Sign in to use this feature.

Years

Between: -

Subjects

remove_circle_outline
remove_circle_outline
remove_circle_outline
remove_circle_outline
remove_circle_outline
remove_circle_outline
remove_circle_outline
remove_circle_outline
remove_circle_outline

Journals

Article Types

Countries / Regions

Search Results (121)

Search Parameters:
Keywords = pulse combustion

Order results
Result details
Results per page
Select all
Export citation of selected articles as:
25 pages, 12933 KB  
Article
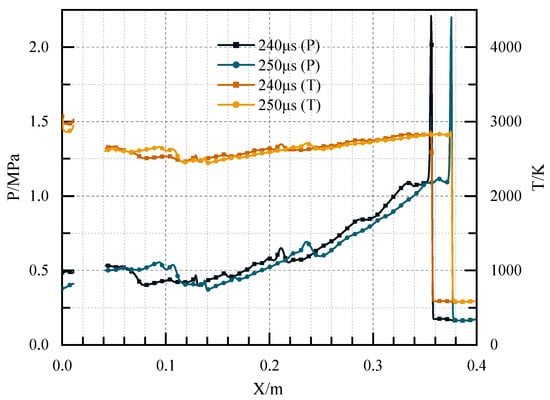
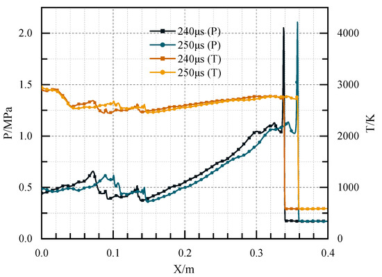
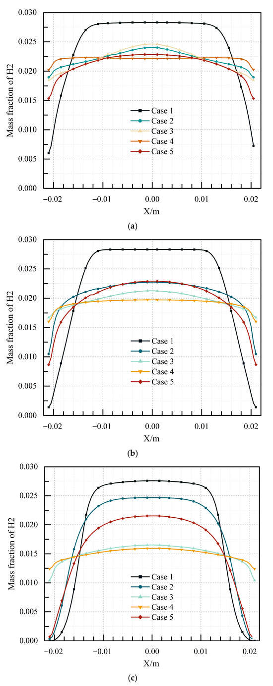
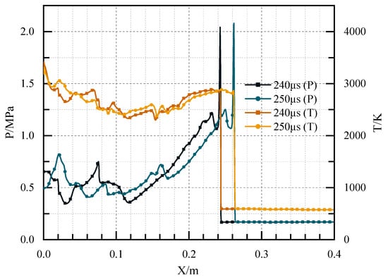
Numerical Study on Detonation Initiation Process in Channels Equipped with Typical Ramjet Flameholders
by Lisi Wei, Zhiwu Wang, Weifeng Qin and Zixu Zhang
Aerospace 2025, 12(11), 972; https://doi.org/10.3390/aerospace12110972 - 30 Oct 2025
Viewed by 57
Abstract
Differing from traditional isobaric combustion, a pulse detonation-based ramjet (PD-Ramjet) was proposed in this study to enhance the efficiency of traditional ramjets. By using a two-dimensional numerical simulation method, the filling process and detonation initiation process of the hydrogen/air stoichiometric mixture in channels [...] Read more.
Differing from traditional isobaric combustion, a pulse detonation-based ramjet (PD-Ramjet) was proposed in this study to enhance the efficiency of traditional ramjets. By using a two-dimensional numerical simulation method, the filling process and detonation initiation process of the hydrogen/air stoichiometric mixture in channels equipped with typical flameholders were studied under the inflow condition of a ramjet combustor, and the influences of the typical flameholders on the filling process and detonation initiation process were analyzed. Single cavity, sudden expansion cavity, central cavity, and V-shaped groove were chosen as typical ramjet flameholders. The simulation and analysis results indicated that the flameholders would affect the filling effect, and the blocking ratio had a great influence on the filling process. The hydrogen volume discharged from the outlet of the channel and the time for mixed gas to reach the outlet were related to the blocking ratio and the cavity aft wall inclination angle. The detonation initiation process revealed that the flameholders promoted the generation of detonation waves. Contrastingly, the detonation wave could not be initiated in the channel without flameholders despite the better filling effect. Moreover, different flameholders would change the position of high-pressure point formation and the time for generating the stable detonation wave. On the whole, the sudden expansion cavity had a lower blockage ratio and also gave consideration to the filling effect and detonation initiation characteristic, making it the most suitable flameholder structure for PD-Ramjet in this study. Full article
(This article belongs to the Section Aeronautics)
Show Figures

Figure 1

35 pages, 5860 KB  
Review
Preparation Technology, Reactivity and Applications of Nano-Aluminum in Explosives and Propellants: A Review
by Huili Guo, Weipeng Zhang and Weiqiang Pang
Nanomaterials 2025, 15(20), 1564; https://doi.org/10.3390/nano15201564 - 14 Oct 2025
Viewed by 308
Abstract
Aluminum powder is the most commonly used metal fuel in the industry of explosives and propellants. The research progress in preparation technology, reactivity and application of nano-aluminum in explosives and propellants is systematically reviewed in this paper. The preparation technology of nano-aluminum powder [...] Read more.
Aluminum powder is the most commonly used metal fuel in the industry of explosives and propellants. The research progress in preparation technology, reactivity and application of nano-aluminum in explosives and propellants is systematically reviewed in this paper. The preparation technology of nano-aluminum powder includes mechanical pulverization technology (such as the ball milling method and ultrasonic ablation method, etc.), evaporation condensation technology (such as the laser induction composite heating method, high-frequency induction method, arc method, pulsed laser ablation method, resistance heating condensation method, gas-phase pyrolysis method, wire explosion pulverization method, etc.), chemical reduction technology (such as the solid-phase reduction method, solution reduction method, etc.) and the ionic liquid electrodeposition method, each of which has its own advantages. Some new preparation methods have emerged, providing important reference value for the large-scale production of high-purity, high-quality nano-aluminum powder. The reactivity differences between nano-aluminum powder and micro-aluminum powder are compared in the thesis. It is clear that the reactivity of nano-aluminum powder is much higher than that of micro-aluminum powder in terms of ignition performance, combustion performance and reaction completeness, and it has a stronger influence on the detonation performance of mixed explosives and the combustion performance of propellants. Nano-aluminum powder is highly prone to oxidation, which seriously affects its application efficiency. In addition, when aluminum powder oxidizes or burns, a surface oxide layer will be formed, which hinders the continued reaction of internal aluminum powder. In addition, nano-aluminum powder may deteriorate the preparation process of explosives or propellants. To improve these shortcomings, appropriate coating or modification treatment is required. The application of nano-aluminum powder in mixed explosives can improve many properties of mixed explosives, such as detonation velocity, detonation heat, peak value of shock wave overpressure, etc. Applying nano-aluminum powder to propellants can significantly increase the burning rate and improve the properties of combustion products. It is pointed out that the high reactivity of nano-aluminum powder makes the preparation and storage of high-purity nano-aluminum powder extremely difficult. It is recommended to increase research on the preparation and storage technology of high-purity nano-aluminum powder. Full article
Show Figures

Figure 1

14 pages, 374 KB  
Article
Effect of Biomass Fuel Use on Neonatal Outcomes: A Cohort Study of Pregnant Females
by Rajitha Wickremasinghe, Meghan Tipre, Ruwanthi Perera, Pavithra Godamunne, Rodney R. Larson, Mark Leader, Claudiu T. Lungu, Udaya Wimalasiri, Priyantha Perera and Sumal Nandasena
Int. J. Environ. Res. Public Health 2025, 22(9), 1336; https://doi.org/10.3390/ijerph22091336 - 27 Aug 2025
Viewed by 1118
Abstract
Background: Exposure to indoor air pollution (IAP), including particulate matter of size 2.5 µm/m3 (PM2.5) and carbon monoxide (CO) resulting from the combustion of biomass fuels in homes, is an important risk factor associated with growth and developmental delays in [...] Read more.
Background: Exposure to indoor air pollution (IAP), including particulate matter of size 2.5 µm/m3 (PM2.5) and carbon monoxide (CO) resulting from the combustion of biomass fuels in homes, is an important risk factor associated with growth and developmental delays in neonates. We investigated the association between exposure to HAP and adverse birth outcomes in a birth cohort study of 594 pregnant females in Sri Lanka. Methods: Pregnant females between the ages of 18 and 40 years were enrolled in their first trimester and followed until delivery. Baseline assessments of fuel used for cooking were used to categorize the females into high-exposure (wood and kerosene) or low-exposure (liquid petroleum gas and electricity) groups. Indoor air quality measurements of PM2.5 (n = 303) and CO (n = 258) were conducted in a subgroup of households. The outcomes at birth included the neonates’ appearance, pulse, grimace, activity, respiration (APGAR) score, Brazelton Neonatal Behavioural Assessment Scale (BNBAS) score, and birth weight. Linear and logistic regressions were used to evaluate the association between household air pollution (HAP) and birth outcomes. Results: Of the 526 neonates assessed at delivery, 55.7% were born to mothers with high HAP exposure and 44.3% with low HAP exposure, respectively. The results of the linear regression found an inverse association between higher exposure to HAP and birthweight in the adjusted and unadjusted models; the birth weight of children in the high-exposure group was lower by 107 g compared to that of the low-exposure group after adjusting for other variables (β = −106.8; 95% confidence intervals: −197.6, −16.0). Exposure status was not associated with birth length, gestational age, or the APGAR score; however, the BNBAS motor score was significantly lower in the neonates of the high-exposure group (6.41 vs. 6.55, p = 0.04), though it was not significant when adjusted for other variables. No correlation was found between the measured indoor PM2.5 levels and birth weight, birth length, gestational age, APGAR score, or BNBAS score. Conclusions: Exposure to IAP due to emissions from combustion products from biomass fuels adversely affects birth weight. These effects may be more pronounced in vulnerable populations in settings where primary healthcare for pregnant women is limited. Full article
(This article belongs to the Section Environmental Health)
Show Figures

Figure 1

24 pages, 14731 KB  
Article
Hybrid Laser Cleaning of Carbon Deposits on N52B30 Engine Piston Crowns: Multi-Objective Optimization via Response Surface Methodology
by Yishun Su, Liang Wang, Zhehe Yao, Qunli Zhang, Zhijun Chen, Jiawei Duan, Tingqing Ye and Jianhua Yao
Materials 2025, 18(15), 3626; https://doi.org/10.3390/ma18153626 - 1 Aug 2025
Cited by 1 | Viewed by 577
Abstract
Carbon deposits on the crown of engine pistons can markedly reduce combustion efficiency and shorten service life. Conventional cleaning techniques often fail to simultaneously ensure a high carbon removal efficiency and maintain optimal surface integrity. To enable efficient and precise carbon removal, this [...] Read more.
Carbon deposits on the crown of engine pistons can markedly reduce combustion efficiency and shorten service life. Conventional cleaning techniques often fail to simultaneously ensure a high carbon removal efficiency and maintain optimal surface integrity. To enable efficient and precise carbon removal, this study proposes the application of hybrid laser cleaning—combining continuous-wave (CW) and pulsed lasers—to piston carbon deposit removal, and employs response surface methodology (RSM) for multi-objective process optimization. Using the N52B30 engine piston as the experimental substrate, this study systematically investigates the combined effects of key process parameters—including CW laser power, pulsed laser power, cleaning speed, and pulse repetition frequency—on surface roughness (Sa) and carbon residue rate (RC). Plackett–Burman design was employed to identify significant factors, the method of the steepest ascent was utilized to approximate the optimal region, and a quadratic regression model was constructed using Box–Behnken response surface methodology. The results reveal that the Y-direction cleaning speed and pulsed laser power exert the most pronounced influence on surface roughness (F-values of 112.58 and 34.85, respectively), whereas CW laser power has the strongest effect on the carbon residue rate (F-value of 57.74). The optimized process parameters are as follows: CW laser power set at 625.8 W, pulsed laser power at 250.08 W, Y-direction cleaning speed of 15.00 mm/s, and pulse repetition frequency of 31.54 kHz. Under these conditions, the surface roughness (Sa) is reduced to 0.947 μm, and the carbon residue rate (RC) is lowered to 3.67%, thereby satisfying the service performance requirements for engine pistons. This study offers technical insights into the precise control of the hybrid laser cleaning process and its practical application in engine maintenance and the remanufacturing of end-of-life components. Full article
Show Figures

Figure 1

14 pages, 2726 KB  
Article
Streamer Discharge Modeling for Plasma-Assisted Combustion
by Stuart Reyes and Shirshak Kumar Dhali
Plasma 2025, 8(3), 28; https://doi.org/10.3390/plasma8030028 - 10 Jul 2025
Viewed by 1226
Abstract
Some of the popular and successful atmospheric pressure fuel/air plasma-assisted combustion methods use repetitive ns pulsed discharges and dielectric-barrier discharges. The transient phase in such discharges is dominated by transport under strong space charge from ionization fronts, which is best characterized by the [...] Read more.
Some of the popular and successful atmospheric pressure fuel/air plasma-assisted combustion methods use repetitive ns pulsed discharges and dielectric-barrier discharges. The transient phase in such discharges is dominated by transport under strong space charge from ionization fronts, which is best characterized by the streamer model. The role of the nonthermal plasma in such discharges is to produce radicals, which accelerates the chemical conversion reaction leading to temperature rise and ignition. Therefore, the characterization of the streamer and its energy partitioning is essential to develop a predictive model. We examine the important characteristics of streamers that influence combustion and develop some macroscopic parameters. Our results show that the radicals’ production efficiency at an applied field is nearly independent of time and the radical density generated depends only on the electrical energy density coupled to the plasma. We compare the results of the streamer model to the zero-dimensional uniform field Townsend-like discharge, and our results show a significant difference. The results concerning the influence of energy density and repetition rate on the ignition of a hydrogen/air fuel mixture are presented. Full article
(This article belongs to the Special Issue New Insights into Plasma Theory, Modeling and Predictive Simulations)
Show Figures

Figure 1

36 pages, 23568 KB  
Article
Evaluation of the Reliability of Thermogravimetric Indices for Predicting Coal Performance in Utility Systems
by Krzysztof M. Czajka
Energies 2025, 18(13), 3473; https://doi.org/10.3390/en18133473 - 1 Jul 2025
Viewed by 550
Abstract
A thorough understanding of fuel behaviour is essential for designing and operating thermochemical systems. Thermogravimetric analysis (TGA) is among the most widely used fuel characterization methods, offering parameters like reactivity and ignition temperature, and enabling comprehensive fuel behaviour assessment through combined indices. This [...] Read more.
A thorough understanding of fuel behaviour is essential for designing and operating thermochemical systems. Thermogravimetric analysis (TGA) is among the most widely used fuel characterization methods, offering parameters like reactivity and ignition temperature, and enabling comprehensive fuel behaviour assessment through combined indices. This study critically examines the applicability of TGA-based indices for predicting coal performance in industrial processes such as gasification and combustion, where devolatilization, ignition, and burnout stages are key. TGA-derived data are compared with results from established methods, including drop tube furnace (DTF), pulse ignition (PI), and entrained flow reactor (EFR) tests. Findings indicate that the Volatile Matter Release Index (D2) effectively predicts DTF behaviour (R2 = 0.938, max residuals: 4.1 pp), proving useful for fast devolatilization analysis. The Flammability Index (C1) and Ignition Index (C3) correlate well with PI results (R2 = 0.927 and 0.931, max residuals: 53.3a °C), making them reliable ignition indicators. While TGA tools showed limited accuracy in burnout prediction, the proposed Modified Burnout Characteristic Index (B1′) achieved reasonable performance (R2 = 0.734, max residuals: 0.062%∙°C−1). Overall, selected TGA-based indices offer strong predictive potential for key thermochemical conversion stages. Full article
(This article belongs to the Special Issue Towards Cleaner and More Efficient Combustion)
Show Figures

Figure 1

15 pages, 2200 KB  
Article
In Situ DRIFTS Study of Na-Promoted Pt/ZSM5 Catalysts for H2-SCR
by Stefano Cimino, Elisabetta Maria Cepollaro, Michele Emanuele Fortunato and Luciana Lisi
Catalysts 2025, 15(6), 598; https://doi.org/10.3390/catal15060598 - 17 Jun 2025
Viewed by 725
Abstract
Platinum was supported on ZSM5 at loadings from 0.1 to 1 wt% and tested for the Selective Catalytic Reduction of NO with H2 under excess O2 in a fixed bed reactor to address the issue of NOx emission abatement from [...] Read more.
Platinum was supported on ZSM5 at loadings from 0.1 to 1 wt% and tested for the Selective Catalytic Reduction of NO with H2 under excess O2 in a fixed bed reactor to address the issue of NOx emission abatement from H2-fueled internal combustion engines avoiding the additional devices for urea storage and injection. To reduce the undesired NO oxidation to NO2, which is activated by platinum at T > 200 °C, the 0.1%Pt/ZSM5 catalyst was further promoted with sodium. 5 wt% loading of Na strongly inhibited the NO oxidation while giving only a limited impact on the H2-SCR activity. Unpromoted and Na-promoted catalysts were characterized by XRD, SEM/EDX, N2 physisorption, and NH3-TPD to investigate the morphological, structural, and acid properties; H2 pulse chemisorption and DRIFTS of CO chemisorption were used to investigate the nature of Pt active species. Steady-state and transient operando DRIFTS experiments under NO+H2+O2 flow were employed to identify the adsorbed NOx species interacting with H2, and reaction intermediates as a function of the reaction conditions. The formation of ammonium intermediates via the reduction of surface nitrate species, playing a key role in H2-SCR catalyzed by 0.1Pt/ZSM5, was preserved at low Na load whilst NO2 formation was largely inhibited. Full article
(This article belongs to the Special Issue Spectroscopy in Modern Materials Science and Catalysis)
Show Figures

Graphical abstract

20 pages, 4485 KB  
Article
Experimental Study on the Pulsed Operating Characteristics of a Hydrogen–Oxygen Engine Based on Microwave Ignition Technology
by Zijie Xiong, Zibo Wang, Shenbin Wang and Yusong Yu
Sustainability 2025, 17(12), 5549; https://doi.org/10.3390/su17125549 - 16 Jun 2025
Viewed by 977
Abstract
The fuel produced through water electrolysis is non-toxic and clean, and the water propulsion system offers low cost and easy integration with other systems. This study investigates the pulse operating characteristics of a water electrolytic chemical propulsion engine using microwave ignition technology. A [...] Read more.
The fuel produced through water electrolysis is non-toxic and clean, and the water propulsion system offers low cost and easy integration with other systems. This study investigates the pulse operating characteristics of a water electrolytic chemical propulsion engine using microwave ignition technology. A high-speed camera captured flame images, while a spectrometer and pressure sensor were used for data quantification. Three peak gas pressure points were selected for data analysis. The experimental results revealed that the flame color changes at different combustion stages, starting white and turning blue at the flame tip during stable combustion. Combustion pressure fluctuated between −0.53 kPa and 765 kPa, with an average of ≈32 kPa, showing a rapid pressure rise followed by smooth decay. At all three operating points, the thrust was small (0.38 N, 0.37 N, and 0.35 N), but after the third operating point, thrust increased significantly to 2.25 N, an enhancement of 508.1%. Spectral data indicated that the combustion products included H, O, and N atoms. This study is the first to investigate the pulsed conditions of a direct microwave ignition system and provide insights into its operating characteristics. The system will be optimized in the future. Full article
Show Figures

Figure 1

19 pages, 3627 KB  
Article
Numerical Analysis of Pulse Decay Characteristics in Solid Rocket Motors for Different Finocyl Grain Configurations
by Fengnan Guo, Fengrui Li, Hongfeng Ji, Lin Fu and Xuyang Gao
Aerospace 2025, 12(6), 537; https://doi.org/10.3390/aerospace12060537 - 13 Jun 2025
Viewed by 1029
Abstract
Combustion instability is an abnormal working state that often occurs in advanced solid rocket motors (SRMs), which can arouse pressure oscillations, increase the risk of mission failure, and even cause structural damage. In this paper, a numerical simulation method is adapted to analyze [...] Read more.
Combustion instability is an abnormal working state that often occurs in advanced solid rocket motors (SRMs), which can arouse pressure oscillations, increase the risk of mission failure, and even cause structural damage. In this paper, a numerical simulation method is adapted to analyze the combustion instability problem of a typical finocyl grain SRM, and the working process and pressure oscillation of different-structure SRMs are compared and analyzed. Firstly, the acoustic finite element analysis (FEA) method and the large eddy simulation (LES) method for SRM combustion instability analysis are given. Then, the numerical simulation method presented in this paper is verified by comparing the present results with the experimental data of Ariane-5 P230 motor, and finally, the pressure oscillation characteristics of SRMs with different structures by external pulse excitation are studied. The simulation results show that the pressure decay rate of the front finocyl grain structure is faster than that of the rear finocyl grain structure under the same external excitation. The excitation position has a relatively minor influence on the decay characteristics of pressure oscillations. The results can provide a certain reference for the combustion stability design of SRMs. Full article
(This article belongs to the Special Issue Combustion of Solid Propellants)
Show Figures

Figure 1

14 pages, 2289 KB  
Article
Propagation Regimes and Signal Enhancement Mechanisms of Collinear Double-Pulse Plasma with Varying Inter-Pulse Delays
by Yang Zhao, Lei Zhang, Zhihui Tian, Xiuqing Zhang, Jiandong Bai and Wangbao Yin
Sensors 2025, 25(11), 3409; https://doi.org/10.3390/s25113409 - 28 May 2025
Viewed by 683
Abstract
Laser-induced breakdown spectroscopy (LIBS) is an in situ analytical technique. Compared to traditional single-pulse LIBS (SP-LIBS), collinear double-pulse LIBS (DP-LIBS) is a promising technique due to its lower limit of detection for trace elements. In this paper, we analyze the spectral and image [...] Read more.
Laser-induced breakdown spectroscopy (LIBS) is an in situ analytical technique. Compared to traditional single-pulse LIBS (SP-LIBS), collinear double-pulse LIBS (DP-LIBS) is a promising technique due to its lower limit of detection for trace elements. In this paper, we analyze the spectral and image information obtained from the emissions emitted by single/double pulse (SP/DP) laser-induced plasmas. The types of laser-supported absorption (LSA) waves of the plasmas were determined according to the interactions among the ablation vapor, the ambient gas, and the laser. Furthermore, the influence mechanisms of plasma shielding on DP-LIBS signal intensity enhancement with different inter-pulse delay were investigated. In our experimental conditions, the propagation regime of SP plasma is a laser-supported combustion (LSC) wave. The DP plasmas with short inter-pulse delays show the characteristics of a laser-supported detonation (LSD) wave, and the enhancement mechanism is mainly reheating for pre-plasma. On the contrary, the DP plasmas with longer inter-pulse delays show the characteristics of a LSC wave, and the increase in laser ablation is a major contributing factor to the signal improvement. In addition, the spectral lines, which are difficult to excite by SP-LIBS, can be obtained by selecting an appropriate inter-pulse delay and setting a short delay, which provides a new idea for the measurement of trace elements. Full article
(This article belongs to the Special Issue Spectral Detection Technology, Sensors and Instruments, 2nd Edition)
Show Figures

Figure 1

22 pages, 3440 KB  
Review
Coherent Vibrational Anti-Stokes Raman Spectroscopy Assisted by Pulse Shaping
by Kai Wang, James T. Florence, Xia Hua, Zehua Han, Yujie Shen, Jizhou Wang, Xi Wang and Alexei V. Sokolov
Molecules 2025, 30(10), 2243; https://doi.org/10.3390/molecules30102243 - 21 May 2025
Viewed by 2561
Abstract
Coherent anti-Stokes Raman scattering (CARS) is a powerful nonlinear spectroscopic technique widely used in biological imaging, chemical analysis, and combustion and flame diagnostics. The adoption of pulse shapers in CARS has emerged as a useful approach, offering precise control of optical waveforms. By [...] Read more.
Coherent anti-Stokes Raman scattering (CARS) is a powerful nonlinear spectroscopic technique widely used in biological imaging, chemical analysis, and combustion and flame diagnostics. The adoption of pulse shapers in CARS has emerged as a useful approach, offering precise control of optical waveforms. By tailoring the phase, amplitude, and polarization of laser pulses, the pulse shaping approach enables selective excitation, spectral resolution improvement, and non-resonant background suppression in CARS. This paper presents a comprehensive review of applying pulse shaping techniques in CARS spectroscopy for biophotonics. There are two different pulse shaping strategies: passive pulse shaping and active pulse shaping. Two passive pulse shaping techniques, hybrid CARS and spectral focusing CARS, are reviewed. Active pulse shaping using a programmable pulse shaper such as spatial light modulator (SLM) is discussed for CARS spectroscopy. Combining active pulse shaping and passive shaping, optimizing CARS with acousto-optic programmable dispersive filters (AOPDFs) is discussed and illustrated with experimental examples conducted in the authors’ laboratory. These results underscore pulse shapers in advancing CARS technology, enabling improved sensitivity, specificity, and broader applications across diverse scientific fields. Full article
Show Figures

Figure 1

35 pages, 13922 KB  
Review
Advances on Deflagration to Detonation Transition Methods in Pulse Detonation Engines
by Zhiwu Wang, Weifeng Qin, Lisi Wei, Zixu Zhang and Yuxiang Hui
Energies 2025, 18(8), 2109; https://doi.org/10.3390/en18082109 - 19 Apr 2025
Cited by 4 | Viewed by 2668
Abstract
Pulse detonation engines (PDEs) have become a transformative technology in the field of aerospace propulsion due to the high thermal efficiency of detonation combustion. However, initiating detonation waves within a limited space and time is key to their engineering application. Direct initiation, though [...] Read more.
Pulse detonation engines (PDEs) have become a transformative technology in the field of aerospace propulsion due to the high thermal efficiency of detonation combustion. However, initiating detonation waves within a limited space and time is key to their engineering application. Direct initiation, though theoretically feasible, requires very high critical energy, making it almost impossible to achieve in engineering applications. Therefore, indirect initiation methods are more practical for triggering detonation waves that produce a deflagration wave through a low-energy ignition source and realizing deflagration to detonation transition (DDT) through flame acceleration and the interaction between flames and shock waves. This review systematically summarizes recent advancements in DDT methods in pulse detonation engines, focusing on the basic principles, influencing factors, technical bottlenecks, and optimization paths of the following: hot jet ignition initiation, obstacle-induced detonation, shock wave focusing initiation, and plasma ignition initiation. The results indicate that hot jet ignition enhances turbulent mixing and energy deposition by injecting energy through high-energy jets using high temperature and high pressure; this can reduce the DDT distance of hydrocarbon fuels by 30–50%. However, this approach faces challenges such as significant jet energy dissipation, flow field instability, and the complexity of the energy supply system. Solid obstacle-induced detonation passively generates turbulence and shock wave reflection through geometric structures to accelerate flame propagation, which has the advantages of having a simple structure and high reliability. However, the problem of large pressure loss and thermal fatigue restricts its long-term application. Fluidic obstacle-induced detonation enhances mixing uniformity through dynamic disturbance to reduce pressure loss. However, its engineering application is constrained by high energy consumption requirements and jet–mainstream coupling instability. Shock wave focusing utilizes concave cavities or annular structures to concentrate shock wave energy, which directly triggers detonation under high ignition efficiency and controllability. However, it is extremely sensitive to geometric parameters and incident shock wave conditions, and the structural thermal load issue is prominent. Plasma ignition generates active particles and instantaneous high temperatures through high-energy discharge, which chemically activates fuel and precisely controls the initiation sequence, especially for low-reactivity fuels. However, critical challenges, such as high energy consumption, electrode ablation, and decreased discharge efficiency under high-pressure environments, need to be addressed urgently. In order to overcome the bottlenecks in energy efficiency, thermal management, and dynamic stability, future research should focus on multi-modal synergistic initiation strategies, the development of high-temperature-resistant materials, and intelligent dynamic control technologies. Additionally, establishing a standardized testing system to quantify DDT distance, energy thresholds, and dynamic stability indicators is essential to promote its transition to engineering applications. Furthermore, exploring the DDT mechanisms of low-carbon fuels is imperative to advance carbon neutrality goals. By summarizing the existing DDT methods and technical bottlenecks, this paper provides theoretical support for the engineering design and application of PDEs, contributing to breakthroughs in the fields of hypersonic propulsion, airspace shuttle systems, and other fields. Full article
(This article belongs to the Section I2: Energy and Combustion Science)
Show Figures

Figure 1

41 pages, 20958 KB  
Article
Numerical Investigation of the Applicability of Low-Pressure Exhaust Gas Recirculation Combined with Variable Compression Ratio in a Marine Two-Stroke Dual-Fuel Engine and Performance Optimization Based on RSM-PSO
by Haosheng Shen and Daoyi Lu
J. Mar. Sci. Eng. 2025, 13(4), 765; https://doi.org/10.3390/jmse13040765 - 11 Apr 2025
Viewed by 896
Abstract
In this paper, a novel technical route, namely combining the low-pressure exhaust gas recirculation (LP-EGR) and variable compression ratio (VCR), is proposed to address the inferior fuel economy for marine dual-fuel engines of low-pressure gas injection in diesel mode. To validate the applicability [...] Read more.
In this paper, a novel technical route, namely combining the low-pressure exhaust gas recirculation (LP-EGR) and variable compression ratio (VCR), is proposed to address the inferior fuel economy for marine dual-fuel engines of low-pressure gas injection in diesel mode. To validate the applicability of the proposed technical route, firstly, a zero-dimensional/one-dimensional (0-D/1-D) engine simulation model with a predictive combustion model DI-Pulse is established using GT-Power. Then, parametric investigations on two LP-EGR schemes, which is implemented with either a back-pressure valve (LP-EGR-BV) or a blower (LP-EGR-BL), are performed to qualitatively identify the combined impacts of exhaust gas recirculation (EGR) and compression ratio (CR) on the combustion process, turbocharging system, and nitrogen oxides (NOx)-brake specific fuel consumption (BSFC) trade-offs. Finally, an optimization strategy is formulated, and an optimization program based on response surface methodology (RSM)–particle swarm optimization (PSO) is designed with the aim of improving fuel economy while meeting Tier III and various constraint conditions. The results of the parametric investigations reveal that the two LP-EGR schemes exhibit opposite impacts on the turbocharging system. Compared with the LP-EGR-BV, the LP-EGR-BL can achieve a higher in-cylinder pressure level. NOx-BSFC trade-offs are observed for both LP-EGR schemes, and the VCR is confirmed to be a viable approach for mitigating the penalty on BSFC caused by EGR. The optimization results reveal that for LP-EGR-BV, compared with the baseline engine, the optimized BSFC decreases by 10.16%, 11.95%, 10.32%, and 9.68% at 25%, 50%, 75%, and 100% maximum continuous rating (MCR), respectively, whereas, for the LP-EGR-BL scheme, the optimized BSFC decreases by 10.11%, 11.93%, 9.93%, and 9.58%, respectively. Furthermore, the corresponding NOx emissions level improves from meeting Tier II regulations (14.4 g/kW·h) to meeting Tier III regulations (3.4 g/kW·h). It is roughly estimated that compared to the original engine, both LP-EGR schemes achieve an approximate reduction of 240 tons in annual fuel consumption and save annual fuel costs by over USD 100,000. Although similar fuel economy is obtained for both LP-EGR schemes, LP-EGR-BV is superior to LP-EGR-BL in terms of structure complexity, initial cost, maintenance cost, installation space requirement, and power consumption. The findings of this study provide meaningful theoretical supports for the implementation of the proposed technical route in real-world engines. Full article
(This article belongs to the Special Issue Advances in Recent Marine Engineering Technology)
Show Figures

Figure 1

13 pages, 2405 KB  
Article
Development of Electrode of Electric Impulse Chamber for Coal Grinding
by Ayanbergen Kairbekovich Khassenov, Dana Zhilkibaevna Karabekova, Madina Muratovna Bolatbekova, Arystan Satybaldinovich Kudussov, Serik S. Kassymov and Lyubov Vasilyevna Chirkova
Appl. Sci. 2025, 15(7), 3607; https://doi.org/10.3390/app15073607 - 25 Mar 2025
Cited by 1 | Viewed by 440
Abstract
The coal industry remains a significant source of environmental pollution. Development of coal–water fuel allows for the reduction of harmful emissions (CO2, SO2, etc.) due to a more complete and environmentally friendly combustion of the fuel, making it an [...] Read more.
The coal industry remains a significant source of environmental pollution. Development of coal–water fuel allows for the reduction of harmful emissions (CO2, SO2, etc.) due to a more complete and environmentally friendly combustion of the fuel, making it an attractive transition solution towards cleaner energy. This study uses electropulse processing, which significantly increased the efficiency of the coal grinding process compared to mechanical action methods (cone mills, drum mills, etc.). The main advantages of electropulse technology are grinding efficiency, reduced high environmental impact (no need for chemical reagents and waste minimization), and the ability to produce coal powder with improved porosity and a larger surface area. The electrode in electropulse devices plays a decisive role in obtaining coal powder for coal–water fuel. The positive electrode must be resistant to high temperatures and aggressive conditions arising during the pulse processing. We have developed an optimal electrode design, including a gap between the metal rod and insulation, which ensures high resistance to pulse discharges. Increasing the capacity of the capacitor and the number of pulse discharges has had a positive effect on the yield of the finished product. The developed technology of electric impulse coal grinding helps to reduce the negative impact of the coal industry on the environment. Full article
(This article belongs to the Section Mechanical Engineering)
Show Figures

Figure 1

33 pages, 14926 KB  
Article
A Combined 1D/3D Method to Accurately Model Fuel Stratification in an Advanced Combustion Engine
by Adiel Sadloe, Pourya Rahnama, Ricardo Novella and Bart Somers
Fire 2025, 8(3), 117; https://doi.org/10.3390/fire8030117 - 20 Mar 2025
Cited by 1 | Viewed by 1040
Abstract
For computational fluid dynamic (CFD) modeling of advanced combustion engines, the cylinder is usually considered a closed system in which the initial conditions are estimated based on the experimental data. Most of these approximations hinder observing the effect of design parameters on engine [...] Read more.
For computational fluid dynamic (CFD) modeling of advanced combustion engines, the cylinder is usually considered a closed system in which the initial conditions are estimated based on the experimental data. Most of these approximations hinder observing the effect of design parameters on engine performance and emissions accurately, and most studies are limited to a few design parameters. An approach is proposed based on the combination of a 1D gas dynamic and a 3D CFD model to simulate the whole engine with as few simplifications as possible. The impact of changing the in-cylinder initial conditions, injection strategy (dual direct injection or multiple pulse injections), and piston bowl geometry on a reactivity controlled compression ignition (RCCI) engine’s performance, emissions, and fuel stratification levels was investigated. It was found that applying the dual direct injection (DDI) strategy to the engine can be promising to reach higher load operations by reducing the pressure rise rate and causing stronger stratification levels. Increasing the number of injection pulses leads to lower Soot/NOx emissions. The best reduction in the pressure rise rate was found by the dual direct strategy (38.36% compared to the base experimental case) and higher exhaust gas recirculation (EGR) levels (41.83% reduction in comparison with the base experimental case). With the help of a novel piston bowl design, HC and CO emissions were reduced significantly. This resulted in a reduction of 54.58% in HC emissions and 80.22% in CO emissions. Full article
Show Figures

Figure 1

Back to TopTop