Sign in to use this feature.

Years

Between: -

Subjects

remove_circle_outline
remove_circle_outline
remove_circle_outline
remove_circle_outline
remove_circle_outline

Journals

Article Types

Countries / Regions

Search Results (39)

Search Parameters:
Keywords = rumen protected fat

Order results
Result details
Results per page
Select all
Export citation of selected articles as:
23 pages, 850 KB  
Article
Dietary Rumen-Protected Taurine Enhances Growth Performance and Meat Quality in Heat-Stressed Crossbred Gan-Xi Goats via Modulating GLUT4/PYGM-Mediated Muscle Energy Metabolism
by Guwei Lu, Yijie Wang, Yuting Wei, Xin Liu, Siyu Lu, Xianghui Zhao, Qinghua Qiu, Mingren Qu, Lizhi Li, Yanjiao Li and Kehui Ouyang
Foods 2025, 14(19), 3323; https://doi.org/10.3390/foods14193323 - 25 Sep 2025
Viewed by 601
Abstract
Heat stress induced by high temperature and humidity in southern China during summer reduce goat production efficiency and meat quality. Taurine (TAU), one of the most abundant amino acids in animal tissues, plays a vital role in alleviating heat stress and regulating energy [...] Read more.
Heat stress induced by high temperature and humidity in southern China during summer reduce goat production efficiency and meat quality. Taurine (TAU), one of the most abundant amino acids in animal tissues, plays a vital role in alleviating heat stress and regulating energy metabolism through its involvement in glucose uptake and glycogen turnover. This study aimed to investigate the effects of rumen-protected (RP)-TAU on the meat quality, hepatic gluconeogenesis, and muscle energy metabolism of heat-stressed goats. During summer, twenty-four male crossbred Gan-xi goats (20.45 ± 2.95 kg) aged 5 months were randomly allocated to two groups treated with or without 0.4% RP-TAU (on a diet weight basis). After feeding for 60 days, six goats per treatment were slaughtered. Compared with the control group, RP-TAU supplementation significantly improved the growth performance of goats, as evidenced by increased final body weight, average daily gain, and average daily feed intake (p < 0.05). The goats in the RP-TAU group showed a reduced splenic index (p < 0.05), lower serum cortisol levels (0.05 < p < 0.1), and decreased muscle crude fat content (p < 0.01). Crucially, meat quality was improved with reduced hardness, gumminess, and chewiness (p < 0.05), indicating better textural properties. Nutritionally, RP-TAU supplementation modulated the muscle fatty acid profile, significantly reducing the concentrations of palmitic (a saturated fatty acid), palmitoleic (a monounsaturated fatty acid), and nervonic acids (p < 0.05), while cystine content was reduced (p < 0.05). RP-TAU supplementation significantly enhanced the muscle contents of glucose and glycogen, glycolytic potential, phosphofructokinase activity, and ATP level, while decreasing the pyruvate level and AMP/ATP ratio (p < 0.05). Gene expression analysis revealed the upregulation of GLUT4 and PYGM and the downregulation of GSK3β in muscle (p < 0.05). These results indicated that dietary supplementation of RP-TAU might be beneficial to improve stress resistance and meat quality by increasing muscle energy supply and glucose uptake in Gan-xi goats. Full article
(This article belongs to the Section Meat)
Show Figures

Graphical abstract

13 pages, 248 KB  
Article
Effects of Coated Sodium Selenite Supplementation on the Milk Yield, Apparent Digestibility, Rumen Fermentation, Blood Biochemical Parameters and Antioxidant Parameters in Dairy Buffaloes
by Li Tan, Yuqi Zhao, Jiajin Sun, Chun Bai, He Du, Xinyu Yan, Gang Guo, Lei Chen, Qiang Liu, Cong Wang and Wenjie Huo
Animals 2025, 15(19), 2767; https://doi.org/10.3390/ani15192767 - 23 Sep 2025
Viewed by 436
Abstract
Coated sodium selenite (CSS) is a rumen-protected selenium supplement that can improve selenium status and lactation performance in buffalo. This study investigated the effects of CSS supplementation on milk yield, rumen fermentation, digestibility, blood biochemical parameters, and antioxidant capacity in 28 dairy hybrid [...] Read more.
Coated sodium selenite (CSS) is a rumen-protected selenium supplement that can improve selenium status and lactation performance in buffalo. This study investigated the effects of CSS supplementation on milk yield, rumen fermentation, digestibility, blood biochemical parameters, and antioxidant capacity in 28 dairy hybrid buffaloes (Murrah × local breed; milk yield = 5.96 ± 0.21 kg/d; parity = 2.96 ± 0.15, mean ± SD). The buffaloes were randomly allocated into four groups: control (basal diet), low CSS (LCSS, basal diet + 0.1 mg/kg CSS), medium CSS (MCSS, basal diet + 0.15 mg/kg CSS), and high CSS (HCSS, basal diet + 0.2 mg/kg CSS). The trial included a 7-day adaptation period followed by a 60-day experimental period. Compared with the control group, the LCSS group showed significant increases in rumen acetic acid, propionic acid, and total volatile fatty acid contents; milk yield, milk fat percentage, and 4% standard milk yield; neutral detergent fiber digestibility; and antioxidant capacity. These results demonstrate that supplementing 0.1 mg/kg CSS improves rumen fermentation efficiency and cellulose digestibility, thereby enhancing the antioxidant capacity and lactation performance of dairy buffaloes. Full article
(This article belongs to the Section Animal Nutrition)
17 pages, 430 KB  
Article
Effect of Rumen-Protected Cod Liver Oil Supplementation on Fatty Acid Profile of Meat from Limousin and Red Angus Cattle
by Andrzej Zachwieja, Ewa Pecka-Kiełb, Anna Zielak-Steciwko, Bożena Króliczewska, Jowita Kaszuba and Robert Kupczyński
Animals 2025, 15(13), 1856; https://doi.org/10.3390/ani15131856 - 23 Jun 2025
Viewed by 624
Abstract
In beef cattle production, both diet and breed are key factors influencing the composition and quality of meat. This study evaluated the effects of rumen-protected cod liver oil supplementation on meat and fat quality parameters in Limousin (n = 30) and Red [...] Read more.
In beef cattle production, both diet and breed are key factors influencing the composition and quality of meat. This study evaluated the effects of rumen-protected cod liver oil supplementation on meat and fat quality parameters in Limousin (n = 30) and Red Angus (n = 30) bulls maintained under identical conditions. During the final three weeks of finishing, animals received 100/g/day of cod liver oil. Red Angus bulls exhibited a significantly higher intramuscular fat content in meat compared to Limousin (p < 0.01). The study demonstrated a reduction (p < 0.05) in intramuscular fat content in both breeds receiving cod liver oil supplementation. In Limousin, cis-oleic acid (C18:1 cis-9) levels increased significantly in meat (p < 0.05) without a concurrent increase in trans isomers. Subcutaneous fat in both breeds showed a significant increase in monounsaturated fatty acids in the supplemented group compared to the control (p < 0.01). Limousin bulls also showed reduced levels of myristic acid (C14:0) and stearic acid (C18:0) in subcutaneous fat. Additionally, Limousin muscle tissue showed significantly higher (p < 0.01) concentrations of C18:3n3, C22:6n3, and total polyunsaturated fatty acids (PUFAs) compared to Red Angus. These finding indicate that the short-term dietary inclusion of rumen-protected cod liver oil in cattle rations enhances the nutritional profile of beef, potentially offering benefits for human health. Full article
(This article belongs to the Special Issue Beef Cattle Feedlot: Nutrition, Production and Management)
Show Figures

Figure 1

18 pages, 1372 KB  
Article
Effects of Rumen-Protected Methionine on Meat Quality, Fatty Acid Composition, Volatile Flavor Compounds and Transcriptomics of Longissimus lumborum of Yak (Bos grunniens)
by Xia Wu, Zizhen Zuo, Jiajia Li, Jianhui Fu, Jincheng Zhong, Hui Wang, Haitao Shi, Yanling Huang and Haibo Wang
Foods 2025, 14(12), 2102; https://doi.org/10.3390/foods14122102 - 15 Jun 2025
Viewed by 1057
Abstract
Yak (Bos grunniens) meat is popular with a unique flavor and high nutritional value. This study investigated the effects of dietary supplementation with rumen-protected methionine (RPM) on meat quality, fatty acid composition, volatile flavor compounds, and transcriptomics of Longissimus lumborum of [...] Read more.
Yak (Bos grunniens) meat is popular with a unique flavor and high nutritional value. This study investigated the effects of dietary supplementation with rumen-protected methionine (RPM) on meat quality, fatty acid composition, volatile flavor compounds, and transcriptomics of Longissimus lumborum of yak. Twenty-four male Maiwa yaks were selected and assigned to four groups: basal diet (CON), or supplementation of 5 g/d (RPM5), 10 g/d (RPM10), and 15 g/d (RPM15) RPM. The dose-dependent effects of RPM levels were evaluated through linear or quadratic trend analysis. The results showed that diet supplementation with RPM increased the intramuscular fat contents, improved composition of volatile flavor compounds and the ratio of monounsaturated fatty acids to saturated fatty acids. Compared to the CON group, there were 36, 84 and 23 up-regulated genes, and 85, 94 and 70 down-regulated genes in the RPM5, RPM10 and RPM15 groups, respectively. Gene ontology enrichment analysis revealed significant differentially expressed genes enrichment in biological processes, cellular components, and molecular functions across RPM5, RPM10, and RPM15 groups compared to the CON. KEGG pathway analysis revealed 99, 169, and 104 enriched pathways in RPM5, RPM10, and RPM15 groups, respectively. In summary, the addition of RPM to diets may provide new ideas and methods to improve meat quality of yaks. Full article
(This article belongs to the Section Meat)
Show Figures

Figure 1

12 pages, 251 KB  
Article
Rumen-Protected Fat and Rumen-Protected Choline Co-Supplementation: Impacts on Performance and Meat Quality of Growing Lambs
by Haitao Liu, Fadi Li, Fei Li, Zhiyuan Ma, Tao Wang, Qinwu Li, Xinji Wang and Kaidong Li
Vet. Sci. 2025, 12(6), 525; https://doi.org/10.3390/vetsci12060525 - 28 May 2025
Viewed by 815
Abstract
This study aimed to assess the effect of co-supplementing rumen-protected fat and rumen-protected choline on growth performance, carcass traits, and meat quality in lambs. Using a randomized experimental design, 45 weaned female Tian×Hu crossbred lambs (3 months old; average body weight: 27.34 ± [...] Read more.
This study aimed to assess the effect of co-supplementing rumen-protected fat and rumen-protected choline on growth performance, carcass traits, and meat quality in lambs. Using a randomized experimental design, 45 weaned female Tian×Hu crossbred lambs (3 months old; average body weight: 27.34 ± 0.57 kg, mean ± SD) were randomly allocated to one of three dietary treatment groups. The three dietary treatments were as follows: a basal diet group (CON), a group receiving 2% rumen-protected fat in place of 2% barley (RPF), and a group supplemented with 2% rumen-protected fat and 0.4% rumen-protected choline, replacing 2% barley and 0.4% corn germ in the basal diet (RPFC). Compared to the CON group, neither the RPF nor RPFC treatments resulted in significant differences in growth performance (p > 0.05). However, the RPFC group showed a 5.3% increase in dry matter intake (DMI) compared to the RPF group (p < 0.05). Compared with the CON, the RPF treatment increased 69.23% the relative abundance of C18:2n-6t (p < 0.05), but the content of C17:0, C17:1, C18:1n-9c, and iso-C18:0 in Longissimus lumborum was decreased by 16.49%, 15.78%, 6.45% and 27.78%, respectively (p < 0.05). The RPFC treatment increased the relative abundance of C16:1 in Longissimus lumborum (p < 0.05). The RPF and RPFC treatments significantly increased serum levels of high-density lipoprotein (HDL) and total cholesterol compared to the CON group (p < 0.05). The RPF treatment raised HDL by 50.00% and total cholesterol by 38.03%, while the RPFC treatment increased HDL by 39.47% and total cholesterol by 26.03%. Furthermore, compared to the RPF group, the RPFC treatment led to a 13.47% increase in the 45 min b* color value of the Longissimus lumborum (p < 0.01) and a significant 45.45% reduction in the relative abundance of C18:2n-6t fatty acid in the same muscle (p < 0.05). In summary, rumen-protected choline reduces the negative effects of rumen-protected fat on feed intake in lambs and changes fatty acid profile in meat. Full article
16 pages, 6061 KB  
Article
Effect of Fatty Acid Mixture on the Hyperplastic and Hypertrophic Growth of Subcutaneous Bovine Stromal Vascular Fraction Cells In Vitro
by Aliute N. S. Udoka and Susan K. Duckett
Lipidology 2025, 2(2), 8; https://doi.org/10.3390/lipidology2020008 - 7 Apr 2025
Viewed by 1033
Abstract
Background: Adipose tissue growth follows a biphasic process involving both cellular hyperplasia (an increase in adipocyte number) and hypertrophy (an increase in adipocyte size). Rumen-protected fatty acid supplements have been utilized to alter fat deposition, modify the fatty acid composition of meat, and [...] Read more.
Background: Adipose tissue growth follows a biphasic process involving both cellular hyperplasia (an increase in adipocyte number) and hypertrophy (an increase in adipocyte size). Rumen-protected fatty acid supplements have been utilized to alter fat deposition, modify the fatty acid composition of meat, and reduce methane emissions. However, limited research has explored how different fatty acid mixtures influence adipose tissue’s biphasic growth phases. Methods: The objectives of this study are to investigate the effects of fatty acid mixtures (seven different mixtures) on: (1) hyperplasia of undifferentiated stromal vascular fraction (SVF) cells, or (2) hypertrophy of chemically differentiated SVF cells isolated from subcutaneous adipocytes of finished steers. Results: Mixtures containing palmitic and linoleic acids stimulated hyperplasia, enhancing the proliferation of undifferentiated SVF cells, while mixtures with oleic acid (50%) predominantly promoted hypertrophy, driving lipid accumulation and adipocyte maturation. Conversely, mixtures composed solely of saturated fatty acids (50% palmitic and 50% stearic acids) exhibited a profound inhibitory effect on both hyperplasia and hypertrophy, underscoring the importance of fatty acid composition in regulating adipogenesis. Conclusions: These findings demonstrate that the composition of fatty acid mixtures directly influences adipogenesis and lipogenesis in vitro, highlighting their potential role in designing tailored rumen-protected supplements for modifying fat deposition in livestock. Full article
Show Figures

Figure 1

11 pages, 1538 KB  
Article
Evaluation of Rumen-Protected Methionine Supplementation on Milk Production and Composition in Crossbred Dairy Sheep
by Juan Carlos Angeles-Hernandez, Josué Vicente Cervantes-Bazán, Rodolfo Vieyra-Alberto, Angelica Valeria Lorenzana-Moreno, Ángel Garduño-García and Augusto César Lizarazo-Chaparro
Animals 2025, 15(7), 960; https://doi.org/10.3390/ani15070960 - 27 Mar 2025
Viewed by 1940
Abstract
In dairy sheep, optimum nutrition is required to maintain a positive energy and nitrogen balance, and therefore, achieve adequate performance levels. In this sense, supplemental rumen-protected methionine (RPMet) has been a nutritional strategy used to improve the availability of amino acids in sheep [...] Read more.
In dairy sheep, optimum nutrition is required to maintain a positive energy and nitrogen balance, and therefore, achieve adequate performance levels. In this sense, supplemental rumen-protected methionine (RPMet) has been a nutritional strategy used to improve the availability of amino acids in sheep for milk production. The aim of the current study is to assess the effect of RPMet supplementation on the milk yield and milk composition of crossbred dairy sheep. Twenty F1 sheep (50% Pelibuey × 50% East Friesian) were randomly assigned to one of the following three treatments: C (control: 0 g/d), 3 g (3.0 g/d), or 6 g (6 g/d) of RPMet added to the basal diet from day 2 to 120 after lambing. Milk yield was significantly higher in sheep supplemented with 6 g of RPMet (p = 0.04) with a linear effect (p < 0.001). In relation to protein yield, the 6 g treatment showed the highest values (55.5 g/day) in comparison with the control (35.2 g/day) and 3 g (42.3 g/day) treatments. Also, lactose (p = 0.02) and non-fat solid yield (p = 0.03) were positively affected by the methionine supplementation. Our results suggest that methionine supplementation is an option to increase milk production, likely associated with the better availability of nutrients of dairy sheep farms using crossbred sheep in regions with an incipient dairy sheep industry. Full article
(This article belongs to the Special Issue Lactation Physiology and Milk Quality of Small Ruminants)
Show Figures

Figure 1

15 pages, 1621 KB  
Article
Effects of Supplementing Rumen-Protected Glutathione on Lactation Performance, Nutrients, Oxidative Stress, Inflammation, and Health in Dairy Cows During the Transition Period
by Yu Hao, Xuejie Jiang, Rui Sun, Yunlong Bai, Chuang Xu, Yuxi Song and Cheng Xia
Vet. Sci. 2025, 12(2), 84; https://doi.org/10.3390/vetsci12020084 - 23 Jan 2025
Cited by 1 | Viewed by 1974
Abstract
Glutathione (GSH), widely present in plant and animal cells and crucial for combating oxidative stress and inflammation, has not been evaluated in dairy cows. This study aims to evaluate the effects of rumen-protected glutathione (RPGSH) supplementation on lactation, nutrient metabolism, oxidative stress, inflammation, [...] Read more.
Glutathione (GSH), widely present in plant and animal cells and crucial for combating oxidative stress and inflammation, has not been evaluated in dairy cows. This study aims to evaluate the effects of rumen-protected glutathione (RPGSH) supplementation on lactation, nutrient metabolism, oxidative stress, inflammation, and health in transition dairy cows. Forty Holstein dairy cows (2.65 ± 0.78 of parity, 2.81 ± 0.24 of body condition score, 9207.56 ± 1139.18 kg of previous 305-day milk yield, 657.53 ± 55.52 kg of body weight, mean ± SD) were selected from a large cohort of 3215 cows on day 21 before expected calving (day −21 ± 3 d). Cows were randomly stratified into four dietary treatment groups (n = 10 per group): control (basal diet + 0 g/d RPGSH); T1 (basal diet + 1.5 g/d RPGSH); T2 (basal diet + 2 g/d RPGSH); and T3 (basal diet + 3 g/d RPGSH). Supplementation commenced approximately 21 days (±3) prepartum and continued through 21 days postpartum. Blood samples were collected at −21 ± 3, −14 ± 3, −7 ± 3, 0, 7, 14, and 21 d for analysis of serum metabolic parameters related to oxidative stress and inflammation. Milk composition was analyzed from samples collected on days 3, 7, 14, and 21 postpartum. Compared with the control group, supplementation with 2 g/d of RPGSH reduced somatic cell count (p < 0.05) and the incidence of postpartum diseases in dairy cows. No differences were observed among the groups in milk yield, milk fat, protein, lactose, total solids, dry matter intake, or energy-corrected milk. However, fat-corrected milk and feed efficiency were higher in the T2 group compared to the control (p < 0.05). Calcium and phosphorus levels did not differ among the groups. Compared to the control group, cows supplemented with 2 g/d RPGSH had lower β-hydroxybutyrate levels and higher glucose levels on days 14 and 21 postpartum (p < 0.05). From days 14 to 21 postpartum, RPGSH supplementation increased blood GSH, serum catalase, and total antioxidant capacity while reducing malondialdehyde, reactive oxygen species, haptoglobin, cortisol, C-reactive protein, and interleukin−6 levels compared with the control group (p < 0.05). The supplementation of 2 g/d RPGSH showed relatively better effects. RPGSH supplementation at 2 g/d improved lactation performance, nutrient metabolism, oxidative stress, and inflammation status in dairy cows, playing a crucial role in maintaining their health. To our knowledge, this is the first report on the effects of supplementing RPGSH additive in Holstein cows. Full article
(This article belongs to the Section Veterinary Internal Medicine)
Show Figures

Figure 1

13 pages, 1655 KB  
Article
Dietary Supplementation with Rumen-Protected Arginine or N-Carbamylglutamate Enhances Fetal Liver Development in Nutrient-Restricted Pregnant Hu Ewes
by Yuexia Lin, Lingwei Sun, Mengqian He, Jiehuan Xu, Caifeng Wu, Jun Gao and Jianjun Dai
Animals 2024, 14(13), 1988; https://doi.org/10.3390/ani14131988 - 5 Jul 2024
Viewed by 1640
Abstract
This study was conducted in nutrient-restricted pregnant Hu ewes to determine whether rumen-protected arginine (RP-Arg) or N-carbamylglutamate (NCG) supplementation affects fetal liver growth and development. From 35 d to 110 d of gestation, 32 Hu ewes were randomly divided into four groups: a [...] Read more.
This study was conducted in nutrient-restricted pregnant Hu ewes to determine whether rumen-protected arginine (RP-Arg) or N-carbamylglutamate (NCG) supplementation affects fetal liver growth and development. From 35 d to 110 d of gestation, 32 Hu ewes were randomly divided into four groups: a control group (100% of the National Research Council (NRC) requirements), a nutrient-restricted group (50% of the NRC requirements), and two treatment groups (ARG and NCG, 50% of the NRC requirements, supplemented with 20 g/day RP-Arg or 5 g/day NCG, respectively). Fetal body weights, fetal liver growth performance, the capability of antioxidation, and the expression of the mRNA and proteins of apoptosis-related genes in the fetal liver were determined and analyzed at 110 d of gestation. The dry matter, water, fat, protein, and ash components of the fetal livers in the RG group were found to be lower than in the CG group, and these components were significantly higher in the NCG group than in the RG group (p < 0.05). A decrease in DNA, RNA, and protein concentrations and contents, as well as in protein/DNA ratios, was observed in the RG group in comparison to the CG group (p < 0.05). Compared with the RG group, the NCG group had higher concentrations of DNA, RNA, and protein, as well as higher protein/DNA ratios (p < 0.05). The RG group had lower concentrations of cholinesterase, nitric oxide, nitric oxide synthase, superoxide dismutase, alanine aminotransferase, and total protein than the CG group (p < 0.05). The RG group had higher levels of glutathione peroxidase, maleic dialdehyde, and aspartate aminotransferase than the CG group (p < 0.05). In the RG group, the mRNA and protein expression of p53 and Bax was significantly increased (p < 0.05) compared with the CG group, and the gene expression of FasL and Bcl-2, the ratio of Bcl-2 to Bax, and the protein expression of Bcl-2 in the RG group were lower (p < 0.05) than in the CG group. It appears that RP-Arg and NCG supplementation during pregnancy could influence fetal liver growth and development. A nutrition-based therapeutic intervention to alleviate reduced fetal growth can be developed based on this study, which has demonstrated that maternal undernutrition during pregnancy induces the maldevelopment of the fetal liver. Full article
Show Figures

Figure 1

13 pages, 2040 KB  
Article
The Changes in Fecal Bacterial Communities in Goats Offered Rumen-Protected Fat
by Hu Liu, Weishi Peng, Kaiyu Mao, Yuanting Yang, Qun Wu, Ke Wang, Meng Zeng, Xiaotao Han, Jiancheng Han and Hanlin Zhou
Microorganisms 2024, 12(4), 822; https://doi.org/10.3390/microorganisms12040822 - 19 Apr 2024
Cited by 10 | Viewed by 2281
Abstract
Leizhou goats are famous for their delicious meat but have inferior growth performance. There is little information on rumen-protected fat (RPF) from the Leizhou goat. Hence, we observed the effects of RPF on growth, fecal short-chain fatty acids, and bacteria community with respect [...] Read more.
Leizhou goats are famous for their delicious meat but have inferior growth performance. There is little information on rumen-protected fat (RPF) from the Leizhou goat. Hence, we observed the effects of RPF on growth, fecal short-chain fatty acids, and bacteria community with respect to Leizhou goats. Twelve goats (13.34 ± 0.024 kg) were selected and assigned randomly to one of two treatments: (1) a control diet (CON) and (2) 2.4% RPF with a control diet (RPF). The final body weight and average daily gain (ADG) were greater (p < 0.05), and the dry matter intake (DMI): ADG was lower (p < 0.05) in the RPF group than in the CON group. There were no differences in DMI between the CON and RPF groups. The concentrations of total short-chain fatty acids, acetate, propionate, and butyrate were lower (p < 0.05) in the RPF group than in the CON group. The relative abundances of Ruminococcus, Rikenellaceae_RC9_gut_group, Treponema, norank_f__norank_o__RF39, Eubacterium_siraeum_group, and Ruminococcus_torques_group were lower (p < 0.05) in the RPF group than in the CON group. The relative abundances of Bacteroides, norank_f__norank_o__Clostridia_UCG-014, norank_f__Eubacterium_coprostanoligenes_group, Eubacterium_ruminantium_group, norank_f__Oscillospirale-UCG-010, Oscillospiraceae_UCG-002, and Family_XIII_AD3011_group were greater (p < 0.05) in the RPF group than in the CON group. It was concluded that RPF could improve the goats’ growth performance by regulating their fecal bacteria communities. Full article
(This article belongs to the Section Veterinary Microbiology)
Show Figures

Figure 1

18 pages, 2088 KB  
Article
Rumen-Protected Choline Improves Metabolism and Lactation Performance in Dairy Cows
by Fábio Soares de Lima, Manoel Francisco Sá Filho, Leandro Ferreira Greco and José Eduardo Portela Santos
Animals 2024, 14(7), 1016; https://doi.org/10.3390/ani14071016 - 27 Mar 2024
Cited by 6 | Viewed by 4375
Abstract
Choline is required for the synthesis of phosphatidylcholine, an important constituent of lipoproteins. Early lactation cows presumably synthesize insufficient phosphatidylcholine, and choline supplementation in a rumen-protected form might benefit metabolism and lactation. The objectives of this study were to determine the effects of [...] Read more.
Choline is required for the synthesis of phosphatidylcholine, an important constituent of lipoproteins. Early lactation cows presumably synthesize insufficient phosphatidylcholine, and choline supplementation in a rumen-protected form might benefit metabolism and lactation. The objectives of this study were to determine the effects of feeding rumen-protected choline (RPC) on lactation and metabolism in dairy cows. In experiment 1, 369 nulliparous and parous Holstein cows housed in four pens per treatment were fed 12.9 g/day of choline as RPC from 25 days prepartum until 80 days postpartum. In experiment 2, 578 nulliparous cows housed in five pens/treatment were fed 12.9 g/day of choline as RPC in the last 22 days of gestation only. In both experiments, blood was sampled and analyzed for concentrations of nonesterified fatty acids (NEFAs) and glucose at 1, 14, and 21 days postpartum and of choline at 1 and 14 days postpartum. Blood from all cows was sampled and analyzed for concentrations of β-OH butyrate (BHB) at 1 and 14 days postpartum. Cows with BHB > 1.2 mmol/L were classified as having hyperketonemia. Hepatic tissue was collected from 46 cows from the eight pens in experiment 1 at 9 days postpartum and analyzed for concentrations of glycogen and triacylglycerol. Milk yield and components were measured for 80 days postpartum in experiment 1, whereas only milk yield was measured in experiment 2. The pen was the experimental unit of analysis. Supplementing RPC tended to increase dry matter intake (DMI) prepartum in experiments 1 and 2 and postpartum in experiment 1. Feeding cows with RPC increased yields of 3.5% fat-corrected milk (42.8 vs. 44.8 kg/day), energy-corrected milk (38.5 vs. 40.3 kg/day), milk fat (1.52 vs. 1.61 kg/day), and true protein (1.16 vs. 1.21 kg/day) in experiment 1. Milk yield tended to be greater with RPC (26.4 vs. 27.4 kg/day) in experiment 2. Supplementing RPC increased plasma choline concentrations on day 14 postpartum in experiment 1 (3.32 ± 0.27 vs. 4.34 ± 0.28 µM) and on day 1 in experiment 2 (3.35 ± 0.16 and 13.73 ± 0.15 µM). Treatment did not affect the concentrations of glucose, NEFAs, or BHB in plasma, but the incidence of hyperketonemia was less in multiparous cows fed RPC than those fed the control in experiment 1. Feeding cows with RPC reduced hepatic triacylglycerol content and tended to reduce the ratio of triacylglycerol to glycogen and the risk of hepatic lipidosis in cows in experiment 1. The concentrations of hepatic triacylglycerol on day 9 postpartum were inversely related to those of choline in plasma on day 1 postpartum. Feeding cows with RPC improved lactation and metabolism, but more benefits were noted when it was fed before and after calving. Full article
(This article belongs to the Special Issue Research Advances in Dairy Cow Nutrition)
Show Figures

Figure 1

14 pages, 1292 KB  
Article
Effects of Immunocastration and Amino Acid Supplementation on Yearling Fallow Deer (Dama dama) Testes Development
by Thoniso Chitambala, Veit Ny, Francisco Ceacero, Luděk Bartoň, Daniel Bureš, Radim Kotrba and Tersia Needham
Animals 2024, 14(1), 115; https://doi.org/10.3390/ani14010115 - 28 Dec 2023
Cited by 3 | Viewed by 1932
Abstract
Forty-four fallow deer bucks (10 months old; 22.9 ± 2.4 kg) were utilized to investigate the effects of immunocastration and amino acid supplementation on testes development. Immunocastrated bucks were administered Improvac® at weeks 1, 8, and 20 of this study (control group: [...] Read more.
Forty-four fallow deer bucks (10 months old; 22.9 ± 2.4 kg) were utilized to investigate the effects of immunocastration and amino acid supplementation on testes development. Immunocastrated bucks were administered Improvac® at weeks 1, 8, and 20 of this study (control group: intact males). Starting at week 8, half of each sex received rumen-protected lysine and methionine (3:1) supplementation. At slaughter (week 37/39), body size, internal fat deposits, antler size parameters, testes weight, testes surface color, cauda epididymal sperm viability and morphology, and seminiferous tubule circumference and epithelium thickness were determined. Animals with larger body sizes, greater forequarter development, and antler growth also had greater testes development. Whilst the result of immunocastration on testes size is unexpected, testes tissue showed impaired development (atrophied seminiferous tubules), decreased sperm viability, and normal morphology. Testes tissue from immunocastrated deer was less red, possibly indicating reduced blood supply. Conversely, amino acid supplementation increased testes’ redness and sperm viability, and intact males fed amino acids showed the greatest seminiferous tubule development. Thus, immunocastration may be a welfare-friendly alternative for venison production. Whilst the results support findings from the literature that testes size is not a reliable indicator of immunocastration success, this warrants further investigation in deer over different physiological development stages. Full article
(This article belongs to the Special Issue Advances in Deer Physiology and Reproduction)
Show Figures

Figure 1

24 pages, 414 KB  
Review
Enhancing Metabolism and Milk Production Performance in Periparturient Dairy Cattle through Rumen-Protected Methionine and Choline Supplementation
by Bingjian Huang, Muhammad Zahoor Khan, Xiyan Kou, Yinghui Chen, Huili Liang, Qudrat Ullah, Nadar Khan, Adnan Khan, Wenqiong Chai and Changfa Wang
Metabolites 2023, 13(10), 1080; https://doi.org/10.3390/metabo13101080 - 14 Oct 2023
Cited by 15 | Viewed by 4980
Abstract
For dairy cattle to perform well throughout and following lactations, precise dietary control during the periparturient phase is crucial. The primary issues experienced by periparturient dairy cows include issues like decreased dry matter intake (DMI), a negative energy balance, higher levels of non-esterified [...] Read more.
For dairy cattle to perform well throughout and following lactations, precise dietary control during the periparturient phase is crucial. The primary issues experienced by periparturient dairy cows include issues like decreased dry matter intake (DMI), a negative energy balance, higher levels of non-esterified fatty acids (NEFA), and the ensuing inferior milk output. Dairy cattle have always been fed a diet high in crude protein (CP) to produce the most milk possible. Despite the vital function that dairy cows play in the conversion of dietary CP into milk, a sizeable percentage of nitrogen is inevitably expelled, which raises serious environmental concerns. To reduce nitrogen emissions and their production, lactating dairy cows must receive less CP supplementation. Supplementing dairy cattle with rumen-protected methionine (RPM) and choline (RPC) has proven to be a successful method for improving their ability to use nitrogen, regulate their metabolism, and produce milk. The detrimental effects of low dietary protein consumption on the milk yield, protein yield, and dry matter intake may be mitigated by these nutritional treatments. In metabolic activities like the synthesis of sulfur-containing amino acids and methylation reactions, RPM and RPC are crucial players. Methionine, a limiting amino acid, affects the production of milk protein and the success of lactation in general. According to the existing data in the literature, methionine supplementation has a favorable impact on the pathways that produce milk. Similarly, choline is essential for DNA methylation, cell membrane stability, and lipid metabolism. Furthermore, RPC supplementation during the transition phase improves dry matter intake, postpartum milk yield, and fat-corrected milk (FCM) production. This review provides comprehensive insights into the roles of RPM and RPC in optimizing nitrogen utilization, metabolism, and enhancing milk production performance in periparturient dairy cattle, offering valuable strategies for sustainable dairy farming practices. Full article
(This article belongs to the Special Issue Feedlot Ruminant Nutrition and Metabolism)
Show Figures

Graphical abstract

15 pages, 1452 KB  
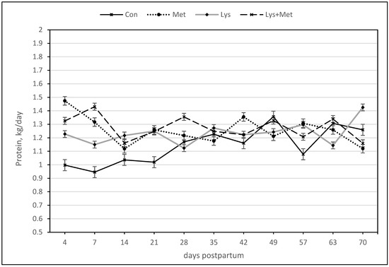
Article
An Evaluation of the Supplementation of Rumen-Protected Lysine and Methionine on the Lactation Performance of Fall Parturition Grazing Holstein Cows in Southern Chile
by Pedro Melendez, Jan Möller, Alejandra Arevalo, Claudio Stevens and Pablo Pinedo
Animals 2023, 13(19), 3118; https://doi.org/10.3390/ani13193118 - 6 Oct 2023
Cited by 2 | Viewed by 2537
Abstract
The aim of this study was to evaluate the effect of the supplementation of rumen-protected (RP) methionine and lysine on milk yield, solids, and body weight over time on fall-calving grazing multiparous Holstein cows from Chile. Four treatment groups were studied and compared [...] Read more.
The aim of this study was to evaluate the effect of the supplementation of rumen-protected (RP) methionine and lysine on milk yield, solids, and body weight over time on fall-calving grazing multiparous Holstein cows from Chile. Four treatment groups were studied and compared for the outcomes over time. The treatments were as follows: (i) CON: control (n = 26); (ii) RP lysine group (LYS; 20 g per cow per day; n = 26); (iii) RP methionine group (MET; 20 g per cow per day; n = 26); and (iv) LYS × MET (RP lysine and RP methionine 20 g of each amino acid per cow per day; n = 26). Data were analyzed with general linear mixed model ANOVAs for repeated measures to primarily test the main effects of each amino acid and their interactions. The supplementation of the amino acids was conducted from 2 to 70 days postpartum. Overall, milk production tended to be higher in the MET and in the LYS × MET group when compared to the control group. Furthermore, CON produced significantly less milk protein (kg) and milk fat (kg) than the LYS, MET, and LYS × MET groups. Milk urea tended to be lower during the entire study in the CON group than the rest of the groups. There was a trend for a reduction in the losses of postpartum body weight in the LYS × MET than the CON. In conclusion, RP methionine and lysine improved milk fat and protein yield in grazing multiparous cows with fall parturitions; consequently, both RP amino acids can be used as a strategy for improving grazing cows’ production performance. Full article
(This article belongs to the Section Animal Nutrition)
Show Figures

Figure 1

15 pages, 508 KB  
Article
Evaluating the Rumen Degradation of Novel Protected Gelatin Capsules Containing Fish Oil Fed to Lactating Dairy Cows
by Omar Manuel Pena, Kevin Murphy, Nathan Long, Gustavo J. Lascano, Thomas C. Jenkins and Matías J. Aguerre
Animals 2023, 13(16), 2555; https://doi.org/10.3390/ani13162555 - 8 Aug 2023
Cited by 6 | Viewed by 2563
Abstract
The objective of this study was to assess the effects of feeding gelatin capsules containing fish oil, treated with alcoholic solutions of flavoring agents followed by drying, on lactation performance, rumen fatty acids content and milk enrichment of fatty acids. In Trial 1, [...] Read more.
The objective of this study was to assess the effects of feeding gelatin capsules containing fish oil, treated with alcoholic solutions of flavoring agents followed by drying, on lactation performance, rumen fatty acids content and milk enrichment of fatty acids. In Trial 1, four multiparous ruminally fistulated Holstein cows were randomly assigned to one of four dietary treatments sequences in a 4 × 4 Latin square design. Treatments consisted of (1) Control with no capsules, (2) Control plus 200 untreated capsules per cow/day, mixed with the TMR, (3) Control plus 200 treated capsules per cow/day placed directly into the rumen, (4) Control plus 200 treated capsules per cow/day, mixed with the TMR. In Trial 2, three fistulated Holstein and three fistulated Jersey multiparous cows were randomly assigned to three dietary treatments sequences in a replicated 3 × 3 Latin square design. Treatments consisted of (1) Control with no capsules fed to the cows, (2) Control plus 180 untreated capsules per cow/day, (3) Control plus 180 treated capsules per cow/day. Compared to control, feeding fish oil capsules significantly (Trial 1) or numerically (Trial 2) reduced milk fat concentration and yield. Furthermore, in both trials, the feeding of untreated or treated capsules had no effect on animal performance or milk composition. In both trials, compared to controls, supplementing the diet with fish oil capsules consistently increased total trans C18:1 isomers and DHA concentration in the rumen and milk fat. However, for both trials, capsule protection treatment had a minimal effect on the concentration of any of the reported rumen and milk fatty acids. When assessed under laboratory control conditions, due to water absorption, the treated capsule weight was increased by 40% while resistance to pressure decreased by 84% after 2 h of incubation in water. The results of this study suggest that due to a reduction in the capsule shell’s resistance to abrasion, treated capsules marginally prevented the release of fish oil in the rumen. Full article
(This article belongs to the Section Animal Nutrition)
Show Figures

Figure 1

Back to TopTop