negligible post-immersion strength. Conversely, a ternary mixture comprising 40% muck, 60% coarse spoil and 15% cement achieved the highest water stability, recording UCS values of 1582 kPa (saturated) and 2025 kPa (unsaturated), corresponding to 78.1%. These findings provide a theoretical basis and practical guidance for the valorization of waste soils in coastal engineering and for the design/construction of seawalls. These findings not only provide a theoretical basis and practical guidance for the valorization of waste soils in coastal engineering and for the design/construction of seawalls, but also substantially expand the available material source, drive down construction costs, and markedly mitigate the environmental impacts associated with the off-site disposal of excavated waste. Full article
(This article belongs to the Section Coastal Engineering)
Show Figures

Figure 1

24 pages, 5484 KB  
Article
Performance and Environmental Assessment of Alkali-Activated Cements from Agricultural and Industrial Residues
by Rafaela Pollon, Giovani Jordi Bruschi, Suéllen Tonatto Ferrazzo, Arielle Cristina Fornari, Eduarda Razador Lazzari, Pedro Domingos Marques Prietto and Eduardo Pavan Korf
Constr. Mater. 2025, 5(4), 79; https://doi.org/10.3390/constrmater5040079 - 4 Nov 2025
Viewed by 243
Abstract
The growing concern with carbon dioxide emissions from the cement industry has driven the search for alternative binders with lower environmental impact. Among these, alkali-activated cements (AACs) stand out due to their ability to produce cementitious matrices from aluminosilicate precursors and alkaline activators. [...] Read more.
The growing concern with carbon dioxide emissions from the cement industry has driven the search for alternative binders with lower environmental impact. Among these, alkali-activated cements (AACs) stand out due to their ability to produce cementitious matrices from aluminosilicate precursors and alkaline activators. However, comparisons between One-Part and Two-Part systems remain limited. This study evaluated the technical feasibility of producing AAC using sugarcane bagasse ash (SCBA) as precursor, carbide lime (CL) as calcium source, and sodium hydroxide (NaOH) as activator. Different parameters were tested, including NaOH molarities (1.0–2.5 M), SCBA/CL ratios (9.00–1.50), curing times (3, 7, and 28 days), and preparation methods. Mortars were produced at constant water/solid ratio of 1.40 and cured at room temperature (23 °C). Unconfined compressive strength (UCS) and leaching tests were performed, along with statistical analysis and Scanning Electron Microscopy (SEM), X-ray Diffraction (XRD), and Fourier Transform Infrared Spectroscopy (FTIR) analyses. ACC synthesized by the Two-Part method (2.0 M NaOH, SCBA:CL 70:30) reached an UCS of 1.60 MPa at 28 days, compared to 1.39 MPa for the One-Part method. Curing time was identified as the most significant factor, followed by SCBA/CL ratio and activator molarity, while preparation method had minimal effect. The material developed alkali-activated gels, and leaching tests indicated no toxicity, although Ba concentrations exceeded regulatory limits for water quality. Potential applications include mine tailings stabilization, soil improvement, shallow foundations, and urban furniture production. Full article
Show Figures

Figure 1

30 pages, 7127 KB  
Article
Influence of Carbon–Magnesium Reactions on Strength, Resistivity, and Carbonation Behavior of Lightweight Carbonated Soil: Development of a Multi-Parameter Prediction Model
by Li Shao, Wangcheng Yu, Yi Li, Jing Ni, Xi Du, Chaochao Sun and Longlong Wei
Appl. Sci. 2025, 15(21), 11636; https://doi.org/10.3390/app152111636 - 31 Oct 2025
Viewed by 191
Abstract
The high carbon emissions associated with cement-based materials in lightweight foamed soils have become a significant environmental concern. In addition to this applied problem, there is also a scientific challenge: current studies of carbon–magnesium reactions in lightweight carbonated soils (LCSS) lack multiparameter predictive [...] Read more.
The high carbon emissions associated with cement-based materials in lightweight foamed soils have become a significant environmental concern. In addition to this applied problem, there is also a scientific challenge: current studies of carbon–magnesium reactions in lightweight carbonated soils (LCSS) lack multiparameter predictive models, which are essential for understanding the coupled effects of MgO dosage and CO2 foam content on material performance. This study addresses this gap by systematically investigating the influence of MgO and CO2 foam on the strength, resistivity, and carbonation behavior of LCSS. A multiparameter regression model was developed to predict these properties, and its statistical significance and predictive accuracy were verified. The results show that MgO dosage strongly promotes carbonation and strength development, while CO2 foam content primarily regulates porosity and carbonation degree. The established model provides reliable predictions of LCSS performance and offers a scientific basis for optimizing carbon–magnesium reactions in sustainable soil stabilization. Full article
Show Figures

Figure 1

24 pages, 1712 KB  
Review
Urban Mining of Bivalve Shell Waste as a Sustainable Alternative to Limestone Exploitation: A Review on Alkali-Activated Cements and Mortars
by Arthur Paim Cescon, Giovani Jordi Bruschi and Eduardo Pavan Korf
Mining 2025, 5(4), 69; https://doi.org/10.3390/mining5040069 - 29 Oct 2025
Viewed by 332
Abstract
The concept of urban mining refers to the recovery and valorization of valuable resources from urban and industrial waste, contributing to circular economy principles. Within this framework, the present study provides a critical review of alkali-activated binders incorporating bivalve mollusk shells as alternative [...] Read more.
The concept of urban mining refers to the recovery and valorization of valuable resources from urban and industrial waste, contributing to circular economy principles. Within this framework, the present study provides a critical review of alkali-activated binders incorporating bivalve mollusk shells as alternative calcium sources. Shells from oysters, scallops, mussels, clams, cockles, and periwinkles were examined, either in their natural or calcined forms, for use as calcium sources, alkaline activators, or fillers in low-carbon binders. The review evaluates key processing parameters, including precursor composition, type and concentration of alkaline activators, curing conditions, and calcination temperatures, and compares the resulting mechanical, chemical, and microstructural properties. In addition, several studies report applications of these binders in soil stabilization and heavy metal immobilization, demonstrating performances comparable to Portland cement. The findings confirm the technical potential of mollusk shell residues and their contribution to the circular economy by diverting aquaculture waste from landfills and marine environments. Nonetheless, significant knowledge gaps persist, including the limited investigation of non-oyster species, the absence of field-scale studies, and the lack of resource mapping, life cycle, or economic assessments. This synthesis highlights preliminary insights, such as optimal calcination temperatures between 700 and 900 °C and effective combinations with silica and alumina-rich residues. Overall, it outlines a pathway toward transforming an underutilized waste stream into sustainable and technically viable construction materials. Full article
(This article belongs to the Special Issue Envisioning the Future of Mining, 2nd Edition)
Show Figures

Figure 1

27 pages, 8461 KB  
Article
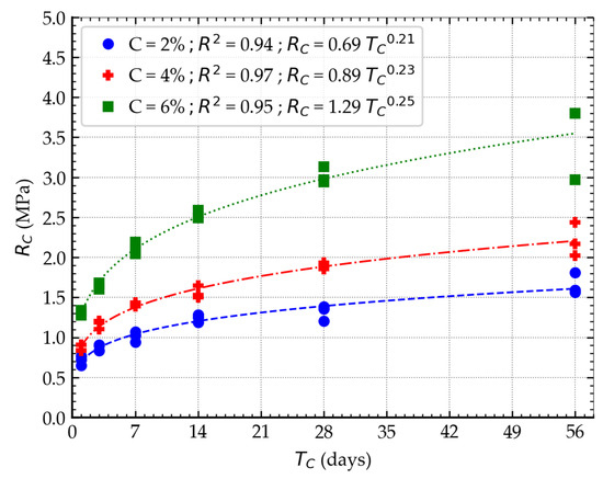
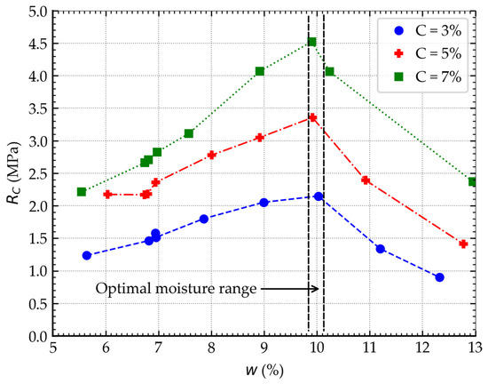
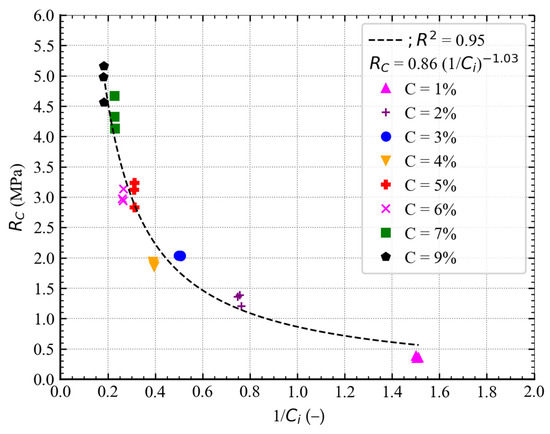
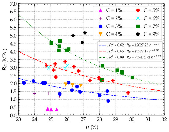
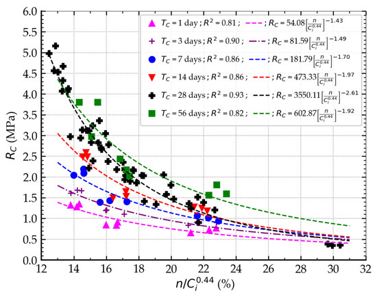
Novel Proposal for Strength Prediction of Cement-Stabilized Soils Considering Porosity, Cement Index, and Curing Time
by Maciej Miturski
Appl. Sci. 2025, 15(21), 11448; https://doi.org/10.3390/app152111448 - 27 Oct 2025
Viewed by 319
Abstract
Stabilized soils are used as structural components in pavement construction and highway engineering. Due to their broad application, practical methods for predicting their strength are essential. The unconfined compressive strength (UCS) test is a fundamental technique for assessing mechanical properties. This study focuses [...] Read more.
Stabilized soils are used as structural components in pavement construction and highway engineering. Due to their broad application, practical methods for predicting their strength are essential. The unconfined compressive strength (UCS) test is a fundamental technique for assessing mechanical properties. This study focuses on the development of a new method for predicting the strength of cement-stabilized soils. The analysis was based on three series of tests. The first series examined the effect of variable initial moisture content, ranging from 6% to 13%. The second series focused on the impact of cement content, ranging from 1% to 9%. The third series examined the effect of cement content on strength increase over a period of 1 to 56 days of curing. Based on the collected data, an empirical relationship was developed to predict strength using three key parameters: porosity (n), cement index (Ci), and curing time (TC). Nomograms were created using this relationship, allowing strength to be easily predicted. Additionally, the study presents correlations between the proposed model and deformation parameters, as determined by both destructive testing (DT) and non-destructive testing (NDT), including the E50 modulus, EUPV, and GUPV. The statistical validation of the determined empirical relationship showed a MAPE value of 15.928% and an RMSE value of 0.318 MPa. The results confirm the accuracy of the developed model and the derived correlations. Full article
Show Figures

Figure 1

19 pages, 4639 KB  
Article
Effect of Dehydration on the Resilient Modulus of Biopolymer-Treated Sandy Soil for Pavement Construction
by Ahmed M. Al-Mahbashi and Abdullah Almajed
Polymers 2025, 17(20), 2738; https://doi.org/10.3390/polym17202738 - 13 Oct 2025
Viewed by 495
Abstract
Biopolymers have recently been introduced as eco-friendly alternatives to other chemical cementitious additives for sandy soil stabilization, especially in pavement construction. The resilient modulus (MR) is a key metric considered in the mechanistic design of pavement layers that ensures a safe [...] Read more.
Biopolymers have recently been introduced as eco-friendly alternatives to other chemical cementitious additives for sandy soil stabilization, especially in pavement construction. The resilient modulus (MR) is a key metric considered in the mechanistic design of pavement layers that ensures a safe and economic design based on guaranteed accurate values. This study investigated the effects of dehydration on the MR of biopolymer-treated sand. Prepared specimens were subjected to two different curing conditions. The first set underwent closed-system curing (CSC) for periods of 7, 14, and 28 days. The second set of specimens was cured at different levels of suction by controlling relative humidity (RH) using different salt solutions (0.27, 1.0, 9.7, 21.0, 54.6, 113.7, and 294 MPa), referred to as dehydration curing (DC). The soil water retention curve (SWRC) was measured over the entire suction range to evaluate the dehydration curing and to link the results of suction levels and dehydration regime. MR tests were conducted on both sets of specimens using a dynamic triaxial system to simulate different confining, traffic, and dynamic stresses. The results showed a significant increase in MR (i.e., up to eight times) for specimens cured under DC conditions that was proportional to the suction level across different zones of the SWRC. Scanning electron microscopy revealed a phase change from hydrogel to film, which enhanced cementation and bonding between particles. in addition, CSC treatment resulted in a 10–30% reduction in MR. A new regression model is proposed to predict the MR of biopolymer-treated sand as a function of confining stresses, dynamic stresses, and suction. These findings will assist pavement engineers and designers in achieving safe, sustainable, and economic designs. Full article
(This article belongs to the Special Issue Application of Polymers in Cementitious Materials)
Show Figures

Figure 1

31 pages, 10535 KB  
Article
Experimental Study on Creep Characteristics and Mechanisms of Wenzhou Soft Soil
by Yongwei Chen, Yi Shi, Junju Qiu, Wei Qin, Zhijin Zhou, Guoxiang Peng, Kun Lou and Yuanyuan Liu
J. Mar. Sci. Eng. 2025, 13(10), 1943; https://doi.org/10.3390/jmse13101943 - 10 Oct 2025
Viewed by 311
Abstract
This study investigates the creep behavior of Wenzhou marine soft soil through 1D and triaxial creep tests, revealing that the secondary consolidation coefficient initially increases then stabilizes with stress level, decreases with OCR, increases with time, and reduces with depth. The e-lg [...] Read more.
This study investigates the creep behavior of Wenzhou marine soft soil through 1D and triaxial creep tests, revealing that the secondary consolidation coefficient initially increases then stabilizes with stress level, decreases with OCR, increases with time, and reduces with depth. The e-lgt curves show four-phase deformation (instantaneous, primary consolidation, secondary compression, and accelerated creep), while triaxial tests identify three creep stages (decelerated, steady, and accelerated), with higher confining pressure increasing the deviatoric stress threshold for accelerated creep. Nonlinear stress–strain isochrones shift toward the strain axis with increasing confining pressure. The proposed structural parameter inversely correlates with the secondary consolidation coefficient, demonstrating that enhanced interparticle cementation and soil structure improve long-term creep resistance in coastal soft soil foundations. Full article
(This article belongs to the Section Coastal Engineering)
Show Figures

Figure 1

19 pages, 5038 KB  
Article
Mechanisms of Soil Aggregate Stability Influencing Slope Erosion in North China
by Ying Yang, Shuai Zhang, Weijie Yuan, Zedong Li, Xiuxiu Deng and Lina Wang
Hydrology 2025, 12(10), 267; https://doi.org/10.3390/hydrology12100267 - 10 Oct 2025
Cited by 1 | Viewed by 525
Abstract
Soil aggregate stability plays a central role in mediating slope erosion, a key ecological process in North China. This study aimed to investigate how aggregate structures (reflected by rainfall intensity and vegetation-type differences) influence the erosion process. Using wasteland as the control, we [...] Read more.
Soil aggregate stability plays a central role in mediating slope erosion, a key ecological process in North China. This study aimed to investigate how aggregate structures (reflected by rainfall intensity and vegetation-type differences) influence the erosion process. Using wasteland as the control, we conducted artificial simulated rainfall experiments on soils covered by Quercus variabilis, Platycladus orientalis, and shrubs, with three rainfall intensity gradients. Key findings showed that Platycladus orientalis exhibited the strongest infiltration capacity and longest runoff initiation delay due to its high proportion of stable macroaggregates (>0.25 mm), while barren land readily formed surface crusts, leading to the fastest runoff. Increased rainfall intensity significantly exacerbated runoff and erosion. When the macroaggregate content exceeded 60%, sediment yield rates dropped sharply, with a significant negative exponential relationship between the mean weight diameter (MWD) and sediment yield; barren land (dominated by microaggregates) faced the highest erosion risk and fell into an erosion–fragmentation vicious cycle. Redundancy analysis revealed that microbial communities (e.g., Ascomycota) and fine roots were dominant erosion-controlling factors under heavy rainfall. Ultimately, the synergistic system of the macroaggregate architecture and root-microbial cementation enabled Platycladus orientalis and other tree stands to reduce soil erodibility via maintaining aggregate stability, whereas shrubs and barren land amplified rainfall intensity effects. barren landbarren landmm·h−1 mm·h−1 mm·h−1 barren land. Full article
(This article belongs to the Section Soil and Hydrology)
Show Figures

Figure 1

24 pages, 2660 KB  
Article
Determination of Mohr–Coulomb Failure Criterion of Cement-Treated Materials Using Mixture Design Properties
by Mario Castaneda-Lopez, Thomas Lenoir, Luc Thorel and Jean-Pierre Sanfratello
Infrastructures 2025, 10(10), 267; https://doi.org/10.3390/infrastructures10100267 - 9 Oct 2025
Cited by 1 | Viewed by 586
Abstract
The compressive, tensile, and shear strength properties of two cement-stabilized soils (CSS) treated with 2% to 4% of cement are investigated for several different curing times at several densities. The measured Mohr–Coulomb (MC) shear strength features, cohesion (c), and friction angle [...] Read more.
The compressive, tensile, and shear strength properties of two cement-stabilized soils (CSS) treated with 2% to 4% of cement are investigated for several different curing times at several densities. The measured Mohr–Coulomb (MC) shear strength features, cohesion (c), and friction angle (φ) are compared with values reported in the literature for similar materials and are subject to debate depending on the estimation methods used. In addition, an alternative geometric criterion based on indirect tensile strength (ITS) and unconfined compressive strength (UCS) is evaluated. The results show that the value of c determined using the alternative criterion is slightly higher than the value of c measured using the direct shear (DS) test. A relationship between mixture variables and c is established and validated by combining numerical and experimental approaches. The friction angle appears to be constant, independent of mixture parameters. This parameter is underestimated using the geometric approach. Full article
Show Figures

Figure 1

18 pages, 2290 KB  
Article
Modified Additive for Soil Stabilization by Deep Cementation
by Rauan Lukpanov, Zhibek Zhantlessova, Duman Dyussembinov, Adiya Zhumagulova and Assel Jexembayeva
Buildings 2025, 15(19), 3607; https://doi.org/10.3390/buildings15193607 - 8 Oct 2025
Viewed by 363
Abstract
The study considers the development of a paraffin-based additive for cement–sand injection mortars intended for deep soil stabilisation under the geological conditions of Central Kazakhstan. The present study investigates the influence of the additive on mobility, water separation, setting time, and strength characteristics [...] Read more.
The study considers the development of a paraffin-based additive for cement–sand injection mortars intended for deep soil stabilisation under the geological conditions of Central Kazakhstan. The present study investigates the influence of the additive on mobility, water separation, setting time, and strength characteristics of mortars, for concentrations ranging from 0.2 to 1.0% by cement mass. The findings demonstrated that the additive enhanced the slump flow area by up to 62%, diminished water separation by 30–32% and extended the setting time by 45–76%. It was demonstrated that compressive and flexural strength were preserved with moderate increases of up to 8–9% in comparison with the reference mixture. The range of 0.6–0.8% was identified as optimal, providing enhanced mobility and stability while maintaining structural integrity. The findings indicate that paraffin-based additives can be effectively applied in deep cementation technologies for enhancing the injectability and performance of soil stabilization mixtures. Full article
(This article belongs to the Section Building Materials, and Repair & Renovation)
Show Figures

Figure 1

15 pages, 5433 KB  
Article
Comparing Load-Bearing Capacity and Cost of Lime-Stabilized and Granular Road Bases for Rural Road Pavements
by Péter Primusz, Balázs Kisfaludi, Csaba Tóth and József Péterfalvi
Constr. Mater. 2025, 5(4), 74; https://doi.org/10.3390/constrmater5040074 - 3 Oct 2025
Viewed by 809
Abstract
In Hungary, on-site mixed stabilization of cohesive soil is considered only as soil improvement not a proper pavement layer, therefore its bearing capacity is not taken into account when designing pavement. It was our hypothesis that on low-volume roads built on cohesive soil, [...] Read more.
In Hungary, on-site mixed stabilization of cohesive soil is considered only as soil improvement not a proper pavement layer, therefore its bearing capacity is not taken into account when designing pavement. It was our hypothesis that on low-volume roads built on cohesive soil, lime or lime–cement stabilization can be an alternative to granular base layers. A case study was conducted to obtain initial results and to verify the research methodology. The efficacy of lime stabilization was evaluated across eight experimental road sections, with a view of assessing its structural and economic performance in comparison with crushed stone base layers reinforced with geo-synthetics. The results of the testing demonstrated elastic moduli of 120–180 MPa for the lime-stabilized layers, which closely matched the 200–280 MPa range observed for the crushed stone bases. The results demonstrated that lime stabilization offers a comparable load-bearing capacity while being the most cost-effective solution. Furthermore, this approach enhances sustainability by enabling the utilization of local soils, reducing reliance on imported materials, minimizing transport-related costs, and lowering carbon emissions. Lime stabilization provides a durable, environmentally friendly alternative for road construction, effectively addressing the challenges of material scarcity and rising construction costs while supporting infrastructure resilience. The findings highlight its potential to replace traditional base layers without compromising structural performance or economic viability. Full article
Show Figures

Graphical abstract

28 pages, 11514 KB  
Article
Effects of Carbon–Magnesium Reactions on the Physical and Mechanical Properties of Lightweight Carbonated Stabilized Soil
by Li Shao, Wangcheng Yu, Qinglong You, Suran Wang, Xi Du, Bin He, Shichao Tao, Honghui Ding and Chao Bao
Buildings 2025, 15(19), 3571; https://doi.org/10.3390/buildings15193571 - 3 Oct 2025
Viewed by 543
Abstract
Global urbanization has led to massive generation of high-water-content waste slurry, creating serious environmental challenges. Conventional treatment methods are costly and unsustainable, while cement-based foamed lightweight soils typically exhibit low strength and limited CO2 sequestration. To address this issue, this study proposes [...] Read more.
Global urbanization has led to massive generation of high-water-content waste slurry, creating serious environmental challenges. Conventional treatment methods are costly and unsustainable, while cement-based foamed lightweight soils typically exhibit low strength and limited CO2 sequestration. To address this issue, this study proposes a novel stabilization pathway by integrating a MgO–mineral powder–carbide slag composite binder with CO2 foaming–carbonation. The approach enables simultaneous slurry lightweighting, strength enhancement, and CO2 fixation. A series of laboratory tests were conducted to evaluate flowability, density, compressive strength, and deformation characteristics of the carbonated lightweight stabilized slurry. Microstructural analyses, including SEM and XRD, were used to reveal the formation of carbonate phases and pore structures. The results showed that MgO content strongly promoted carbonation, leading to denser microstructures and higher strength, while mineral powder and carbide slag optimized workability and pore stability. Orthogonal testing indicated that a mix with 25% mineral powder, 12.5% MgO, and 7.5% carbide slag achieved the best performance, with unconfined compressive strength up to 0.48 MPa after carbonation. Compared with conventional cement- or GGBS-based foamed lightweight soils, the proposed system exhibits superior strength development, improved pore stability, and enhanced CO2 sequestration potential. These findings demonstrate the feasibility of recycling high-water-content waste slurry into value-added construction materials while contributing to carbon reduction targets. This study not only provides a sustainable solution for waste slurry management but also offers new insights into the integration of CO2 mineralization into geotechnical engineering practice. Full article
(This article belongs to the Section Building Materials, and Repair & Renovation)
Show Figures

Figure 1

21 pages, 5184 KB  
Article
Mechanical Characteristics of Clay-Based Masonry Walls
by Houssam Affan, Wahib Arairo, Firas Barraj, Milad Khatib, Marianne Saba and Yassine El Mendili
Eng 2025, 6(10), 260; https://doi.org/10.3390/eng6100260 - 2 Oct 2025
Viewed by 631
Abstract
The building sector is under increasing pressure to lower its environmental impact, prompting renewed interest in raw soil as a low-carbon and locally available material. This study investigates the mechanical and thermal properties of clay-based masonry walls through a comprehensive experimental program on [...] Read more.
The building sector is under increasing pressure to lower its environmental impact, prompting renewed interest in raw soil as a low-carbon and locally available material. This study investigates the mechanical and thermal properties of clay-based masonry walls through a comprehensive experimental program on earthen mortars, bricks, and their interfaces, considering both stabilized and non-stabilized formulations. Compressive, bending, and shear tests reveal that strength is strongly influenced by mortar composition, hydration time, and the soil-to-sand ratio. The addition of 5–7.5% cement yields modest gains in compressive strength but increases the carbon footprint, whereas extended pre-hydration achieves similar improvements with lower environmental costs. Thermal characterization of the studied samples (SiO2 ≈ 61.2 wt%, Al2O3 ≈ 11.7 wt%, MgO ≈ 5.1 wt%) revealed that SiO2-enriched compositions significantly enhance thermal conductivity, whereas the presence of Al2O3 and MgO contributes to increased heat capacity and improved moisture regulation. These findings suggest that well-optimized clay-based mortars can satisfy the structural and thermal requirements of non-load-bearing applications, offering a practical and sustainable alternative to conventional construction materials. By reducing embodied carbon, enhancing hygrothermal comfort, and relying on locally available resources, such mortars contribute to the advancement of green building practices and the transition towards low-carbon construction. Full article
(This article belongs to the Special Issue Emerging Trends in Inorganic Composites for Structural Enhancement)
Show Figures

Figure 1

25 pages, 24516 KB  
Article
Strength Development and Durability of Cement-Stabilized Tropical Clay–Quarry Dust Mixtures for Pavement Construction
by Obinna Uzodimma Ubani, Esdras Ngezahayo, Charles Malachy O. Nwaiwu and Chidozie Maduabuchukwu Nwakaire
Sustainability 2025, 17(19), 8825; https://doi.org/10.3390/su17198825 - 2 Oct 2025
Viewed by 1150
Abstract
Road and pavement construction require huge volumes of borrowed soils in addition to the foundation soils. Unfortunately, not all soils are suitable for construction purposes. Soil stabilization is a fundamental technique used to enhance the engineering properties of weak ground/soil to meet the [...] Read more.
Road and pavement construction require huge volumes of borrowed soils in addition to the foundation soils. Unfortunately, not all soils are suitable for construction purposes. Soil stabilization is a fundamental technique used to enhance the engineering properties of weak ground/soil to meet the demands of large infrastructure projects, such as roads. It is in this regard that this study investigates the strength development, durability, and effectiveness of cement and quarry dust as stabilizers to enhance the geotechnical properties of a weak tropical clay soil. Cement was added in the range of 0% to 10% while quarry dust was used to partially replace soil in the range of 0% to 50%. The results show significant improvements in the Atterberg limits and strength properties of the tropical clay. The liquid limit reduced from 43.2% to 25.1% while the plasticity index reduced from 17.6% to 10.2% at 50% quarry dust and 10% cement content. Similarly, the maximum dry unit weight increased from 17.4 kN/m3 to 21.3 kN/m3 while the optimum moisture content decreased from 17.1% to 12.9%. The maximum soaked CBR value was 172%, representing a 1497% enhancement over untreated soil. Also, the maximum unconfined compressive strength (UCS) reached 2566 kN/m2 at 28 days of curing, representing a 1793.73% increase when compared to the untreated soil. Cement content was found to be the predominant factor influencing strength development. The study shows that cement–quarry dust blends compacted at high energy can be adopted in sustainable road construction. Full article
(This article belongs to the Section Sustainable Materials)
Show Figures

Figure 1

Back to TopTop