Sign in to use this feature.

Years

Between: -

Subjects

remove_circle_outline
remove_circle_outline
remove_circle_outline
remove_circle_outline
remove_circle_outline
remove_circle_outline
remove_circle_outline
remove_circle_outline
remove_circle_outline

Journals

Article Types

Countries / Regions

Search Results (9)

Search Parameters:
Keywords = red clover dry extracts

Order results
Result details
Results per page
Select all
Export citation of selected articles as:
17 pages, 2380 KB  
Article
Nutmeg Essential Oil, Red Clover, and Liquorice Extracts Microencapsulation Method Selection for the Release of Active Compounds from Gel Tablets of Different Bases
by Jurga Andreja Kazlauskaite, Inga Matulyte, Mindaugas Marksa and Jurga Bernatoniene
Pharmaceutics 2023, 15(3), 949; https://doi.org/10.3390/pharmaceutics15030949 - 15 Mar 2023
Cited by 11 | Viewed by 3084
Abstract
The current study presents the most suitable method for encapsulating nutmeg essential oil with liquorice and red clover. Two widely used methods, spray-drying and freeze-drying, were employed to find the most suitable for essential oil volatile compounds’ protection. Results showed that freeze-dried capsules [...] Read more.
The current study presents the most suitable method for encapsulating nutmeg essential oil with liquorice and red clover. Two widely used methods, spray-drying and freeze-drying, were employed to find the most suitable for essential oil volatile compounds’ protection. Results showed that freeze-dried capsules (LM) had a higher yield (85.34%) compared to the exact formulation of spray-dried microcapsules (SDM)—45.12%. All the antioxidant and total phenolic compounds’ results obtained with the LM sample were significantly higher compared with SDM. LM microcapsules were incorporated in two different bases with no additional sugar (gelatin and pectin) for targeted release. Pectin tablets had firmer and harder texture properties, while gelatin tablets had a more elastic texture. There was a significant impact on texture changes caused by microcapsules. Microencapsulated essential oil with extracts can be used alone or in a gel base (pectin or gelatin, depending on user preferences). It could be an effective product to protect the active volatile compounds and regulate the release of active compounds and give a pleasant taste. Full article
(This article belongs to the Special Issue Essential Oils in Pharmaceutical Products, 2nd Edition)
Show Figures

Figure 1

18 pages, 2978 KB  
Article
In Vitro Evaluation of the Antioxidant Activity and Chemopreventive Potential in Human Breast Cancer Cell Lines of the Standardized Extract Obtained from the Aerial Parts of Zigzag Clover (Trifolium medium L.)
by Grażyna Zgórka, Magdalena Maciejewska-Turska, Anna Makuch-Kocka and Tomasz Plech
Pharmaceuticals 2022, 15(6), 699; https://doi.org/10.3390/ph15060699 - 2 Jun 2022
Cited by 8 | Viewed by 3494
Abstract
The aboveground parts of Trifolium medium L. (zigzag clover), a little-known representative of the family Fabaceae, collected during flowering in a wild stand (Sławin-Szerokie district, Lublin, Poland), were used in this study. Our previous investigations confirmed the higher content of phytoestrogenic isoflavones (especially [...] Read more.
The aboveground parts of Trifolium medium L. (zigzag clover), a little-known representative of the family Fabaceae, collected during flowering in a wild stand (Sławin-Szerokie district, Lublin, Poland), were used in this study. Our previous investigations confirmed the higher content of phytoestrogenic isoflavones (especially biochanin A and formononetin derivatives) in T. medium compared to the closely related medicinal plant T. pratense (red clover) and the involvement of these compounds in anti-osteoporotic effects in ovariectomized female rats. The current study focused on evaluating other antibiodegenerative (antioxidant, chemopreventive, and cytostatic) effects for the lyophilisate (TML) obtained from wild zigzag clover. For this purpose, efficient ultrasound-assisted extraction (UAE) was employed, followed by vacuum drying and phytochemical standardization using a newly developed reversed-phase high-performance liquid chromatography (RP-LC) coupled with a PDA detection. Malonylglycosides of biochanin A and formononetin were the predominant compounds and were found to contribute more than 54% to the total isoflavone content determined in the standardized extract of zigzag clover. The antioxidant potential of TML was examined in vitro using the Folin–Ciocalteu and cupric ion-reducing (CUPRAC) methods in addition to the free radical (DPPH and ABTS•+) scavenging assays. The cytotoxic effects of TML, formononetin, and ononin were evaluated on MCF-7 (estrogen-dependent) and MDA-MB-231 (estrogen-independent) human breast cancer cell lines using the MTT assay. The important role of malonyl isoflavone derivatives has been indicated both in chemoprevention and potential cytotoxic effects of TML against certain types of breast cancer. Full article
Show Figures

Figure 1

13 pages, 7678 KB  
Article
Impact of Drying Conditions on Antioxidant Activity of Red Clover (Trifolium pratense), Sweet Violet (Viola odorata) and Elderberry Flowers (Sambucus nigra)
by Agnieszka Zawiślak, Renata Francik, Sławomir Francik and Adrian Knapczyk
Materials 2022, 15(9), 3317; https://doi.org/10.3390/ma15093317 - 5 May 2022
Cited by 19 | Viewed by 2983
Abstract
Flowers of red clover (Trifolium pratense), sweet violet (Viola odorata) and elderflowers (Sambucus nigra) were dried by means of air drying at 30 °C and 50 °C and by freeze drying. The content of polyphenols was determined [...] Read more.
Flowers of red clover (Trifolium pratense), sweet violet (Viola odorata) and elderflowers (Sambucus nigra) were dried by means of air drying at 30 °C and 50 °C and by freeze drying. The content of polyphenols was determined using the Folin–Ciocalteu reagent, while anthocyanins were quantified by the pH differential method. Antioxidant activities of aqueous and ethanolic extracts of the dried flowers were measured by the DPPH and ABTS assays, as well as FRAP and reducing power methods. The highest amount of polyphenols was determined in the ethanolic extracts of fresh red clover flowers (854.76 mg/100 g), while the highest concentration of anthocyanins was determined in the aqueous extracts of fresh sweet violet flowers (99.41 mg/100 g). The results showed that, in general, the extracts of red clover flower were characterized by the highest antioxidant activity, while the sweet violet extracts had the poorest antioxidant properties, although these values fluctuated depending on the method used. There was strong correlation between antioxidant activity and TPC (r = 0.9196, FRAP method). In most cases, freeze drying was found to be the best conservation method, retaining well the antioxidant properties of the tested flowers and the compounds determining these properties. Full article
(This article belongs to the Section Biomaterials)
Show Figures

Figure 1

33 pages, 458 KB  
Article
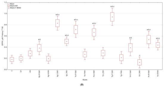
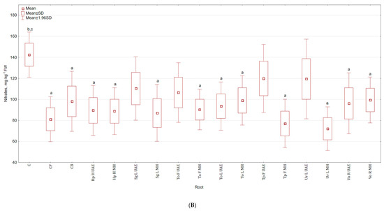
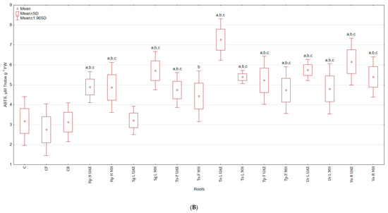
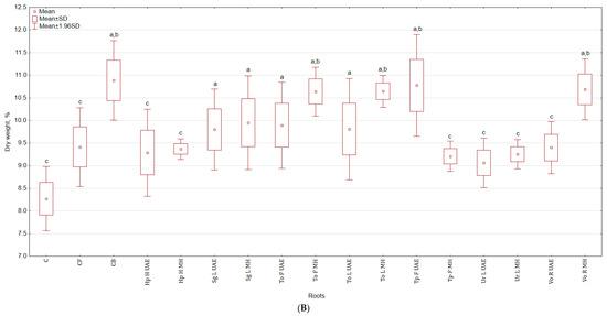
Effect of Botanical Extracts on the Growth and Nutritional Quality of Field-Grown White Head Cabbage (Brassica oleracea var. capitata)
by Katarzyna Godlewska, Paweł Pacyga, Izabela Michalak, Anita Biesiada, Antoni Szumny, Natalia Pachura and Urszula Piszcz
Molecules 2021, 26(7), 1992; https://doi.org/10.3390/molecules26071992 - 1 Apr 2021
Cited by 17 | Viewed by 4996
Abstract
Nutraceuticals and functional foods are gaining more attention amongst consumers interested in nutritious food. The consumption of foodstuffs with a high content of phytochemicals has been proven to provide various health benefits. The application of biostimulants is a potential strategy to fortify cultivated [...] Read more.
Nutraceuticals and functional foods are gaining more attention amongst consumers interested in nutritious food. The consumption of foodstuffs with a high content of phytochemicals has been proven to provide various health benefits. The application of biostimulants is a potential strategy to fortify cultivated plants with beneficial bioactive compounds. Nevertheless, it has not yet been established whether the proposed higher plants (St. John’s wort, giant goldenrod, common dandelion, red clover, nettle, and valerian) are appropriate for the production of potential bio-products enhancing the nutritional value of white cabbage. Therefore, this research examines the impact of botanical extracts on the growth and nutritional quality of cabbage grown under field conditions. Two extraction methods were used for the production of water-based bio-products, namely: ultrasound-assisted extraction and mechanical homogenisation. Bio-products were applied as foliar sprays to evaluate their impact on total yield, dry weight, photosynthetic pigments, polyphenols, antioxidant activity, vitamin C, nitrates, micro- and macroelements, volatile compounds, fatty acids, sterols, and sugars. Botanical extracts showed different effects on the examined parameters. The best results in terms of physiological and biochemical properties of cabbage were obtained for extracts from common dandelion, valerian, nettle, and giant goldenrod. When enriched with nutrients, vegetables can constitute a valuable component of functional food. Full article
(This article belongs to the Special Issue Functional Foods and Nutraceuticals 2021)
56 pages, 4544 KB  
Article
Field-Scale Evaluation of Botanical Extracts Effect on the Yield, Chemical Composition and Antioxidant Activity of Celeriac (Apium graveolens L. Var. rapaceum)
by Katarzyna Godlewska, Paweł Pacyga, Izabela Michalak, Anita Biesiada, Antoni Szumny, Natalia Pachura and Urszula Piszcz
Molecules 2020, 25(18), 4212; https://doi.org/10.3390/molecules25184212 - 14 Sep 2020
Cited by 26 | Viewed by 5365
Abstract
The use of higher plants for the production of plant growth biostimulants is receiving increased attention among scientists, farmers, investors, consumers and regulators. The aim of the present study was to examine the possibility of converting plants commonly occurring in Europe (St. John’s [...] Read more.
The use of higher plants for the production of plant growth biostimulants is receiving increased attention among scientists, farmers, investors, consumers and regulators. The aim of the present study was to examine the possibility of converting plants commonly occurring in Europe (St. John’s wort, giant goldenrod, common dandelion, red clover, nettle, valerian) into valuable and easy to use bio-products. The biostimulating activity of botanical extracts and their effect on the chemical composition of celeriac were identified. Plant-based extracts, obtained by ultrasound-assisted extraction and mechanical homogenisation, were tested in field trials. It was found that the obtained formulations increased the total yield of leaves rosettes and roots, the dry weight of leaves rosettes and roots, the content of chlorophyll a + b and carotenoids, the greenness index of leaves, the content of vitamin C in leaves and roots. They mostly decreased the content of polyphenols and antioxidant activities in leaves but increased them in roots and conversely affected the nitrates content. Extracts showed a varied impact on the content of micro and macroelements, as well as the composition of volatile compounds and fatty acids in the celeriac biomass. Due to the modulatory properties of the tested products, they may be used successfully in sustainable horticulture. Full article
(This article belongs to the Section Natural Products Chemistry)
Show Figures

Figure 1

2 pages, 152 KB  
Abstract
Conciliating Traditional Green Manure Technique and Modern Precision Agriculture
by Anne-Karine Boulet, Carlos Alarcão, António Ferreira and Rudi Hessel
Proceedings 2019, 30(1), 70; https://doi.org/10.3390/proceedings2019030070 - 21 May 2020
Viewed by 1351
Abstract
Currently the productivity of some European cropping systems is maintained artificially by increasing production factors like mineral fertilizers or pesticides in order to mask the loss of productivity resulting from soil quality degradation. Green manures are known as a good alternative to the [...] Read more.
Currently the productivity of some European cropping systems is maintained artificially by increasing production factors like mineral fertilizers or pesticides in order to mask the loss of productivity resulting from soil quality degradation. Green manures are known as a good alternative to the use of mineral fertilizers and pesticides. They are an important source of nitrogen and reduce significantly weed invasion. Nevertheless, the literature providing a precise quantification of total nutrients available for plants after incorporation of leguminous species cultivated in Portugal is scarce. This lake of knowledge’s makes farmers worried about hypothetic productivity loss, making them to use excessive complementary amounts of mineral fertilizer. Providing farmers with tools to calculated accurately the reduction of mineral fertilizer will increase their gain and avoid environmental pollution by nutrients lixiviation. Under the scope the international H2020 SoilCare project, a study was conducted during the winter and spring of 2018–2019 at Baixo Mondego valley in Central Portugal, where the main land use is the monoculture of irrigated corn. The nutrient uptake was determined for 5 species of legumes: pre-inoculated Pea (Pisum sativum L.); Yellow Lupin (Lupinus luteus), Red Clover (Trifolium pratense); Balansa Clover (Trifolium michelianum); Arrowleaf Clover (Trifolium vesiculosum) and a control (natural vegetation). For each treatment, we determined total dry matter yield for leguminous and weeds, macronutrients uptake (N and P Total, K, Na, Ca, Mg, S) and micronutrients uptake (Cu, Zn, Fe, Mn). Combining soil analyses, theoretical main crop needs in nutrients (short cycle grain maize) and mineralization rates, we calculated the precise amendment needed to obtain the expected yield of maize in what concerns the macronutrient. The production of total dry matter (leguminous and weeds) was very similar for the 5 treatments e.g., about 7 ton/ha. Nevertheless, considering leguminous production, the higher dry matter yields was obtain for the Arrowleaf Clover and the lower for the Red Clover respectively 5.5 and 3.5 ton/ha. The Macronutrient content (N,P,K) of the leguminous ranged between 22.9 and 28.0 g/kg for N, 2.4 and 3.1 g/kg for P and 12.1 and 31.5 g/kg for K. The Yellow Lupin presented the higher values of N, the clovers the higher values of P and K. The total quantity of macronutrients incorporated in the soil was in average 152 kg/ha for N, 20 kg/ha for P and 170 kg/ha for K with the higher quantities for Arrowleaf Clover. We considered a mineralization coefficient of 0.5 for N and 0.6 for P during the first year and a nutrient extraction of 280 kg/ha of N, 50 kg/ha of P and 245 kg/ha of K, for a production yield of 12 t/ha of corn grain. After correction of plant needs following the soil analyses results, we determinate an optimized fertilization rate of 180-40-0, were the green manure supplies about 35%, 25% and 100% of the NPK extraction of the grain maize. Full article
(This article belongs to the Proceedings of TERRAenVISION 2019)
14 pages, 1788 KB  
Article
Biostimulant Seed Coating Treatments to Improve Cover Crop Germination and Seedling Growth
by Yi Qiu, Masoume Amirkhani, Hilary Mayton, Zhi Chen and Alan G. Taylor
Agronomy 2020, 10(2), 154; https://doi.org/10.3390/agronomy10020154 - 22 Jan 2020
Cited by 67 | Viewed by 15584
Abstract
Biostimulant seed coating formulations were investigated in laboratory experiments for their potential to increase maximum germination, germination rate, germination uniformity, and seedling growth of red clover (Trifolium pratense L.) and perennial ryegrass (Lolium perenne L.) seeds. Red clover and perennial ryegrass [...] Read more.
Biostimulant seed coating formulations were investigated in laboratory experiments for their potential to increase maximum germination, germination rate, germination uniformity, and seedling growth of red clover (Trifolium pratense L.) and perennial ryegrass (Lolium perenne L.) seeds. Red clover and perennial ryegrass seeds were coated with different combinations of soy flour, diatomaceous earth, micronized vermicompost, and concentrated vermicompost extract. Coated and non-coated seeds of red clover and perennial ryegrass were evaluated for germination and growth after 7 and 10 days, respectively. Red clover seed was maintained at a constant 20 °C with a 16/8 h photoperiod, whereas for perennial ryegrass seed, the germinator was maintained at 15/25 °C, with the same photoperiod as red clover. Coated treatments significantly improved germination rate and uniformity with no reduction in total germination, compared to the non-treated controls in red clover. In contrast, for perennial ryegrass, the total germination percentage of all coated seeds was reduced and displayed a delayed germination rate, compared with the non-treated controls. Shoot length, seedling vigor index, and dry weight of seedlings of coated seed treatments of both crops were significantly higher when compared to controls for both species. In addition to growth metrics, specific surface mechanical properties related to seed coating quality of seeds of both species were evaluated. Increasing the proportion of soy flour as a seed treatment binder in the coating blend increased the integrity and compressive strength of coated seeds, and the time for coatings to disintegrate. These data show that seed coating technologies incorporating nutritional materials and biostimulants can enhance seedling growth and have the potential to facilitate the establishment of cover crops in agriculture and land reclamation. Full article
Show Figures

Graphical abstract

23 pages, 4730 KB  
Article
Selection of the Optimal Herbal Compositions of Red Clover and Pomegranate According to Their Protective Effect against Climacteric Symptoms in Ovariectomized Mice
by Su Jin Kang, Beom Rak Choi, Seung Hee Kim, Hae Yeon Yi, Hye Rim Park, Chang Hyun Song, Sae Kwang Ku and Young Joon Lee
Nutrients 2016, 8(8), 447; https://doi.org/10.3390/nu8080447 - 23 Jul 2016
Cited by 9 | Viewed by 6628
Abstract
This study aimed to ascertain the optimal range of red clover dry extracts (RC) and dried pomegranate concentrate powder (PCP) to induce anti-climacteric effects. Thus, the dose ranges showing protective effect of mixed formulae consisting of RC and PCP were examined in ovariectomized [...] Read more.
This study aimed to ascertain the optimal range of red clover dry extracts (RC) and dried pomegranate concentrate powder (PCP) to induce anti-climacteric effects. Thus, the dose ranges showing protective effect of mixed formulae consisting of RC and PCP were examined in ovariectomized mice. At 28 days after bilateral ovariectomy (OVX), mixed herbal compositions (RC:PCP = 1:1, 1:2, 1:4, 1:8, 2:1, 4:1, and 8:1) were administered orally, at 120 mg/kg once daily for 84 days. We evaluated that RC and PCP mixture attenuate OVX-caused obesity, hyperlipidemia, hepatic steatosis, and osteoporosis. Compared to OVX-induced control mice, body weight and abdominal fat weight in OVX-induced mice were significantly decreased, concomitantly with increase of uterus weight by RC:PCP mixture. Additionally, significant increases in serum estradiol levels were observed in all RC:PCP-treated mice. RC:PCP mixture also showed protective effect against OVX-induced hyperlipidemia, hepatic steatosis. Total body and femur mean bone mineral density (BMD), osteocalcin, bALP contents were effectively increased by RC:PCP mixture. Taken together, RC:PCP mixture (2:1, 1:1, and 4:1) has remarkable protective effects against the changes induced by OVX. In particular, RC:PCP mixture (2:1) shows the strongest effect and may be considered as a potential protective agent against climacteric symptoms. Full article
Show Figures

Graphical abstract

26 pages, 619 KB  
Article
Dried Pomegranate Potentiates Anti-Osteoporotic and Anti-Obesity Activities of Red Clover Dry Extracts in Ovariectomized Rats
by Su Jin Kang, Beom Rak Choi, Seung Hee Kim, Hae Yeon Yi, Hye Rim Park, Dong Chul Kim, Seong Hun Choi, Chang Hyun Han, Soo Jin Park, Chang Hyun Song, Sae Kwang Ku and Young Joon Lee
Nutrients 2015, 7(4), 2622-2647; https://doi.org/10.3390/nu7042622 - 9 Apr 2015
Cited by 28 | Viewed by 9085
Abstract
Red clover (RC) shows potential activity against menopausal symptoms and pomegranates have antioxidative and beneficial effects on postmenopausal symptoms; thus, we investigated whether the anti-climacteric activity of RC could be enhanced by the addition of dried pomegranate concentrate powder (PCP) extracts in ovariectomized [...] Read more.
Red clover (RC) shows potential activity against menopausal symptoms and pomegranates have antioxidative and beneficial effects on postmenopausal symptoms; thus, we investigated whether the anti-climacteric activity of RC could be enhanced by the addition of dried pomegranate concentrate powder (PCP) extracts in ovariectomized (OVX) rats. Regarding the anti-osteoporotic effects, bone mineral density increased significantly in OVX induced rats treated with 60 and 120 mg/kg of an RC:PCP 2:1 mixture, respectively, compared with OVX control rats. Additionally, femoral, tibia, and L4 bone resorption was decreased in OVX induced control rats treated with the RC:PCP 2:1 mixture (60 and 120 mg/kg), respectively, compared with OVX control rats. Regarding anti-obesity effects, the OVX induced rats treated with 60 and 120 mg/kg of the RC:PCP 2:1 mixture showed a decrease in total fat pad thickness, the mean diameters of adipocytes and the body weights gain compared with OVX induced control rats. The estradiol and bone-specific alkaline phosphatase levels were significantly increased in OVX induced rats treated with the RC:PCP 2:1 mixture (120 mg/kg) compared with OVX induced control rats, also, the uterine atrophy was significantly inhibited in 60 and 120 mg/kg of the RC:PCP 2:1 mixture treatment compared with OVX control rats. In conclusion, our results indicate that PCP enhanced the anti-climacteric effects of RC in OVX rats. The RC:PCP 2:1 mixture used in this study may be a promising new potent and protective agent for relieving climacteric symptoms. Full article
Show Figures

Figure 1

Back to TopTop