Sign in to use this feature.

Years

Between: -

Subjects

remove_circle_outline
remove_circle_outline
remove_circle_outline
remove_circle_outline
remove_circle_outline
remove_circle_outline
remove_circle_outline
remove_circle_outline
remove_circle_outline

Journals

Article Types

Countries / Regions

Search Results (97)

Search Parameters:
Keywords = rooster

Order results
Result details
Results per page
Select all
Export citation of selected articles as:
20 pages, 1707 KB  
Article
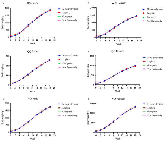
Comparative Study on Growth Performance and Meat Production Traits of Reciprocal Crosses Between Guizhou Recessive White Chickens and Qiandongnan Xiaoxiang Chickens
by Yingping Tian, Xiaoya Wang, Yong Yue, Muhammad Arif, Yaozhou Jiang, Qinsong Liu, Yun Du, Xudong Zhao and Fuping Zhang
Animals 2025, 15(22), 3262; https://doi.org/10.3390/ani15223262 - 11 Nov 2025
Viewed by 117
Abstract
Indigenous chicken breeds often exhibit desirable meat quality but slower growth. This study evaluated growth, body size, slaughter traits, meat quality, and heterosis in reciprocal crosses between Guizhou recessive white (GW) and Qiandongnan Xiaoxiang (QX) chickens. A complete diallel cross produced four populations [...] Read more.
Indigenous chicken breeds often exhibit desirable meat quality but slower growth. This study evaluated growth, body size, slaughter traits, meat quality, and heterosis in reciprocal crosses between Guizhou recessive white (GW) and Qiandongnan Xiaoxiang (QX) chickens. A complete diallel cross produced four populations (WW: GW♂ × GW♀; QQ: QX♂ × QX♀; QW: QX♂ × GW♀; WQ: GW♂ × QX♀). To assess growth dynamics, body weight was recorded from hatch to 18 weeks and fitted with Logistic, Gompertz, and Von Bertalanffy models. At 18 weeks, 160 birds (40 per group, equal sex ratio) were assessed for body size, carcass yield, and meat quality. The results showed clear paternal effects. For instance, WQ (GW sire) outperformed QW (QX sire): WQ roosters had higher body weight at 18 weeks (1784.1 g vs. QW, p < 0.05) and greater heterosis (12.38%, 95%CI: 9.15–15.61 vs. 2.54%, 95%CI: −0.66–5.74). WQ hens also showed stronger heterosis despite similar body weight to QW hens (8.05%, 95%CI: 5.04–11.04 vs. 4.05%, 95%CI: 0.67–7.43). Growth curves were generally best described by the Von Bertalanffy model (R2 ≥ 0.998), except in QW roosters, where the Gompertz model fitted better. Hybrid progeny (WQ and QW) showed improved slaughter traits over QQ, with WQ roosters exhibiting higher heterosis rates (14.09–30.71%) than QW (1.08–21.93%). Meat tenderness was superior in QQ, while QW showed advantages over WQ in tenderness and water retention. Overall, crossbreeding enhanced growth and carcass traits, and using GW as the male parent (WQ) was most effective. These findings provide practical evidence for improving Qiandongnan Xiaoxiang chickens through crossbreeding. Moreover, the observed paternal effects on growth traits suggest the need for further investigation into underlying mechanisms such as genomic imprinting and growth-related hormonal pathways. Full article
(This article belongs to the Special Issue Advances in Genetic Analysis of Important Traits in Poultry)
Show Figures

Figure 1

30 pages, 3550 KB  
Article
Enhancing Logistic Modeling for Diauxic Growth and Biphasic Antibacterial Activity Synthesis by Lactic Acid Bacteria in Realkalized Fed-Batch Fermentations
by Nelson Pérez Guerra
Mathematics 2025, 13(19), 3105; https://doi.org/10.3390/math13193105 - 28 Sep 2025
Viewed by 281
Abstract
The logistic modeling of diauxic growth and biphasic antibacterial activity (AA) production was enhanced for four lactic acid bacteria (Lactococcus lactis CECT 539, Pediococcus acidilactici NRRL B-5627, Lactobacillus casei CECT 4043, and Enterococcus faecium CECT 410) during realkalized fed-batch fermentations. The improved [...] Read more.
The logistic modeling of diauxic growth and biphasic antibacterial activity (AA) production was enhanced for four lactic acid bacteria (Lactococcus lactis CECT 539, Pediococcus acidilactici NRRL B-5627, Lactobacillus casei CECT 4043, and Enterococcus faecium CECT 410) during realkalized fed-batch fermentations. The improved growth model, also validated for describing the diauxic growth of Mos breed roosters and foals, overcomes a key limitation of the bi-logistic model, which assumes the existence of two distinct populations growing from the start of the culture, each following a different growth profile. In contrast, the improved logistic growth model developed in this study accounts for a single population growing at two rates, offering a fit to the experimental data comparable to that of the commonly used bi-logistic model. The enhanced model for product synthesis accurately describes biphasic AA production, assuming that antibacterial products are synthesized as growth-associated metabolites, depending on the final pH reached in the cultures at each sampling time. Additionally, it is easier to apply than the unmodified or modified differential forms of the Luedeking–Piret model. This study demonstrated, for the first time, the applicability of these two models in describing the diauxic growth and biphasic AA synthesis of LAB. Full article
(This article belongs to the Section E: Applied Mathematics)
Show Figures

Figure 1

19 pages, 1091 KB  
Article
Genetic Signatures of Competitive Performance in Burmese Gamecocks: A Transcriptomic Analysis
by Supawadee Piratae, Chanistha Yamtubtim, Thanitaporn Nonsri, Panpanit Poomprasert and Tarid Purisotayo
Biology 2025, 14(8), 1066; https://doi.org/10.3390/biology14081066 - 16 Aug 2025
Viewed by 713
Abstract
Understanding the genetic basis of high-performance animals is vital for biological insight and breeding. This study aimed to identify genetic factors distinguishing champion gamecocks (Gallus gallus domesticus) from less successful ones, representing the first study to link transcriptomic profiles directly to [...] Read more.
Understanding the genetic basis of high-performance animals is vital for biological insight and breeding. This study aimed to identify genetic factors distinguishing champion gamecocks (Gallus gallus domesticus) from less successful ones, representing the first study to link transcriptomic profiles directly to competitive outcomes. Using RNA sequencing on non-invasive feather samples, we compared gene expression between high-performing (≥80% win rate) and low-performing (≤20% win rate) cohorts. Our analysis identified 441 differentially expressed genes. Notably, the high-performing cocks exhibited the significant upregulation of genes integral to muscle development and repair (e.g., SYNPO2, POPDC2) and enhanced neural function (NRN1). Conversely, several genes involved in neural development pathways, including CNTNAP2 and GFRA4, were significantly downregulated in the high-performing group. These findings suggest that a rooster’s competitive success is not determined by a single factor, but by a complex interplay of superior muscular capabilities and uniquely regulated neurological pathways. The identified genes provide a set of potential biomarkers that could inform selective breeding strategies aimed at enhancing performance traits in gamecocks. Full article
Show Figures

Figure 1

19 pages, 1702 KB  
Article
Optimizing Rooster Semen Preservation: Effect of Oxygen Exposure, Sample Rotation, and HEPES Buffer Supplementation
by Khomsan Buathalad, Thirawat Koedkanmark, Wuttigrai Boonkum and Vibuntita Chankitisakul
Animals 2025, 15(16), 2391; https://doi.org/10.3390/ani15162391 - 14 Aug 2025
Viewed by 727
Abstract
This study aimed to investigate physical and biochemical strategies to optimize the preservation and fertilizing capacity of rooster semen during chilled storage and after artificial insemination (AI), respectively. Two semen extenders—0.9% sodium chloride (NaCl) and IGGKPh—were evaluated through two factorial experiments. In Experiment [...] Read more.
This study aimed to investigate physical and biochemical strategies to optimize the preservation and fertilizing capacity of rooster semen during chilled storage and after artificial insemination (AI), respectively. Two semen extenders—0.9% sodium chloride (NaCl) and IGGKPh—were evaluated through two factorial experiments. In Experiment 1, a 2 × 2 factorial design was used to examine the effects of oxygen exposure (aerobic vs. reduced-oxygen conditions) and tube rotation (rotated vs. non-rotated) on semen quality during 24 h of storage at 5 °C. Sperm quality was evaluated based on progressive motility, viability, pH, and malondialdehyde (MDA) concentration. IGGKPh was significantly more effective than NaCl in preserving sperm function, maintaining motility above 70% and viability near 90%. Aerobic conditions and tube rotation improved motility but also increased MDA levels, indicating a tradeoff between enhanced metabolic activity and oxidative stress. Semen stored in NaCl lost its fertilizing capacity after 22 h, whereas IGGKPh under aerobic and rotated conditions resulted in significantly higher fertility rates (91.77%) compared with non-rotated samples. In Experiment 2, the effects of HEPES buffer supplementation (present vs. absent) and handling temperature (5 °C vs. 25 °C) were evaluated under simulated AI conditions. Semen extended in IGGKPh was stored at 5 °C for 22 h prior to handling, while NaCl samples were used immediately after dilution. Sperm quality was assessed at 0, 30, and 60 min of exposure. HEPES significantly reduced MDA levels and improved motility and viability in both extenders. Fertility rates were highest in the HEPES-supplemented groups, especially under chilled handling. In conclusion, optimal preservation of rooster semen requires a combination of metabolic support, adequate oxygen availability, gentle mixing, and pH stabilization. While IGGKPh was effective for storage up to 24 h, its performance was further enhanced by HEPES buffer. These findings offer practical recommendations for AI programs in poultry, particularly under field conditions where temperature fluctuations and delayed insemination are common. Full article
(This article belongs to the Section Animal Reproduction)
Show Figures

Figure 1

18 pages, 2393 KB  
Review
Aggressive Mating Behavior in Roosters (Gallus gallus domesticus): A Narrative Review of Behavioral Patterns
by Mihnea Lupu, Dana Tăpăloagă, Elena Mitrănescu, Raluca Ioana Rizac, George Laurențiu Nicolae and Manuella Militaru
Life 2025, 15(8), 1232; https://doi.org/10.3390/life15081232 - 3 Aug 2025
Viewed by 1490
Abstract
This review explores sexual aggression in broiler breeder males, aiming to synthesize existing scientific evidence regarding its causes, behavioral manifestations, and consequences, while addressing the genetic, neuroendocrine, and environmental mechanisms involved. Through an extensive analysis of scientific literature, the paper highlights that intensive [...] Read more.
This review explores sexual aggression in broiler breeder males, aiming to synthesize existing scientific evidence regarding its causes, behavioral manifestations, and consequences, while addressing the genetic, neuroendocrine, and environmental mechanisms involved. Through an extensive analysis of scientific literature, the paper highlights that intensive genetic selection aimed at enhancing growth and productivity has resulted in unintended behavioral dysfunctions. These include the reduction or absence of courtship behavior, the occurrence of forced copulations, and a notable increase in injury rates among hens. Reproductive challenges observed in meat-type breeder flocks, in contrast to those in layer lines, appear to stem from selection practices that have overlooked traits related to mating behavior. Environmental and managerial conditions, including photoperiod manipulation, stocking density, nutritional imbalances, and the use of mixed-sex rearing systems, are also identified as contributing factors to the expression of sexual aggression. Furthermore, recent genetic findings indicate a potential link between inherited neurobehavioral factors and aggressive behavior, with the SORCS2 gene emerging as a relevant candidate. Based on these insights, the review emphasizes the importance of considering behavioral parameters in breeding programs in order to reconcile productivity objectives with animal welfare standards. Future research may benefit from a more integrative approach that combines behavioral, physiological, and genomic data to better understand and address the multifactorial nature of sexual aggression in poultry systems. Full article
(This article belongs to the Section Animal Science)
Show Figures

Figure 1

13 pages, 435 KB  
Article
Rooster Behavior and Laying Breeder Performance in Natural Mating Cages as a Function of Different Rearing Management
by Yuqi Chen, Yalan Zuo, Aosui Zhao, Yao Zhang, Shunshun Han, Can Cui and Huadong Yin
Animals 2025, 15(13), 1925; https://doi.org/10.3390/ani15131925 - 30 Jun 2025
Viewed by 669
Abstract
Natural mating colony cages are crucial in poultry breeding, yet breed-specific management requires further investigation. We evaluated the effects of sex ratios, stocking densities, and cohabitation age on Lohmann Pink-shell breeders’ performance. A total of 6126 birds were randomly allocated to experimental groups [...] Read more.
Natural mating colony cages are crucial in poultry breeding, yet breed-specific management requires further investigation. We evaluated the effects of sex ratios, stocking densities, and cohabitation age on Lohmann Pink-shell breeders’ performance. A total of 6126 birds were randomly allocated to experimental groups with varying ratios (1:8–1:13), densities (582–748 cm2/bird), and cohabitation ages (120/140 days), each containing six replicates. We monitored male mating frequencies at 50 weeks in 1:8 and 1:10 ratio groups. All 120-day-old groups showed delayed production onset and superior male weight compliance (p < 0.01), with reduced egg breakage and increased healthy chick output (p < 0.01). Lower stocking densities (748/694 cm2/bird) showed lower breakage rate and uniformity than 582 cm2/bird (p < 0.05). The 1:10 sex ratio achieved optimal egg production and fertilization rate (p < 0.05). Male mating peaked between 16:00 and 18:00. Optimal parameters were 120-day age of cohabitation, 694 cm2/bird density, and 1:10 sex ratio, providing theoretical guidance for natural mating colony cage development in layer breeding. Full article
(This article belongs to the Section Animal Welfare)
Show Figures

Figure 1

12 pages, 2086 KB  
Article
Factor Analysis of Semen Quality in Chicken and Its Impact on Fertility
by Yunlei Li, Yanyan Sun, Aixin Ni, Hailai Hagos Tesfay, Adamu Mani Isa, Yunhe Zong, Hui Ma, Jingwei Yuan and Jilan Chen
Animals 2025, 15(13), 1906; https://doi.org/10.3390/ani15131906 - 28 Jun 2025
Cited by 1 | Viewed by 1170
Abstract
Evaluation of semen quality is crucial for predicting fertility success in artificial insemination and eventual rooster selection within poultry breeding programs. However, the multitude of parameters obtained in semen quality analysis makes it challenging for breeders to make informed selection decisions. This study [...] Read more.
Evaluation of semen quality is crucial for predicting fertility success in artificial insemination and eventual rooster selection within poultry breeding programs. However, the multitude of parameters obtained in semen quality analysis makes it challenging for breeders to make informed selection decisions. This study evaluated semen samples from 210 roosters in seven chicken breeds, using a computer-aided sperm analysis (CASA) system. A multivariate approach utilizing factor analysis (FA) was applied to simplify the data. The FA condensed 14 semen quality traits into 3 factors, linearity factor, velocity factor, and quantitative factor, explaining 75.82% of the original variations. The Beijing-You breed was selected to analyze the association between fertility and these semen quality factors, and we found high correlation between fertility and quantitative (r = 0.84) and linearity (r = 0.63) factors, and low correlation with the velocity factor (r = 0.19). Based on individual factor scores, breed clustering revealed distinct profiles with Houdan, Tibetan, and White Leghorn demonstrating lower sperm counts and poor linearity. Columbian Plymouth Rock exhibited high speed with poor linearity while Beijing-You, Rhode Island Red, and Barred Plymouth Rock displayed higher sperm counts with compromised speed and linearity. This study demonstrates that FA effectively consolidates multiple semen quality traits into fewer, biologically relevant factors. These findings provide valuable insights into breed-specific reproductive characteristics and offer actionable information for optimizing breeding in poultry production. Full article
(This article belongs to the Special Issue Livestock Fertility and Artificial Insemination)
Show Figures

Figure 1

18 pages, 4359 KB  
Article
Deep Learning Methods for Automatic Identification of Male and Female Chickens in a Cage-Free Flock
by Bidur Paneru, Ramesh Bahadur Bist, Xiao Yang, Anjan Dhungana, Samin Dahal and Lilong Chai
Animals 2025, 15(13), 1862; https://doi.org/10.3390/ani15131862 - 24 Jun 2025
Cited by 3 | Viewed by 1535
Abstract
Rooster behavior and activity are critical for egg fertility and hatchability in broiler and layer breeder houses. Desirable roosters are expected to have good leg health, reach sexual maturity, be productive, and show less aggression toward females during mating. However, not all roosters [...] Read more.
Rooster behavior and activity are critical for egg fertility and hatchability in broiler and layer breeder houses. Desirable roosters are expected to have good leg health, reach sexual maturity, be productive, and show less aggression toward females during mating. However, not all roosters are desirable, and low-productive roosters should be removed and replaced. The objectives of this study were to apply an object detection model based on deep learning to identify hens and roosters based on phenotypic characteristics, such as comb size and body size, in a cage-free (CF) environment, and to compare the performance metrics among the applied models. Six roosters were mixed with 200 Lohmann LSL Lite hens during the pre-peak phase in a CF research facility and were marked with different identifications. Deep learning methods, such as You Only Look Once (YOLO) models, were innovated and trained (based on a comb size of up to 2500 images) for the identification of male and female chickens based on comb size and body features. The performance matrices of the YOLOv5u and YOLOv11 models, including precision, recall, mean average precision (mAP), and F1 score, were statistically compared for hen and rooster detection using a one-way ANOVA test at a significance level of p < 0.05. For rooster detection based on comb size, YOLOv5lu, and YOLOv11x variants performed the best among the five variants of each model, with YOLOv5lu achieving a precision of 87.7%, recall of 56.3%, and mAP@0.50 of 60.1%, while YOLOv11x achieved a precision of 86.7%, recall of 65.3%, and mAP@0.50 of 61%. For rooster detection based on body size, YOLOv5xu, and YOLOv11m outperformed other variants, with YOLOv5xu achieving a precision of 88.9%, recall of 77.7%, and mAP@0.50 of 82.3%, while YOLOv11m achieved a precision of 89.0%, recall of 78.8%, and mAP@0.50 of 82.6%. This study provides a reference for automatic rooster monitoring based on comb and body size and offers further opportunities for tracking the activities of roosters in a poultry breeder farm for performance evaluation and genetic selection in the future. Full article
(This article belongs to the Section Animal System and Management)
Show Figures

Figure 1

11 pages, 201 KB  
Article
Standardized Amino Acid Digestibility Estimates of Individual Ingredients from Precision-Fed Cecectomized Roosters Are Additive
by Meredith A. Smola, Pamela L. Utterback, Carl M. Parsons and Kelly S. Swanson
Animals 2025, 15(12), 1760; https://doi.org/10.3390/ani15121760 - 14 Jun 2025
Viewed by 1046
Abstract
It is important to determine whether amino acid (AA) digestibility values from individual ingredients are additive and predictive for mixed diets. This study had two objectives: (1) measure the AA concentrations and digestibilities of individual protein ingredients and their mixtures and (2) determine [...] Read more.
It is important to determine whether amino acid (AA) digestibility values from individual ingredients are additive and predictive for mixed diets. This study had two objectives: (1) measure the AA concentrations and digestibilities of individual protein ingredients and their mixtures and (2) determine whether the AA digestibilities of the individual ingredients were additive in their mixtures. Forty-two cecectomized roosters were randomly allotted to one of seven ingredients: dehydrated egg (EGG); pea protein (PP); corn-gluten meal (CGM); a mixture of PP and EGG at a 25:75 ratio (PP25); a mixture of PP and EGG at a 75:25 ratio (PP75); a mixture of CGM and EGG at a 25:75 ratio (CGM25); and a mixture of CGM and EGG at a 75:25 ratio (CGM75). Endogenous loss corrections were made using five fasted additional cecectomized roosters. All ingredients had indispensable AA digestibilities >85% except histidine for CGM. Amino acid digestibilities were typically the highest for EGG, PP25, and CGM25. There were no differences between measured and predicted AA digestibility values, except for histidine and serine in CGM25 (p < 0.05). Our results suggest that all protein-based ingredients tested were highly digestible and that the AA digestibilities obtained from individual ingredients are additive in ingredient mixtures when using the precision-fed cecectomized rooster model. Full article
(This article belongs to the Section Poultry)
10 pages, 431 KB  
Article
Nutritional Value of Whole Corn Germ Obtained by the Wet Method for Poultry
by Michele Bernardino de Lima, Carlos Bôa-Viagem Rabello, Gabriel Henrique Nacamura da Silva, Jaqueline Aparecida Pavanini, Rita Brito Vieira, Isidro Chemane Argentina, Lizandra Amoroso and Edney Pereira da Silva
Vet. Sci. 2025, 12(5), 470; https://doi.org/10.3390/vetsci12050470 - 14 May 2025
Viewed by 1150
Abstract
This study aimed to assess the nutritional value of whole corn germ (WCG) in the diet of chickens. Amino acid digestibility, fatty acid digestibility, and metabolizable energy were evaluated. A metabolism assay was conducted using the precise feeding method on roosters. A completely [...] Read more.
This study aimed to assess the nutritional value of whole corn germ (WCG) in the diet of chickens. Amino acid digestibility, fatty acid digestibility, and metabolizable energy were evaluated. A metabolism assay was conducted using the precise feeding method on roosters. A completely randomized design was used, with two treatments and ten replications per rooster in each experimental unit. The treatments were as follows: WCG1, precise feeding with WCG; and WCG2, fasting birds to determine metabolic and endogenous losses in energy and fat. The variables analyzed were coefficients for amino acids in corn germ meal and fatty acid digestibility. The results showed that the standardized digestibility coefficients for amino acids in corn germ meal were (in g/kg) as follows: Lys, 920; Thr, 780; Met + Cys, 800; Arg, 910; His, 890; Ile, 950; Leu, 970; Phe + Tyr, 870; Val, 980; Gly + Ser, 740; Ala, 960; Asp, 870; and Glu, 930. The average fatty acid digestibility and AMEn were 850 g/kg and 4934 kcal/kg, respectively. Corn germ meal, which showed high digestibility of nutrients and energy, is considered an interesting ingredient for diets requiring high energy concentration. Full article
(This article belongs to the Special Issue Nutritional Health of Monogastric Animals)
Show Figures

Figure 1

27 pages, 1927 KB  
Article
A New Bipolar Approach Based on the Rooster Algorithm Developed for Utilization in Optimization Problems
by Mashar Cenk Gençal
Appl. Sci. 2025, 15(9), 4921; https://doi.org/10.3390/app15094921 - 29 Apr 2025
Cited by 1 | Viewed by 583
Abstract
Meta-heuristic algorithms are computational methods inspired by evolutionary processes, animal or plant behaviors, physical events, and other natural phenomena. Due to their success in solving optimization problems, meta-heuristic algorithms are widely used in the literature, leading to the development of novel variants. In [...] Read more.
Meta-heuristic algorithms are computational methods inspired by evolutionary processes, animal or plant behaviors, physical events, and other natural phenomena. Due to their success in solving optimization problems, meta-heuristic algorithms are widely used in the literature, leading to the development of novel variants. In this paper, new swarm-based meta-heuristic algorithms, called Improved Roosters Algorithm (IRA), Bipolar Roosters Algorithm (BRA), and Bipolar Improved Roosters Algorithm (BIRA), which are mainly based on Roosters Algorithm (RA), are presented. First, the new versions of RA (IRA, BRA, and BIRA) were compared in terms of performance, revealing that BIRA achieved significantly better results than the other variants. Then, the performance of the BIRA algorithm was compared with the performances of meta-heuristic algorithms widely used in the literature, Standard Genetic Algorithm (SGA), Differential Evolution (DE), Particle Swarm Optimization (PSO), Cuckoo Search (CS), and Grey Wolf Optimizer (GWO), and thus, its success in the literature was tested. Moreover, RA was also included in this test to show that the new version, BIRA, is more successful than the previous one (RA). For all comparisons, 20 well-known benchmark optimization functions, 11 CEC2014 test functions, and 17 CEC2018 test functions, which are also in the CEC2020 test suite, were employed. To validate the significance of the results, Friedman and Wilcoxon Signed Rank statistical tests were conducted. In addition, three commonly used problems in the field of engineering were used to test the success of algorithms in real-life scenarios: pressure vessel, gear train, and tension/compression spring design. The results indicate that the proposed algorithm (BIRA) provides better performance compared to the other meta-heuristic algorithms. Full article
Show Figures

Figure 1

18 pages, 10852 KB  
Article
Alpha-Lipoic Acid Alleviates Lead-Induced Testicular Damage in Roosters by Reducing Oxidative Stress and Modulating Key Pathways
by Jiahao Sun, Rahmani Mohammad Malyar, Nanwei Ye, Yueyue Wang, Quanwei Wei, Fangxiong Shi and Yansen Li
Toxics 2025, 13(5), 341; https://doi.org/10.3390/toxics13050341 - 25 Apr 2025
Cited by 1 | Viewed by 915
Abstract
(1) Background: This study aimed to detect whether alpha-lipoic acid (ALA) supplementation could reduce lead (Pb)-induced testicular toxicity in roosters. (2) Methods: A total of 48 roosters, aged 20 weeks, were selected and randomly allocated to six treatment groups: basic diet (CON); CON [...] Read more.
(1) Background: This study aimed to detect whether alpha-lipoic acid (ALA) supplementation could reduce lead (Pb)-induced testicular toxicity in roosters. (2) Methods: A total of 48 roosters, aged 20 weeks, were selected and randomly allocated to six treatment groups: basic diet (CON); CON + 150 mg/kg (CH3OO)2Pb (LPB); CON + 300 mg/kg (CH3OO)2Pb (HPB); CON + 300 mg/kg ALA (ALA); LPB + 300 mg/kg ALA (ALP); and HPB + 300 mg/kg ALA (AHP). (3) Results: The testicular Pb content was obviously higher in the LPB and HPB groups than in the CON group, while ALA supplementation reduced the testicular Pb content (p < 0.05). Roosters showed a significant increase in serum testosterone, sperm viability, sperm concentration, and testicular score in the AHP group compared with the HPB group. Pb exposure caused a remarkable increase in sperm abnormality and testicular malondialdehyde level, which were down-regulated by ALA supplementation (p < 0.05). RNA sequencing identified 227 differentially expressed genes (DEGs) between the HPB and CON groups and 220 DEGs between the HPB and AHP groups. (4) Conclusions: ALA supplementation mitigated Pb-induced testicular damage, suggesting its potential as a therapeutic agent for Pb toxicity in birds and potentially other species. Full article
(This article belongs to the Section Reproductive and Developmental Toxicity)
Show Figures

Graphical abstract

17 pages, 1372 KB  
Review
Genetic Strategies for Enhancing Rooster Fertility in Tropical and Humid Climates: Challenges and Opportunities
by Jiraporn Juiputta, Vibuntita Chankitisakul and Wuttigrai Boonkum
Animals 2025, 15(8), 1096; https://doi.org/10.3390/ani15081096 - 10 Apr 2025
Cited by 2 | Viewed by 1459
Abstract
Native chickens are important both economically and for the preservation of genetic diversity, especially for optimizing the reproductive performance of male chickens, which plays an important role in genetic propagation. However, hot and humid weather affects the quality of semen and the breeding [...] Read more.
Native chickens are important both economically and for the preservation of genetic diversity, especially for optimizing the reproductive performance of male chickens, which plays an important role in genetic propagation. However, hot and humid weather affects the quality of semen and the breeding ability of male chickens. One method used to solve this problem is genetic selection using genomic technology, which improves accuracy and shortens the breed selection time. Therefore, we collected and analyzed data from relevant research to review the genetic improvement approach for male chickens using genomic technology. We compared popular genomic selection models, such as GBLUP, ssGBLUP, Bayesian approaches, RR-GBLUP, WGBLUP, and MTGBLUP, as well as genome-wide association studies (GWASs), to identify genes associated with semen quality and heat tolerance. The results of this analysis suggested that the use of genomic data can enhance genetic selection and enable breeding to occur more quickly and accurately. We addressed the trends and scientific developments in male chicken genetic selection, together with the benefits and constraints of each method. This will help breeders and researchers to create the most successful genetic selection plans for the next generation of chickens. Full article
Show Figures

Figure 1

20 pages, 6182 KB  
Review
microRNA as an Important Mediator in the Regulation of Male Gallus gallus domesticus Reproduction: Current State of the Problem
by Marina Pozovnikova, Anastasiya Ivershina, Olga Stanishevskaya and Yuliya Silyukova
Int. J. Mol. Sci. 2025, 26(1), 112; https://doi.org/10.3390/ijms26010112 - 26 Dec 2024
Viewed by 1466
Abstract
During all periods of male ontogenesis, physiological processes responsible for the correct functioning of reproductive organs and spermatogenesis are under the influence of various factors (neuro-humoral, genetic, and paratypical). Recently, the attention of researchers has increasingly turned to the study of epigenetic factors. [...] Read more.
During all periods of male ontogenesis, physiological processes responsible for the correct functioning of reproductive organs and spermatogenesis are under the influence of various factors (neuro-humoral, genetic, and paratypical). Recently, the attention of researchers has increasingly turned to the study of epigenetic factors. In scientific publications, one can increasingly find references to the direct role of microRNAs, small non-coding RNAs involved in post-transcriptional regulation of gene expression, in the processes of development and functioning of reproductive organs. Although the role of microRNAs in the reproduction of mammals, including humans, has been intensively studied, this area of knowledge in birds remains under-researched and limited to single experiments. This is likely due to the unique features of embryogenesis and the structure of the avian reproductive system. This review summarizes the current state of knowledge on the role of microRNAs in avian reproduction. Insight into the molecular basis of spermatogenesis in Gallus gallus domesticus is provided. Data on the functions and mechanisms by which microRNAs influence the processes of growth, development, and formation of rooster germ cells that determine the necessary morphofunctional qualitative characteristics of mature spermatozoa are summarized. Particular attention is paid to miRNA biogenesis as an important step affecting the success of spermatogenesis, as well as the role of miRNAs in avian sex differentiation during early embryogenesis. The modern literature sources systematized in this review, revealing the questions about the role of miRNAs in the reproductive function of birds, create a theoretical basis and define new perspectives and directions for further research in this field. Full article
(This article belongs to the Special Issue Genetic and Epigenetic Regulation of Reproduction)
Show Figures

Figure 1

13 pages, 932 KB  
Article
Optimization of Cholesterol-Loaded Cyclodextrin Combined with Soybean Lecithin as a Cryoprotectant for Rooster Sperm
by Mengqian He, Jiehuan Xu, Lingwei Sun, Caifeng Wu, Shushan Zhang, Jun Gao, Defu Zhang and Jianjun Dai
Vet. Sci. 2024, 11(12), 647; https://doi.org/10.3390/vetsci11120647 - 13 Dec 2024
Viewed by 1391
Abstract
There are many applications of soybean lecithin (SL) and cholesterol-loaded cyclodextrin (CLC) in sperm freezing processes. To the best of our knowledge, there have been few cases of the combined use of SL and CLC in freezing rooster semen. We investigated the effects [...] Read more.
There are many applications of soybean lecithin (SL) and cholesterol-loaded cyclodextrin (CLC) in sperm freezing processes. To the best of our knowledge, there have been few cases of the combined use of SL and CLC in freezing rooster semen. We investigated the effects of CLC, SL, and their combination on rooster sperm cryodamage. Three experiments were conducted: experiment 1, SL (0.5%, 1%, 1.5%, 2.0%); experiment 2, CLC (1.25 mg, 2.5 mg, 5 mg, 10 mg, 15 mg); and experiment 3, CLC + SL (2.5 mg + 0.25%, 2.5 mg + 0.5%, 2.5 mg + 1%, 2.5 mg + 1.5%). Semen samples were cryopreserved using a programmed cryostat, followed by the determination of post-thaw sperm quality, antioxidant indices, and hatching. The results showed that the combination of 2.5 mg CLC + 0.5% SL had the most significant synergistic effect on cryodamage, and the viability (56.69%), motility (54.35%), mitochondrial activity (54.23%), plasma membrane integrity (53.52%), acrosome integrity (54.71%), and antioxidant activity (MDA concentration: 5.65 nmol/mL; SOD activity: 152.73 U/mL) were significantly greater than those of the other combinations (p < 0.05). Nevertheless, the combined CLC and SL addition group did not substantially increase the fertilization and hatching rates of frozen semen compared with the addition of 2.5 mg CLC. In conclusion, the addition of 2.5 mg CLC and 2.5 mg CLC + 0.5% SL enhanced the quality and fertility of frozen rooster sperm. Full article
(This article belongs to the Special Issue Advances in Animal Sperm Conservation Techniques for Better Fertility)
Show Figures

Figure 1

Back to TopTop