Sign in to use this feature.

Years

Between: -

Subjects

remove_circle_outline
remove_circle_outline
remove_circle_outline
remove_circle_outline
remove_circle_outline
remove_circle_outline
remove_circle_outline
remove_circle_outline
remove_circle_outline

Journals

remove_circle_outline
remove_circle_outline
remove_circle_outline
remove_circle_outline
remove_circle_outline

Article Types

Countries / Regions

remove_circle_outline
remove_circle_outline
remove_circle_outline
remove_circle_outline
remove_circle_outline

Search Results (582)

Search Parameters:
Keywords = prediction of bearing capacity

Order results
Result details
Results per page
Select all
Export citation of selected articles as:
29 pages, 11152 KB  
Article
Experimental and Regression Modeling of Short-Term Flexural Behavior of Steel- and GFRP-Reinforced Early-Age Concrete Beams
by Muhammet Karabulut
Buildings 2025, 15(22), 4049; https://doi.org/10.3390/buildings15224049 - 10 Nov 2025
Viewed by 79
Abstract
To address the problem of corrosion, glass fiber-reinforced polymer (GFRP) bars have been introduced as a viable alternative to conventional steel reinforcement in concrete structures. While extensive research has been conducted on the flexural behavior of RC beams reinforced with steel and GFRP [...] Read more.
To address the problem of corrosion, glass fiber-reinforced polymer (GFRP) bars have been introduced as a viable alternative to conventional steel reinforcement in concrete structures. While extensive research has been conducted on the flexural behavior of RC beams reinforced with steel and GFRP bars over both normal-term and long-term periods, studies focusing on fresh concrete beams are almost non-existent. Consequently, this research investigates the impact of steel and GFRP longitudinal reinforcement, as well as the influence of varying concrete compressive strengths, on the flexural behavior of RC beams. The study employs 3-point bending experiments and machine learning (ML) predictive analyses. Specifically, the short-term (fresh) concrete reinforcement compatibility and the effects of steel and GFRP bar reinforcements on beam flexural behavior were examined across three concrete compressive strength categories: low (C25), moderate (C35), and high (C50). A notable contribution of this research is the application of different ML regression models, utilizing Python’s library, for deflection prediction of RC beams. The failure mechanisms of the beams under static loading conditions were analyzed, revealing that composite bar RC beams failed through flexural cracking and demonstrated ductile behavior, whereas steel bar RC beams exhibited brittle failure characterized by shear cracks and sudden failure modes. The ML regression models successfully predicted the deflection values of RC beams under ultimate loads, achieving an average accuracy of 91.3%, which was deemed highly satisfactory. Among the 18 beams tested, the highest ultimate load was obtained for the SC50-1 beam at 87.46 kN. In contrast, while the steel-reinforced beams exhibited higher load-bearing capacities, it was observed that the GFRP-reinforced beams showed greater deflection and ductility, particularly in beams with low and medium concrete strengths. Based on these findings, it is recommended that the Gradient Boosting Regressor, an AI regression model, be utilized to guide researchers in evaluating the load-carrying and bending capacity of structural beam elements. Full article
(This article belongs to the Section Building Structures)
Show Figures

Figure 1

23 pages, 6718 KB  
Article
Structural Viability and Design Methodology of Bio-Based Concrete Panels in Modern Prefabrication
by Wei Xi, Wei-Nan Wang, Yan Wang and Tao-Yuan Yang
Buildings 2025, 15(22), 4045; https://doi.org/10.3390/buildings15224045 - 10 Nov 2025
Viewed by 89
Abstract
The incorporation of agricultural waste into construction materials represents a promising pathway toward achieving carbon neutrality in the building sector. This study investigates the flexural performance of a novel prefabricated external wall panel composed of corn straw concrete (CSC), an eco-friendly composite material [...] Read more.
The incorporation of agricultural waste into construction materials represents a promising pathway toward achieving carbon neutrality in the building sector. This study investigates the flexural performance of a novel prefabricated external wall panel composed of corn straw concrete (CSC), an eco-friendly composite material that utilizes waste corn straws. While prior studies have explored rice straw and hemp fiber concrete, they primarily focused on the mechanical properties of these materials rather than the design of prefabricated panels. This study fills the gap by optimizing reinforcement ratio and window opening layout for CSC panels, and validating their structural viability for prefabricated enclosures. An optimal mix proportion was identified, which meets the mechanical requirements for non-load-bearing applications. Four prototype panel specimens were subjected to out-of-plane monotonic loading, considering variables including reinforcement ratio (0.18% vs. 0.24%) and the presence of a window opening (25% area ratio). Results indicated that increasing the reinforcement ratio significantly enhanced the ultimate load capacity by up to 33.3% (from 45 kN to 60 kN)—an enhancement effect that was 12–15% higher than that of reported rice straw concrete. In contrast, the introduction of an opening reduced the ultimate load capacity by 11.1–16.7%. A detailed nonlinear finite element model (FEM) was developed and validated against experimental results. The validation results indicated deflection error of 7.7–12.8% (mean: 9.33%; SD: 2.05), ultimate load error of 7.7–11.1% (mean: 9.48%; SD: 1.32), and a correlation coefficient (R2) of 0.96 between simulated and experimental values. Furthermore, analytical methods for predicting the cracking moment (with an average error of 5.97%) and ultimate flexural capacity, based on yield line theory (with an average error of 8.43%), were proposed and verified. This study demonstrates the structural viability of CSC panels and provides a sustainable solution for waste reduction in prefabricated building enclosures, contributing to greener construction practices. Full article
Show Figures

Figure 1

14 pages, 3975 KB  
Article
Seismic Performance and Buckling Length Calculation Method of Concrete-Filled Steel Tube Columns
by Yulong Zhou, Haifang He, Shu Cao, Tong Zhu, Zhixuan Fei, Min Wu and Xiang Tian
Buildings 2025, 15(21), 4007; https://doi.org/10.3390/buildings15214007 - 6 Nov 2025
Viewed by 158
Abstract
This study establishes a refined numerical model of circular concrete-filled steel tube (CFST) columns using finite element software, and its effectiveness was verified through simulation of low-cycle reciprocating load tests. Based on this, a systematic analysis was conducted to investigate the effects of [...] Read more.
This study establishes a refined numerical model of circular concrete-filled steel tube (CFST) columns using finite element software, and its effectiveness was verified through simulation of low-cycle reciprocating load tests. Based on this, a systematic analysis was conducted to investigate the effects of three key parameters—axial compression ratio (0.1–0.3), slenderness ratio (22.2–46.8), and confinement coefficient (0.65–1.56)—on the seismic performance of CFST columns, including failure modes, hysteretic behavior, skeleton curves, ductility, and energy dissipation capacity. The local buckling behavior was also studied. The results indicate that increasing the axial compression ratio slightly enhances the bearing capacity but reduces ductility, increasing the slenderness ratio significantly reduces the bearing capacity but improves ductility, and increasing the confinement coefficient substantially improves the bearing capacity, ductility, and energy dissipation capacity simultaneously. Based on the parametric analysis, the existing calculation formula for the local buckling length of circular CFST columns was modified. The average error between the predicted and simulated values is only 10%, demonstrating high engineering applicability. This research provides a theoretical basis and a practical calculation method for the seismic design and performance evaluation of CFST building and bridge columns. Full article
Show Figures

Figure 1

31 pages, 5397 KB  
Article
Experimental and Analytical Evaluation of GFRP-Reinforced Concrete Bridge Barriers at the Deck–Wall Interface
by Hamidreza Khederzadeh, Khaled Sennah, Hamdy M. Afefy and Kousai Razouk
J. Compos. Sci. 2025, 9(11), 600; https://doi.org/10.3390/jcs9110600 - 2 Nov 2025
Viewed by 475
Abstract
This study investigates the structural performance of TL-5 concrete bridge barriers reinforced with glass fiber-reinforced polymer (GFRP) bars at the critical deck–wall interface. Five full-scale barrier models were subjected to static load testing until failure. The wall reinforcement included four barriers with high- [...] Read more.
This study investigates the structural performance of TL-5 concrete bridge barriers reinforced with glass fiber-reinforced polymer (GFRP) bars at the critical deck–wall interface. Five full-scale barrier models were subjected to static load testing until failure. The wall reinforcement included four barriers with high- and standard-modulus GFRP bars using headed-end, bent, and hooked anchorage, and one with conventional steel reinforcement. The objective was to assess the load-bearing capacity, failure modes, and deformation behavior of GFRP-reinforced barriers with respect to the Canadian Highway Bridge Design Code (CHBDC) requirements. Results revealed that all GFRP-reinforced models achieved ultimate flexural capacities surpassing CHBDC design limits, with diagonal tension cracking at the corner joint emerging as the predominant failure mode. A set of new equations was developed to predict diagonal tension failure and determine minimum reinforcement ratios to mitigate such failure. Comparisons with experimental findings validated the proposed analytical approach. Among the configurations tested, barriers with headed-end high-modulus GFRP bars offered the most cost-effective and structurally sound solution. These findings support the incorporation of GFRP bars in bridge barrier design and establish a framework for future code development regarding GFRP-reinforced barrier systems. Full article
Show Figures

Figure 1

21 pages, 4390 KB  
Article
Experimental Investigation of CO2–Mineral Interactions in Tight Clastic Rock Reservoirs: Implications for Geological Carbon Sequestration
by Ziyi Wang, Liehui Zhang, Shu Liu, Meng Wang, Hongming Tang, Dongyu Peng, Xinan Yu and Xingming Duan
Minerals 2025, 15(11), 1142; https://doi.org/10.3390/min15111142 - 30 Oct 2025
Viewed by 340
Abstract
Geological Carbon Sequestration (GCS) plays a crucial role in addressing climate change, particularly in oil and gas development. Understanding the reaction of supercritical CO2 under in situ conditions and its effects on minerals is essential for advancing GCS technology. This study investigates [...] Read more.
Geological Carbon Sequestration (GCS) plays a crucial role in addressing climate change, particularly in oil and gas development. Understanding the reaction of supercritical CO2 under in situ conditions and its effects on minerals is essential for advancing GCS technology. This study investigates the reaction mechanisms of feldspar (potassium and sodium feldspar) and clay minerals (chlorite, illite, montmorillonite, kaolinite) in CO2 environments. The impacts on mineral crystal structures, morphologies, and elemental compositions were analyzed using X-ray diffraction (XRD), scanning electron microscopy (SEM), energy-dispersive spectroscopy (EDS), and ion concentration measurements (ICP-OES and ICP-MS). The results show that feldspar minerals exhibit lower reaction rates, with sodium feldspar dissolving faster than potassium feldspar, due to the higher solubility of sodium ions in acidic conditions. Chlorite showed significant crystal structure damage after 30 days, while montmorillonite underwent both dissolution and precipitation, influenced by interlayer cation dissociation. Kaolinite exhibited minimal reaction, primarily showing localized dissolution. Additionally, the formation of siderite (FeCO3) was observed as Fe2+ substituted for Ca2+ in CaCO3, highlighting the role of iron-bearing carbonates in CO2 interactions. The study provides insights into the factors influencing mineral reactivity, including mineral structure, ion exchange capacity, and solubility, and suggests that chlorite, montmorillonite, and illite are more reactive under reservoir conditions, while kaolinite shows higher resistance to CO2-induced reactions. These findings offer valuable data for optimizing GCS technologies and predicting long-term sequestration outcomes. Full article
(This article belongs to the Special Issue Advances in Mineral-Based Carbon Capture and Storage)
Show Figures

Figure 1

25 pages, 7021 KB  
Article
Mechanism and Parametric Study on Pullout Failure of Tunnel Anchorage in Suspension Bridges
by Menglong Dong, Zhijin Shen, Xiaojie Geng, Li Zhang and Aipeng Tang
Appl. Sci. 2025, 15(21), 11587; https://doi.org/10.3390/app152111587 - 30 Oct 2025
Viewed by 217
Abstract
Tunnel anchorages are critical components in long-span suspension bridges, transferring immense cable forces into the surrounding rock mass. Although previous studies have advanced the understanding of their pullout behavior through field tests, laboratory models, numerical simulations, and theoretical analyses, significant challenges remain in [...] Read more.
Tunnel anchorages are critical components in long-span suspension bridges, transferring immense cable forces into the surrounding rock mass. Although previous studies have advanced the understanding of their pullout behavior through field tests, laboratory models, numerical simulations, and theoretical analyses, significant challenges remain in predicting their performance in complex geological conditions. This study investigates the pullout failure mechanism and bearing behavior of tunnel anchorages situated in heterogeneous conglomerate rock, with application to the Wujiagang Yangtze River Bridge in China to employ a tunnel anchorage in such strata. An integrated research methodology is adopted, combining in situ and laboratory geotechnical testing, a highly instrumented 1:12 scaled field model test, and detailed three-dimensional numerical modeling. The experimental program characterizes the strength and deformation properties of the rock, while the field test captures the mechanical response under design, overload, and ultimate failure conditions. Numerical models, calibrated against experimental results, are employed to analyze the influence of key parameters such as burial depth, inclination, and overburden strength. Furthermore, the long-term stability and creep behavior of the anchorage are evaluated. The results reveal the deformation characteristics, failure mode, and ultimate pullout capacity specific to weakly cemented and stratified rock. The study provides novel insights into the rock–anchorage interaction mechanism under these challenging conditions and validates the feasibility of tunnel anchorages in complex geology. The findings offer practical guidance for the design and construction of future tunnel anchorages in similar settings, ensuring both safety and economic efficiency. Full article
Show Figures

Figure 1

21 pages, 8652 KB  
Article
Development of New Jack-Up Substructure Supporting Offshore Wind Turbines in Multi-Layered Soils: Geotechnical Aspects
by Min Jy Lee and Yun Wook Choo
J. Mar. Sci. Eng. 2025, 13(11), 2060; https://doi.org/10.3390/jmse13112060 - 28 Oct 2025
Viewed by 245
Abstract
Few studies have addressed jack-up substructures with spudcans for offshore wind turbines targeting multi-layer seabed conditions, which are frequently found in the Korean seabed. This study analyzed existing guidelines to establish geotechnical design procedures for a newly proposed jack-up substructure supported by tubular [...] Read more.
Few studies have addressed jack-up substructures with spudcans for offshore wind turbines targeting multi-layer seabed conditions, which are frequently found in the Korean seabed. This study analyzed existing guidelines to establish geotechnical design procedures for a newly proposed jack-up substructure supported by tubular legs with spudcans, as well as to present design cases for a target site. This jack-up spudcan was designed for seabed conditions representative of the Korean southwestern offshore seabed, consisting of a sand–clay–sand layer. Analytical procedures from ISO and InSafeJIP guidelines were adopted to estimate the vertical bearing capacity of the spudcan. The yield envelope was determined based on this estimation, and the spudcan size was selected using structural reaction forces. Predictions from theoretical equations were compared with results from centrifuge tests for verification and discussion. Theoretical vertical capacities according to ISO match well with centrifuge results in sand-over-clay layers, while InSafeJIP shows a similar trend in intermediate clay layers. For clay-over-sand layers, only the vertical capacity formula for a single-sand layer case is available in the guidelines, which tends to overestimate the actual capacity for the underlying sand. However, by applying appropriately selected strength reduction factors, the actual foundation behavior can be reasonably predicted for design, but it is still overestimated, requiring further study. Full article
(This article belongs to the Special Issue Marine Geotechnical Applications in Marine Structures)
Show Figures

Figure 1

28 pages, 17348 KB  
Article
Geometry and Material Criteria for Low-Carbon Design of I/H-Beams in Sustainable Steel Structures Considering Both Mechanical Properties and Carbon Emissions
by Jitao Bai, Keyong Yang, Zhonghao Chen, Jiahe Liang, Simiao Zhang and Yu Diao
Materials 2025, 18(21), 4930; https://doi.org/10.3390/ma18214930 - 28 Oct 2025
Viewed by 518
Abstract
Construction steel is responsible for considerable amounts of carbon emissions in building sectors, and promoting the low-carbon design of steel components is conducive to the sustainable development of the industry. As one of the most typical components, I/H-beams are widely used in steel [...] Read more.
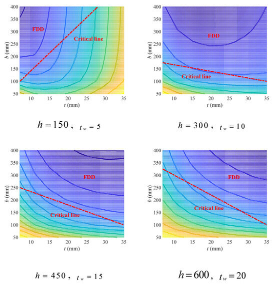
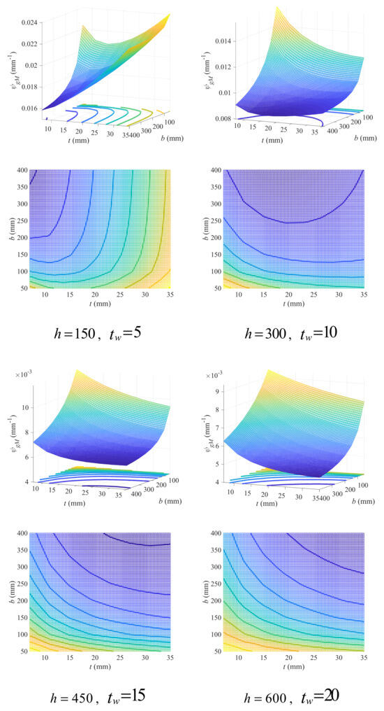
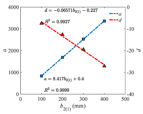
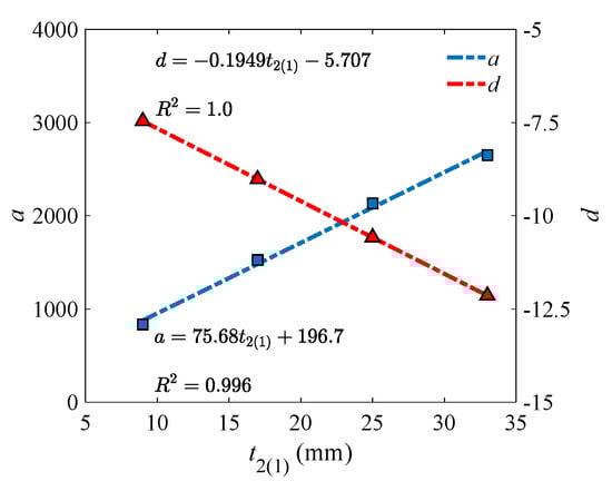
Construction steel is responsible for considerable amounts of carbon emissions in building sectors, and promoting the low-carbon design of steel components is conducive to the sustainable development of the industry. As one of the most typical components, I/H-beams are widely used in steel structures. In this paper, a new comprehensive index named carbon-capacity ratio (CCR) was proposed considering both mechanical properties and carbon emissions of I/H-beams, based on which the geometry coefficient and material coefficient were derived. Quantitative investigation was then conducted on the geometry coefficient to figure out the effects of different geometry variables, and the geometry criteria for low-carbon design of steel beams were concluded considering different load conditions. Results show that for double-symmetric cross-sections bearing flexural loads, larger flange width and beam height are suggested, while for single-symmetric cross-sections bearing flexural loads, increasing beam height as well as flange width and thickness can all contribute to sustainable beam designs, but adopting large beam height is the most effective. For cross-sections bearing shear loads, increasing beam height and web thickness would be beneficial. The feasible design domain (FDD) for geometry variables was proposed to be predicted with either linear or hyperbolic criteria depending on different loads and cross-sections. Additionally, a qualitative discussion was also given on the material coefficient, and steel with higher strength or that produced from recycled scrap using energy-saving technologies, as well as new prototyping techniques with lower energy and material loss, are recommended for beam fabrication. This study is expected to serve as a preliminary supplement to the blank in current codes or standards for low-carbon design of construction steel. Full article
(This article belongs to the Section Construction and Building Materials)
Show Figures

Figure 1

21 pages, 4809 KB  
Article
Model with GA and PSO: Pile Bearing Capacity Prediction and Geotechnical Validation
by Haobo Jin, Zhiqiang Li, Qiqi Xu, Qinyang Sang and Rongyue Zheng
Buildings 2025, 15(21), 3839; https://doi.org/10.3390/buildings15213839 - 23 Oct 2025
Viewed by 391
Abstract
Accurate prediction of the ultimate bearing capacity (UBC) of single piles is essential for safe and economical foundation design, as it directly impacts construction safety and resource efficiency. This study aims to develop a hybrid prediction framework integrating Genetic Algorithm (GA) and Particle [...] Read more.
Accurate prediction of the ultimate bearing capacity (UBC) of single piles is essential for safe and economical foundation design, as it directly impacts construction safety and resource efficiency. This study aims to develop a hybrid prediction framework integrating Genetic Algorithm (GA) and Particle Swarm Optimization (PSO) to optimize a Backpropagation Neural Network (BPNN). GA performs global exploration to generate diverse initial solutions, while PSO accelerates convergence through adaptive parameter updates, balancing exploration and exploitation. The primary objective of this study is to enhance the accuracy and reliability of UBC prediction, which is crucial for informed decision-making in geotechnical engineering. A dataset consisting of 282 high-strain dynamic load tests was employed to assess the performance of the proposed GA-PSO-BPNN model in comparison with CNN, XGBoost, and traditional dynamic formulas (Hiley, Danish, and Winkler). The GA-PSO-BPNN achieved an R2 of 0.951 and an RMSE of 660.13, outperforming other AI models and traditional approaches. Furthermore, SHAP (SHapley Additive exPlanations) analysis was conducted to evaluate the relative importance of input variables, where SHAP values were used to explain the contribution of each feature to the model’s predictions. The findings indicate that the GA-PSO-BPNN model provides a robust, cost-efficient, and interpretable approach for UBC prediction, which aligns with current sustainability goals by optimizing resource usage in foundation design. This model shows significant potential for practical use across various geotechnical settings, contributing to safer, more sustainable infrastructure projects. Full article
(This article belongs to the Section Building Structures)
Show Figures

Figure 1

22 pages, 6991 KB  
Article
Numerical Study on the Flexural Performance of Fully Bolted Joint for Panelized Steel Modular Structure
by Hao Wang, Xuetong Li, Conghe Tian, Jintao Cui, Xuyue Wang, Chuan Zhao and Yanlai Li
Buildings 2025, 15(20), 3807; https://doi.org/10.3390/buildings15203807 - 21 Oct 2025
Viewed by 354
Abstract
To investigate the initial rotational stiffness and ultimate moment of fully bolted connections in panelized steel modular structures, a finite element analysis was carried out on 20 joint models. High-fidelity models were developed using ABAQUS, and their accuracy was confirmed through comparison with [...] Read more.
To investigate the initial rotational stiffness and ultimate moment of fully bolted connections in panelized steel modular structures, a finite element analysis was carried out on 20 joint models. High-fidelity models were developed using ABAQUS, and their accuracy was confirmed through comparison with experimental tests. A parametric study was performed to systematically evaluate the effects of the column wall thickness in the core zone, internal diaphragm configurations, angle steel thickness, and stiffener layouts on the joint stiffness and ultimate strength, leading to practical optimization suggestions. Additionally, a mechanical model and a corresponding formula for predicting the initial rotational stiffness of the joints were proposed based on the component method in Eurocode EC3. The model was validated against the finite element results, showing good reliability. Three failure modes were identified as follows: buckling deformation of the beam flange, buckling deformation of the column flange, and deformation of the joint panel zone. In joints with a weak core zone, both the use of internal diaphragms and increased column wall thickness effectively improved the initial rotational stiffness and ultimate bearing capacity. For joints with weak angle steel connections, adding stiffeners or increasing the limb thickness significantly enhanced both the stiffness and capacity. The diameter of bolts in the endplate-to-column flange connection was found to have a considerable effect on the initial rotational stiffness, but minimal impact on the ultimate strength. This study offers a theoretical foundation for the engineering application of panelized steel modular structural joints. Full article
Show Figures

Figure 1

14 pages, 5290 KB  
Article
Numerical Investigation on Effect of Chamfering on Mechanical Behaviors in Continuous Network Composite
by Tao Li, Tianzi Wang, Jianchao Li, Cheng Liu, Bowen Gong, Wenting Ouyang, Likun Wang, Sainan Ma, Zhong Zheng, Bo Yuan, Huan Wang and Xiang Gao
Materials 2025, 18(20), 4810; https://doi.org/10.3390/ma18204810 - 21 Oct 2025
Viewed by 370
Abstract
The network architecture has demonstrated considerable potential for enhancing the strength–ductility synergy in metal matrix composites (MMCs). Intuitively, the intersections of network layers are expected to induce a stress concentration, leading to premature brittle fractures. Introducing chamfers to round the network cells may [...] Read more.
The network architecture has demonstrated considerable potential for enhancing the strength–ductility synergy in metal matrix composites (MMCs). Intuitively, the intersections of network layers are expected to induce a stress concentration, leading to premature brittle fractures. Introducing chamfers to round the network cells may mitigate the local stress concentration and thereby improve elongation. Here, a numerical simulation framework was developed to investigate the effect of chamfering on the mechanical behavior of a three-dimensional (3D) continuous SiC3D/Al composite with a network architecture. A Voronoi tessellation algorithm was employed to generate the continuous network structural SiC phase. By inducing ductile and brittle damage criterions in the matrix and reinforcement elements, respectively, the mechanical behavior can be predicted via the finite element method (FEM). The predicted mechanical properties reveal an unexpected trend: chamfering results in a simultaneous reduction in both strength (from 367 MPa to 312 MPa) and elongation (from 4.1% to 2.0%). With chamfering, the enlarged intersection of the network layer bears a lower load, whereas the narrower network plates exhibit higher stress concentrations. As a result, the overall load-bearing capacity of the SiC3D reinforcement decreases monotonically with an increasing chamfer size f. Furthermore, the non-uniform stress distribution promotes the premature fracture of the SiC3D, which reduces elongation. Additionally, the crack deflection behavior is suppressed in the chamfered models, leading to decreasing energy dissipation. This unanticipated outcome highlights an important architectural design principle: maintaining uniform geometric dimensions is critical for achieving optimal composite performance. Full article
(This article belongs to the Section Metals and Alloys)
Show Figures

Figure 1

13 pages, 3441 KB  
Article
Line-Defect Phononic Crystal Structure for Directional Enhancement Detection of Weak Acoustic Signals
by Shijie Zhang, Jinling Mu, Jiawei Xiao and Huiqiang Xu
Crystals 2025, 15(10), 907; https://doi.org/10.3390/cryst15100907 - 18 Oct 2025
Viewed by 387
Abstract
Effective detection of acoustic signals plays a crucial role in numerous fields, including industrial equipment fault prediction and environmental monitoring. Acoustic sensing technology, owing to its substantial information carrying capacity and non-contact measurement advantages, has garnered widespread attention in relevant applications. However, the [...] Read more.
Effective detection of acoustic signals plays a crucial role in numerous fields, including industrial equipment fault prediction and environmental monitoring. Acoustic sensing technology, owing to its substantial information carrying capacity and non-contact measurement advantages, has garnered widespread attention in relevant applications. However, the effective detection of weak target acoustic signals amidst strong noise interference remains a critical challenge in this field. The core bottleneck lies in the difficulty of traditional detection methods to simultaneously achieve both high sensitivity and high directionality. To address this limitation, this work proposes a line-defect phononic crystal (PnC) structure that enables directional enhancement and detection of weak target signals under intense spatial noise interference by coupling defect state localization characteristics with anisotropy mechanisms. Through theoretical derivation and finite element numerical simulation, the directional enhancement properties of this structure were systematically validated. Furthermore, numerical simulations were conducted to validate the detection of weak harmonic signals and weak bearing fault signals under strong spatial noise interference. The results demonstrate that this line-defect phononic crystal (PnC) structure exhibits high feasibility and outstanding performance in detecting weak acoustic signals. This work provides novel insights for developing new acoustic detection methods combining high sensitivity with high directivity, showcasing unique advantages and broad application prospects in acoustic signal sensing, enhancement, and localization. Full article
(This article belongs to the Special Issue Metamaterials and Their Devices, Second Edition)
Show Figures

Figure 1

15 pages, 3266 KB  
Article
Experimental and Numerical Research on p-y Curve of Offshore Photovoltaic Pile Foundations on Sandy Soil Foundation
by Sai Fu, Hongxin Chen, Guo-er Lv, Xianlin Jia and Xibin Li
J. Mar. Sci. Eng. 2025, 13(10), 1959; https://doi.org/10.3390/jmse13101959 - 13 Oct 2025
Viewed by 360
Abstract
While methods like cyclic triaxial testing and p-y model updating theory exist in geotechnical and offshore wind engineering, they have not been systematically applied to solve the specific deformation problems of offshore PV piles. This study investigates a specific offshore photovoltaic (PV) project [...] Read more.
While methods like cyclic triaxial testing and p-y model updating theory exist in geotechnical and offshore wind engineering, they have not been systematically applied to solve the specific deformation problems of offshore PV piles. This study investigates a specific offshore photovoltaic (PV) project in Qinhuangdao City, Hebei Province. Initially, field tests of horizontal static load on steel pipe pile foundations were conducted. A finite element model (FEM) of single piles was subsequently developed and validated. Further analysis examined the failure modes, initial stiffness, and ultimate resistance of offshore PV single piles in sandy soil foundations under varying pile diameters and embedment depths. The hyperbolic p-y curve model was modified by incorporating pile diameter size effects and embedment depth considerations. Key findings reveal the following: (1) The predominant failure mechanism of fixed offshore PV monopiles manifests as wedge-shaped failure in shallow soil layers. (2) Conventional API specifications and standard hyperbolic models demonstrate significant deviations in predicting p-y (horizontal soil resistance-pile displacement) curves, whereas the modified hyperbolic model shows good agreement with field measurements and numerical simulations. This research provides critical data support and methodological references for calculating the horizontal bearing capacity of offshore PV steel pipe pile foundations. Full article
(This article belongs to the Special Issue Advances in Offshore Foundations and Anchoring Systems)
Show Figures

Figure 1

26 pages, 4342 KB  
Article
Investigation into Anchorage Performance and Bearing Capacity Calculation Models of Underreamed Anchor Bolts
by Bin Zheng, Tugen Feng, Jian Zhang and Haibo Wang
Appl. Sci. 2025, 15(20), 10929; https://doi.org/10.3390/app152010929 - 11 Oct 2025
Viewed by 244
Abstract
Underreamed anchor bolts, as an emerging anchoring element in geotechnical engineering, operate via a fundamentally distinct load transfer mechanism compared with conventional friction type anchors. The accurate and reliable prediction of their ultimate bearing capacity constitutes a pivotal technological impediment to their broader [...] Read more.
Underreamed anchor bolts, as an emerging anchoring element in geotechnical engineering, operate via a fundamentally distinct load transfer mechanism compared with conventional friction type anchors. The accurate and reliable prediction of their ultimate bearing capacity constitutes a pivotal technological impediment to their broader engineering adoption. Firstly, this paper systematically elucidates the constituent mechanisms of underreamed anchor resistance and their progressive load transfer trajectory. Subsequently, in situ full-scale pull-out experiments are leveraged to decompose the load–displacement response throughout its entire evolution. The multi-stage development law and the underlying mechanisms governing the evolution of anchorage characteristics are thereby elucidated. Based on the experimental dataset, a three-dimensional elasto-plastic numerical model is rigorously established. The model delineates, at high resolution, the failure mechanism of surrounding soil mass and the spatiotemporal evolution of its three-dimensional displacement field. A definitive critical displacement criterion for the attainment of the ultimate bearing capacity of underreamed anchors is established. Consequently, analytical models for the ultimate side frictional stress and end-bearing capacity at the limit state are advanced, effectively circumventing the parametric uncertainties inherent in extant empirical formulations. Ultimately, characteristic parameters of the elasto-plastic branch of the load–displacement curve are extracted. An ultimate bearing capacity prognostic framework, founded on an optimized hyperbolic model, is established. Its superior calibration fidelity to the evolving load–displacement response and its demonstrable engineering applicability are rigorously substantiated. Full article
Show Figures

Figure 1

20 pages, 11873 KB  
Article
Axial Compressive Performance of Wood-Cored GFRP Sandwich Columns
by Yuping Kan, Yixin Feng, Zhongping Xiao, Wei Pan, Zhaoyan Cui and Lingfeng Zhang
Buildings 2025, 15(19), 3632; https://doi.org/10.3390/buildings15193632 - 9 Oct 2025
Viewed by 273
Abstract
Paulownia wood, as a fast-growing natural material, exhibits inherently low axial compressive strength. To improve the axial structural performance of Paulownia wood, wood-cored glass fiber-reinforced polymer (GFRP) sandwich Paulownia wood columns were developed in this study. Nevertheless, the behavior of such columns remained [...] Read more.
Paulownia wood, as a fast-growing natural material, exhibits inherently low axial compressive strength. To improve the axial structural performance of Paulownia wood, wood-cored glass fiber-reinforced polymer (GFRP) sandwich Paulownia wood columns were developed in this study. Nevertheless, the behavior of such columns remained largely unexplored—particularly under elevated temperatures and upon subsequent cooling. Consequently, an experimental program was conducted to characterize the influences of GFRP wrapping layers, steel hoop end confinement, high temperature, post-cooling strength recovery, and chamfer radius on the axial compressive performance of the columns. End crushing occurred in the absence of steel hoops, whereas mid-height fracture dominated when end confinement was provided. As the temperature rose from room temperature to 100 °C and 200 °C, the load-bearing capacity of the columns decreased by 38.26% and 54.05%, respectively, due to the softening of the GFRP composites. After cooling back to room temperature, the post-high-temperature specimens recovered approximately 95% of their original capacity, confirming that no significant thermal decomposition had been initiated. The load-bearing capacity also increased significantly with the number of GFRP layers, as the additional thickness provided both higher axial load capacity and enhanced lateral confinement of the wood core. Relative to a 4.76 mm chamfer, a 9.52 mm radius increased axial capacity by 14.07% by mitigating stress concentration. A theoretical model accounting for lateral confinement was successfully developed to predict the axial load-bearing capacity of the wood-cored GFRP sandwich columns. Full article
(This article belongs to the Special Issue Performance Analysis of Timber Composite Structures)
Show Figures

Figure 1

Back to TopTop