Sign in to use this feature.

Years

Between: -

Subjects

remove_circle_outline
remove_circle_outline
remove_circle_outline
remove_circle_outline
remove_circle_outline
remove_circle_outline
remove_circle_outline

Journals

Article Types

Countries / Regions

Search Results (81)

Search Parameters:
Keywords = sagittal view

Order results
Result details
Results per page
Select all
Export citation of selected articles as:
12 pages, 1562 KB  
Article
Association Between Carotid Artery Small Plaque on Computed Tomography Angiography and Embolic Stroke of Undetermined Source
by Junpei Nagasawa, Tatsuhiro Yokoyama, Makiko Ogawa, Ryuichi Okamoto, Mari Shibukawa, Junya Ebina, Takehisa Hirayama and Osamu Kano
Neurol. Int. 2025, 17(9), 148; https://doi.org/10.3390/neurolint17090148 - 14 Sep 2025
Viewed by 649
Abstract
Objectives: While traditionally, carotid plaques with significant stenosis have been considered major embolic sources, recent evidence suggests that even non-stenotic small plaques with a <50% stenosis rate may contribute to cerebral infarction. Herein, we evaluated the relationship between non-stenotic small plaques and [...] Read more.
Objectives: While traditionally, carotid plaques with significant stenosis have been considered major embolic sources, recent evidence suggests that even non-stenotic small plaques with a <50% stenosis rate may contribute to cerebral infarction. Herein, we evaluated the relationship between non-stenotic small plaques and embolic stroke of undetermined source (ESUS) using computed tomography angiography (CTA). Materials and Methods: We retrospectively reviewed our single-institutional database of hospitalized patients with stroke between April 2017 and December 2022 and enrolled them with ESUS. We evaluated the presence or absence of non-stenotic carotid artery plaque lesions ipsilateral and contralateral to the cerebral infarction lesion using CTA. A neurologist, blinded to the stroke side and all other clinical information, reviewed each CTA and viewed the axial and sagittal CTA source images. In each image, a line perpendicular to the vessel wall was drawn and the plaque diameter was measured. The largest part was considered as the maximum plaque diameter. Results: A total of 951 patients with stroke were hospitalized during the study period. Among these, 35 patients with unilateral anterior circulation ESUS were enrolled. Plaque prevalence > 3 mm was compared between the carotid artery on the ESUS side and contralateral carotid artery. The prevalences were 31% and 8% on the ESUS and contralateral sides, respectively. Plaques > 3 mm were often found on the ESUS side. Conclusions: Patients with ESUS were more likely to exhibit non-stenotic plaques of ≥3 mm in the infarcted carotid artery than in the contralateral carotid artery. Thus, small non-stenotic plaques may be the embolization source in ESUS, and CT angiography is useful for these evaluations. Full article
Show Figures

Figure 1

11 pages, 621 KB  
Article
Correlations of Lumbar Interspinous Distance with Neuroforaminal Dimensions, Disc Space Height, and Patient Demographic Factors
by Carson Cummings, Zachary Brandt, Kai Nguyen, Asael Isaac, Jean-Carlos Gutierrez, Ashley Kempf, David Cheng, Joel D. Carson, Emily Novak, Jacob Razzouk, Olumide Danisa and Wayne Cheng
Tomography 2025, 11(9), 100; https://doi.org/10.3390/tomography11090100 - 27 Aug 2025
Viewed by 742
Abstract
Background/Objectives: A thorough understanding of spinal anatomy is essential for diagnostic assessment and surgical intervention. Interspinous distance (ISD), neuroforaminal dimensions (NFDs), and disc space height (DSH) have each been studied separately; however, their interrelationship remains unstudied. Given the use of interspinous implants as [...] Read more.
Background/Objectives: A thorough understanding of spinal anatomy is essential for diagnostic assessment and surgical intervention. Interspinous distance (ISD), neuroforaminal dimensions (NFDs), and disc space height (DSH) have each been studied separately; however, their interrelationship remains unstudied. Given the use of interspinous implants as a minimally invasive treatment for lumbar stenosis and degenerative disc disease, defining these relationships is of growing clinical significance. This study investigates the correlation between ISD and both NFDs and DSH in a normative population and whether ISD varies with demographic factors. Methods: A retrospective chart review was performed on 852 patients who underwent CT imaging of the lumbar spine. ISD was measured from L1 to L5 as the shortest distance between the most caudal tip of the superior spinous process and the inferior spinous process. DSH was measured at the anterior, middle, and posterior margins. NFDs were assessed in axial and sagittal views, including axial width, craniocaudal height, and foraminal area. Statistical analysis assessed correlations between ISD, NFDs, DSH, and demographic variables. Results: No strong correlation was observed between ISD and either NFDs or DSH. Slightly greater correlation was present at L1–L3, weakening at L4–L5, where interspinous implants are most commonly placed. Demographic analysis revealed no consistent relationship between ISD and ethnicity, sex, or BMI. While it may be expected that larger ISD correlates with greater NFDs or DSH, our findings do not support this assumption. Conclusions: ISD does not strongly correlate with NFDs or DSH, and demographic factors do not significantly influence ISD in a healthy population. Full article
(This article belongs to the Special Issue Orthopaedic Radiology: Clinical Diagnosis and Application)
Show Figures

Figure 1

14 pages, 954 KB  
Article
Anterior Redisplacement After Intramedullary Nail Fixation for Trochanteric Femoral Fractures: Incidence and Risk Factors in 598 Older Patients
by Hironori Kuroda, Suguru Yokoo, Yukimasa Okada, Junya Kondo, Koji Sakagami, Takahiko Ichikawa, Keiya Yamana and Chuji Terada
J. Clin. Med. 2025, 14(15), 5557; https://doi.org/10.3390/jcm14155557 - 6 Aug 2025
Viewed by 503
Abstract
Background/Objectives: Anterior redisplacement, defined as a postoperative anterior shift of the distal fragment despite intraoperative reduction, is occasionally observed after cephalomedullary nailing for trochanteric femoral fractures. However, its incidence and associated risk factors remain unclear. This study aimed to determine the incidence of [...] Read more.
Background/Objectives: Anterior redisplacement, defined as a postoperative anterior shift of the distal fragment despite intraoperative reduction, is occasionally observed after cephalomedullary nailing for trochanteric femoral fractures. However, its incidence and associated risk factors remain unclear. This study aimed to determine the incidence of anterior redisplacement following intramedullary nail fixation in geriatric trochanteric fractures, and to identify independent risk factors. Methods: This study retrospectively reviewed data from 598 consecutive hips in 577 patients (aged ≥65 years) who underwent intramedullary nail fixation for trochanteric fractures at a single center (2012–2023). Sagittal reduction on the lateral radiographic view was classified as posterior, anatomical, or anterior according to the position of the distal fragment, and was recorded preoperatively and postoperatively. Anterior redisplacement, the primary outcome, was defined as a change in alignment from a posterior or anatomical position postoperatively to an anterior position on any subsequent follow-up radiograph. Independent risk factors were identified by logistic regression. Results: Among the 543 hips reduced posteriorly (n = 204) or anatomically (n = 339), anterior redisplacement occurred in 73 (13.4%). The incidence of anterior redisplacement was significantly higher following anatomical compared to posterior reduction (19.5% vs. 3.4%; p < 0.001), and also higher in fractures that were anteriorly aligned preoperatively (18.0%) compared to anatomical (8.5%; p < 0.01) and posterior (6.2%; p < 0.01) alignment. Multivariate analysis revealed two independent predictors: preoperative anterior alignment (odds ratio [OR] 1.87, 95% confidence interval [CI] 1.24–2.81; p = 0.003) and postoperative anatomical (vs. posterior) reduction (OR 6.49, 95% CI 2.92–14.44; p < 0.001). Age, sex, Arbeitsgemeinschaft für Osteosynthesefragen/Orthopaedic Trauma Association classification, Evans–Jensen classification, nail length, and canal-filling ratio were not associated with redisplacement. No lag-screw cutout occurred during the follow-up. Conclusions: Anterior redisplacement occurred in one of seven geriatric trochanteric fractures despite apparently satisfactory fixation. An anatomical sagittal reduction—traditionally considered “ideal”—increases the risk more than sixfold, whereas a deliberate posterior-buttress is protective. Unlike patient-related risk factors, sagittal reduction is under the surgeon’s control. The study findings provide evidence that choosing a slight posterior bias can significantly improve stability. Full article
(This article belongs to the Special Issue Geriatric Fracture: Current Treatment and Future Options)
Show Figures

Graphical abstract

33 pages, 2003 KB  
Review
Acute Compartment Syndrome and Intra-Abdominal Hypertension, Decompression, Current Pharmacotherapy, and Stable Gastric Pentadecapeptide BPC 157 Solution
by Predrag Sikiric, Sven Seiwerth, Anita Skrtic, Mario Staresinic, Sanja Strbe, Antonia Vuksic, Suncana Sikiric, Dinko Bekic, Toni Penovic, Dominik Drazenovic, Tomislav Becejac, Marijan Tepes, Zrinko Madzar, Luka Novosel, Lidija Beketic Oreskovic, Ivana Oreskovic, Mirjana Stupnisek, Alenka Boban Blagaic and Ivan Dobric
Pharmaceuticals 2025, 18(6), 866; https://doi.org/10.3390/ph18060866 - 10 Jun 2025
Viewed by 2177
Abstract
In this study, pharmacotherapies of abdominal compartment syndrome (ACS) and intra-abdominal hypertension (IAH) in animal studies were reviewed from the perspective of ACS/IAH as failed cytoprotection issues, as non-specific injuries, and from the point of view of the cytoprotection concept as resolution. Therefore, [...] Read more.
In this study, pharmacotherapies of abdominal compartment syndrome (ACS) and intra-abdominal hypertension (IAH) in animal studies were reviewed from the perspective of ACS/IAH as failed cytoprotection issues, as non-specific injuries, and from the point of view of the cytoprotection concept as resolution. Therefore, this review challenges the unresolved theoretical and practical issues of severe multiorgan failure, acknowledged significance in clinics, and resolving outcomes (i.e., open abdomen). Generally, the reported agents not aligned with cytoprotection align with current pharmacotherapy limitations and have (non-)confirmed effectiveness, mostly in only one organ, mild/moderate IAH, prophylactic application, and provide only a tentative resolution. Contrarily, stable gastric pentadecapeptide BPC 157 therapy, as a novel and relevant cytoprotective mediator having pleiotropic beneficial effects, simultaneously resolves many targets, resolving established disturbances, specifically compression/ischemia (grade III and grade IV), and decompression/advanced reperfusion. BPC 157 therapy rapidly activates collateral bypassing pathways, and, in ACS and IAH, and later, in reperfusion, there is a “bypassing key” (i.e., azygos vein direct blood flow delivery). This serves to counteract multiorgan and vessel failure, including lesions and hemorrhages in the brain, heart, lung, liver, kidney and gastrointestinal tract, thrombosis, peripherally and centrally, intracranial (superior sagittal sinus), portal and caval hypertension and aortal hypotension, occlusion/occlusion-like syndrome, advanced Virchow triad circumstances, and free radical formation acting as a membrane stabilizer and free radical scavenger. Likewise, not only in ACS/IAH resolving, but also in other occlusion/occlusion-like syndromes, this “bypassing key” could be an effect of the essential endothelial cytoprotective capacity of BPC 157 and a particular modulatory effect on the NO-system, and a rescuing impact on vasomotor tone. Full article
(This article belongs to the Section Pharmacology)
Show Figures

Graphical abstract

6 pages, 4382 KB  
Interesting Images
Whole-Brain Confocal Imaging Provides an Accurate Global View of the Nigral Dopamine System
by Fu-Ming Zhou
Diagnostics 2025, 15(11), 1436; https://doi.org/10.3390/diagnostics15111436 - 5 Jun 2025
Cited by 1 | Viewed by 942
Abstract
Clinicopathological studies and the effectiveness of dopaminergic replacement therapy establish that dopamine loss is the key pathology causing motor symptoms in Parkinson’s disease. The dopamine neurons that are impaired in Parkinson’s disease reside in the substantia nigra and ventral tegmental area in the [...] Read more.
Clinicopathological studies and the effectiveness of dopaminergic replacement therapy establish that dopamine loss is the key pathology causing motor symptoms in Parkinson’s disease. The dopamine neurons that are impaired in Parkinson’s disease reside in the substantia nigra and ventral tegmental area in the midbrain. These neurons project into the striatum, where dopamine axons bifurcate repeatedly and form dense axon networks (the striatum is separated into the caudate nucleus and putamen by the internal capsule). Midbrain dopamine neurons also innervate many other areas of the brain, including the cerebral cortex. Therefore, there are preclinical and clinical studies investigating extrastriatal dopamine mechanisms in motor control and Parkinson’s disease pathophysiology and treatment. While extrastriatal dopamine can contribute, this contribution needs to be compared with the contribution of the striatal dopamine system. An isolated view of the extrastriatal dopamine system is like examining only the ear of an elephant and may lead to distorted assessments for preclinical and clinical research and diagnostic work. Thus, photographs of the whole brain dopamine system are important. For these reasons, we photographed the dopamine systems in whole mouse brain sagittal sections, showing clearly that, under identical imaging conditions, dopamine innervation is highly concentrated and intense in the striatum but sparse and weak in the cerebral cortex. Full article
(This article belongs to the Section Biomedical Optics)
Show Figures

Figure 1

15 pages, 2549 KB  
Article
Automated Implementation of the Edinburgh Visual Gait Score (EVGS)
by Ishaasamyuktha Somasundaram, Albert Tu, Ramiro Olleac, Natalie Baddour and Edward D. Lemaire
Sensors 2025, 25(10), 3226; https://doi.org/10.3390/s25103226 - 21 May 2025
Viewed by 1293
Abstract
The Edinburgh Visual Gait Score (EVGS) is a commonly used clinical scale for assessing gait abnormalities, providing insight into diagnosis and treatment planning. However, its manual implementation is resource-intensive and requires time, expertise, and a controlled environment for video recording and analysis. To [...] Read more.
The Edinburgh Visual Gait Score (EVGS) is a commonly used clinical scale for assessing gait abnormalities, providing insight into diagnosis and treatment planning. However, its manual implementation is resource-intensive and requires time, expertise, and a controlled environment for video recording and analysis. To address these issues, an automated approach for scoring the EVGS was developed. Unlike past methods dependent on controlled environments or simulated videos, the proposed approach integrates pose estimation with new algorithms to handle operational challenges present in the dataset, such as minor camera movement during sagittal recordings, slight zoom variations in coronal views, and partial visibility (e.g., missing head) in some videos. The system uses OpenPose for pose estimation and new algorithms for automatic gait event detection, stride segmentation, and computation of the 17 EVGS parameters across the sagittal and coronal planes. Evaluation of gait videos of patients with cerebral palsy showed high accuracy for parameters such as hip and knee flexion but a need for improvement in pelvic rotation and hindfoot alignment scoring. This automated EVGS approach can minimize the workload for clinicians through the introduction of automated, rapid gait analysis and enable mobile-based applications for clinical decision-making. Full article
(This article belongs to the Section Biomedical Sensors)
Show Figures

Figure 1

17 pages, 244 KB  
Hypothesis
Proprioceptive Resonance and Multimodal Semiotics: Readiness to Act, Embodied Cognition, and the Dynamics of Meaning
by Marco Sanna
NeuroSci 2025, 6(2), 42; https://doi.org/10.3390/neurosci6020042 - 12 May 2025
Viewed by 2391
Abstract
This paper proposes a theoretical model of meaning-making grounded in proprioceptive awareness and embodied imagination, arguing that human cognition is inherently multimodal, anticipatory, and sensorimotor. Drawing on Peircean semiotics, Lotman’s model of cultural cognition, and current research in neuroscience, we show that readiness [...] Read more.
This paper proposes a theoretical model of meaning-making grounded in proprioceptive awareness and embodied imagination, arguing that human cognition is inherently multimodal, anticipatory, and sensorimotor. Drawing on Peircean semiotics, Lotman’s model of cultural cognition, and current research in neuroscience, we show that readiness to act—a proprioceptively grounded anticipation of movement—plays a fundamental role in the emergence of meaning, from perception to symbolic abstraction. Contrary to traditional approaches that reduce language to a purely symbolic or visual system, we argue that meaning arises through the integration of sensory, motor, and affective processes, structured by axial proprioceptive coordinates (vertical, horizontal, sagittal). Using Peirce’s triadic model of interpretants, we identify proprioception as the modulatory interface between sensory stimuli, emotional response, and logical reasoning. A study on skilled pianists supports this view, showing that mental rehearsal without physical execution improves performance via motor anticipation. We define this process as proprioceptive resonance, a dynamic synchronization of embodied states that enables communication, language acquisition, and social intelligence. This framework allows for a critique of linguistic abstraction and contributes to ongoing debates in semiotics, enactive cognition, and the origin of syntax, challenging the assumption that symbolic thought precedes embodied experience. Full article
(This article belongs to the Topic Language: From Hearing to Speech and Writing)
12 pages, 4662 KB  
Article
Computed Tomography and a Dental Intraoral Scanner to Generate Three-Dimensional Models of the Beaks of Three Bird Species
by Gabriel Corrêa de Camargo, Sheila Canevese Rahal, Reinaldo Abdala Junior, Jeana Pereira da Silva, Daniel Simões da Silva, Maria Cristina Reis Castiglioni, Ricardo Shoiti Ichikawa and Bruno Critelli Carvalho
Vet. Sci. 2025, 12(4), 331; https://doi.org/10.3390/vetsci12040331 - 3 Apr 2025
Viewed by 592
Abstract
This study aimed to assess the beaks of Neotropical birds using two scanning techniques—CT and a dental intraoral scanner—along with macroscopic analysis. Six specimens per family were selected, including parakeets, red-legged seriemas, and black vultures. The upper beaks were measured in the CT [...] Read more.
This study aimed to assess the beaks of Neotropical birds using two scanning techniques—CT and a dental intraoral scanner—along with macroscopic analysis. Six specimens per family were selected, including parakeets, red-legged seriemas, and black vultures. The upper beaks were measured in the CT sagittal view for length along the longitudinal axis and height on the transverse axis. The same measurements were performed on the 3D images. Additionally, beak width in the middle of the naris area, as well as the length and height of the nares, were measured on the 3D images. The closed polygon tool outlined the beak, generating volume in cm2. The 3D images obtained with the dental scanner were measured, similarly to those from 3D-CT scans for the beaks’ length, height, and width. Macroscopic measurements of the beaks were also conducted. Some differences in beak measurements between imaging methods were verified. In conclusion, both techniques are effective, but CT provides more detailed information. The combination of both methods would be ideal for developing and applying beak prostheses. Full article
(This article belongs to the Section Veterinary Biomedical Sciences)
Show Figures

Graphical abstract

10 pages, 1645 KB  
Article
The Maxillomandibular Sagittal Assessment: The ABwise Appraisal and Its Correlation with ANB Angle
by Elisa Boccalari, Ornella Rossi, Benedetta Baldini, Cinzia Tripicchio, Marco Serafin and Alberto Caprioglio
J. Clin. Med. 2025, 14(4), 1379; https://doi.org/10.3390/jcm14041379 - 19 Feb 2025
Cited by 1 | Viewed by 1323
Abstract
The ANB angle, the cephalometric parameter of choice for assessing the anteroposterior relationship between the maxilla and mandible, is subject to several limitations, prompting the investigation of alternative parameters. Objective: This study aimed to investigate the ABwise measurement as an alternative to the [...] Read more.
The ANB angle, the cephalometric parameter of choice for assessing the anteroposterior relationship between the maxilla and mandible, is subject to several limitations, prompting the investigation of alternative parameters. Objective: This study aimed to investigate the ABwise measurement as an alternative to the ANB angle for evaluating maxillomandibular relationships in orthodontics, particularly addressing the impact of skeletal discrepancies on conventional methods. Methods: A retrospective analysis was performed on a CBCT dataset of patients attending the University of Milan’s Department of Orthodontics and Maxillofacial Surgery, selected based on high-quality imaging, a full-cranium field of view, and a slice thickness between 150 and 300 μm. Eight craniofacial landmarks were annotated using the 3D Slicer software to calculate the ANB values and the new ABwise measurement. Statistical analyses included Spearman’s correlation (ρ), linear regression, and inter-rater agreement (Cohen’s κ score), with data classified into skeletal Classes I, II, and III based on defined thresholds. Results: 354 CBCT were selected and analyzed (mean age: 18.6 years). ABwise showed a strong correlation with the ANB angle (ρ = 0.805) and new normative ranges for ABwise were established: Class I (−1.4 ± 2.3 mm), Class II (>0.9 mm), and Class III (<−3.7 mm). Moderate agreement was observed between the ABwise and ANB classifications (κ = 0.527). ABwise effectively addressed limitations associated with divergence and vertical discrepancies, providing a more reliable assessment of skeletal sagittal relationships. Conclusions: ABwise presents a viable alternative to the ANB angle for three-dimensional cephalometric analysis, offering improved accuracy and alignment with radioprotection principles by reducing the CBCT field of view needed for its measurement. Further research is required in order to validate these findings across diverse populations and clinical scenarios. Full article
(This article belongs to the Special Issue Orthodontics: Current Advances and Future Options)
Show Figures

Figure 1

19 pages, 3922 KB  
Article
Evaluation of Cancellous Bone Density from C3 to L5 in 11 Body Donors: CT Versus Micro-CT Measurements
by Guido Schröder, Estelle Akl, Justus Hillebrand, Andreas Götz, Thomas Mittlmeier, Steffi S. I. Falk, Laura Hiepe, Julian Ramin Andresen, Reimer Andresen, Dirk Flachsmeyer-Blank, Hans-Christof Schober and Änne Glass
J. Clin. Med. 2025, 14(4), 1059; https://doi.org/10.3390/jcm14041059 - 7 Feb 2025
Viewed by 1659
Abstract
Introduction: Comparative studies on Hounsfield units (HU) and bone volume fraction (BVF%) for the demonstration of cancellous bone density in the entire spine and in the various intravertebral regions are rare. The aim of the present study was to determine HU in various [...] Read more.
Introduction: Comparative studies on Hounsfield units (HU) and bone volume fraction (BVF%) for the demonstration of cancellous bone density in the entire spine and in the various intravertebral regions are rare. The aim of the present study was to determine HU in various segments and sectional planes (sagittal, axial, coronary) of the spine and their description in the context of bone density measurement on micro-CT, as well as the significance of the values for bone loss and fracture risk. Materials/Methods: The spines of 11 body donors were analyzed by means of high-resolution spiral CT and micro-CT. Vertebral deformities were identified on sagittal reformations and classified. Cancellous bone density in the individual vertebrae from C3 to L5, expressed in HU, was measured on CT images (in all 242 vertebral bodies). For this purpose, a manually positioned ROI was established in mid-vertebral cancellous bone in the axial, sagittal, and coronary planes. Using a Jamshidi® needle, we obtained 726 specimens from prepared vertebrae extracted from three quadrants (QI: right-sided edge, QII: central, QIII: left-sided edge) and analyzed these on a micro-CT device (SKYSCAN 1172, RJL Micro & Analytic GmbH, Germany). The study design with multiple measurements was reflected by a General Linear Model Repeated Measures. The model was adjusted to the bone density values of both procedures (HU, BVF%) in the viewed sectional planes and quadrants for 22 vertebrae, with the predictors gender and fracture status, controlled for age and body mass index (BMI). Analysis of variance provided estimations of density values and comparisons of several subgroups. Results: All spines were osteoporotic. Both procedures revealed a significant reduction in cancellous bone density from C3 to L5 (p ≤ 0.018). Gender (p = 0.002) and fracture status (p = 0.001) have an impact on bone density: men have higher bone density values than women; cases with fewer fractures also have higher bone density values. CT revealed both effects (p = 0.002 for each) with greater clarity. HU on CT measurements in the axial plane showed higher density values than in the sagittal or coronary planes. CT measurement profiles along the spine as well as along the individual profiles of the 11 body donors were independent of the measured quadrants, but the micro-CT measurements were not. Discussion: The craniocaudal reduction in bone density was demonstrated in different degrees of clarity by the two procedures. Likewise, the procedure-related visualization of differences in cancellous bone density between genders, fracture groups, sectional planes, and quadrants indicates the need for a better understanding of the advantages of each procedure for patient-oriented approaches to the diagnosis of osteoporosis. Future research should be focused on the determination of standard values and their clinical application for the prevention and treatment of osteoporosis. Full article
(This article belongs to the Special Issue Current Progress and Future Directions of Spine Surgery)
Show Figures

Figure 1

21 pages, 9329 KB  
Article
Automated Measurements of Tooth Size and Arch Widths on Cone-Beam Computerized Tomography and Scan Images of Plaster Dental Models
by Thong Phi Nguyen, Jang-Hoon Ahn, Hyun-Kyo Lim, Ami Kim and Jonghun Yoon
Bioengineering 2025, 12(1), 22; https://doi.org/10.3390/bioengineering12010022 - 29 Dec 2024
Cited by 1 | Viewed by 3521
Abstract
Measurements of tooth size for estimating inter-arch tooth size discrepancies and inter-tooth distances, essential for orthodontic diagnosis and treatment, are primarily done using traditional methods involving plaster models and calipers. These methods are time-consuming and labor-intensive, requiring multiple steps. With advances in cone-beam [...] Read more.
Measurements of tooth size for estimating inter-arch tooth size discrepancies and inter-tooth distances, essential for orthodontic diagnosis and treatment, are primarily done using traditional methods involving plaster models and calipers. These methods are time-consuming and labor-intensive, requiring multiple steps. With advances in cone-beam computerized tomography (CBCT) and intraoral scanning technology, these processes can now be automated through computer analyses. This study proposes a multi-step computational method for measuring mesiodistal tooth widths and inter-tooth distances, applicable to both CBCT and scan images of plaster models. The first step involves 3D segmentation of the upper and lower teeth using CBCT, combining results from sagittal and panoramic views. For intraoral scans, teeth are segmented from the gums. The second step identifies the teeth based on an adaptively estimated jaw midline using maximum intensity projection. The third step uses a decentralized convolutional neural network to calculate key points representing the parameters. The proposed method was validated against manual measurements by orthodontists using plaster models, achieving an intraclass correlation coefficient of 0.967 and a mean absolute error of less than 1 mm for all tooth types. An analysis of variance test confirmed the statistical consistency between the method’s measurements and those of human experts. Full article
Show Figures

Figure 1

12 pages, 3076 KB  
Article
Three-Dimensional Measurements of Sphenoid Sinus Size by Sex in a Korean Population: An Exploratory Study
by Jeong-Hyun Lee and Jong-Tae Park
Diagnostics 2024, 14(24), 2888; https://doi.org/10.3390/diagnostics14242888 - 23 Dec 2024
Cited by 1 | Viewed by 1085
Abstract
Background/Objectives: This study aims to investigate the three-dimensional morphological differences of the sphenoid sinus according to sex in the Korean adult population and conduct an exploratory study based on the findings. The sphenoid sinus, located deep within the skull, plays a crucial role [...] Read more.
Background/Objectives: This study aims to investigate the three-dimensional morphological differences of the sphenoid sinus according to sex in the Korean adult population and conduct an exploratory study based on the findings. The sphenoid sinus, located deep within the skull, plays a crucial role in forensic identification due to its relative protection from external damage and its unique anatomical characteristics. Methods: Using cone-beam computed tomography (CBCT) data from 120 patients (60 males and 60 females) aged 20–29, the sphenoid sinus was visualized and measured in three dimensions using Mimics software (version 22.0). Measurements included the volume of the sphenoid sinus, as well as its dimensions in the X, Y, and Z axes. The measured data were analyzed using SPSS (version 23.0) with a t-test and linear regression analysis. Results: The results showed that the sphenoid sinus volume was significantly larger in males compared to females (p < 0.05), with an average male sinus volume of 16,957.9 mm3 and a female volume of 13,517.7 mm3. Additionally, the X-width, Y-width, and Z-width were all larger in males, with significant differences (p < 0.001) across all dimensions. Further regression analysis revealed that the volume of the sphenoid sinus was primarily influenced by the Z-axis height (measured from the coronal view) and the Y-axis width (measured from the sagittal view), while the X-axis width had a negligible effect on the overall volume. Conclusions: These findings suggest that sex-specific differences in the sphenoid sinus may provide important insights for clinical diagnoses and forensic personal identification. This study highlights the need for further research on different age groups and ethnic populations to enhance the understanding of anatomical variations in the sphenoid sinus and their potential applications in both medical and forensic fields. Full article
(This article belongs to the Special Issue Advances in Human Anatomy)
Show Figures

Figure 1

12 pages, 1723 KB  
Article
Gender Differences in Head and Neck Posture Among Smartphone Users While Walking: Insights from Field Observations in Taipei
by Yi-Lang Chen, Ting-Hsuan Wang, Wei-An Chang and Hong-Tam Nguyen
J. Funct. Morphol. Kinesiol. 2024, 9(4), 245; https://doi.org/10.3390/jfmk9040245 - 21 Nov 2024
Viewed by 1775
Abstract
Background/Objectives: Despite the increasing prevalence of smartphone use while walking, few studies have comprehensively investigated head and neck posture in real-world settings. This study employed a single-blind observation of smartphone users walking in public areas of Taipei, Taiwan, to examine head and [...] Read more.
Background/Objectives: Despite the increasing prevalence of smartphone use while walking, few studies have comprehensively investigated head and neck posture in real-world settings. This study employed a single-blind observation of smartphone users walking in public areas of Taipei, Taiwan, to examine head and neck movements, with a particular focus on the effects of gender and hand-operation type. Methods: We conducted observations of 120 smartphone users (60 males and 60 females), recording neck flexion (NF), head flexion (HF), gaze angle (GA), and viewing distance (VD) in the sagittal plane during walking. The analysis included four combinations of gender and smartphone hand operation (one-handed and two-handed use). Results: Significant gender differences were found in NF (p < 0.001), GA (p < 0.01), and VD (p < 0.01), with males exhibiting greater NF, GA, and VD than females. HF was similar between genders, but males’ larger NF suggested a more pronounced forward head posture, potentially increasing neck and shoulder strain. Hand operations also significantly affected VD (p < 0.001). Most users displayed a GA exceeding 60°, possibly an involuntary adjustment for better visibility of the walking path, potentially increasing eyestrain. Conclusions: Previous studies have primarily simulated smartphone use while walking in controlled environments, such as on treadmills or in laboratories. In contrast, our single-blind field study highlights the real-world risks associated with smartphone use during walking, including neck and shoulder strain and eyestrain, with notable differences observed between genders. Full article
(This article belongs to the Special Issue Physical Activity for Optimal Health)
Show Figures

Figure 1

14 pages, 582 KB  
Article
Deep Learning-Assisted Automatic Diagnosis of Anterior Cruciate Ligament Tear in Knee Magnetic Resonance Images
by Xuanwei Wang, Yuanfeng Wu, Jiafeng Li, Yifan Li and Sanzhong Xu
Tomography 2024, 10(8), 1263-1276; https://doi.org/10.3390/tomography10080094 - 13 Aug 2024
Cited by 5 | Viewed by 2557
Abstract
Anterior cruciate ligament (ACL) tears are prevalent knee injures, particularly among active individuals. Accurate and timely diagnosis is essential for determining the optimal treatment strategy and assessing patient prognosis. Various previous studies have demonstrated the successful application of deep learning techniques in the [...] Read more.
Anterior cruciate ligament (ACL) tears are prevalent knee injures, particularly among active individuals. Accurate and timely diagnosis is essential for determining the optimal treatment strategy and assessing patient prognosis. Various previous studies have demonstrated the successful application of deep learning techniques in the field of medical image analysis. This study aimed to develop a deep learning model for detecting ACL tears in knee magnetic resonance Imaging (MRI) to enhance diagnostic accuracy and efficiency. The proposed model consists of three main modules: a Dual-Scale Data Augmentation module (DDA) to enrich the training data on both the spatial and layer scales; a selective group attention module (SG) to capture relationships across the layer, channel, and space scales; and a fusion module to explore the inter-relationships among various perspectives to achieve the final classification. To ensure a fair comparison, the study utilized a public dataset from MRNet, comprising knee MRI scans from 1250 exams, with a focus on three distinct views: axial, coronal, and sagittal. The experimental results demonstrate the superior performance of the proposed model, termed SGNET, in ACL tear detection compared with other comparison models, achieving an accuracy of 0.9250, a sensitivity of 0.9259, a specificity of 0.9242, and an AUC of 0.9747. Full article
Show Figures

Figure 1

19 pages, 2565 KB  
Systematic Review
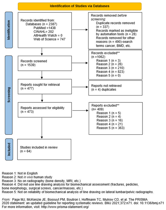
Reliability of the Biomechanical Assessment of the Sagittal Lumbar Spine and Pelvis on Radiographs Used in Clinical Practice: A Systematic Review of the Literature
by Joseph W. Betz, Douglas F. Lightstone, Paul A. Oakley, Jason W. Haas, Ibrahim M. Moustafa and Deed E. Harrison
J. Clin. Med. 2024, 13(16), 4650; https://doi.org/10.3390/jcm13164650 - 8 Aug 2024
Cited by 4 | Viewed by 2577
Abstract
Background: Biomechanical analysis of the sagittal alignment of the lumbar spine and pelvis on radiographs is common in clinical practices including chiropractic, physical therapy, scoliosis-related thoraco-lumbo-sacral orthosis (TLSO) management, orthopedics, and neurosurgery. Of specific interest is the assessment of pelvic morphology and the [...] Read more.
Background: Biomechanical analysis of the sagittal alignment of the lumbar spine and pelvis on radiographs is common in clinical practices including chiropractic, physical therapy, scoliosis-related thoraco-lumbo-sacral orthosis (TLSO) management, orthopedics, and neurosurgery. Of specific interest is the assessment of pelvic morphology and the relationship between angle of pelvic incidence, sacral slope, and lumbar lordosis to pain, disability, and clinical treatment of spine conditions. The current state of the literature on the reliability of common methods quantifying these parameters on radiographs is limited. Methods: The objective of this systematic review is to identify and review the available studies on the reliability of different methods of biomechanical analysis of sagittal lumbo-pelvic parameters used in clinical practice. Our review followed the recommendations of the preferred reporting items for systematic reviews and meta-analyses (PRISMA). The design of this systematic review was registered with PROSPERO (CRD42023379873). Results: The search strategy yielded a total of 2387 articles. A total of 1539 articles were screened after deduplication and exclusion by automation tools, leaving 473 full-text articles that were retrieved. After exclusion, 64 articles met the inclusion criteria. The preponderance of the evidence showed good to excellent reliability for biomechanical assessment of sagittal lumbo-pelvic spine alignment. Conclusions: The results of this systematic review of the literature show that sagittal radiographic analysis of spinal biomechanics and alignment of the human lumbo-pelvic spine is a reliable tool for aiding diagnosis and management in clinical settings. Full article
(This article belongs to the Section Clinical Rehabilitation)
Show Figures

Figure 1

Back to TopTop