Sign in to use this feature.

Years

Between: -

Subjects

remove_circle_outline
remove_circle_outline
remove_circle_outline
remove_circle_outline
remove_circle_outline

Journals

Article Types

Countries / Regions

Search Results (10)

Search Parameters:
Keywords = quasi-static transmission error

Order results
Result details
Results per page
Select all
Export citation of selected articles as:
18 pages, 2859 KB  
Article
Research on Quasi-Static Transmission Error Measurement of Spur Gears Based on the Acceleration Method
by Chengcheng Ji, Jian Zhang, Jiaxin Jian, Chuanmao Lv and Zhengminqing Li
Machines 2025, 13(10), 941; https://doi.org/10.3390/machines13100941 - 13 Oct 2025
Viewed by 275
Abstract
Transmission error (TE) is an important parameter in gear dynamics that has a direct impact on the vibration and noise of gears. Under quasi-static conditions, gear elastic deformation and assembly errors amplify with increasing load, potentially contributing to noise and vibration. This paper [...] Read more.
Transmission error (TE) is an important parameter in gear dynamics that has a direct impact on the vibration and noise of gears. Under quasi-static conditions, gear elastic deformation and assembly errors amplify with increasing load, potentially contributing to noise and vibration. This paper presents a novel method for measuring the quasi-static transmission error (QSTE) of spur gears under quasi-static conditions. In particular, the study investigates the relationship between quasi-static transmission error, elastic deformation transmission error, and gear tangential acceleration. Gear elastic deformation transmission error was calculated from experimental data obtained with single-point, symmetrical dual-point, and orthogonal four-point configurations of tangential acceleration sensors. The orthogonal four-point sensor configuration greatly improves measurement accuracy when compared to theoretical values derived from material mechanics calculations. A dedicated on-machine acquisition system for spur gear tangential acceleration was constructed. Tangential acceleration tests were conducted across varying loads and rotational speeds. The acquired data underwent filtering and integration processing in order to obtain gear elastic deformation and quasi-static transmission error. The feasibility of the acceleration approach for measuring both gear elastic deformation and quasi-static transmission error is confirmed by a comparative analysis of the acceleration method results with transmission errors obtained via material mechanics calculations and magnetic grating detection. Full article
(This article belongs to the Section Machine Design and Theory)
Show Figures

Figure 1

18 pages, 3986 KB  
Article
Modeling and Analysis of Transmission Efficiency for 3K Planetary Gearbox with Flexure-Based Carrier for Backdrivable Robot Joints
by Qinghao Du, Guilin Yang, Weijun Wang, Chin-Yin Chen and Zaojun Fang
Actuators 2025, 14(4), 173; https://doi.org/10.3390/act14040173 - 1 Apr 2025
Cited by 2 | Viewed by 2326
Abstract
A high-gear-ratio anti-backlash 3K planetary gearbox with a preloaded flexure-based carrier is a suitable reducer for robot joints owning to its compact design and high transmission accuracy. However, to design such a 3K planetary gearbox with high bidirectional efficiencies for backdrivable robot joints, [...] Read more.
A high-gear-ratio anti-backlash 3K planetary gearbox with a preloaded flexure-based carrier is a suitable reducer for robot joints owning to its compact design and high transmission accuracy. However, to design such a 3K planetary gearbox with high bidirectional efficiencies for backdrivable robot joints, it is critical to develop an accurate transmission efficiency model to predict the effects of the preloaded flexure-based carrier on the efficiency of the 3K planetary gearbox. To determine the meshing forces of gear pairs in the 3K planetary gearbox, a quasi-static model is formulated according to tangential displacements of planet gears resulting from the preloaded flexure-based carrier. Considering the reverse meshing forces in the anti-backlash 3K planetary gearbox, a modified efficiency model is developed and the bidirectional transmission efficiencies are analyzed. Simulation results show that both forward and backward transmission efficiencies of the anti-backlash 3K planetary gearbox decrease as the preload increases, while they all increase with the increasing load torque. It is also revealed that the preload primarily affects the meshing efficiency of the sun–planet gear pair. Four different carrier prototypes are fabricated for experiments. The average errors between the predicted and measured results for forward and backward transmission efficiencies are 2.30% and 4.01%, respectively. Full article
Show Figures

Figure 1

31 pages, 8601 KB  
Article
Parametric Quasi-Static Study of the Effect of Misalignments on the Path of Contact, Transmission Error, and Contact Pressure of Crowned Spur and Helical Gear Teeth Using a Novel Rapidly Convergent Method
by Maksat Temirkhan, Hamza Bin Tariq, Konstantinos Kaloudis, Christos Kalligeros, Vasilios Spitas and Christos Spitas
Appl. Sci. 2022, 12(19), 10067; https://doi.org/10.3390/app121910067 - 7 Oct 2022
Cited by 14 | Viewed by 6559
Abstract
Quasi-static modelling of non-conjugate contact of tooth-modified spur and helical gears has been studied at length, but existing models are hindered by convergence problems and require a brute-force numerical approach. Here, a novel, computationally efficient, and stable and unconditionally convergent model is developed [...] Read more.
Quasi-static modelling of non-conjugate contact of tooth-modified spur and helical gears has been studied at length, but existing models are hindered by convergence problems and require a brute-force numerical approach. Here, a novel, computationally efficient, and stable and unconditionally convergent model is developed for non-conjugate tooth contact in three dimensions and applied to crowned spur and helical gears to assess parametrically the sensitivity of various in- and out-of-plane misalignments on the path of contact, transmission error, and contact pressure. Performance metrics are defined, and comparisons are made between three different crowning modification functions. Full article
Show Figures

Figure 1

20 pages, 13383 KB  
Article
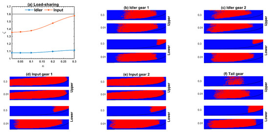
Analysis of Load-Sharing and Contact Characteristics of the Concentric Face Gear Split-Torque Transmission System with Elastic Supports
by Fei Gong, Rupeng Zhu, Pingjun Li and Guanghu Jin
Appl. Sci. 2022, 12(10), 4894; https://doi.org/10.3390/app12104894 - 12 May 2022
Cited by 5 | Viewed by 3016
Abstract
The concentric face gear split-torque transmission system (CFGSTTS) is a new form of drive that is primarily used in helicopter transmission systems. Its load-sharing performance among different branches and tooth contact characteristics have a great impact on the service life of helicopter transmissions. [...] Read more.
The concentric face gear split-torque transmission system (CFGSTTS) is a new form of drive that is primarily used in helicopter transmission systems. Its load-sharing performance among different branches and tooth contact characteristics have a great impact on the service life of helicopter transmissions. It contains ten meshing pairs, the load distribution is complicated, and the tooth contact areas are difficult to determine. Therefore, based on the multi-point constraint method and nonconforming grid, a quasi-static analysis model of the CFGSTTS coupled with flexible supports was established and the load-sharing performance and contact characteristics were studied. The model considered the support stiffness, backlash, installation error, and web structure of the upper face gear, which could comprehensively reflect the meshing state of the system. The load-sharing coefficient curves, tooth contact area diagram, and meshing force were obtained. The results indicated that (1) a larger idler support stiffness and a smaller input gear support stiffness could achieve better load equalization performance; (2) better load equalization between idler gears could be acquired with a lower face gear support stiffness factor of approximately 0.9; (3) increasing the axial mounting error caused the contact area to shift to the top and inner end of the face gear tooth, which was detrimental to the transmission; and (4) adjusting the backlash of the idler gears, input gears, and tail gear had little influence on the load balance and contact. Full article
Show Figures

Figure 1

23 pages, 12192 KB  
Article
Experimental Characterization and Modeling Multifunctional Properties of Epoxy/Graphene Oxide Nanocomposites
by Kakur Naresh, Kamran A. Khan and Rehan Umer
Polymers 2021, 13(16), 2831; https://doi.org/10.3390/polym13162831 - 23 Aug 2021
Cited by 24 | Viewed by 4402
Abstract
Thermomechanical modeling of epoxy/graphene oxide under quasi-static and dynamic loading requires thermo-mechanical properties such as Young’s modulus, Poisson’s ratio, thermal conductivity, and frequency-temperature dependent viscoelastic properties. In this study, the effects of different graphene oxide (GO) concentrations (0.05, 0.1, and 0.2 wt%) within [...] Read more.
Thermomechanical modeling of epoxy/graphene oxide under quasi-static and dynamic loading requires thermo-mechanical properties such as Young’s modulus, Poisson’s ratio, thermal conductivity, and frequency-temperature dependent viscoelastic properties. In this study, the effects of different graphene oxide (GO) concentrations (0.05, 0.1, and 0.2 wt%) within an epoxy matrix on several mechanical and thermal properties were investigated. The distribution of GO fillers in the epoxy was investigated using transmission electron microscopy (TEM). The digital image correlation (DIC) technique was employed during the tensile testing to determine Young’s modulus and Poisson’s ratio. Analytical models were used to predict Young’s modulus and thermal conductivity, with an error of less than 13% and 9%, respectively. Frequency–temperature dependent phenomenological models were proposed to predict the storage moduli and loss tangent, with a reasonable agreement with experimental data. A relatively high storage modulus, heat-resistance index (THRI), and thermal conductivity were observed in 0.2 wt% nanocomposite samples compared with pure epoxy and other lower concentration GO nanocomposites. A high THRI and derivative of thermogravimetric analysis peak temperatures (Tm1 and Tm2) were exhibited by adding nano-fillers in the epoxy, which confirms higher thermal stability of nanocomposites than that of pristine epoxy. Full article
(This article belongs to the Special Issue Advances in Graphene-Epoxy Nanocomposites)
Show Figures

Graphical abstract

21 pages, 15629 KB  
Article
Theoretical and Experimental Study on Contact Characteristics of Spiral Bevel Gears under Quasi-Static and Large Loading Conditions
by Yimeng Fu, Yaobing Zhuo, Xiaojun Zhou, Bowen Wan, Haoliang Lv and Zhe Wang
Appl. Sci. 2020, 10(15), 5109; https://doi.org/10.3390/app10155109 - 25 Jul 2020
Cited by 10 | Viewed by 7277
Abstract
The precise mathematical model for the tooth surface and transition surface of spiral bevel gears is derived. Taking a pair of spiral bevel gears of a heavy vehicle as an example of calculation and analysis, a finite element model of spiral bevel gears [...] Read more.
The precise mathematical model for the tooth surface and transition surface of spiral bevel gears is derived. Taking a pair of spiral bevel gears of a heavy vehicle as an example of calculation and analysis, a finite element model of spiral bevel gears transmission system is established. Through the finite element tooth contact analysis under quasi-static loading and high loading condition, the influences of torque on the root stress distribution, contact stress, and transmission error are discussed, and the results are compared with the empirical formula results. Finally, a contact performance test bench of spiral bevel gear pair is developed, then the root bending stress, contact pattern, and transmission error tests are carried out. These experiment results are compared with analyzed ones, which showed a good agreement. Full article
(This article belongs to the Special Issue Experimental Mechanics, Instrumentation and Metrology)
Show Figures

Figure 1

18 pages, 3864 KB  
Article
A Vibration Isolation System Using the Negative Stiffness Corrector Formed by Cam-Roller Mechanisms with Quadratic Polynomial Trajectory
by Mengnan Sun, Zhixu Dong, Guiqiu Song, Xingwei Sun and Weijun Liu
Appl. Sci. 2020, 10(10), 3573; https://doi.org/10.3390/app10103573 - 21 May 2020
Cited by 11 | Viewed by 5706
Abstract
The vibration isolator equipped with a negative stiffness corrector (NSC) excels at vibration isolation, but its stiffness often presents complex nonlinearity which needs to be approximated in calculation. To avoid the harmful effects of approximate stiffness, the NSC formed by the cam-roller mechanism [...] Read more.
The vibration isolator equipped with a negative stiffness corrector (NSC) excels at vibration isolation, but its stiffness often presents complex nonlinearity which needs to be approximated in calculation. To avoid the harmful effects of approximate stiffness, the NSC formed by the cam-roller mechanism with a quadratic polynomial trajectory (QCRM) is proposed to construct the vibration isolation system. From the inherent geometrical relationship in the structure, the generation mechanism of high-static-low-dynamic stiffness is analyzed, and the quasi-zero stiffness (QZS) condition of the system is derived. Based on the dynamic model of the QZS vibration isolator, the functions of response characteristics are solved by the harmonic balance method. Then, the absolute displacement transmissibility with different parameter values, and the vibration isolation performance under sinusoidal, multi-frequency wave, and random excitations are discussed. The simulated results show that the stiffness expression of the proposed QZS vibration isolator is directly a quadratic function, which removes the calculation error caused by approximate stiffness at large displacement and broadens the available isolation displacement range. Introducing the QCRM-NSC can significantly suppress the low-frequency vibration and resonance response without changing the load-bearing capacity of the vibration isolator. Under various excitations, the vibration isolation performance of the QZS vibration isolator all outperforms the linear counterpart. Full article
(This article belongs to the Section Acoustics and Vibrations)
Show Figures

Figure 1

16 pages, 7015 KB  
Article
Microstructure, Mechanical Properties, and Constitutive Models for Ti–6Al–4V Alloy Fabricated by Selective Laser Melting (SLM)
by Pan Tao, Jiangwei Zhong, Huaixue Li, Quandong Hu, Shuili Gong and Qingyan Xu
Metals 2019, 9(4), 447; https://doi.org/10.3390/met9040447 - 16 Apr 2019
Cited by 50 | Viewed by 6941
Abstract
The mechanical performances and microstructure of Ti–6Al–4V built by selective laser melting were evaluated by optical microscopy, transmission electron microscopy, and room temperature tensile testing, and compared with the wrought and as-cast material. The flow behavior of the as-produced Ti–6Al–4V at temperatures varying [...] Read more.
The mechanical performances and microstructure of Ti–6Al–4V built by selective laser melting were evaluated by optical microscopy, transmission electron microscopy, and room temperature tensile testing, and compared with the wrought and as-cast material. The flow behavior of the as-produced Ti–6Al–4V at temperatures varying from 700–900 °C at an interval of 50 °C and strain rates ranging from 10−2–101 s−1 was experimentally acquired. According to the experimental measurement, the Johnson–Cook, modified Arrhenius model, and artificial neural network were constructed. A comparative investigation on the predictability of established models was performed. The as-produced microstructure is made up of non-equilibrium martensite and columnar grains, leading to higher strength and lower ductility with respect to the conventional material. In room temperature tensile tests, the SLMed Ti–6Al–4V shows the characteristics of continuous yielding and unobvious work-hardening. The flow stress rapidly reaches the peak, and the softening rate depends on the strain rates and deformed temperatures in hot compression. The Johnson–Cook model could well predict the flow stress during quasi-static tensile deformation, but the model constants might vary with the process conditions. For dynamic compression, the artificial neural network exhibits higher accuracy to fit the flow stress of SLMed Ti–6Al–4V, and higher error to predict the conditions out of the model data, compared to the modified Arrhenius model involving the compensation of strain rate and strain. Full article
(This article belongs to the Special Issue Microlattices: New Cellular Materials for Lightweight Design)
Show Figures

Figure 1

23 pages, 1808 KB  
Article
Towards Efficient Wireless Body Area Network Using Two-Way Relay Cooperation
by Maham Waheed, Rizwan Ahmad, Waqas Ahmed, Micheal Drieberg and Muhammad Mahtab Alam
Sensors 2018, 18(2), 565; https://doi.org/10.3390/s18020565 - 13 Feb 2018
Cited by 41 | Viewed by 5579
Abstract
The fabrication of lightweight, ultra-thin, low power and intelligent body-borne sensors leads to novel advances in wireless body area networks (WBANs). Depending on the placement of the nodes, it is characterized as in/on body WBAN; thus, the channel is largely affected by body [...] Read more.
The fabrication of lightweight, ultra-thin, low power and intelligent body-borne sensors leads to novel advances in wireless body area networks (WBANs). Depending on the placement of the nodes, it is characterized as in/on body WBAN; thus, the channel is largely affected by body posture, clothing, muscle movement, body temperature and climatic conditions. The energy resources are limited and it is not feasible to replace the sensor’s battery frequently. In order to keep the sensor in working condition, the channel resources should be reserved. The lifetime of the sensor is very crucial and it highly depends on transmission among sensor nodes and energy consumption. The reliability and energy efficiency in WBAN applications play a vital role. In this paper, the analytical expressions for energy efficiency (EE) and packet error rate (PER) are formulated for two-way relay cooperative communication. The results depict better reliability and efficiency compared to direct and one-way relay communication. The effective performance range of direct vs. cooperative communication is separated by a threshold distance. Based on EE calculations, an optimal packet size is observed that provides maximum efficiency over a certain link length. A smart and energy efficient system is articulated that utilizes all three communication modes, namely direct, one-way relay and two-way relay, as the direct link performs better for a certain range, but the cooperative communication gives better results for increased distance in terms of EE. The efficacy of the proposed hybrid scheme is also demonstrated over a practical quasi-static channel. Furthermore, link length extension and diversity is achieved by joint network-channel (JNC) coding the cooperative link. Full article
(This article belongs to the Collection Smart Communication Protocols and Algorithms for Sensor Networks)
Show Figures

Figure 1

18 pages, 997 KB  
Article
Study of Channel Characteristics for Galvanic-Type Intra-Body Communication Based on a Transfer Function from a Quasi-Static Field Model
by Xi Mei Chen, Peng Un Mak, Sio Hang Pun, Yue Ming Gao, Chan-Tong Lam, Mang I. Vai and Min Du
Sensors 2012, 12(12), 16433-16450; https://doi.org/10.3390/s121216433 - 27 Nov 2012
Cited by 41 | Viewed by 10069
Abstract
Intra-Body Communication (IBC), which modulates ionic currents over the human body as the communication medium, offers a low power and reliable signal transmission method for information exchange across the body. This paper first briefly reviews the quasi-static electromagnetic (EM) field modeling for a [...] Read more.
Intra-Body Communication (IBC), which modulates ionic currents over the human body as the communication medium, offers a low power and reliable signal transmission method for information exchange across the body. This paper first briefly reviews the quasi-static electromagnetic (EM) field modeling for a galvanic-type IBC human limb operating below 1 MHz and obtains the corresponding transfer function with correction factor using minimum mean square error (MMSE) technique. Then, the IBC channel characteristics are studied through the comparison between theoretical calculations via this transfer function and experimental measurements in both frequency domain and time domain. High pass characteristics are obtained in the channel gain analysis versus different transmission distances. In addition, harmonic distortions are analyzed in both baseband and passband transmissions for square input waves. The experimental results are consistent with the calculation results from the transfer function with correction factor. Furthermore, we also explore both theoretical and simulation results for the bit-error-rate (BER) performance of several common modulation schemes in the IBC system with a carrier frequency of 500 kHz. It is found that the theoretical results are in good agreement with the simulation results. Full article
(This article belongs to the Special Issue Body Sensor Networks for Healthcare and Pervasive Applications)
Show Figures

Graphical abstract

Back to TopTop