Sign in to use this feature.

Years

Between: -

Subjects

remove_circle_outline
remove_circle_outline
remove_circle_outline
remove_circle_outline
remove_circle_outline
remove_circle_outline
remove_circle_outline
remove_circle_outline
remove_circle_outline

Journals

remove_circle_outline
remove_circle_outline
remove_circle_outline
remove_circle_outline
remove_circle_outline
remove_circle_outline
remove_circle_outline
remove_circle_outline
remove_circle_outline
remove_circle_outline
remove_circle_outline
remove_circle_outline
remove_circle_outline
remove_circle_outline
remove_circle_outline
remove_circle_outline
remove_circle_outline

Article Types

Countries / Regions

remove_circle_outline
remove_circle_outline
remove_circle_outline
remove_circle_outline
remove_circle_outline
remove_circle_outline

Search Results (2,045)

Search Parameters:
Keywords = small molecule compound

Order results
Result details
Results per page
Select all
Export citation of selected articles as:
27 pages, 3220 KB  
Article
Heteroaromatic Hybrid Benzimidazole/Oxadiazole (BZ/OZ) Ligand and Its Sm(III) Complex: Study of Their Antibacterial Activity, Toxicological Prediction and Interaction with Different Model Membranes
by Alberto Aragón-Muriel, Alessio Ausili, Luciana Sampaio Lima, Cleydson B. R. Santos, David Morales-Morales and Dorian Polo-Cerón
Biomolecules 2025, 15(11), 1568; https://doi.org/10.3390/biom15111568 - 7 Nov 2025
Viewed by 177
Abstract
Two heteroaromatic hybrid compounds were synthesized and characterized using various analytical techniques. The results indicate that the benzimidazole/oxadiazole (BZ/OZ) metal derivative exhibits a tridentate coordination mode, where the carbonyl, imidazole and oxadiazole groups participate in coordination with the metal, in a ratio of [...] Read more.
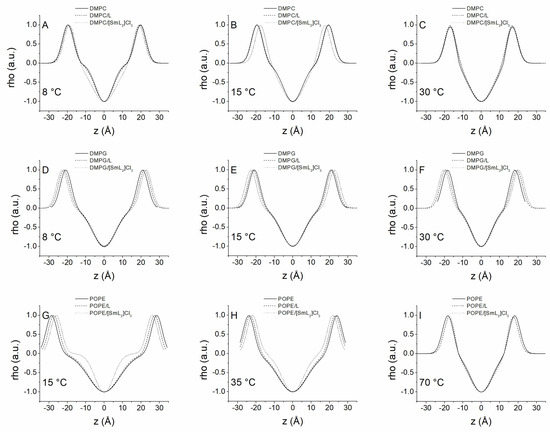
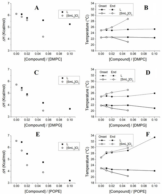
Two heteroaromatic hybrid compounds were synthesized and characterized using various analytical techniques. The results indicate that the benzimidazole/oxadiazole (BZ/OZ) metal derivative exhibits a tridentate coordination mode, where the carbonyl, imidazole and oxadiazole groups participate in coordination with the metal, in a ratio of 2:1 of the ligand to the metal. The antibacterial activities of the organic ligand and its metal complex were determined by in vitro tests against both Gram-positive bacterial strains and Gram-negative bacterial strains using the broth microdilution method. The metal complex showed greater antibacterial activities compared to the precursor ligand against all evaluated microorganisms. The results obtained through in silico predictions revealed significant toxicological differences among the analyzed molecules, suggesting special attention in the use of the ligand due to its possible carcinogenicity in mice and a need for structural modifications in the complex to reduce its carcinogenicity and toxicity. Furthermore, a biophysical study of the interaction of the BZ/OZ derivatives with different model membranes was explored through differential scanning calorimetry (DSC), simultaneous small- and wide-angle X-ray diffraction (SAXD and WAXD) and infrared spectroscopy (FT-IR). The results indicate that the compounds influenced membrane properties without significantly altering the lamellar organization. The findings suggest potential applications in understanding lipid interactions, elucidating toxicology and developing antibacterial agents. Full article
Show Figures

Figure 1

25 pages, 4122 KB  
Article
Small Molecule Inhibitors of Nicotinamide N-Methyltransferase Enzyme for the Treatment of Osteosarcoma and Merkel Cell Carcinoma: Potential for the Development of a Targeted Therapeutic Strategy
by Veronica Pompei, Monia Cecati, Emma Nicol Serritelli, Eleonora Gerini, Roberto Campagna, Valentina Pozzi, Matthijs J. Van Haren, Nathaniel I. Martin, Monica Emanuelli and Davide Sartini
Biomolecules 2025, 15(11), 1553; https://doi.org/10.3390/biom15111553 - 5 Nov 2025
Viewed by 297
Abstract
Nicotinamide N-methyltransferase (NNMT) enzyme catalyzes the N-methylation of nicotinamide and its overexpression has been reported in many neoplasms, favoring traits featuring an aggressive tumor cell phenotype. Our recent data demonstrated that NNMT upregulation in osteosarcoma (OS) and Merkel cell carcinoma (MCC) led to [...] Read more.
Nicotinamide N-methyltransferase (NNMT) enzyme catalyzes the N-methylation of nicotinamide and its overexpression has been reported in many neoplasms, favoring traits featuring an aggressive tumor cell phenotype. Our recent data demonstrated that NNMT upregulation in osteosarcoma (OS) and Merkel cell carcinoma (MCC) led to a significant increase in cell proliferation and migration ability, together with a reduction in sensitivity to chemotherapeutic treatment. Based on these findings, we investigated the impact of small molecule NNMT inhibitors 5-amino-1-methyl quinolinium (5-AMQ), 6-methoxynicotinamide (6MeONa) and Eli Lilly’s pyrimidine 5-carboxamide (EL-1) on U-2 OS and Saos-2 OS cell lines and MCC13 and MCC26 MCC cell lines. Following incubation of the cells with these compounds, cell viability, reactive oxygen species (ROS) production and apoptosis induction were evaluated. Cells were then subjected to combined treatment with inhibitors and cisplatin (CDDP), and viability and ROS levels were further analyzed. Our results clearly illustrate that cells treated with NNMT inhibitors underwent significant reductions in viability, increased ROS production and activation of apoptotic pathways. Given the association of NNMT with cancer aggressiveness, inhibiting its catalytic activity might present a novel strategy for counteracting cancer growth and chemoresistance, providing the rationale for an effective anti-cancer therapy based on the use of specific NNMT inhibitors. Full article
Show Figures

Figure 1

14 pages, 2333 KB  
Article
Identification of Small Molecules as Zika Virus Entry Inhibitors
by Abhijeet Roy, Hansam Cho, Kristin V. Lyles, Wen Lu, Ming Luo, Asim K. Debnath and Lanying Du
Int. J. Mol. Sci. 2025, 26(21), 10726; https://doi.org/10.3390/ijms262110726 - 4 Nov 2025
Viewed by 333
Abstract
Zika virus (ZIKV) caused Zika outbreaks and continues to post threats to public health. ZIKV infection may cause congenital abnormalities during pregnancy and neurological manifestations in adults. The recurrent public health threat of Zika in various geographical areas demonstrates a need for the [...] Read more.
Zika virus (ZIKV) caused Zika outbreaks and continues to post threats to public health. ZIKV infection may cause congenital abnormalities during pregnancy and neurological manifestations in adults. The recurrent public health threat of Zika in various geographical areas demonstrates a need for the development of effective therapeutics. Currently, there are no approved therapies for Zika. ZIKV is a single-stranded, positive-sense RNA virus, whose genome encodes three structural proteins and seven non-structural proteins. The surface envelope (E) protein is essential for host–cell recognition and viral entry; therefore, inhibition of E-mediated viral entry is a key strategy underlying antiviral treatments. Here, molecular docking-based virtual screening was used to screen small-molecule compound libraries to identify potential ZIKV entry inhibitors. Among the compounds identified, Pyrimidine-Der1 exhibited efficient inhibition of reporter ZIKV infection. The microscale thermophoresis assay confirmed its binding with the ZIKV E protein. This compound has effective inhibition of authentic ZIKV infection in a plaque inhibition assay against R103451, PAN2016, and FLR human strains (IC50: ~3–5 μM). Additionally, it efficiently inhibited ZIKV infection at viral entry and fusion steps of the virus life cycle in a time-of-addition assay. Overall, Pyrimidine-Der1 is a promising ZIKV entry inhibitor, warranting further optimization and evaluation. Full article
(This article belongs to the Special Issue Small Molecule Drug Design and Research: 3rd Edition)
Show Figures

Figure 1

6 pages, 393 KB  
Short Note
(Z)-6-((Dimethylamino)methylene)-2-methyl-2,3-dihydroimidazo[2,1-b]thiazol-5(6H)-one
by Lesya Saliyeva, Serhii Holota, Nataliia Slyvka and Mykhailo Vovk
Molbank 2025, 2025(4), M2081; https://doi.org/10.3390/M2081 - 1 Nov 2025
Viewed by 228
Abstract
Imidazothiazoles are important and attractive scaffolds for the design of potential biologically active small molecules. Dialkylenamines are convenient building blocks and are often used as intermediate reagents for the synthesis of various heterocyclic systems such as pyrimidine, pyridine, pyrazole, etc. In the present [...] Read more.
Imidazothiazoles are important and attractive scaffolds for the design of potential biologically active small molecules. Dialkylenamines are convenient building blocks and are often used as intermediate reagents for the synthesis of various heterocyclic systems such as pyrimidine, pyridine, pyrazole, etc. In the present paper, the simple and effective synthesis of (Z)-6-((dimethylamino)methylene)-2-methyl-2,3-dihydroimidazo[2,1-b]thiazol-5(6H)-one (2) is reported. The proposed method, based on the reflux of 2-methyl-2,3-dihydroimidazo[2,1-b]thiazol-5(6H)-one with N,N-dimethylformamide dimethyl acetal, leads to an 80% yield of title compound 2. The structure of the synthesized compound 2 was confirmed using 1H, 13C NMR, and LC-MS spectra. The applied protocol demonstrates practical advantages such as the absence of a solvent, a simple work-up, and the possibility of scale-up. Full article
Show Figures

Graphical abstract

13 pages, 1967 KB  
Article
Deciphering the Anti-Cancer Efficacy of the Combination of Small-Molecule Inhibitor KAN0438757 and Curcumin in Lung Cancer Cell Lines
by Deniz Özdemir and Can Ali Ağca
Curr. Issues Mol. Biol. 2025, 47(11), 892; https://doi.org/10.3390/cimb47110892 - 28 Oct 2025
Viewed by 276
Abstract
Lung cancer is among the most aggressive malignancies, with the highest incidence and mortality rates worldwide. Standard treatments include surgery, radiotherapy, and chemotherapy; however, chemoresistance often develops, reducing therapeutic efficacy. Combination therapy offers a promising strategy to enhance drug effectiveness and overcome resistance. [...] Read more.
Lung cancer is among the most aggressive malignancies, with the highest incidence and mortality rates worldwide. Standard treatments include surgery, radiotherapy, and chemotherapy; however, chemoresistance often develops, reducing therapeutic efficacy. Combination therapy offers a promising strategy to enhance drug effectiveness and overcome resistance. In lung cancer, the increased energy demands within cells result in a marked rise in the expression of PFKFB3, a regulatory protein involved in the glucose metabolic pathway. The small-molecule inhibitor KAN0438757, recognized as a novel PFKFB3 inhibitor, is significant in targeted therapy due to its essential role in the DNA damage response mechanism in cancer cells. Curcumin, the primary bioactive compound found in the rhizomes of Curcuma longa, has demonstrated a variety of biological functions and anticancer properties. This study aimed to evaluate the anticancer effects of KAN0438757 in combination with curcumin in lung cancer cells. Evaluation of cell viability and IC50 values (KAN0438757: A549, 41.13 µM; H1299, 53.74 µM; Curcumin: A549, 44.37 µM; H1299, 66.25 µM) using the WST-1 and RTCA assays revealed pronounced inhibition of proliferation in the combination groups, accompanied by decreased cell migration (fold change, untreated cell; 1, CUR-20 µM; 0.681, KAN-20 µM; 0.530, and COMB; 0.0039 for 48 h). The comet assay revealed severe DNA damage (Tail DNA, fold change, untreated cell; 1, CUR-20 µM; 1.2, KAN-20 µM; 3, and COMB; 4.6) in the A549 cells, while MMP analysis (color change from red to green) and apoptotic staining confirmed cell death morphologically (color change from green to orange). Moreover, Western blot analysis demonstrated that the combination markedly enhanced apoptosis in the A549 cells. Full article
(This article belongs to the Section Biochemistry, Molecular and Cellular Biology)
Show Figures

Graphical abstract

30 pages, 1307 KB  
Review
Ferroptosis in Oral Cancer: Mechanistic Insights and Clinical Prospects
by Jaewang Lee and Jong-Lyel Roh
Cells 2025, 14(21), 1685; https://doi.org/10.3390/cells14211685 - 27 Oct 2025
Viewed by 338
Abstract
Ferroptosis, an iron-dependent form of regulated cell death characterized by lipid peroxidation, has emerged as a pivotal vulnerability in oral squamous cell carcinoma (OSCC). This review provides an overview of ferroptosis mechanisms and their implications for OSCC pathobiology and therapy. OSCC cells exhibit [...] Read more.
Ferroptosis, an iron-dependent form of regulated cell death characterized by lipid peroxidation, has emerged as a pivotal vulnerability in oral squamous cell carcinoma (OSCC). This review provides an overview of ferroptosis mechanisms and their implications for OSCC pathobiology and therapy. OSCC cells exhibit heightened reliance on anti-ferroptotic defenses such as GPX4, SLC7A11, FSP1, and Nrf2, and disrupting these pathways suppresses tumor growth and restores sensitivity to chemotherapy, radiotherapy, and immunotherapy. Genetic and epigenetic regulators, including p53, PER1, circ_0000140, and STARD4-AS1, critically modulate ferroptotic sensitivity, while metabolic enzymes such as ACSL4, LPCAT3, and TPI1 link ferroptosis to cellular plasticity and resistance. Preclinical studies highlight the promise of small-molecule inhibitors, repurposed agents (e.g., sorafenib, artesunate, trifluoperazine), natural compounds (e.g., piperlongumine, Evodia lepta, quercetin), and nanomedicine platforms for targeted ferroptosis induction. We further address ferroptosis within the tumor microenvironment, highlighting its immunogenic and context-dependent dual roles, and summarize genomic and transcriptomic evidence linking ferroptosis-related genes to patient prognosis. Beyond cancer, ferroptosis also contributes to non-malignant oral diseases, including pulpitis, periodontitis, and infection-associated inflammation, where inhibitors may protect tissues. Despite these advances, clinical translation is constrained by the lack of safe ferroptosis inducers and validated biomarkers. Future research should focus on developing pharmacologically viable GPX4 inhibitors, refining biomarker-driven patient stratification, and designing multimodal regimens that combine ferroptosis induction with standard therapies while preserving immune and tissue integrity. Ferroptosis therefore represents both a mechanistic framework and a translational opportunity to reshape oral oncology and broader oral disease management. Full article
Show Figures

Figure 1

20 pages, 4534 KB  
Article
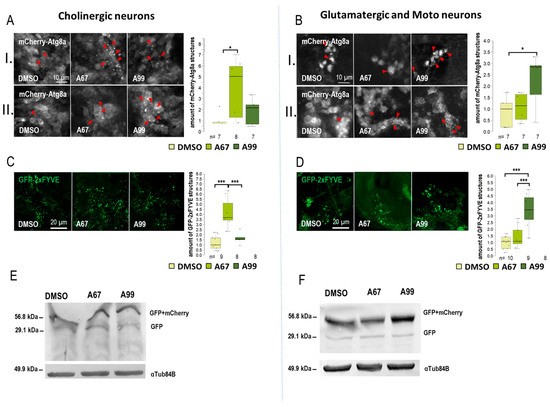
Comparative Analysis of Two Autophagy-Enhancing Small Molecules (AUTEN-67 and -99) in a Drosophila Model of Spinocerebellar Ataxia Type 1
by Tímea Burján, Maryam Aslam, Fanni Keresztes, Tímea Sigmond, Viktor A. Billes, Norbert Bencsik, Katalin Schlett, Tibor Vellai and Tibor Kovács
Int. J. Mol. Sci. 2025, 26(21), 10443; https://doi.org/10.3390/ijms262110443 - 27 Oct 2025
Viewed by 277
Abstract
Autophagy is a lysosome-mediated self-degradation process of eukaryotic cells which is critical for the elimination of cellular damage. Its capacity progressively declines with age, and this change can lead to the development of various neurodegenerative pathologies including Spinocerebellar ataxia type 1 (SCA1). SCA1 [...] Read more.
Autophagy is a lysosome-mediated self-degradation process of eukaryotic cells which is critical for the elimination of cellular damage. Its capacity progressively declines with age, and this change can lead to the development of various neurodegenerative pathologies including Spinocerebellar ataxia type 1 (SCA1). SCA1 is mainly caused by mutations in the polyglutamine region of Ataxin 1 protein. In patients affected by the disease, Purkinje neurons of the cerebellum frequently undergo demise and eventually become lost. Here we tested whether two well-characterized autophagy-enhancing small molecules, AUTEN-67 and -99, which antagonize the autophagy complex Vps34 through blocking the myotubularin-related lipid phosphatase MTMR14/EDTP, have the capacity to ameliorate SCA1 symptoms. We found that in a Drosophila model of SCA1, only AUTEN-67 exerts positive effects including improvement in climbing ability and extending life span. Based on these results, we hypothesized that the two compounds influence autophagy in the brain in a neuron-specific manner. Indeed, according to data we obtained, AUTEN-67 and -99 exhibit shared and unique functional domains in the Drosophila brain. AUTENs enhance autophagy in GABAergic and dopaminergic neurons. In addition, AUTEN-67 also affect autophagy in cholinergic neurons, while AUTEN-99 trigger the process in glutaminergic neurons and motoneurons. We also observed varying efficiencies between the two AUTENs among different subtypes of cultured hippocampal neurons of mice. These data suggest that the two compounds display neuron-specific differences in exerting autophagy-enhancing effects, and may lead to a better understanding of which types of neurons autophagy could potentially be activated to treat SCA1 in human patients. Full article
Show Figures

Figure 1

24 pages, 751 KB  
Review
Integrating Advanced Metabolomics and Machine Learning for Anti-Doping in Human Athletes
by Mohannad N. AbuHaweeleh, Ahmad Hamdan, Jawaher Al-Essa, Shaikha Aljaal, Nasser Al Saad, Costas Georgakopoulos, Francesco Botre and Mohamed A. Elrayess
Metabolites 2025, 15(11), 696; https://doi.org/10.3390/metabo15110696 - 27 Oct 2025
Viewed by 713
Abstract
The ongoing challenge of doping in sports has triggered the adoption of advanced scientific strategies for the detection and prevention of doping abuse. This review examines the potential of integrating metabolomics aided by artificial intelligence (AI) and machine learning (ML) for profiling small-molecule [...] Read more.
The ongoing challenge of doping in sports has triggered the adoption of advanced scientific strategies for the detection and prevention of doping abuse. This review examines the potential of integrating metabolomics aided by artificial intelligence (AI) and machine learning (ML) for profiling small-molecule metabolites across biological systems to advance anti-doping efforts. While traditional targeted detection methods serve a primarily forensic role—providing legally defensible evidence by directly identifying prohibited substances—metabolomics offers complementary insights by revealing both exogenous compounds and endogenous physiological alterations that may persist beyond direct drug detection windows, rather than serving as an alternative to routine forensic testing. High-throughput platforms such as UHPLC-HRMS and NMR, coupled with targeted and untargeted metabolomic workflows, can provide comprehensive datasets that help discriminate between doped and clean athlete profiles. However, the complexity and dimensionality of these datasets necessitate sophisticated computational tools. ML algorithms, including supervised models like XGBoost and multi-layer perceptrons, and unsupervised methods such as clustering and dimensionality reduction, enable robust pattern recognition, classification, and anomaly detection. These approaches enhance both the sensitivity and specificity of diagnostic screening and optimize resource allocation. Case studies illustrate the value of integrating metabolomics and ML—for example, detecting recombinant human erythropoietin (r-HuEPO) use via indirect blood markers and uncovering testosterone and corticosteroid abuse with extended detection windows. Future progress will rely on interdisciplinary collaboration, open-access data infrastructure, and continuous methodological innovation to fully realize the complementary role of these technologies in supporting fair play and athlete well-being. Full article
(This article belongs to the Special Issue Artificial Intelligence and Machine Learning in Metabolomics)
Show Figures

Graphical abstract

21 pages, 414 KB  
Review
Small-Molecule GLP-1 Receptor Agonists: A Promising Pharmacological Approach
by Oana Cristina Șeremet, Ciprian Pușcașu, Corina Andrei, Georgiana Nițulescu, Cristina Elena Zbârcea and Octavian Tudorel Olaru
Medicina 2025, 61(11), 1902; https://doi.org/10.3390/medicina61111902 - 23 Oct 2025
Viewed by 1251
Abstract
Glucagon-like peptide-1 receptor (GLP-1R) agonists are injectable peptide-based therapies that have become a focal point in the medical community due to their significant therapeutic efficacy in type 2 diabetes and obesity treatment. Recent advancements in medicinal chemistry have enabled the development of small-molecule [...] Read more.
Glucagon-like peptide-1 receptor (GLP-1R) agonists are injectable peptide-based therapies that have become a focal point in the medical community due to their significant therapeutic efficacy in type 2 diabetes and obesity treatment. Recent advancements in medicinal chemistry have enabled the development of small-molecule GLP-1R agonists, presenting advantages such as oral administration, improved patient adherence, and cost-effectiveness. These compounds demonstrate promising efficacy in enhancing insulin secretion and promoting weight loss, in a similar way to peptide agonists. This narrative review focuses on the pharmacodynamic profiles and the current progress in clinical and preclinical research on small-molecule GLP-1R agonists. As this class of agents continues to evolve, it represents a compelling therapeutic alternative with the potential to reshape the treatment for metabolic disorders. Full article
(This article belongs to the Special Issue Breakthroughs in Clinical Diabetes, Obesity and Metabolic Diseases)
28 pages, 8307 KB  
Article
Design, Synthesis and Biological Evaluation of Pyrazolopyrimidine Derivatives as Aryl Hydrocarbon Receptor Antagonists for Colorectal Cancer Immunotherapy
by Byeong Wook Choi, Jae-Eon Lee, Da Bin Jeon, Pyeongkeun Kim, Gwi Bin Lee, Saravanan Parameswaran, Ji Yun Jang, Gopalakrishnan Chandrasekaran, So Yeon Jeong, Geumi Park, Kyoung-jin Min, Heegyum Moon, Jihyeon Yoon, Yerim Heo, Donggun Kim, Se Hwan Ahn, You Jeong Choi, Seong Soon Kim, Jung Yoon Yang, Myung Ae Bae, Yong Hyun Jeon, Seok-Yong Choi and Jin Hee Ahnadd Show full author list remove Hide full author list
Pharmaceutics 2025, 17(10), 1359; https://doi.org/10.3390/pharmaceutics17101359 - 21 Oct 2025
Viewed by 546
Abstract
Background: Aryl hydrocarbon receptor (AhR) is a transcription factor that is involved in the regulation of immunity. AhR inhibits T cell activation in tumors, which induces immune suppression in the blood and solid tumors. We identified effective small-molecule AhR antagonists for cancer immunotherapy. [...] Read more.
Background: Aryl hydrocarbon receptor (AhR) is a transcription factor that is involved in the regulation of immunity. AhR inhibits T cell activation in tumors, which induces immune suppression in the blood and solid tumors. We identified effective small-molecule AhR antagonists for cancer immunotherapy. Methods: A new series of pyrazolopyrimidine derivatives was synthesized and evaluated for AhR antagonistic activity. Results: Compound 7k exhibited significant antagonistic activity against AhR in a transgenic zebrafish model. In addition, 7k exhibited good AhR antagonist activity, with a half-maximal inhibitory concentration (IC50) of 13.72 nM. Compound 7k showed a good pharmacokinetic profile with an oral bioavailability of 71.0% and a reasonable half-life of 3.77 h. Compound 7k selectively exerted anti-proliferative effects on colorectal cancer cells without affecting normal cells, concurrently suppressing the expression of AhR-related genes and the PD-1/PD-L1 signaling pathway. Compound 7k exhibited potent antitumor activity in syngeneic colorectal cancer models. Importantly, the combination of anti-PD1 and compound 7k enhanced antitumor immunity by augmenting cytotoxic T lymphocyte (CTL)-mediated activity. Conclusions: Collectively, a new pyrazolopyrimidine derivative, 7k, shows promise as a potential therapeutic agent for treating colorectal cancer. Full article
(This article belongs to the Special Issue Small-Molecule Inhibitors for Novel Therapeutics)
Show Figures

Graphical abstract

20 pages, 5854 KB  
Article
Berbamine Targets TNFAIP3: A Bioactive Compound Alleviates Oxidative Stress and Inflammation in the Comorbidity of Insomnia and Chronic Obstructive Pulmonary Disease Through Multi-Omics Integration
by Xinliao Deng, Shuaiyu Jiang, Ziyi Liu, Xinyu Liu, Tao Lu and Xiaodan Liu
Int. J. Mol. Sci. 2025, 26(20), 10227; https://doi.org/10.3390/ijms262010227 - 21 Oct 2025
Viewed by 560
Abstract
Chronic obstructive pulmonary disease (COPD) and insomnia are highly comorbid, yet their shared pathogenesis and therapeutic targets remain unclear. This study employed multidimensional approaches—including bidirectional Mendelian randomization (MR), transcriptomic analysis, weighted gene co-expression network analysis (WGCNA), and computational drug repositioning—to investigate causal relationships, [...] Read more.
Chronic obstructive pulmonary disease (COPD) and insomnia are highly comorbid, yet their shared pathogenesis and therapeutic targets remain unclear. This study employed multidimensional approaches—including bidirectional Mendelian randomization (MR), transcriptomic analysis, weighted gene co-expression network analysis (WGCNA), and computational drug repositioning—to investigate causal relationships, shared pathways, and therapeutic strategies for COPD–insomnia comorbidity. MR analysis indicated that insomnia is a causal risk factor for COPD (OR = 2.04, 95% CI: 1.18–3.51; p = 0.011), with no reverse causality. Integrated transcriptomics of COPD (GSE148004) and insomnia (GSE208668) identified 230 co-dysregulated genes enriched in immune-inflammatory pathways (e.g., NF-κB signaling and cytokine response) and oxidative stress. Protein–protein interaction networks highlighted TNFAIP3 as a hub gene, confirmed by LASSO regression as a shared diagnostic biomarker. A co-expression network of 190 overlapping genes linked circadian disruption and airway inflammation. Drug repositioning nominated TNFAIP3-targeting agents, and molecular docking revealed high-affinity binding between berbamine and the TNFAIP3 OTU domain (ΔG = −9.25 kcal/mol). TNFAIP3 emerges as a dual regulator of inflammatory signaling and redox homeostasis. Our systems pharmacology approach bridges epidemiological causality and molecular mechanisms, supporting single-agent polypharmacology for COPD–insomnia comorbidity. Full article
(This article belongs to the Special Issue Effects of Bioactive Compounds in Oxidative Stress and Inflammation)
Show Figures

Graphical abstract

43 pages, 7803 KB  
Article
Using a Novel Consensus-Based Chemoinformatics Approach to Predict ADMET Properties and Druglikeness of Tyrosine Kinase Inhibitors
by Evangelos Mavridis and Dimitra Hadjipavlou-Litina
Int. J. Mol. Sci. 2025, 26(20), 10207; https://doi.org/10.3390/ijms262010207 - 20 Oct 2025
Viewed by 379
Abstract
The urgent need to reduce the cost of new drug discovery has led us to create a new, more selective screening method using free chemoinformatics tools to restrict the high failure rates of lead compounds (>90%) during the development process because of the [...] Read more.
The urgent need to reduce the cost of new drug discovery has led us to create a new, more selective screening method using free chemoinformatics tools to restrict the high failure rates of lead compounds (>90%) during the development process because of the lack of clinical efficacy (40–50%), unmanageable toxicity (30%), and poor drug-like properties (10–15%). Our efforts focused on new molecular entities (NMEs) with reported activity as tyrosine kinase inhibitors (small molecules) as a class of great potential. The criteria for the new method are acceptable Druglikeness, desirable ADME (absorption, distribution, metabolism, and excretion), and low toxicity. After a bibliographic review, we first selected the 29 most promising compounds, always according to the literature, then collected the in silico calculated data from different platforms, and finally processed them together to conclude at 14 compounds meeting the aforementioned criteria. The novelty of the present screening method is that for the evaluation of the compounds for Druglikeness, and ADMET properties (absorption, distribution, metabolism, excretion, and toxicity), the data of the different platforms were used as a whole, rather than the results of each platform individually. Additionally, we validated our new consensus-based method by comparing the final in silico results with the experimental values of FDA (Food and Drug Administration)-approved tyrosine kinase drugs. Using inferential statistics of 39 FDA-approved tyrosine kinase drugs obtained after applying our method, we delineated the intervals of the desired values of the physicochemical properties of future active compounds. Finally, molecular docking studies enhance the credibility of the applied method as an identification tool of Druglikeness. Full article
(This article belongs to the Special Issue Computational Studies in Drug Design and Discovery)
Show Figures

Graphical abstract

33 pages, 12187 KB  
Article
A Hybrid In Silico Approach for Identifying Dual VEGFR/RAS Inhibitors as Potential Anticancer and Anti-Angiogenic Agents
by Alessia Bono, Gabriele La Monica, Federica Alamia, Dennis Tocco, Antonino Lauria and Annamaria Martorana
Pharmaceuticals 2025, 18(10), 1579; https://doi.org/10.3390/ph18101579 - 18 Oct 2025
Viewed by 400
Abstract
Background: Angiogenesis, the physiological process by which new blood vessels originate from pre-existing ones, can be triggered by tumor cells to promote the growth, survival, and progression of cancer. Malignant tumors require a constant blood supply to meet their needs for oxygen [...] Read more.
Background: Angiogenesis, the physiological process by which new blood vessels originate from pre-existing ones, can be triggered by tumor cells to promote the growth, survival, and progression of cancer. Malignant tumors require a constant blood supply to meet their needs for oxygen and nutrients, making angiogenesis a key process in tumor development. Its pathologic role is caused by the dysregulation of signaling pathways, particularly those involving VEGFR-2, a key mediator of angiogenesis, and the K-RAS G12C mutant, a promoter of VEGF expression. Given their critical involvement in tumor progression, these targets represent promising candidates for new cancer therapies. Methods and Results: In this study, we applied an in silico hybrid and hierarchical virtual screening approach to identify potential dual VEGFR-2/K-RAS G12C inhibitors with anticancer and antiangiogenic properties. To this end, we screened the National Cancer Institute (NCI) database through ADME filtering tools. The refined dataset was then submitted to the ligand-based Biotarget Predictor Tool (BPT) in a multitarget mode. Subsequently, structure-based analysis, including molecular docking studies on VEGFR and K-RAS G12C, was performed to investigate the interactions of the most promising small molecules with both targets. Conclusions: Finally, the molecular dynamics simulations suggested compound 737734 as a promising small molecule with high stability in complex with both VEGFR-2 and K-RAS G12C, highlighting its potential as a dual-target inhibitor for cancer therapy. Full article
(This article belongs to the Special Issue Application of Computer Simulation in Drug Design)
Show Figures

Graphical abstract

27 pages, 13228 KB  
Article
A Hybrid Machine Learning Pipeline for Reliable Prediction of Potential HIV-1 Inhibitors
by Ciprian-Bogdan Chirila, Lucia Gradinaru and Luminita Crisan
Processes 2025, 13(10), 3327; https://doi.org/10.3390/pr13103327 - 17 Oct 2025
Viewed by 570
Abstract
The discovery of potent antiviral inhibitors remains a major challenge in combating viral infections. In this study, we present a hybrid computational pipeline that integrates machine learning for accurate prediction of small-molecule HIV-1 inhibitors. Five classification algorithms were trained on 7552 known inhibitors [...] Read more.
The discovery of potent antiviral inhibitors remains a major challenge in combating viral infections. In this study, we present a hybrid computational pipeline that integrates machine learning for accurate prediction of small-molecule HIV-1 inhibitors. Five classification algorithms were trained on 7552 known inhibitors from ChEMBL using five classes of molecular fingerprints. Among these, Random Forest (RFC) models consistently outperformed the others, achieving accuracy values of 0.9526 to 0.9932, while K-Nearest Neighbors (KNN) and Multilayer Perceptron (MLP) models, although slightly less accurate, still demonstrated robust performance, with accuracies ranging from 0.9170 to 0.9482 and 0.9071 to 0.9179 for selected descriptors, respectively. Based on model predictions, 4511 natural compounds from the COCONUT database were identified as potential inhibitors. After 3D shape similarity filtering (Tanimoto Combo > 1 and Shape Tanimoto > 0.8), eight top-ranked compounds were prioritized for further assessment of their physicochemical, ADMET, and drug-likeness properties. Two natural compounds, CNP0194477 and CNP0393067, were identified as the most promising candidates, showing low cardiotoxicity (hERG risk: 0.096 and 0.112), favorable hepatotoxicity and genotoxicity profiles, and good predicted oral absorption. This integrated workflow provides a robust and efficient computational strategy for the identification of natural compounds with antiviral potential, facilitating the selection of promising HIV-1 inhibitors for further experimental validation. Full article
Show Figures

Figure 1

84 pages, 7286 KB  
Article
Network-Medicine-Guided Drug Repurposing for Alzheimer’s Disease: A Multi-Dimensional Systems Pharmacology Approach
by Ömer Akgüller, Mehmet Ali Balcı and Gabriela Cioca
Int. J. Mol. Sci. 2025, 26(20), 10003; https://doi.org/10.3390/ijms262010003 - 14 Oct 2025
Viewed by 868
Abstract
Alzheimer’s disease (AD) drug development faces persistent challenges from blood–brain barrier limitations and inadequate integration of medicinal chemistry considerations with computational predictions. We developed a comprehensive Central Nervous System (CNS)-focused network medicine framework integrating machine-learning-validated BBB penetration prediction (95.7% accuracy, 0.992 AUC-ROC), modality-specific [...] Read more.
Alzheimer’s disease (AD) drug development faces persistent challenges from blood–brain barrier limitations and inadequate integration of medicinal chemistry considerations with computational predictions. We developed a comprehensive Central Nervous System (CNS)-focused network medicine framework integrating machine-learning-validated BBB penetration prediction (95.7% accuracy, 0.992 AUC-ROC), modality-specific tractability assessment, and transparent evidence classification to identify viable drug repurposing candidates. CNS-specific pre-filtering refined 24,474 DGIdb compounds to 8247 CNS-relevant drugs, analyzed through multi-dimensional network scoring and systematic pharmaceutical property assessment. Modality stratification generated separate rankings for small molecules (3667 candidates), peptides (73 candidates), and biologics (3 candidates), acknowledging distinct BBB penetration mechanisms. Analysis revealed 64.8% of small molecules achieving Class I (Highly Tractable) status, with 83.6% demonstrating favorable BBB penetration. Plerixafor emerged as the top-ranked small molecule (score: 1.170), while trofinetide achieved the highest peptide ranking (score: 1.387), though classified as speculative, pending AD-specific validation. Successful identification of the FDA-approved AD therapeutics memantine and donepezil among the top candidates validated the computational performance, while the predominance of mechanistic evidence classifications (86.7%) highlighted that network predictions represent hypothesis-generating tools requiring systematic experimental validation rather than definitive therapeutic recommendations. The framework bridges computational predictions with pharmaceutical development requirements, providing actionable prioritization for systematic preclinical investigation addressing AD intervention. Full article
Show Figures

Figure 1

Back to TopTop