Sign in to use this feature.

Years

Between: -

Subjects

remove_circle_outline
remove_circle_outline
remove_circle_outline
remove_circle_outline
remove_circle_outline
remove_circle_outline
remove_circle_outline
remove_circle_outline
remove_circle_outline

Journals

Article Types

Countries / Regions

Search Results (185)

Search Parameters:
Keywords = potential ecological restoration of vegetation

Order results
Result details
Results per page
Select all
Export citation of selected articles as:
14 pages, 2290 KB  
Article
Identifying and Mapping Prospective Koala Habitat on Woppa (Great Keppel Island), Queensland, to Explore Future Conservation Opportunities
by Carlie Sommers, Michael Hewson, Rolf Schlagloth and Sophie George
Conservation 2025, 5(4), 72; https://doi.org/10.3390/conservation5040072 - 26 Nov 2025
Viewed by 77
Abstract
This study assessed the suitability of Woppa (Great Keppel Island), Queensland, as potential koala (Phascolarctos cinereus) habitat by combining existing koala-habitat ranking datasets with satellite-derived vegetation-health indices to inform conservation planning. This exploratory analysis establishes a spatial baseline to guide future [...] Read more.
This study assessed the suitability of Woppa (Great Keppel Island), Queensland, as potential koala (Phascolarctos cinereus) habitat by combining existing koala-habitat ranking datasets with satellite-derived vegetation-health indices to inform conservation planning. This exploratory analysis establishes a spatial baseline to guide future ecological surveys, cultural consultation, and restoration planning on Woppa. Analysis of the Koala Habitat Ranking (NESP) and Regional Ecosystems (RE) layers indicated that only 2.7% of the island’s vegetation is classified as high-quality koala habitat. Satellite-derived indices (NDVI and LAI) were used to evaluate the vegetation condition of these and other vegetated areas across wet and dry seasons; some high-ranked patches displayed comparatively greater resilience to seasonal stress; however, the remote-sensing data did not confirm the presence or abundance of key Eucalyptus species. Given the small extent of high-ranked habitat and projected climate stressors, the study does not recommend translocation. Instead, it emphasises the need for targeted ground-truthing to verify tree species and habitat structure, monitoring of vegetation health, habitat restoration where feasible, and co-designed decision-making with the Woppaburra People, including assessments of carrying capacity, genetic viability, and disease risk, before any reintroduction is contemplated. Full article
Show Figures

Graphical abstract

20 pages, 7356 KB  
Article
Soil-like Substrate Technology Improves Soil Nutrient Content and Enzyme Activity, Enhancing Soil Microbial Community Structure and Restoring Soils in Ecologically Sensitive Areas of the Loess Plateau
by Gexue Bai, Qingqing Tan, Bingbing Han, Ruidong Li, Lijun Gu, Xiaojing Wang, Yan Li and Quanfang Zhang
Microorganisms 2025, 13(11), 2621; https://doi.org/10.3390/microorganisms13112621 - 19 Nov 2025
Viewed by 398
Abstract
The study assessed the impact of soil-like substrate technology on soil nutrient cycling, enzyme activities, and microbial community structure to evaluate its potential for ecological restoration in the highly sensitive areas of the Loess Plateau. Soil nutrients and enzyme activities were measured before [...] Read more.
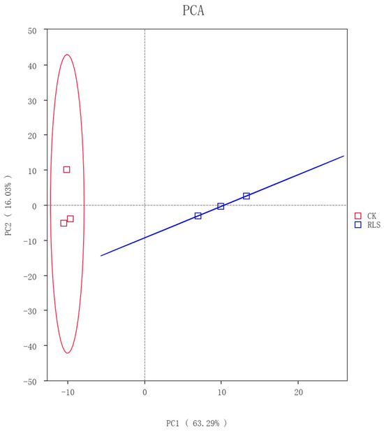
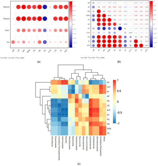
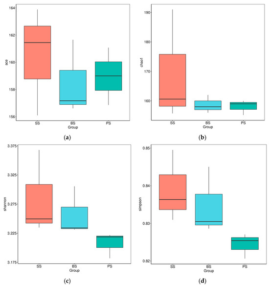
The study assessed the impact of soil-like substrate technology on soil nutrient cycling, enzyme activities, and microbial community structure to evaluate its potential for ecological restoration in the highly sensitive areas of the Loess Plateau. Soil nutrients and enzyme activities were measured before and after applying the technology and at various soil depths. Microbial diversity and community structure were analyzed using Illumina PE150 sequencing. In the −20 cm depth layer (RLS), soil nutrient content and enzyme activity were significantly higher than in the control (CK). Compared with CK, total nitrogen and organic matter in RLS increased by 1.35 and 1.03 times, respectively. Urease and invertase activities increased by 1.15 and 1.35 times, respectively. Microbial community analysis showed changes in Actinomycetes, Alphaproteobacteria, and Thermoleophilia populations. The surface layer (0–6 cm, SS) had higher nutrient content and enzyme activity than deeper layers. The microbes in the SS layer were significantly different from those in the substratum layer (6–12 cm, BS) and the vegetation mat substrate layer (12–20 cm, PS). The top three most abundant phyla were Nocardioidaceae, Micrococcaceae, and Unclassified-Frankiales. Kyoto Encyclopedia of Genes and Genomes (KEGG) analysis indicated that microbes in the surface layer were mainly involved in carbohydrate and amino acid metabolism. Correlation analysis revealed significant relationships between environmental factors and microbial communities. Soil-like substrate technology enhances soil nutrients, enzyme activity, and microbial community structure, providing evidence for restoring the “soil-vegetation-microorganism” system in the Loess Plateau. Full article
(This article belongs to the Section Environmental Microbiology)
Show Figures

Figure 1

21 pages, 3832 KB  
Article
Restoration Potential of Vegetation: Soil Nutrient Responses and Heavy Metal Distribution in Coal Mine Tailings
by George Popescu, Cosmin Alin Popescu, Adina Horablaga, Florin Crista, Lucian Dragomir, Casiana Mihut, Adina Berbecea and Isidora Radulov
Land 2025, 14(11), 2274; https://doi.org/10.3390/land14112274 - 17 Nov 2025
Viewed by 230
Abstract
Coal mining leaves behind extensive tailing dumps that pose long-term ecological and soil degradation challenges. This study evaluates the restoration potential of vegetation on coal mine tailings in the Jiu Valley, Romania, focusing on soil nutrient dynamics and the heavy metal distribution. Field [...] Read more.
Coal mining leaves behind extensive tailing dumps that pose long-term ecological and soil degradation challenges. This study evaluates the restoration potential of vegetation on coal mine tailings in the Jiu Valley, Romania, focusing on soil nutrient dynamics and the heavy metal distribution. Field sampling was conducted across three vegetation types—unvegetated (UV), herbaceous (HV), and arboreal (AV, Robinia pseudoacacia)—at two intervals: three and six years post-plantation. Soil samples were analyzed for their pH, organic carbon, macronutrients, micronutrients, and heavy metals using standardized spectrometric and titrimetric methods. Between 2021 and 2024, AV plots showed a 9.5% increase in total nitrogen and a 5.2% rise in organic carbon, alongside a 6.9% reduction in soil pH. HV plots exhibited a 10.6% increase in magnesium availability and a 2.8% decrease in copper concentrations, indicating active nutrient cycling. In contrast, UV soils retained 68% higher total potassium and 24% more zinc than vegetated plots, likely due to limited biological uptake. Lead concentrations remained below the EU threshold of 60 mg kg−1, while nickel levels exceeded recommended limits across all variants, peaking at 76.08 mg kg−1. The vegetation type significantly influenced nutrient mobilization and metal stabilization, with arboreal cover demonstrating the most consistent ameliorative effects. These findings underscore the role of targeted revegetation—particularly with Robinia pseudoacacia—in improving soil quality and mitigating ecological risks in post-mining landscapes. Full article
(This article belongs to the Special Issue Land Use and Management for Waste Disposal and Wastewater Treatment)
Show Figures

Figure 1

24 pages, 1470 KB  
Article
Integrating Ecological Semantic Encoding and Distribution-Aligned Loss for Multimodal Forest Ecosystem
by Jing Peng, Zhengjie Fu, Huachen Zhou, Yibin Liu, Yang Zhang, Rui Shi, Jiangfeng Li and Min Dong
Forests 2025, 16(11), 1697; https://doi.org/10.3390/f16111697 - 7 Nov 2025
Viewed by 441
Abstract
In this study, a cross-hierarchical intelligent modeling framework integrating an ecological semantic encoder, a distribution-aligned contrastive loss, and a disturbance-aware attention mechanism was developed to address the semantic alignment challenge between aboveground vegetation and belowground seed banks within forest ecosystems. The proposed framework [...] Read more.
In this study, a cross-hierarchical intelligent modeling framework integrating an ecological semantic encoder, a distribution-aligned contrastive loss, and a disturbance-aware attention mechanism was developed to address the semantic alignment challenge between aboveground vegetation and belowground seed banks within forest ecosystems. The proposed framework leverages artificial intelligence and deep learning to characterize the structural and functional coupling between vegetation and soil communities, thereby elucidating the ecological mechanisms that underlie forest regeneration and stability. Experiments using representative forest ecological plot datasets demonstrated that the model achieved a top-1 accuracy of 78.6%, a top-5 accuracy of 89.3%, a mean cosine similarity of 0.784, and a reduced Kullback–Leibler divergence of 0.128, while the Jaccard index increased to 0.512—surpassing traditional statistical and machine-learning baselines such as RDA, CCA, Procrustes, Siamese, and SimCLR. The model also reduced NMDS stress to 0.094 and improved the Sørensen coefficient to 0.713, reflecting high robustness and precision in reconstructing community structure and ecological distributions. Additionally, the integration of distribution alignment and disturbance-aware mechanisms allows the model to capture dynamic vegetation–soil feedbacks across environmental gradients and disturbance regimes. This enables more accurate identification of regeneration potential, resilience thresholds, and restoration trajectories in degraded forests. Overall, the framework provides a novel theoretical foundation and a data-driven pathway for applying artificial intelligence to forest ecosystem monitoring, degradation diagnosis, and adaptive management for sustainable recovery. Full article
Show Figures

Figure 1

19 pages, 15468 KB  
Article
Spatiotemporal Dynamics of Rocky Desertification in the Danjiangkou Reservoir, China
by Shiwen Wu, Chenglong Li, Hongliang Wang, Zhiqi Wang, Haodong Ji, Zhanping Zhang, Yechen Zhang, Wenhui Hao and Yu Song
Sustainability 2025, 17(21), 9748; https://doi.org/10.3390/su17219748 - 31 Oct 2025
Viewed by 432
Abstract
Rocky desertification in the Danjiangkou Reservoir area, the core water source of the South-to-North Water Diversion Project, constitutes a significant ecological threat, primarily driven by historical deforestation and agricultural expansion. To addressing the previous lack of comprehensive evaluation and spatiotemporal analysis of rocky [...] Read more.
Rocky desertification in the Danjiangkou Reservoir area, the core water source of the South-to-North Water Diversion Project, constitutes a significant ecological threat, primarily driven by historical deforestation and agricultural expansion. To addressing the previous lack of comprehensive evaluation and spatiotemporal analysis of rocky desertification in the Danjiangkou Reservoir area, this study utilized Google Earth Engine (GEE) and GeoDetector to analyze its evolution and driving factors from 1995 to 2022. The results indicated an overall improvement, with a 1002.02 km2 decrease in the desertification-prone area and an expansion of 26,077.31 km2 in the non-desertified area. However, desertification remains severe in the western and southeastern regions, while the northeastern and central areas showed relative stability. Notably, desertified areas decreased substantially between 1995 and 2022, reflecting the effectiveness of ecological restoration efforts. Key driving factors include potential evapotranspiration (PET), landform, elevation, and temperature, with interactions between PET and environmental variables exhibiting strong explanatory power. These findings highlight the complex interplay between natural and anthropogenic factors in desertification dynamics. Continuing human intervention is essential to restore vegetation, mitigate soil erosion risks, and ensure the long-term stability of the reservoir’s water resources. Full article
Show Figures

Figure 1

20 pages, 5671 KB  
Article
Quantifying Grazing Intensity from Aboveground Biomass Differences Using Satellite Data and Machine Learning
by Ritu Su, Yong Yang, Shujuan Chang, Gudamu A, Xiangjun Yun, Xiangyang Song and Aijun Liu
Agronomy 2025, 15(11), 2537; https://doi.org/10.3390/agronomy15112537 - 31 Oct 2025
Viewed by 433
Abstract
Accurately quantifying grazing intensity (GI) is crucial for assessing grassland utilization and supporting sustainable management. Traditional livestock-based approaches cannot capture the spatial heterogeneity of grazing or its dynamic response to climate variability. The objective of this study was to develop a remote sensing-based [...] Read more.
Accurately quantifying grazing intensity (GI) is crucial for assessing grassland utilization and supporting sustainable management. Traditional livestock-based approaches cannot capture the spatial heterogeneity of grazing or its dynamic response to climate variability. The objective of this study was to develop a remote sensing-based quantitative framework for estimating GI across the Inner Mongolian grasslands. The framework integrates MODIS vegetation indices, ERA5-Land climate variables, topographic factors, and field-measured data and GI was quantified as the proportional difference between potential and satellite-derived aboveground biomass (AGB), providing a spatially explicit measure of forage utilization. In this framework, potential AGB (AGBp) represents the climate-driven growth capacity under ungrazed conditions reconstructed using machine learning models, whereas satellite-derived AGB (AGBs) denotes the standing AGB remaining under current grazing pressure. Validation using 324 paired grazed–ungrazed plots demonstrated strong agreement between modeled and observed GI (R2 = 0.65, RMSE = 0.18). This AGB-difference-based approach provides an effective and scalable tool for large-scale rangeland monitoring, offering quantitative insights into grass–livestock balance, ecological restoration, and adaptive management in arid and semi-arid regions. Full article
(This article belongs to the Section Precision and Digital Agriculture)
Show Figures

Figure 1

12 pages, 9199 KB  
Article
Weideverbot Enhances Fire Risk: A Case Study in the Turpan Region, China
by Chengbang An and Liyuan Zheng
Land 2025, 14(11), 2131; https://doi.org/10.3390/land14112131 - 26 Oct 2025
Viewed by 387
Abstract
Grassland ecosystems in arid regions are critical for ecological balance and human livelihoods but face threats from degradation and climate change. Weideverbot (grazing prohibition) is widely adopted for restoration, yet its impact on fire risk in extreme arid environments remains unclear. This study [...] Read more.
Grassland ecosystems in arid regions are critical for ecological balance and human livelihoods but face threats from degradation and climate change. Weideverbot (grazing prohibition) is widely adopted for restoration, yet its impact on fire risk in extreme arid environments remains unclear. This study investigates how grazing prohibition affects fire risk in Turpan, China—a hyper-arid region with 16 mm annual precipitation—by analyzing vegetation dynamics (2000–2023) and fire records. To quantify changes in fuel properties and fire risk, we integrated remote sensing data (MODIS-derived Net Primary Productivity [NPP], Fractional Vegetation Cover [FVC], and Normalized Difference Moisture Index [NDMI]) and field observations, complemented by meteorological data (temperature, precipitation, potential evapotranspiration) and local fire records. We used paired-sample t-tests to compare vegetation metrics before (2000–2010) and after (2011–2023) Weideverbot, with Cohen’s d to assess effect sizes. The results show that Weideverbot significantly increases net primary productivity (NPP: 92 to 109 g C·m−2·yr−1, Cohen’s d > 0.8) and fractional vegetation cover (FVC: 18% to 22%, Cohen’s d > 0.8), enhancing fuel load and connectivity. Vegetation water content shows no significant change (Cohen’s d < 0.2). Post-prohibition, fire frequency increased ~8-fold, driven by elevated fuel availability and regional warming/aridification. These findings indicate that Weideverbot exacerbates fire risk in hyper-arid grasslands by altering fuel dynamics. Balancing restoration and fire management requires adaptive strategies like moderate grazing, tailored to local aridity and vegetation traits. Full article
Show Figures

Figure 1

26 pages, 37058 KB  
Article
Integrating Species Distribution Models to Identify Overlapping Predator–Prey Conservation Priorities in Misiones, Argentina
by Karen E. DeMatteo, Delfina Sotorres, Orlando M. Escalante, Daiana M. Ibañez Alegre, Pryscilha M. Delgado, Miguel A. Rinas and Carina F. Argüelles
Diversity 2025, 17(11), 748; https://doi.org/10.3390/d17110748 - 25 Oct 2025
Viewed by 986
Abstract
Misiones province covers < 1% of Argentina’s land area yet harbors > 50% of the country’s biodiversity, with a significant remnant of Atlantic Forest, a global biodiversity hotspot. Approximately 540,000 ha of this native forest is protected, with the remaining areas facing threats [...] Read more.
Misiones province covers < 1% of Argentina’s land area yet harbors > 50% of the country’s biodiversity, with a significant remnant of Atlantic Forest, a global biodiversity hotspot. Approximately 540,000 ha of this native forest is protected, with the remaining areas facing threats from ongoing land conversion, an expanding road network, and a growing rural population. A prior study incorporated noninvasive data on five carnivores into a multifaceted cost analysis to define the optimal location for a multispecies biological corridor, with the goal of enhancing landscape connectivity among protected areas. Subsequent analyses, with an updated framework, emphasized management strategies that balanced human–wildlife coexistence and habitat needs. Building on these efforts, our study applied ecological niche modeling to data located by conservation detection dogs, with genetics used to confirm species identity, and two land-use scenarios, to predict potential distributions of three game species—lowland tapir (Tapirus terrestris), white-lipped peccary (Tayassu pecari), and collared peccary (Pecari tajacu)—that are not only threatened by poaching, road mortality, and habitat loss but also serve as essential prey for carnivores. We assessed the suitability of unique and overlapping vegetation types, within and outside of protected areas, as well as within this multispecies corridor, identifying zones of high conservation concern that underscore the need for integrated planning of predators and prey. These results highlight that ensuring the long-term viability of wildlife across the heterogeneous land-use matrices of Misiones requires going beyond protected areas to promote functional connectivity, restore degraded habitats, and balance human–wildlife needs. Full article
(This article belongs to the Section Biodiversity Conservation)
Show Figures

Graphical abstract

22 pages, 81961 KB  
Article
Synergistic Regulation of Vegetation Greening and Climate Change on the Changes in Evapotranspiration and Its Components in the Karst Area of China
by Geyu Zhang, Qiaotian Shen, Zijun Wang, Hao Li, Zongsen Wang, Tingyi Xue, Dangjun Wang, Haijing Shi, Yangyang Liu and Zhongming Wen
Agronomy 2025, 15(10), 2375; https://doi.org/10.3390/agronomy15102375 - 11 Oct 2025
Viewed by 453
Abstract
The fragile karst ecosystem in Southwest China faces severe water scarcity. Since 2000, large-scale ecological restoration programs (e.g., the “Grain for Green” Program) have substantially increased vegetation coverage. Concurrently, climate change has manifested as a distinct warming trend and heightened drought risk in [...] Read more.
The fragile karst ecosystem in Southwest China faces severe water scarcity. Since 2000, large-scale ecological restoration programs (e.g., the “Grain for Green” Program) have substantially increased vegetation coverage. Concurrently, climate change has manifested as a distinct warming trend and heightened drought risk in recent decades. Therefore, understanding the synergistic and competing effects of climate change and vegetation restoration on regional evapotranspiration (ET) is critical for projecting water budgets and ensuring the sustainability of ecosystems and water resources within this vital ecological barrier region. This study employs a dual-scenario PT-JPL model (simulating natural vegetation dynamics versus constant coverage) integrated with Sen + MK trend analysis to quantify the spatiotemporal patterns of ET and its components—canopy transpiration (ETc), interception evaporation (ETi), and soil evaporation (ETs)—in Southwest China’s karst region (2000–2018). Furthermore, multiple regression analysis and SEM were utilized to investigate the driving mechanisms of vegetation and climatic factors (temperature, precipitation, radiation, and relative humidity) on changes in ET and its components. The key results demonstrate the following: (1) Vegetation restoration exerted a net positive effect on total ET (+0.44 mm/a) through enhanced ETi (+0.22 mm/a) and ETs (+0.37 mm/a), despite reducing ETc (−0.08 mm/a), revealing trade-offs in water allocation. (2) Radiation dominated ET variability (66.45% of the area exhibiting >50% contribution), while temperature exhibited the most extensive spatial dominance (44.02% of the region), and relative humidity exhibited drought-mediated dual effects (promoting ETi while suppressing ETc). (3) Precipitation exhibited minimal direct influence. Vegetation restoration and climate change collectively drive ET dynamics, with ETc declines indicating potential water stress. These findings elucidate the synergistic regulation of vegetation restoration and climate change on karst ecohydrology, providing critical insights for water resource management in fragile ecosystems globally. Full article
Show Figures

Figure 1

31 pages, 6434 KB  
Article
Research on the Impact of Landscape Pattern in Haikou City on Urban Water Body Quality
by Yingping Zhong, Yunxia Du, Ya Huang, Shusong Huang and Jing Pu
Water 2025, 17(20), 2922; https://doi.org/10.3390/w17202922 - 10 Oct 2025
Viewed by 416
Abstract
In the rapid development process of cities, as important ecological corridors and landscape carriers, the water quality conditions of urban water bodies are not only related to the health of the ecological environment, but also closely linked to the quality of life of [...] Read more.
In the rapid development process of cities, as important ecological corridors and landscape carriers, the water quality conditions of urban water bodies are not only related to the health of the ecological environment, but also closely linked to the quality of life of residents. The landscape pattern, as an important component of the urban ecosystem, has a potential impact on water quality. As a tropical coastal city, the unique water network pattern of Haikou City is facing the dual challenges of landscape fragmentation and water quality pollution in its rapid urban expansion. In order to study the impact of the landscape pattern of Haikou City on urban water bodies, this study takes the urban water bodies of Haikou City as the research object. By comprehensively applying landscape ecology methods and water quality monitoring techniques, and using landscape pattern indices (such as the number of patches, fragmentation degree, spread degree, etc.) and on-site investigation of water quality parameter data (such as chemical oxygen demand (COD), total nitrogen (TN), total phosphorus (TP), etc.), and by using correlation analysis and redundancy analysis, we explore the mechanism by which landscape patterns affect water quality. The results show that: (1) There are significant differences in water quality among water bodies. The concentrations of COD and TN in Hongcheng Lake are relatively high. The average values reached 86.603 mg/L and 13.368 mg/L, respectively, mainly affected by the high-intensity construction land around. Jinniu Lake has a high degree of landscape fragmentation and relatively high concentrations of NH3-N and TP. The average values are 2.086 mg/L and 0.154 mg/L, respectively. The Meishe River has a strong water purification capacity due to its good vegetation coverage. (2) The influence of landscape pattern on water quality has a scale effect. Hongcheng Lake, Jinniu Lake, and Meishe River all have the best interpretation rate of water quality in the 2000 m buffer zone landscape pattern. (3) The expansion of construction land has significantly exacerbated water pollution, while natural vegetation landscapes with high connectivity and low fragmentation can effectively improve water quality. The research reveals the correlation between urban landscape planning and water quality protection. It is suggested that by enhancing ecological connectivity, controlling non-point source pollution, and implementing differentiated seasonal management, the self-purification capacity of water bodies can be improved, providing a scientific basis for ecological restoration and sustainable development in Haikou City. Full article
(This article belongs to the Section Urban Water Management)
Show Figures

Figure 1

17 pages, 2711 KB  
Article
Homogeneous Selection and Dispersal Limitation Drive Phyllosphere Fungal Community Assembly in Constructed Wetland Ecosystems
by Nan Deng, Yuxin Tian, Qingan Song, Yandong Niu and Fengfeng Ma
Biology 2025, 14(10), 1378; https://doi.org/10.3390/biology14101378 - 9 Oct 2025
Viewed by 437
Abstract
Constructed wetlands (CWs) are widely used for ecological restoration, but their microbial assembly mechanisms and ecological functions remain poorly understood, limiting the optimization of restoration strategies. In this study, we investigated foliar fungal communities associated with dominant plant types in a CW converted [...] Read more.
Constructed wetlands (CWs) are widely used for ecological restoration, but their microbial assembly mechanisms and ecological functions remain poorly understood, limiting the optimization of restoration strategies. In this study, we investigated foliar fungal communities associated with dominant plant types in a CW converted from farmland by employing high-throughput sequencing. We analyzed community composition, diversity, assembly processes, and co-occurrence network structure to identify potential keystone taxa. Our results showed that plant type significantly influenced fungal community diversity and composition (α < 0.05). Assembly processes were jointly driven by heterogeneous selection (36.48%), dispersal-related processes (35.49%), and drift (24.70%), indicating comparable contributions of deterministic and stochastic processes. Co-occurrence network analysis revealed a modular structure and identified several hub taxa based on topological indices, suggesting their potential importance for network stability. This study provides an integrated perspective that links community diversity, assembly mechanisms, and network structure, providing insights for improving CW vegetation management and microbial regulation strategies. Future studies should explore and validate the functional roles of hub taxa and test the generalizability of these patterns across multiple regions and seasons. Full article
Show Figures

Figure 1

19 pages, 4408 KB  
Article
Post-Fire Carbon Dynamics in a UK Woodland: A Case Study from the Roaches Nature Reserve
by Francesco Niccoli, Luigi Marfella, Helen C. Glanville, Flora A. Rutigliano and Giovanna Battipaglia
Forests 2025, 16(10), 1547; https://doi.org/10.3390/f16101547 - 7 Oct 2025
Viewed by 545
Abstract
Forests play a crucial role in climate regulation through atmospheric CO2 sequestration. However, disturbances like wildfires can severely compromise this function. This study assesses the ecological and economic consequences of a 2018 wildfire in The Roaches Nature Reserve, UK, focusing on post-fire [...] Read more.
Forests play a crucial role in climate regulation through atmospheric CO2 sequestration. However, disturbances like wildfires can severely compromise this function. This study assesses the ecological and economic consequences of a 2018 wildfire in The Roaches Nature Reserve, UK, focusing on post-fire carbon dynamics. A mixed woodland dominated by Pinus sylvestris L. and Larix decidua Mill. was evaluated via satellite imagery (remote sensing indices), dendrochronological analysis (wood cores sampling), and soil properties analyses. Remote sensing revealed areas of high fire severity and progressive vegetation decline. Tree-ring data indicated near-total mortality of L. decidua, while P. sylvestris showed greater post-fire resilience. Soil properties (e.g., soil organic carbon, biomass and microbial indices, etc.) assessed at a depth of 0–5 cm showed no significant changes. The analysis of CO2 sequestration trends revealed a marked decline in burned areas, with post-fire sequestration reduced by approximately 70% in P. sylvestris and nearly 100% in L. decidua, in contrast to the stable patterns observed in the control stands during the same period. To estimate this important ecosystem service, we developed a novel CO2 Sequestration Loss (CSL) index, which quantified the reduction in forest carbon uptake and underscored the impaired sequestration capacity of burned area. The decrease in CO2 sequestration also resulted in a loss of regulating ecosystem service value, with burned areas showing a marked reduction compared to pre-fire conditions. Finally, a carbon loss of ~208 Mg ha−1 was estimated in the burnt area compared to the control, mainly due to tree mortality rather than shallow soil carbon stock. Overall, our findings demonstrate that wildfire can substantially compromise the climate mitigation potential of temperate forests, highlighting the urgency of proactive management and restoration strategies. Full article
(This article belongs to the Section Forest Ecology and Management)
Show Figures

Figure 1

17 pages, 4248 KB  
Article
Spatiotemporal Distribution Characteristics of Soil Organic Carbon and Its Influencing Factors in the Loess Plateau
by Yan Zhu, Mei Dong, Xinwei Wang, Dongkai Chen, Yichao Zhang, Xin Liu, Ke Yang and Han Luo
Agronomy 2025, 15(10), 2260; https://doi.org/10.3390/agronomy15102260 - 24 Sep 2025
Viewed by 668
Abstract
Soil organic carbon (SOC) constitutes the largest terrestrial carbon pool and plays a crucial role in climate regulation, soil fertility, and ecosystem functioning. Understanding its spatiotemporal dynamics is particularly important in semi-arid regions, where fragile environments and extensive ecological restoration may alter carbon [...] Read more.
Soil organic carbon (SOC) constitutes the largest terrestrial carbon pool and plays a crucial role in climate regulation, soil fertility, and ecosystem functioning. Understanding its spatiotemporal dynamics is particularly important in semi-arid regions, where fragile environments and extensive ecological restoration may alter carbon cycling. The Loess Plateau, the world’s largest loess accumulation area with a history of severe erosion and large-scale vegetation restoration, provides a natural laboratory for examining how environmental gradients influence SOC storage over time. This study used a random forest model with multi-source environmental data to quantify soil organic carbon density (SOCD) dynamics in the 0–100 cm soil layer of the Loess Plateau from 2005 to 2020. SOCD showed strong spatial heterogeneity, decreasing from the humid southeast to the arid northwest. Over the 15-year period, total SOC storage increased from 4.84 to 5.23 Pg C (a 7.9% rise), while the annual sequestration rate declined from 0.046 to 0.020 kg·m−2·yr−1, indicating that the regional carbon sink may be approaching saturation after two decades of restoration. Among soil types, Cambisols were the largest carbon pool, accounting for over 44% of total SOC storage. Vegetation productivity emerged as the dominant driver of SOC variability, with clay content as a secondary factor. These results indicate that although ecological restoration has substantially enhanced SOC storage, its marginal benefits are diminishing. Understanding the spatial and temporal patterns of SOC and their environmental drivers provides essential insights for evaluating long-term carbon sequestration potential and informing future land management strategies. Broader generalization requires multi-regional comparisons, long-term monitoring, and deeper soil investigations to capture ecosystem-scale carbon dynamics fully. Full article
(This article belongs to the Special Issue Long-Term Soil Organic Carbon Dynamics in Agroforestry)
Show Figures

Figure 1

20 pages, 8934 KB  
Article
Strengthening Ecosystem Sustainability and Climate Resilience Through Integrative Nature-Based Solutions in Bontioli Natural Reserve, West African Drylands
by Issaka Abdou Razakou Kiribou, Kangbéni Dimobe and Sintayehu W. Dejene
Earth 2025, 6(3), 111; https://doi.org/10.3390/earth6030111 - 18 Sep 2025
Viewed by 1397
Abstract
Natural reserves in the West African drylands play a critical role in sustaining livelihoods and preserving ecological integrity. However, these ecosystems face growing threats from climate variability and anthropogenic pressure. This study assesses the potential of Nature-based Solutions (NbSs) to enhance climate resilience [...] Read more.
Natural reserves in the West African drylands play a critical role in sustaining livelihoods and preserving ecological integrity. However, these ecosystems face growing threats from climate variability and anthropogenic pressure. This study assesses the potential of Nature-based Solutions (NbSs) to enhance climate resilience and mitigate human-induced degradation in Bontioli Natural Reserve (BNR), one of the region’s key biodiversity hotspots. We employed an integrated approach combining ecological assessments, climate and anthropogenic pressures analysis, and participatory governance framework. Generalized additive modeling (GAM) is applied to assess the long-term vegetation response to climate stressors. A conceptual framework that integrates climate resilience with socio-ecological systems is developed for synergies conservation. Our findings indicate a consistent vegetation decline at a rate of 0.051 ± 0.043/year, driven by rising temperatures, and declining rainfall, which is exacerbated by anthropogenic land use pressure since 2000. Human population growth is strongly correlated with cropland expansion (R2 = 0.903) and vegetation loss (R2 = 0.793). As a result, 53.85% of species populations are declining, with 30.77% classified as endangered or vulnerable. Based on the scientific evidence, NbSs have emerged as cost-effective and sustainable strategies to restore ecological function and strengthen communities-based conservation. The proposed NbS framework offers a holistic pathway for safeguarding long-term ecosystem resilience in dryland reserves, directly contributing to Sustainable Development Goals (SDGs) 13 and 15. Full article
Show Figures

Figure 1

22 pages, 5149 KB  
Article
Designing for Urban Biodiversity in Post-Military Landscapes: A Methodological Framework from Warsaw
by Beata Fornal-Pieniak, Szymon Dmitruk, Marcin Ollik, Filip Kamionowski and Magdalena Pawełkowicz
Land 2025, 14(9), 1887; https://doi.org/10.3390/land14091887 - 15 Sep 2025
Viewed by 766
Abstract
Urban green spaces play a crucial role in mitigating the biodiversity loss caused by dense development and land-use transformation. This study explores the ecological and spatial potential of Fort Augustówka, a neglected military fortification in Warsaw, Poland, as a multifunctional green space that [...] Read more.
Urban green spaces play a crucial role in mitigating the biodiversity loss caused by dense development and land-use transformation. This study explores the ecological and spatial potential of Fort Augustówka, a neglected military fortification in Warsaw, Poland, as a multifunctional green space that enhances local biodiversity. Through field surveys, vegetation assessments, SWOT analysis, and user profiling, we identified key ecological features and constraints of the site, located within a Vistula River riparian zone. This study employed phytosociological analysis (Braun–Blanquet method), spatial mapping (using AutoCAD and SketchUp), and stakeholder observations to assess the value of semi-natural habitats including ruderal vegetation, meadows, and aquatic zones, as well as urban tree stands and conventionally managed greenery. Our results show that semi-natural habitats, including meadows and reed beds, achieved higher ecological value scores than conventionally managed greenery, while invasive species significantly reduced biodiversity in several zones. Based on these findings, we propose a spatial revitalisation model grounded in native species restoration, ecological connectivity, and low-impact recreational design. This study highlights an innovative approach that integrates existing vegetation, historical structures, and human well-being, creating a design concept beneficial for residents and visitors alike. This work also demonstrates how post-military landscapes can support biodiversity in metropolitan areas and offers a transferable model for ecological urban design rooted in place-based analysis. The findings contribute to broader discussions on nature-based solutions and urban rewilding in post-socialist urban contexts. Full article
Show Figures

Figure 1

Back to TopTop